Submitted:
11 June 2024
Posted:
12 June 2024
You are already at the latest version
Abstract

Keywords:
1. Introduction
2. Materials and Methods
2.1. Experimental Design
2.2. Raman Spectra Acquisition
2.3. Data Processing and Analysis
2.4. Model Regularization
3. Results and Discussion
3.1. Model Optimization
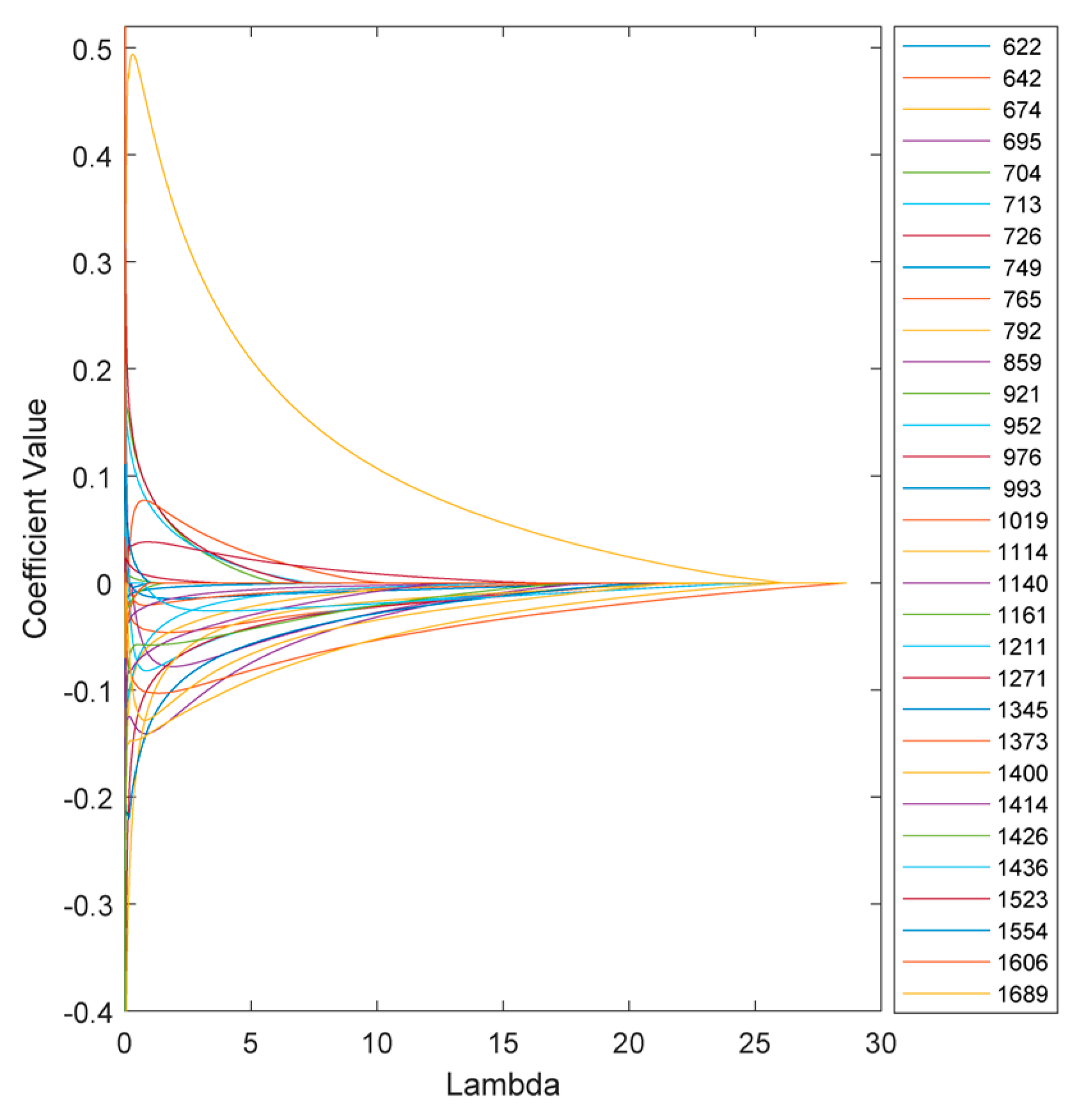
3.2. Regularization Results
| Band (cm-1) | Vibrational mode | Assignment |
|---|---|---|
| 674 | ν(C–C–O) + δ(C–C–O) | Carbohydrates [29] Glycerol [27] |
| 695 | δ(C-C-H) twisting | Cellulose Avicel (II) [30] |
| 704 | ring deformation | Cytosine [31] |
| 713 | C–S–C asymmetric stretch; H2O rocking | Isoleucine, methionine [32] |
| 726 | ring breath | Adenine [33] |
| 859 | τ (C –N) | Arginine, Serine [32] |
| 952 | δ (CCH), δ(COH) | Pectin [34] |
| 976 | CH2 rocking | Glycerol [27] |
| 1019 | C–O–H deformation | Alcoholic hydroxyl [32] |
| 1114 | νs(C-O-C) | Glycosidic ring breathing [35], Cellulose [36] |
| 1211 | δ(> C = C - C-) β-ring | β-Carotene [37-39] |
| 1345 | ν(C–O); δ(C–O–H) | Carbohydrates [29] |
| 1400 | ν; δ(C–OH)COOH; δs(CH3) | Pectin [34], β-carotene [37], Cellulose [36] |
| 1414 | δ(C-H) | Deoxyadenosine triphosphate [27] |
| 1426 | νs(COO-); CH2 deformation | Aspartic acid, glutamic acid, methionine [27],[32] |
4. Conclusions
Author Contributions
Funding
Institutional Review Board Statement
Informed Consent Statement
Data Availability Statement
Conflicts of Interest
References
- Hardarson, G.; Danso, S. Methods for measuring biological nitrogen fixation in grain legumes. Plant and soil 1993, 152, 19–23. [Google Scholar] [CrossRef]
- Unkovich, M.; Baldock, J. Measurement of asymbiotic N2 fixation in Australian agriculture. Soil Biology and Biochemistry 2008, 40, 2915–2921. [Google Scholar] [CrossRef]
- Alonso, J.; Gonzalez, P. Isotope dilution mass spectrometry; Royal Society of Chemistry: 2019.
- Saletnik, A.; Saletnik, B.; Puchalski, C. Overview of popular techniques of Raman spectroscopy and their potential in the study of plant tissues. Molecules 2021, 26, 1537. [Google Scholar] [CrossRef]
- Zavafer, A.; Ball, M.C. Good vibrations: Raman spectroscopy enables insights into plant biochemical composition. Functional Plant Biology 2022. [Google Scholar] [CrossRef]
- Sharma, S.; Bharti, A.; Singh, R.; Uttam, K. Non-destructive, label free evaluation of the biochemical profile associated with the growth and ripening process of jamun fruit by confocal micro Raman spectroscopy. Analytical Letters 2022, 55, 812–827. [Google Scholar] [CrossRef]
- Schulz, H.; Baranska, M. Identification and quantification of valuable plant substances by IR and Raman spectroscopy. Vibrational Spectroscopy 2007, 43, 13–25. [Google Scholar] [CrossRef]
- De Moliner, F.; Knox, K.; Gordon, D.; Lee, M.; Tipping, W.J.; Geddis, A.; Reinders, A.; Ward, J.M.; Oparka, K.; Vendrell, M. A Palette of Minimally Tagged Sucrose Analogues for Real-Time Raman Imaging of Intracellular Plant Metabolism. Angewandte Chemie 2021, 133, 7715–7720. [Google Scholar] [CrossRef]
- Gersony, J.T.; McClelland, A.; Holbrook, N.M. Raman spectroscopy reveals high phloem sugar content in leaves of canopy red oak trees. The New Phytologist 2021, 232, 418–424. [Google Scholar] [CrossRef]
- Dina, N.E.; Muntean, C.M.; Bratu, I.; Tican, A.; Halmagyi, A.; Purcaru, M.A.; Coste, A. Structure and surface dynamics of genomic DNA as probed with surface-enhanced Raman spectroscopy: Trace level sensing of nucleic acids extracted from plants. Spectrochimica Acta Part A: Molecular and Biomolecular Spectroscopy 2022, 279, 121477. [Google Scholar] [CrossRef]
- Li, M. Developing Raman sorting and imaging techniques to characterise and differentiate unculturable microbial single cells. University of Sheffield, 2012.
- Polisetti, S.; Baig, N.; Bible, A.; Morrell-Falvey, J.; Doktycz, M.; Bohn, P.W. Using Raman spectroscopy and SERS for in situ studies of rhizosphere bacteria. Proceedings of Biosensing and Nanomedicine VIII 2015. SPIE; pp. 34–38.
- Jochum, T.; Fastnacht, A.; Trumbore, S.E.; Popp, J.r.; Frosch, T. Direct Raman spectroscopic measurements of biological nitrogen fixation under natural conditions: an analytical approach for studying nitrogenase activity. Analytical chemistry 2017, 89, 1117–1122. [Google Scholar] [CrossRef]
- Agarwal, U.; Atalla, R. In-situ Raman microprobe studies of plant cell walls: Macromolecular organization and compositional variability in the secondary wall of Picea mariana (Mill.) BSP. Planta 1986, 169, 325–332. [Google Scholar] [CrossRef]
- Saito, S. Field evaluation of the symbiotic fixation abilities among Rhizobium phaseoli strains [Rhizobium; Symbiotic fixation of nitrogen]. Pesquisa Agropecuaria Brasileira 1982. [Google Scholar]
- Farid, M. Symbiotic nitrogen fixation in common bean. University of Guelph, 2015.
- Akter, Z.; Pageni, B.; Lupwayi, N.Z.; Balasubramanian, P. Biological nitrogen fixation by irrigated dry bean (Phaseolus vulgaris L.) genotypes. Canadian Journal of Plant Science 2018, 98, 1159–1167. [Google Scholar] [CrossRef]
- Reinprecht, Y.; Schram, L.; Marsolais, F.; Smith, T.H.; Hill, B.; Pauls, K.P. Effects of nitrogen application on nitrogen fixation in common bean production. Frontiers in plant science 2020, 11, 1172. [Google Scholar] [CrossRef]
- Friel, C.A.; Friesen, M.L. Legumes modulate allocation to rhizobial nitrogen fixation in response to factorial light and nitrogen manipulation. Frontiers in Plant Science 2019, 10, 481099. [Google Scholar] [CrossRef]
- McKnight, T. Efficiency of isolates of Rhizobium in the cowpea (Vigna unguiculata) group, with proposed additions to this group. 1949.
- Unkovich, M.; Herridge, D.; Peoples, M.; Cadisch, G.; Boddey, B.; Giller, K.; Alves, B.; Chalk, P. Measuring plant-associated nitrogen fixation in agricultural systems; Australian Centre for International Agricultural Research (ACIAR): 2008.
- Lieber, C.A.; Mahadevan-Jansen, A. Automated method for subtraction of fluorescence from biological Raman spectra. Applied spectroscopy 2003, 57, 1363–1367. [Google Scholar] [CrossRef]
- Sanchez, L.; Ermolenkov, A.; Biswas, S.; Septiningsih, E.M.; Kurouski, D. Raman spectroscopy enables non-invasive and confirmatory diagnostics of salinity stresses, nitrogen, phosphorus, and potassium deficiencies in rice. Frontiers in plant science 2020, 11, 1620. [Google Scholar] [CrossRef]
- Zou, H.; Hastie, T. Regularization and variable selection via the elastic net. Journal of the Royal Statistical Society Series B: Statistical Methodology 2005, 67, 301–320. [Google Scholar] [CrossRef]
- Cocchi, M.; Biancolillo, A.; Marini, F. Chemometric methods for classification and feature selection. In Comprehensive analytical chemistry, Elsevier: 2018; Vol. 82, pp. 265–299.
- Qin, J.; Chao, K.; Kim, M.S. Nondestructive evaluation of internal maturity of tomatoes using spatially offset Raman spectroscopy. Postharvest biology and technology 2012, 71, 21–31. [Google Scholar] [CrossRef]
- Pezzotti, G. Raman spectroscopy in cell biology and microbiology. Journal of Raman Spectroscopy 2021, 52, 2348–2443. [Google Scholar] [CrossRef]
- Brentin, R.P. Soy-based chemicals and materials: growing the value chain. In Soy-Based Chemicals and Materials, ACS Publications: 2014; pp. 1–23.
- Almeida, M.R.; Alves, R.S.; Nascimbem, L.B.; Stephani, R.; Poppi, R.J.; De Oliveira, L.F.C. Determination of amylose content in starch using Raman spectroscopy and multivariate calibration analysis. Analytical and bioanalytical chemistry 2010, 397, 2693–2701. [Google Scholar] [CrossRef]
- Agarwal, U.P. 1064 nm FT-Raman spectroscopy for investigations of plant cell walls and other biomass materials. Frontiers in plant science 2014, 5, 103972. [Google Scholar] [CrossRef]
- Madzharova, F.; Heiner, Z.; Gühlke, M.; Kneipp, J. Surface-enhanced hyper-Raman spectra of adenine, guanine, cytosine, thymine, and uracil. The Journal of Physical Chemistry C 2016, 120, 15415–15423. [Google Scholar] [CrossRef]
- Zhu, G.; Zhu, X.; Fan, Q.; Wan, X. Raman spectra of amino acids and their aqueous solutions. Spectrochimica Acta Part A: Molecular and Biomolecular Spectroscopy 2011, 78, 1187–1195. [Google Scholar] [CrossRef]
- Kundu, J.; Neumann, O.; Janesko, B.; Zhang, D.; Lal, S.; Barhoumi, A.; Scuseria, G.; Halas, N. Adenine− and adenosine monophosphate (AMP)− gold binding interactions studied by surface-enhanced Raman and infrared spectroscopies. The Journal of Physical Chemistry C 2009, 113, 14390–14397. [Google Scholar] [CrossRef]
- Synytsya, A.; Čopı́ková, J.; Matějka, P.; Machovič, V. Fourier transform Raman and infrared spectroscopy of pectins. Carbohydrate polymers 2003, 54, 97–106. [Google Scholar] [CrossRef]
- Schenzel, K.; Fischer, S. NIR FT Raman spectroscopy–a rapid analytical tool for detecting the transformation of cellulose polymorphs. Cellulose 2001, 8, 49–57. [Google Scholar] [CrossRef]
- Zhbankov, R.; Firsov, S.; Buslov, D.; Nikonenko, N.; Marchewka, M.; Ratajczak, H. Structural physico-chemistry of cellulose macromolecules. Vibrational spectra and structure of cellulose. Journal of molecular structure 2002, 614, 117–125. [Google Scholar] [CrossRef]
- da Silva, K.J.; Paschoal Jr, W.; Belo, E.A.; Moreira, S.G. Phase transition in all-trans-β-carotene crystal: temperature-dependent Raman spectra. The Journal of Physical Chemistry A 2015, 119, 9778–9784. [Google Scholar] [CrossRef]
- Grudzinski, W.; Janik, E.; Bednarska, J.; Welc, R.; Zubik, M.; Sowinski, K.; Luchowski, R.; Gruszecki, W.I. Light-driven reconfiguration of a Xanthophyll Violaxanthin in the photosynthetic pigment–protein complex LHCII: a resonance raman study. The Journal of Physical Chemistry B 2016, 120, 4373–4382. [Google Scholar] [CrossRef]
- Gruszecki, W.I.; Gospodarek, M.; Grudzinski, W.; Mazur, R.; Gieczewska, K.; Garstka, M. Light-induced change of configuration of the LHCII-bound xanthophyll (tentatively assigned to violaxanthin): a resonance Raman study. The Journal of Physical Chemistry B 2009, 113, 2506–2512. [Google Scholar] [CrossRef]
- Goldflus, F.; Ceccantini, M.; Santos, W. Amino acid content of soybean samples collected in different Brazilian states: Harvest 2003/2004. Brazilian Journal of Poultry Science 2006, 8, 105–111. [Google Scholar] [CrossRef]
- Flores-Tinoco, C.E.; Tschan, F.; Fuhrer, T.; Margot, C.; Sauer, U.; Christen, M.; Christen, B. Co-catabolism of arginine and succinate drives symbiotic nitrogen fixation. Molecular systems biology 2020, 16, e9419. [Google Scholar] [CrossRef]








Disclaimer/Publisher’s Note: The statements, opinions and data contained in all publications are solely those of the individual author(s) and contributor(s) and not of MDPI and/or the editor(s). MDPI and/or the editor(s) disclaim responsibility for any injury to people or property resulting from any ideas, methods, instructions or products referred to in the content. |
© 2024 by the authors. Licensee MDPI, Basel, Switzerland. This article is an open access article distributed under the terms and conditions of the Creative Commons Attribution (CC BY) license (http://creativecommons.org/licenses/by/4.0/).