Submitted:
06 June 2024
Posted:
07 June 2024
You are already at the latest version
Abstract
Keywords:
1. Introduction
2. Related Theories
2.1. Linear Minimum Variance (LMV) Criterion for Nonlinear Systems [23]
2.2. Central Difference Kalman Filtering
2.3. Conjugate Gradient Method for Unconstrained Optimization Problems
| Algorithm 1:Conjugate gradient method (PRP) |
| Initialization: , , |
| 1: |
| 2: |
| 3: |
| 4: |
| 5: |
3. Central Difference Variational Filtering Algorithm
| Algorithm 2:Central difference variational filtering algorithm |
| Initialization: |
| Prediction |
| For to N do |
| 1: |
| 2: , , |
| 3: |
| 4: |
| 5: |
| 6: |
| end |
| Update |
| Initialization: , , , |
| For do |
| 7. |
| 8. , |
| 9. |
| 10. |
| 11. |
| 11. |
| 12. |
| 13: |
| 14: |
| end |
| Return , |
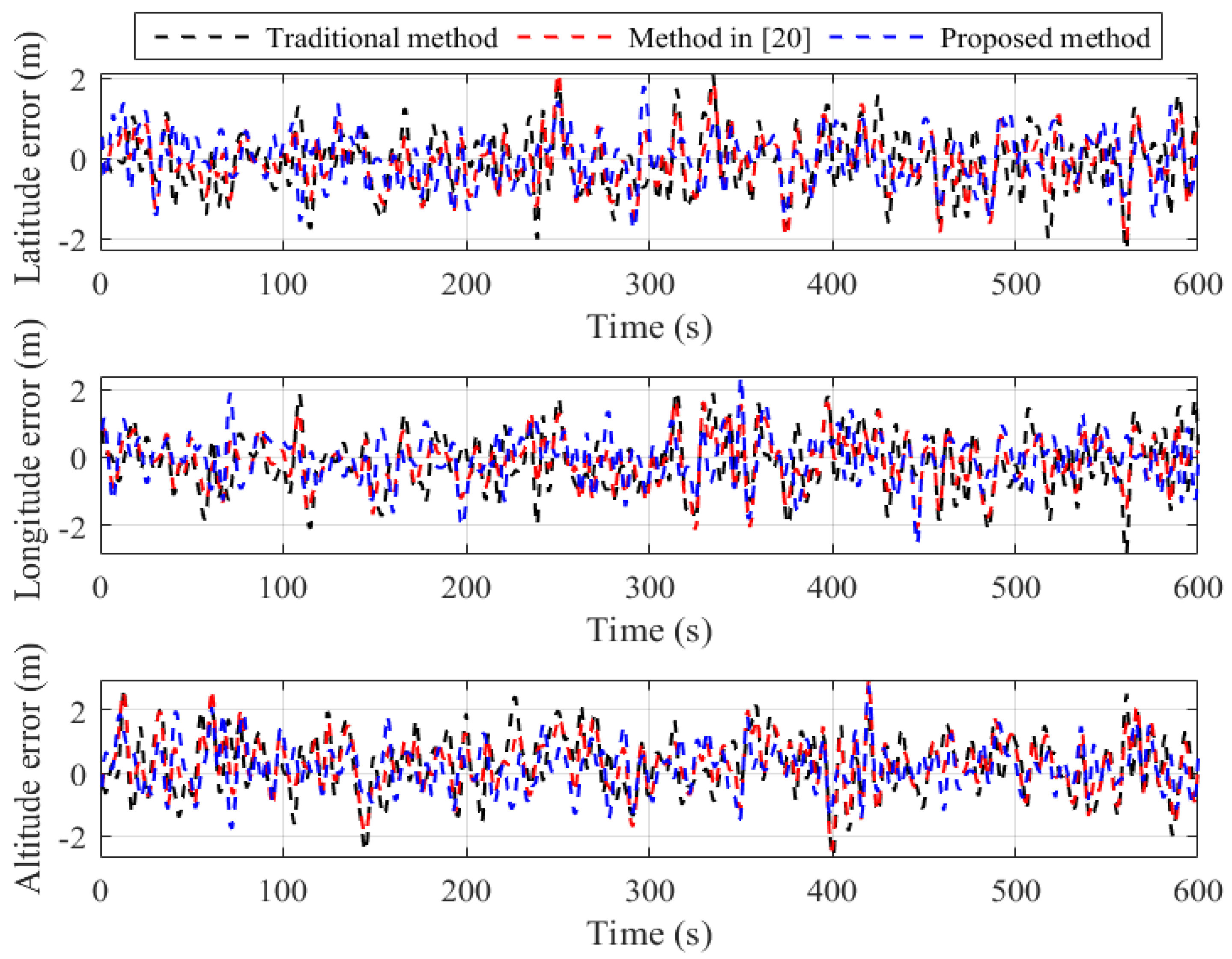
4. Experiment Validation
4.1. State-Space Model
4.2. Experiment Process and Result Analysis


| Items | Index |
| Gyrosocpe constant drift | 0.01° /h |
| Accelerometer constant bias | 20g |
5. Conclusion and Future Work
Author Contributions
Funding
Institutional Review Board Statement
Informed Consent Statement
Data Availability Statement
Acknowledgments
Conflicts of Interest
References
- Yihong Sun, Xiaolin Gong,Ling Yang, Dawei Wang, Fubo Zhang,“ A motion information acquisition algorithm of multiantenna SAR installed on flexible and discontinuous structure based on distributed POS," IEEE Transactions on Geoscience and Remote Sensing,vol.60,pp.1-12, 2022. [CrossRef]
- Xiaolin Gong, Yihong Sun, “An innovative distributed filter for airborne distributed position and orientation system," Aerosp. Sci. Technol.,vol.119,Dec.2021.
- Altan Aytac, Rifat Haciog,“Model predictive control of three-axis gimbal system mounted on UAV for real-time target tracking under external disturbances," Mechanical Systems and Signal Processing,vol.138, 2020.
- Yag I, Altan A,“Artificial Intelligence-Based Robust Hybrid Algorithm Design and Implementation for Real-Time Detection of Plant Diseases in Agricultural Environments," Biology,vol.11, Nov.2022.
- Z. Lu, J. Fang, H. Liu, X. Gong, and S. Wang, “Dual-filter transfer alignment for airborne distributed POS based on PVAM," Aerosp. Sci. Technol., vol. 71, pp. 136-146, Dec. 2017.
- B. Wang, Y. Liu, and W. Ye, “Dual Adaptive Factors-Based Integrated Navigation Performance Improvement for Airborne POS," IEEE Sensors J., vol. 19, no. 20, pp. 9479-9485, Oct. 2019.
- B. Wang, W. Ye, and Y. Liu, “Variational Bayesian Cubature RTS Smoothing for Transfer Alignment of DPOS," IEEE Sensors J., vol. 20, no. 6, pp. 3270 - 3279, Mar. 2020. [CrossRef]
- R. E. Kalman, “A new approach to linear filtering and prediction problems," J. Basic Eng., vol. 81, no. 1, pp. 35-45, Mar. 1960.
- K. Ito, K. Xiong, “Gaussian filters for nonlinear filtering problems," IEEE Trans.automat.control, vol. 45, no. 5, pp. 910-927, May 2000.
- S. Srkk, Bayesian Filtering and Smoothing. Cambridge, U.K.: Cambridge University Press, 2013.
- S. J. Julier, J. K. Uhlmann, and H. F. Durrant-Whyte, “A New Approach for Filtering Nonlinear Systems," American Contr. Conf., pp. 1628-1632, Jun. 1995.
- M. M. Andreasen, “Non-linear DSGE models and the central difference Kalman filter," J. Appl. Econom., vol. 28, no. 6, pp. 929-955, Sep. 2013.
- J. Nocedal, and S. J. Wright, Numerical optimization. New York, USA: Springer, 2006.
- F. B. Joseph, C. G. Jean, L. Claude, A. S. Claudia, Numerical optimization: theoretical and practical aspects. New York, USA: Springer, 2006.
- W. W. Hager, H. Zhang, “A survey of nonlinear conjugate gradient methods," Pacific J. Optimization, vol. 2, no. 1, pp. 35-58, Jan. 2006.
- M. R. Hestenes, and E. L. Stiefel, “Methods of Conjugate Gradients for Solving Linear Systems," J. res. nat. bur. stand, vol. 49, no. 6, pp. 81-85, 1952.
- R. Fletcher, C. M. Reeves, “Function minimization by conjugate gradients," Computer Journal, vol. 7, no. 2, pp. 149-154, Jan. 1964.
- Z. J. Shi, J. Shen, “Convergence of the Polak-Ribiére-Polyak conjugate gradient method," Nonlinear Analysis: Theory Methods and Applications, vol. 66, no. 6, pp. 1428-1441, Mar. 2007. [CrossRef]
- R. Fletcher. Practical methods of optimization, vol1: Unconstrained optimization. Chichester: John Wiley & Sons, 1980.
- B. Wang, W. Ye and Y. Liu, “Enhanced Disturbance Suppression Method Based on Nonlinear H∞ Filtering for Distributed POS in Aerial Earth Observation Imaging Application," IEEE Tran. Geosci. Remote Sens., vol. 60, pp. 1-9, 2022.
- Y. Liu, C. Storey, “Efficient generalized conjugate gradient algorithms, part 1: Theory," J. Optimization Theory Applications, vol. 69, no. 1, pp. 129-137, 1991.
- Y. H. Dai, Y. X. Yuan, “A Nonlinear Conjugate Gradient Method with a Strong Global Convergence Property," SIAM J. Optimization, vol. 19, no. 1, pp. 177-182, 1999.
- D. Simon, “Optimal State Estimation: Kalman, H∞, and Nonlinear Approaches," John Wiley & Sons, 2006.
- M. Lei, Z. Jing, and S. Hu, “Scaled unscented transform-based variational optimality filter," IEEE Inter. Conf. Inf. Fusion, Singapore, Jul. 2012.
- W. Ye, J. Li, J. Fang and X. Yuan, “EGP-CDKF for Performance Improvement of the SINS/GNSS Integrated System," IEEE Transactions on Industrial Electronics, vol. 65, no. 4, pp. 3601-3609,April 2018. [CrossRef]





| Items | Traditional | method in [20] | Proposed | |
| Attitude () | Heading | 0.066 | 0.058 | 0.050 |
| Pitch | 0.006 | 0.005 | 0.004 | |
| Roll | 0.005 | 0.004 | 0.003 | |
| Velocity (m/s) | East velocity | 0.026 | 0.023 | 0.019 |
| North velocity | 0.023 | 0.020 | 0.016 | |
| Up velocity | 0.031 | 0.026 | 0.022 | |
| Position (m) | Latitude | 0.748 | 0.645 | 0.580 |
| Longitude | 0.848 | 0.713 | 0.660 | |
| Height | 0.976 | 0.870 | 0.741 |
Disclaimer/Publisher’s Note: The statements, opinions and data contained in all publications are solely those of the individual author(s) and contributor(s) and not of MDPI and/or the editor(s). MDPI and/or the editor(s) disclaim responsibility for any injury to people or property resulting from any ideas, methods, instructions or products referred to in the content. |
© 2024 by the authors. Licensee MDPI, Basel, Switzerland. This article is an open access article distributed under the terms and conditions of the Creative Commons Attribution (CC BY) license (http://creativecommons.org/licenses/by/4.0/).