Submitted:
04 July 2024
Posted:
08 July 2024
You are already at the latest version
Abstract
Keywords:
1. Introduction
2. Materials and Methods
Participants
Intervention
Motion analysis
Kinematic variables
EMG variables
Muscle Synergy Extraction
Muscle Synergy Indexes
Statistical analyses
3. Results
Gait Variables
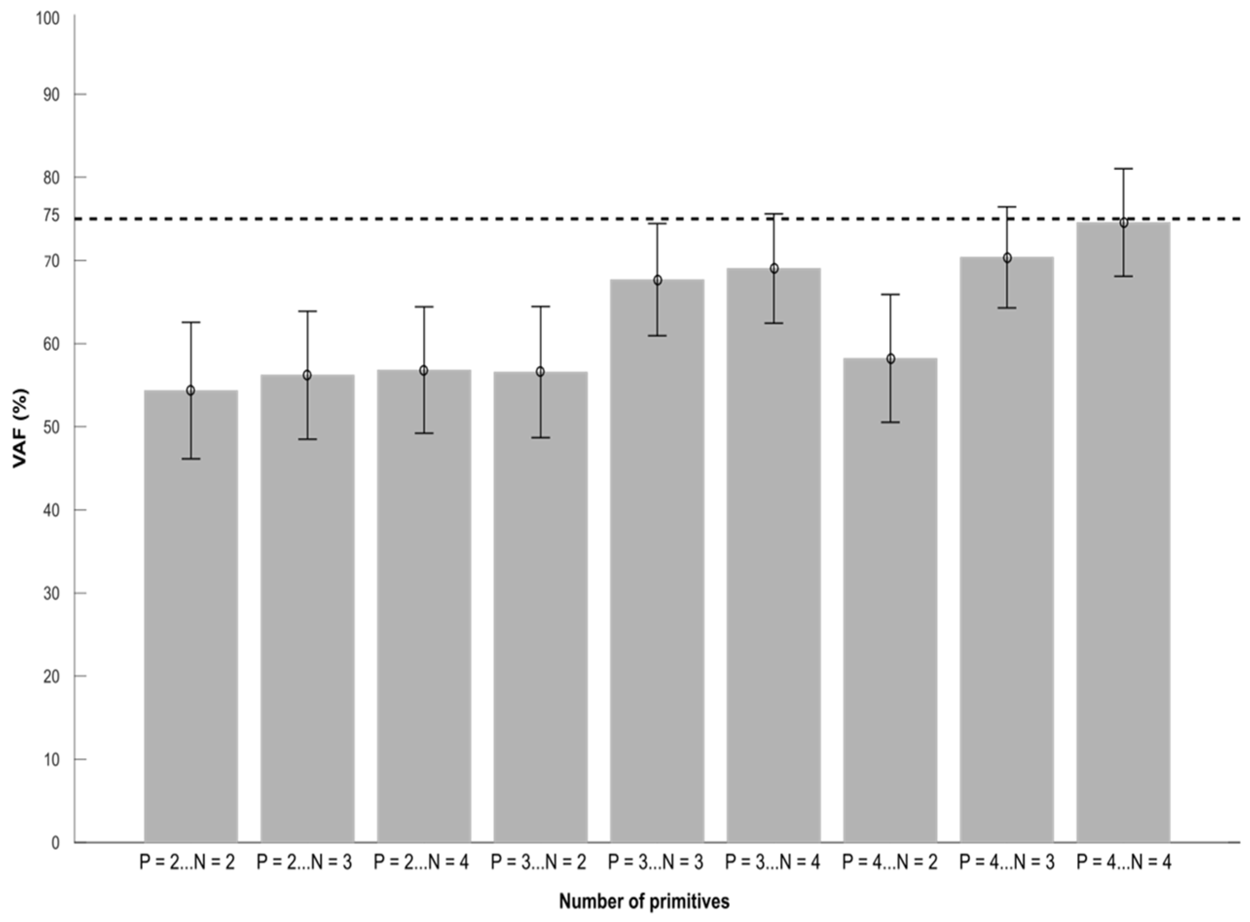
Muscle Synergy Extraction
Muscle Synergy Indexes
4. Discussion
5. Conclusions
Author Contributions
Funding
Institutional Review Board Statement
Informed Consent Statement
Data Availability Statement
Acknowledgments
Conflicts of Interest
References
- Hashiguchi, Y.; Ohata, K.; Kitatani, R.; Yamakami, N.; Sakuma, K.; Osako, S.; … Yamada, S. Merging and Fractionation of Muscle Synergy Indicate the Recovery Process in Patients with Hemiplegia: The First Study of Patients after Subacute Stroke. Neural Plasticity 2016, 1–7. [Google Scholar] [CrossRef] [PubMed]
- Routson, R.L.; Clark, D.J.; Bowden, M.G.; Kautz, S.A.; Neptune, R.R. The influence of locomotor rehabilitation on module quality and post-stroke hemiparetic walking performance. Gait & Posture 2013, 38, 511–517. [Google Scholar] [CrossRef]
- Safavynia, S.; Torres-Oviedo, G.; Ting, L. Muscle Synergies: Implications for Clinical Evaluation and Rehabilitation of Movement. Topics in Spinal Cord Injury Rehabilitation 2011, 17, 16–24. [Google Scholar] [CrossRef] [PubMed]
- Van Criekinge, T.; Vermeulen, J.; Wagemans, K.; Schröder, J.; Embrechts, E.; Truijen, S.; Hallemans, A.; Saeys, W. Lower limb muscle synergies during walking after stroke: a systematic review. Disabil Rehabil 2020, 42, 2836–2845. [Google Scholar] [CrossRef] [PubMed]
- Booth, A.T.C.; van der Krogt, M.M.; Harlaar, J.; Dominici, N.; Buizer, A.I. Muscle synergies in response to biofeedback-driven gait adaptations in children with cerebral palsy. Front Physiol 2019, 10, 1208. [Google Scholar] [CrossRef] [PubMed]
- Mileti, I.; Zampogna, A.; Santuz, A.; Asci, F.; Del Prete, Z.; Arampatzis, A.; Palermo, E.; Suppa, A. Muscle synergies in parkinson's disease. Sensors 2020, 20, 3209. [Google Scholar] [CrossRef] [PubMed]
- Shuman, B.R.; Schwartz, M.H.; Steele, K.M. Electromyography data processing impacts muscle synergies during gait for unimpaired children and children with cerebral palsy. Front Comput Neurosci 2017, 11. [Google Scholar] [CrossRef] [PubMed]
- Ambrosini, E.; Parati, M.; Peri, E.; De Marchis, C.; Nava, C.; Pedrocchi, A.; Ferriero, G.; Ferrante, S. Changes in leg cycling muscle synergies after training augmented by functional electrical stimulation in subacute stroke survivors: a pilot study. J Neuroeng Rehabil 2020, 17, 35. [Google Scholar] [CrossRef] [PubMed]
- Pollock, C.; Eng, J.; Garland, S. Clinical measurement of walking balance in people post stroke: a systematic review. Clin Rehabil 2011, 25, 693–708. [Google Scholar] [CrossRef]
- Langhorne, P.; Coupar, F.; Pollock, A. Motor recovery after stroke: a systematic review. The Lancet Neurology 2009, 8, 741–754. [Google Scholar] [CrossRef]
- Weerdesteyn, V.; de Niet, M.; van Duijnhoven, H.J.; Geurts, A.C. Falls in individuals with stroke. J Rehabil Res Dev 2008, 45, 1195–213. [Google Scholar] [CrossRef] [PubMed]
- Goldberg, S.R.; Anderson, F.C.; Pandy, M.G.; Delp, S.L. Muscles that influence knee flexion velocity in double support: implications for stiff-knee gait. J Biomech 2004, 37, 1189–1196. [Google Scholar] [CrossRef] [PubMed]
- Kerrigan, D.C.; Bang, M.S.; Burke, D.T. An algorithm to assess stiff-legged gait in traumatic brain injury. J Head Trauma Rehabil 1999, 14, 136–45. [Google Scholar] [CrossRef] [PubMed]
- Piazza, S.J.; Delp, S.L. The influence of muscles on knee flexion during the swing phase of gait. J Biomech 1996, 29, 723–733. [Google Scholar] [CrossRef] [PubMed]
- Riley, P.O.; Kerrigan, D.C. Torque action of two-joint muscles in the swing period of stiff-legged gait: a forward dynamic model analysis. J Biomech 1998, 31, 835–40. [Google Scholar] [CrossRef] [PubMed]
- Roche, N.; Bonnyaud, C.; Geiger, M.; Bussel, B.; Bensmail, D. Relationship between hip flexion and ankle dorsiflexion during swing phase in chronic stroke patients. Clin Biomech 2015, 30, 219–225. [Google Scholar] [CrossRef] [PubMed]
- Sung Duk, H.; Bang, H.J. Motor branch block of the rectus femoris: Its effectiveness in stiff-legged gait in spastic paresis. Arch Phys Med Rehabil 2000, 81, 910–915. [Google Scholar] [CrossRef] [PubMed]
- Robertson, J.V.G.; Pradon, D.; Bensmail, D.; Fermanian, C.; Bussel, B.; Roche, N. Relevance of botulinum toxin injection and nerve block of rectus femoris to kinematic and functional parameters of stiff knee gait in hemiplegic adults. Gait Posture 2009, 29, 108–112. [Google Scholar] [CrossRef] [PubMed]
- Bohannon, R.W.; Smith, M.B. Interrater reliability of a modified Ashworth scale of muscle spasticity. Phys Ther 1987, 67, 206–7. [Google Scholar] [CrossRef]
- Merlo, A.; Campanini, I. Impact of instrumental analysis of stiff knee gait on treatment appropriateness and associated costs in stroke patients. Gait Posture 2019, 72, 195–201. [Google Scholar] [CrossRef]
- Kadaba, M.P.; Ramakrishnan, H.K.; Wootten, M.E. Measurement of lower extremity kinematics during level walking. J Orthop Res 1990, 8, 383–92. [Google Scholar] [CrossRef] [PubMed]
- Winter, D.A.; Yack, H.J. EMG profiles during normal human walking: stride-to-stride and inter-subject variability. Electroencephalogr Clin Neurophysiol 1987, 67, 402–411. [Google Scholar] [CrossRef]
- Devarajan, K.; Cheung, V.C.K. On non-negative matrix factorization algorithms for signal-dependent noise with application to electromyography data. Neural Comput 2014, 26, 1128–1168. [Google Scholar] [CrossRef] [PubMed]
- Santuz, A.; Ekizos, A.; Janshen, L.; Baltzopoulos, V.; Arampatzis, A. The Influence of Footwear on the Modular Organization of Running. Front Physiol 2017, 8. [Google Scholar] [CrossRef] [PubMed]
- Hebenstreit F, Leibold A, Krinner S, Welsch G, Lochmann, M.; Eskofier BM. Effect of walking speed on gait sub phase durations. Hum Mov Sci 2015, 43, 118–24. [CrossRef] [PubMed]
- Perry, J.; Burnfield, J.M. ; 1992. Gait analysis: normal and pathological function, 2nd ed. ed. SLACK, Thorofare, NJ.
- Delis, I.; Panzeri, S.; Pozzo, T.; Berret, B. A unifying model of concurrent spatial and temporal modularity in muscle activity. J. Neurophysiol 2014, 111, 675–693. [Google Scholar] [CrossRef] [PubMed]
- Lee, D.D.; Seung, H.S. Algorithms for non-negative matrix factorization. In Advances in Neural Information Processing Systems 13 - Proceedings of the 2000 Conference, NIPS 2000. Neural information processing systems foundation. 2001. [Google Scholar]
- Hayes, H.B.; Chvatal, S.A.; French, M.A.; Ting, L.H.; Trumbower, R.D. Neuromuscular constraints on muscle coordination during overground walking in persons with chronic incomplete spinal cord injury. Clin Neurophysiol 2014, 125, 2024–2035. [Google Scholar] [CrossRef] [PubMed]
- Chvatal, S.A.; Ting, L.H. Voluntary and reactive recruitment of locomotor muscle synergies during perturbed walking. J Neurosci 2012, 32, 12237–50. [Google Scholar] [CrossRef] [PubMed]
- Hoyer, P.O. Non-negative matrix factorization with sparseness constraints. J Mach Learn Res 2004, 5, 1457–1469. [Google Scholar]
- Oliveira Anderson, S.; Gizzi, L.; Farina, D.; Kersting, U.G. Motor modules of human locomotion: influence of EMG averaging, concatenation, and number of step cycles. Front Hum Neurosci 2014, 8. [Google Scholar] [CrossRef]
- Clark, D.J.; Ting, L.H.; Zajac, F.E.; Neptune, R.R.; Kautz, S. Merging of Healthy Motor Modules Predicts Reduced Locomotor Performance and Muscle Coordination Complexity Post-Stroke. J Neurophysiol 2010, 103, 844–857. [Google Scholar] [CrossRef] [PubMed]
- Kargo, W.J.; Nitz, D.A. Early skill learning is expressed through selection and tuning of cortically represented muscle synergies. J Neurosci 2003, 23, 11255–11269. [Google Scholar] [CrossRef] [PubMed]
- Frère, J.; Hug, F. Between-subject variability of muscle synergies during a complex motor skill. Front Comput Neurosci 2012, 6. [Google Scholar] [CrossRef] [PubMed]
- Safavynia, S.; Torres-Oviedo, G.; Ting, L. Muscle Synergies: Implications for Clinical Evaluation and Rehabilitation of Movement. Top Spinal Cord Inj Rehabil 2011, 17, 16–24. [Google Scholar] [CrossRef] [PubMed]
- Ririe, D.G.; Walker, F.P.O.; James, R.L.; Butterworth, J. Effect of alkalinization of lidocaine on median nerve block. Br J Anaesth. 2000, 84, 163–8. [Google Scholar] [CrossRef]
- Torres-Oviedo, G.; Bastian, A.J. Natural error patterns enable transfer of motor learning to novel contexts. J Neurophysiol 2012, 107, 346–56. [Google Scholar] [CrossRef]
- Santuz, A.; Ekizos, A.; Eckardt, N.; Kibele, A.; Arampatzis, A. Challenging human locomotion: stability and modular organisation in unsteady conditions. Scientific Reports 2018, 8. [Google Scholar] [CrossRef] [PubMed]
- Oliveira, Gizzi, L.; Kersting, U.G.; Farina, D. Modular organization of balance control following perturbations during walking. J Neurophysiol 2012, 108, 1895–1906. [CrossRef] [PubMed]
- Den Otter, A.R.; Geurts, A.C.H.; de Haart, M.; Mulder, T.; Duysens, J. Step characteristics during obstacle avoidance in hemiplegic stroke. Exp Brain Res 2005, 161, 180–192. [Google Scholar] [CrossRef]
- van Swigchem, R.; van Duijnhoven, H.J.R.; den Boer, J.; Geurts, A.C.; Weerdesteyn, V. Deficits in motor response to avoid sudden obstacles during gait in functional walkers poststroke. Neurorehabil and Neural Repair 2013, 27, 230–239. [Google Scholar] [CrossRef] [PubMed]



| Maximum knee flexion (degrees) |
Gait speed (m.s-1) |
Step length (cm) |
||||
|---|---|---|---|---|---|---|
| PRE | POST | PRE | POST | PRE | POST | |
| P 1 | 35.09 ±2.47 | 43.13 ±3.62 | 0.54 ±0.11 | 0.66 ±0.05 | 30.5 ±2.61 | 36.23 ±2.77 |
| P 2 | 24.07 ±1.35 | 29.55 ±1.59 | 0.57 ±0.07 | 0.67 ±0.04 | 44.70 ±5.27 | 44.49 ±5.52 |
| P 3 | 18.02 ±2.06 | 23.05 ±3.37 | 0.57 ±0.04 | 0.54 ±0.05 | 45.19 ±2.98 | 45.64 ±3.17 |
| P 4 | 28.83 ±3.04 | 33.90 ±4.74 | 0.47 ±0.04 | 0.58 ±0.10 | 40.87 ±3.09 | 43.81 ±7.46 |
| P 5 | 24.77 ±2.98 | 43.63 ±6.91 | 0.42 ±0.05 | 0.30 ±0.02 | 36.99 ±4.40 | 25.35 ±2.25 |
| P 6 | 24.79 ±2.12 | 38.00 ±3.91 | 0.82 ±0.04 | 0.90 ±0.05 | 56.10 ±2.78 | 55.06 ±3.83 |
| P 7 | 26.47 ±3.62 | 40.20 ±5.14 | 0.50 ±0.04 | 0.64 ±0.07 | 44.99 ±3.45 | 45.21 ±4.18 |
| P 8 | 31.42 ±1.87 | 33.35 ±2.90 | 0.44 ±0.03 | 0.46 ±0.06 | 36.10 ±2.61 | 37.04 ±2.99 |
| Mean** | 26.68 ±5.16 | 35.60 ±7.07 | 0.54 ±0.12 | 0.59 ±0.17 | 41.93 ±7.73 | 41.61 ±8.76 |
| PRE | POST | P-value | |
|---|---|---|---|
| VAF | 74.50 ±6.90 | 70.30 ±8.00 | 0.015 |
| IRS | 0.48 ±0.03 | 0.43 ±0.07 | 0.007 |
| IRC | 3.93 ±1.20 | 4.03 ±2.00 | 0.843 |
Disclaimer/Publisher’s Note: The statements, opinions and data contained in all publications are solely those of the individual author(s) and contributor(s) and not of MDPI and/or the editor(s). MDPI and/or the editor(s) disclaim responsibility for any injury to people or property resulting from any ideas, methods, instructions or products referred to in the content. |
© 2024 by the authors. Licensee MDPI, Basel, Switzerland. This article is an open access article distributed under the terms and conditions of the Creative Commons Attribution (CC BY) license (http://creativecommons.org/licenses/by/4.0/).