Submitted:
27 May 2024
Posted:
28 May 2024
You are already at the latest version
Abstract
Keywords:
1. Introduction
2. Materials and Methods
2.1. Study Area
2.2. Data Sampling
2.3. Data Analysis
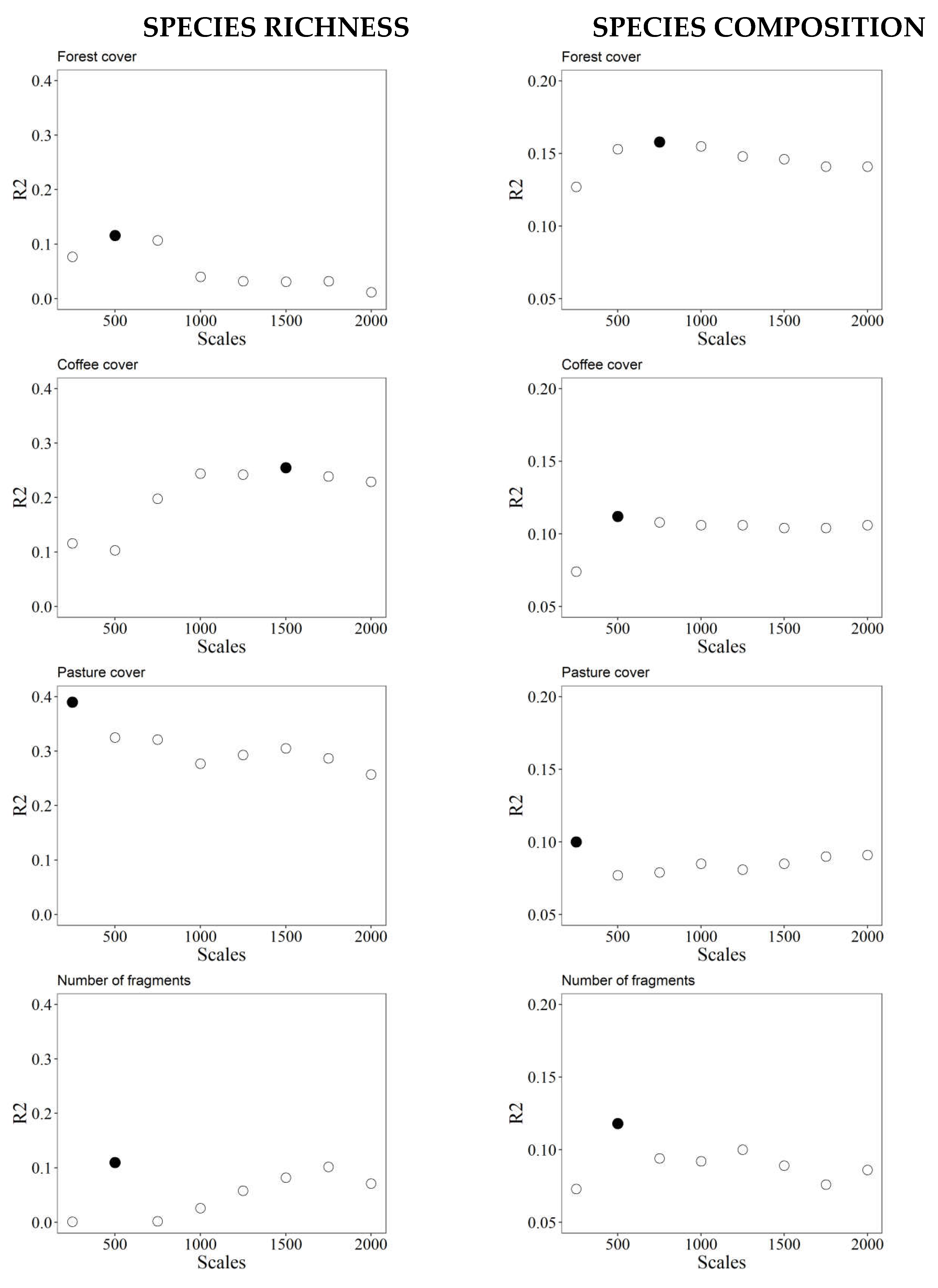
3. Results
Mammals Response to Landscape Variables
4. Discussion
Author Contributions
Funding
Acknowledgments
Conflicts of Interest
Contribution to the Field Statement
References
- Kissinger, G., M. Herold, V. De Sy. Drivers of Deforestation and Forest Degradation: A Synthesis Report for REDD+ Policymakers. Lexeme Consulting, Vancouver Canada, 2012, 46p.
- Dunning, J.B.; Danielson, B.J.; Pulliam, H.R. Ecological processes that affect populations in complex landscapes. Oikos. 1992, 65, 169–175. [Google Scholar] [CrossRef]
- Redford, K.H. The empty forest. BioScience. 1992, 42, 412–422. [Google Scholar] [CrossRef]
- Chiarello, A.G. Effects of fragmentation of the Atlantic forest on mammal communities in south-eastern Brazil. Biological Conservation. 1999, 89, 71–82. [Google Scholar] [CrossRef]
- Bello, C.; Galetti, M.; Pizo, M.A.; Magnago, L.F. S.; Rocha, M.F. , et al. Defaunation affects carbon storage in tropical forests. Science advances. 2005, 1, 1–10 e1501105. [Google Scholar]
- Bogoni, J.A.; Pires, J.S. R.; Graipel, M.E.; Peroni, N.; Peres, C.A. Wish you were here: How defaunated is the Atlantic Forest biome of its medium-to large-bodied mammal fauna? ., PloS one. 2018, 13, e0204515. [Google Scholar] [CrossRef] [PubMed]
- Regolin, A.L.; Cherem, J.J.; Graipel, M.E.; Bogoni, J.A.; Ribeiro, J.W.; et al. Forest cover influences occurrence of mammalian carnivores within Brazilian Atlantic Forest. Journal of Mammalogy. 2017, 98, 1721–1731. [Google Scholar] [CrossRef]
- Beca, G.; Vancine, M.H.; Carvalho, C.S.; Pedrosa, F.; Alves, R.S. C.; et al. High mammal species turnover in forest patches immersed in biofuel plantations. Biological Conservation. 2017, 210, 352–359. [Google Scholar] [CrossRef]
- Gestich, C.C.; Arroyo-Rodríguez, V.; Ribeiro, M.C.; da Cunha, R.G.; Setz, E.Z. Unraveling the scales of effect of landscape structure on primate species richness and density of titi monkeys (Callicebus nigrifrons). Ecological Research, 2019, 34, 150–159. [Google Scholar] [CrossRef]
- Prugh, L.R.; Hodges, K.E.; Sinclair, A.R.; Brashares, J.S. Effect of habitat area and isolation on fragmented animal populations. Proceedings of the National Academy of Sciences. 2008, 105, 20770–20775. [Google Scholar] [CrossRef]
- Kupfer, J.A.; Malanson, G.P.; Franklin, S.B. Not seeing the ocean for the islands: the mediating influence of matrix-based processes on forest fragmentation effects. Global ecology and biogeography. 2006, 15, 8–20. [Google Scholar] [CrossRef]
- Didham, R.K.; Kapos, V.; Ewers, R.M. Rethinking the conceptual foundations of habitat fragmentation research. Oikos. 2012, 121(2), 161–170. [Google Scholar] [CrossRef]
- Prevedello, J.A.; Vieira, M.V. Does the type of matrix matter? A quantitative review of the evidence. Biodiversity and Conservation. 2010, 19, 1205–1223. [Google Scholar] [CrossRef]
- Driscoll, D.A.; Banks, S.C.; Barton, P.S.; Lindenmayer, D.B.; Smith, A.L. Conceptual domain of the matrix in fragmented landscapes. Trends in Ecology & Evolution. 2013, 28, 605–613. [Google Scholar]
- McGarigal, K.; Cushman, S.A. Comparative evaluation of experimental approaches to the study of habitat fragmentation effects. Ecological Applications. 2002, 12, 335–345. [Google Scholar] [CrossRef]
- Fahrig, L. Rethinking patch size and isolation effects: the habitat amount hypothesis. Journal of Biogeography. 2013, 40, 1649–1663. [Google Scholar] [CrossRef]
- Fahrig, L. Ecological responses to habitat fragmentation per se. Annual Review of Ecology, Evolution, and Systematics. 2017, 48, 1–23. [Google Scholar] [CrossRef]
- Hanski, I. Habitat fragmentation and species richness. Journal of Biogeography. 2015, 42(5), 989–993. [Google Scholar] [CrossRef]
- Fletcher Jr, R.J.; Reichert, B.E.; Holmes, K. The negative effects of habitat fragmentation operate at the scale of dispersal. Ecology. 2018, 99, 2176–2186. [Google Scholar] [CrossRef] [PubMed]
- Villard, M.A.; Metzger, J.P. Beyond the fragmentation debate: a conceptual model to predict when habitat configuration really matters. Journal of Applied Ecology. 2014, 51, 309–318. [Google Scholar] [CrossRef]
- Püttker, T. , Indirect effects of habitat loss via habitat fragmentation: A cross-taxa analysis of forest-dependent species. Biological Conservation. 2020, 241. [Google Scholar] [CrossRef]
- Brennan, J.M.; Bender, D.J.; Contreras, T.A.; Fahrig, L. Focal patch landscape studies for wildlife management: Optimizing sampling effort. In: Liu, J; Tailor W.W. Integrating landscape ecology into natural resource management. Cambridge: Cambridge University Press. 2002. [Google Scholar]
- Jackson, H.B.; Fahrig, L. What size is a biologically relevant landscape? . Landscape Ecology. 2012, 27, 929–941. [Google Scholar] [CrossRef]
- Jackson, H.B.; Fahrig, L. Are ecologists conducting research at the optimal scale? . Global Ecology and Biogeography. 2015, 24, 52–63. [Google Scholar] [CrossRef]
- Miguet, P.; Jackson, H.B.; Jackson, N.D.; Martin, A.E.; Fahrig, L. What determines the spatial extent of landscape effects on species? Landscape Ecology. 2016, 31, 1177–1194. [Google Scholar] [CrossRef]
- Suárez-Castro, A.F.; Simmonds, J.S.; Mitchell, M.G.; Maron, M.; Rhodes, J.R. The scale-dependent role of biological traits in landscape ecology: a review. Current Landscape Ecology Reports. 2018, 3, 12–22. [Google Scholar] [CrossRef]
- Myers, N.; Mittermeier, R.A.; Mittermeier, C.G.; Da Fonseca, G.A.; Kent, J. Biodiversity hotspots for conservation priorities. Nature. 2000, 403, 853–858. [Google Scholar] [CrossRef] [PubMed]
- Galindo-Leal, C.; Câmara, I.D. G. Atlantic Forest hotspot status: an overview. The Atlantic Forest of South America: biodiversity status, threats, and outlook. 1 edition, Island Press. USA, 2003, 408p.
- Laurance, W.F. Conserving the hottest of the hotspots. Biological Conservation. 2009, 142, 1137. [Google Scholar] [CrossRef]
- Strassburg, B.B.; Brooks, T.; Feltran-Barbieri, R.; Iribarrem, A.; Crouzeilles, R. , et al. Moment of truth for the Cerrado hotspot. Nature Ecology & Evolution. 2017, 1, 1–3. [Google Scholar]
- Ribeiro, M.C.; Metzger, J.P.; Martensen, A.C.; Ponzoni, F.J.; Hirota, M.M. The Brazilian Atlantic Forest: How much is left, and how is the remaining forest distributed? Implications for conservation. Biological Conservation. 2009, 142, 1141–1153. [Google Scholar]
- Schiffler, G. (2003). Fatores determinantes da riqueza local de espécies de Scarabaeidae (Insecta Coleoptera) em fragmentos de floresta estacional semidecídua. [master’s thesis] [Lavras (MG)]: Universidade Federal de Lavras.
- Dantas, A.A. A.; Carvalho, L.G. D.; Ferreira, E. Classificação e tendências climáticas em Lavras, MG. Ciência e Agrotecnologia. 2007, 31, 1862–1866. [Google Scholar] [CrossRef]
- Andrade-Núñez, M.J.; Aide, T.M. Effects of habitat and landscape characteristics on medium and large mammal species richness and composition in northern Uruguay. Zoologia. 2010, 27, 909–917. [Google Scholar] [CrossRef]
- Lyra-Jorge, M.C.; Ribeiro, M.C.; Ciocheti, G.; Tambosi, L.R.; Pivello, V.R. Influence of multi-scale landscape structure on the occurrence of carnivorous mammals in a human-modified savanna, Brazil. European Journal of Wildlife Research. 2010, 56, 359–368. [Google Scholar] [CrossRef]
- Srbek-Araujo, A.C.; Chiarello, A.G. Is camera-trapping an efficient method for surveying mammals in Neotropical forests? A case study in south-eastern Brazil. Journal of Tropical Ecology. 2005, 121–125. [Google Scholar] [CrossRef]
- Arroyo-Rodríguez, V.; Fahrig, L. Why is a landscape perspective important in studies of primates? American Journal of Primatology. 2014, 76, 901–909. [Google Scholar] [CrossRef] [PubMed]
- Paglia, A.P.; Da Fonseca, G.A.; Rylands, A.B.; Herrmann, G.; Aguiar, L.M.; Chiarello, A. G, et al. Lista Anotada dos Mamíferos do Brasil 2ª Edição/Annotated Checklist of Brazilian Mammals. Occasional papers in conservation biology. 2012, 6, 1–82 Arlington: Conservation International. [Google Scholar]
- Quintela, F.; Rosa, C.A.; Feijo, A. Updated and annotated checklist of recent mammals from Brazil. Anais da Academia Brasileira de Ciências. 2020, 92.
- Smith, C.D.; Pontius, J.S. Jackknife estimator of species richness with S-PLUS. Journal of Statistical Software 15: 1–12. 2006.
- Legendre, P.; Anderson, M.J. Distance-based redundancy analysis: testing multispecies responses in multifactorial ecological experiments. Ecological Monographs. 1999, 69(1), 1–24. [Google Scholar] [CrossRef]
- McArdle, B.H.; Anderson, M.J. Fitting multivariate models to community data: a comment on distance-based redundancy analysis. Ecology. 2001, 82, 290–297. [Google Scholar] [CrossRef]
- Arroyo-Rodríguez, V.; Mandujano, S. Conceptualization and measurement of habitat fragmentation from the primates’ perspective. International Journal of Primatology. 2009, 30, 497–514. [Google Scholar] [CrossRef]
- Marsh, C.; Link, A.; King-Bailey, G.; Donati, G. Effects of fragment and vegetation structure on the population abundance of Ateles hybridus, Alouatta seniculus and Cebus albifrons in Magdalena Valley, Colombia. Folia Primatologica. 2016, 87, 17–30. [Google Scholar] [CrossRef] [PubMed]
- Ricketts, T.H. The matrix matters: effective isolation in fragmented landscapes. The American Naturalist. 2001, 158, 87–99. [Google Scholar] [CrossRef]
- Prevedello, J.A.; Gotelli, N.J.; Metzger, J.P. A stochastic model for landscape patterns of biodiversity. Ecological Monographs. 2016, 86, 462–479. [Google Scholar] [CrossRef]
- Ewers, R.M.; Didham, R.K. Confounding factors in the detection of species responses to habitat fragmentation. Biological Reviews. 2006, 81, 117–142. [Google Scholar] [CrossRef] [PubMed]
- Caryl, F.M.; Quine, C.P.; Park, K.J. Martens in the matrix: the importance of nonforested habitats for forest carnivores in fragmented landscapes. Journal of Mammalogy. 2012, 93, 464–474. [Google Scholar] [CrossRef]
- Gheler-Costa, C.; Vettorazzi, C.A.; Pardini, R.; Verdade, L.M. The distribution and abundance of small mammals in agroecosystems of southeastern Brazil. Mammalia. 2012, 76(2), 185–191. [Google Scholar] [CrossRef]
- Dotta, G.; Verdade, L.M. Medium to large-sized mammals in agricultural landscapes of south-eastern Brazil. Mammalia. 2011, 75, 345–352. [Google Scholar] [CrossRef]
- Ferraz, K.M. P. B.; Ferraz, S.F. B.; Moreira, J.R.; Couto, H.T. Z.; Verdade, L.M. Capybara (Hydrochoerus hydrochaeris) distribution in agroecosystems: A cross-scale habitat analysis. Journal of Biogeography. 2007, 34(2), 223–230. [Google Scholar] [CrossRef]
- Calvão, L.B.; Juen, L.; de Oliveira Junior, J.M. B.; Batista, J.D.; Júnior, P.D. M. Land use modifies Odonata diversity in streams of the Brazilian Cerrado. Journal of Insect Conservation. 2018, 22(5-6), 675-685.
- Reis, N.; Peracchi, A.; Pedro, W.; Lima, I. Mamíferos do Brasil. Londrina, Brasil, 2006, 437p.
- Sánchez-Zapata, J.A.; Calvo, J.F. Raptor distribution in relation to landscape composition in semi-arid Mediterranean habitats. Journal of Applied Ecology. 1999, 36, 254–262. [Google Scholar] [CrossRef]
- Pardo, L.E.; Campbell, M.J.; Edwards, W.; Clements, G.R.; Laurance, W.F. Terrestrial mammal responses to oil palm dominated landscapes in Colombia. PloS one. 2018, 13, e0197539. [Google Scholar] [CrossRef] [PubMed]
- Soto-Werschitz, A. ; Mandujano, S; Passamani, M. Influence of forest type on the diversity, abundance, and naïve occupancy of the mammal assemblage in the southeastern Brazilian Atlantic Forest. Therya. 2023, 14.
- Dias, W.A. F.; Tezori, R.F. F.; Oliveira, A.K. Registro de mamíferos de médio e grande porte em dois fragmentos florestais no município de São Carlos, Estado de São Paulo. Multiciência. 2012, 11, 277–293. [Google Scholar]
- Melo-Dias, M.; Passamani, M. Mamíferos de médio e grande porte no campus da Universidade Federal de Lavras, sul do estado de Minas Gerais, Brasil. Oecologia Australis. 2018, 22. [Google Scholar] [CrossRef]
- González-Suárez, M.; Gómez, A.; Revilla, E. Which intrinsic traits predict vulnerability to extinction depends on the actual threatening processes. Ecosphere. 2013, 4, 1–16. [Google Scholar] [CrossRef]
- Fahrig, L.; Merriam, G. Conservation of fragmented populations. Conservation Biology. 1994, 8, 50–59. [Google Scholar] [CrossRef]
- Sampaio, R.; Lima, A.P.; Magnusson, W.E.; Peres, C.A. Long-term persistence of midsized to large-bodied mammals in Amazonian landscapes under varying contexts of forest cover. Biodiversity and Conservation. 2010, 19, 2421–2439. [Google Scholar] [CrossRef]
- Holt, R.D. Food webs in space: an island biogeographic perspective. Food webs. Boston: Springer.
- Levins, R. Some demographic and genetic consequences of environmental heterogeneity for biological control. American Entomologist. 1969, 15, 237–240. [Google Scholar] [CrossRef]
- Hanski, I. Single-species metapopulation dynamics: concepts, models and observations. Biological Journal of the Linnean Society. 1991, 42, 17–38. [Google Scholar] [CrossRef]
- MacArthur, R.H. , & Wilson, E.O. The theory of island biogeography (Vol. 1). Princeton University Press. USA, 2001. 203p.
- Haila, Y. A conceptual genealogy of fragmentation research: from island biogeography to landscape ecology. Ecological Applications. 2002, 12, 321–334. [Google Scholar]
- Laurance, W.F. Theory meets reality: how habitat fragmentation research has transcended island biogeographic theory. Biological Conservation. 2008, 141, 1731–1744. [Google Scholar] [CrossRef]
- Anderson, J.; Rowcliffe, J.M.; Cowlishaw, G. Does the matrix matter? A forest primate in a complex agricultural landscape. Biological Conservation. 2007, 135, 212–222. [Google Scholar]
- Rabelo, R.M.; Aragón, S.; Bicca-Marques, J.C.; Nelson, B.W. Habitat amount hypothesis and passive sampling explain mammal species composition in Amazonian river islands. Biotropica. 2019, 51, 84–92. [Google Scholar] [CrossRef]
- Perović, D.J.; Gurr, G.M.; Raman, A.; Nicol, H.I. Effect of landscape composition and arrangement on biological control agents in a simplified agricultural system: a cost–distance approach. Biological Control. 2010, 52, 263–270. [Google Scholar] [CrossRef]
- Phalan, B.; Onial, M.; Balmford, A.; Green, R.E. Reconciling food production and biodiversity conservation: land sharing and land sparing compared. Science. 2011, 333, 1289–1291. [Google Scholar] [CrossRef]
- Boesing, A.L.; Nichols, E.; Metzger, J.P. Land use type, forest cover and forest edges modulate avian cross-habitat spillover. Journal of Applied Ecology. 2018, 55, 1252–1264. [Google Scholar] [CrossRef]
- Lang, S.; Blaschke, T. 2009. Análise da paisagem com SIG, São Paulo: Oficina de textos, Brazil, 2009, 424p.




| Variable | Meaning | Ecological interpretation | Reference |
|---|---|---|---|
| Composition landscape variables | |||
| Forest cover | Proportion of area covered by forest |
Proxy for habitat amount in the landscape |
[16] |
| Coffee cover | Proportion of area covered by coffee |
More permeable matrix for forest species |
[73] |
| Pasture cover | Proportion of area covered by pasture |
Less or not permeable matrix for forest species |
[50] |
| Configuration landscape variables | |||
| NP | Number of forest fragments in landscape |
More fragments indicates more fragmentation |
[17] |
| NNDist |
Mean distance among forest fragments (m) |
The more isolated the fragments indicate more fragmentation |
[74] |
| Variable (scale) | Adj R^2 | Pseudo-F | P | R² | Cumul. | res.df |
| +Pasture cover (250 m) |
0.3344 | 7.0298 | 0.024 | 0.389 | 0.389 | 11 |
| Variable (scale) | Adj R^2 | Pseudo-F | P | Prop. | Cumul. | res.df |
| +Forest cover (750 m) | 0.0816 | 2.0668 | 0.022 | 0.1582 | 0.15817 | 11 |
| +Coffee cover (500 m) | 0.1226 | 1.5141 | 0.142 | 0.1107 | 0.26887 | 10 |
| +NNDist (2000 m) | 0.1658 | 1.5171 | 0.175 | 0.10547 | 0.37434 | 9 |
Disclaimer/Publisher’s Note: The statements, opinions and data contained in all publications are solely those of the individual author(s) and contributor(s) and not of MDPI and/or the editor(s). MDPI and/or the editor(s) disclaim responsibility for any injury to people or property resulting from any ideas, methods, instructions or products referred to in the content. |
© 2024 by the authors. Licensee MDPI, Basel, Switzerland. This article is an open access article distributed under the terms and conditions of the Creative Commons Attribution (CC BY) license (http://creativecommons.org/licenses/by/4.0/).
