Submitted:
23 May 2024
Posted:
24 May 2024
You are already at the latest version
Abstract
Keywords:
1. Introduction
2. Experimental Setup
2.1. Pre-chamber Design & Experiment Operating Conditions
2.2. Combustion Performance Parameters
2.3. Jet Flame Analysis Method
can be calculated using all collected flame jet lengths.
can be obtained by Equation 6.
is the jet flame volume of stoichiometric combustion at 0.5 MPa initial ambient pressure.3. Results and discussion
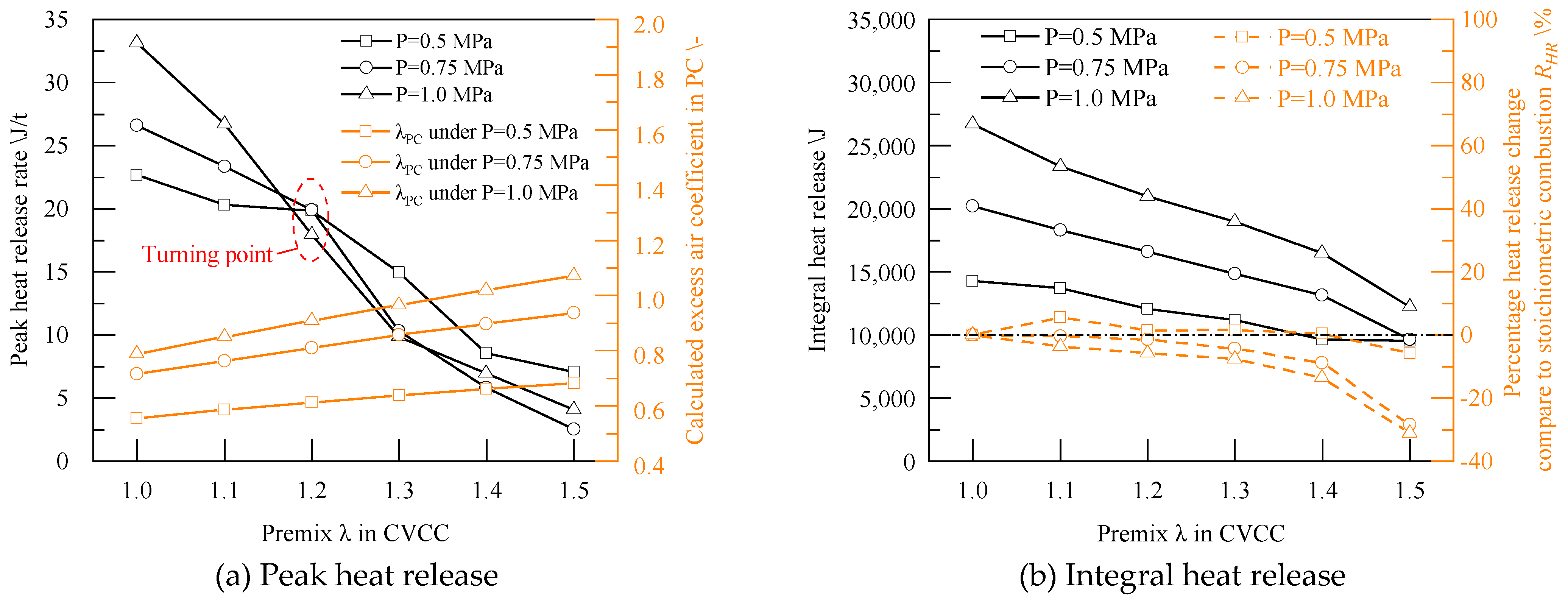
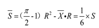
3.1. Combustion Pressure and Heat Release Rate
3.2. Jet Flame Image Analysis
4. Conclusions
- The APC could expand the lean limit to premixed λ=1.5 compared with premixed λ=1.2 of PPC at different ambient pressures.
- At stoichiometric and slightly lean combustion conditions, appropriately increasing the ambient pressure can promote ignition and combustion performance of APC and PPC with the heat release peak increased and the combustion period shortened. At lean combustion conditions, the ignition and combustion performance decrease rapidly after the premixed λ exceeds a certain value at high ambient pressure, while APC could increase the premixed λ corresponding to this turning point.
- At the stoichiometric combustion and slightly lean combustion (λ=1.0 and λ=1.1) conditions with APC, the peak heat release rate positively correlates with the initial ambient pressure increase. As the premixed λ increases, the peak heat release rate and ambient pressure negatively correlate.
- The ignition delay increases with the increase of premixed λ. At the same time, the ignition delay period of APC is directly related to the fuel concentration in the PC. The ignition delay can be minimized by controlling the excess air coefficient in the pre-chamber near the stoichiometric ratio.
- The high initial ambient pressure in the constant-volume chamber dramatically reduces the volume of the jet flame and the mixture entrainment capacity at lean-combustion conditions, thereby reducing the combustion speed and peak heat release. At the same time, the APC can significantly increase the jet intensity, which could weaken the ambient pressure effect on the jet penetration at lean combustion conditions.
Author Contributions
Acknowledgments
Conflicts of Interest
Abbreviations
| Combustion heat release change ratio | |
| Integral heat release rate | |
| Integral heat release rate at stoichiometric combustion condition | |
| Fuel injection mass | |
| Fuel injection mass at stoichiometric combustion condition | |
| The average jet flame penetration length | |
| X’ | The jet length in the axis direction |
| S | The cumulative flame area |
| R | The approximate spherical radius |
| The equivalent jet flame volume | |
| The jet flame volume of stoichiometric combustion at 0.5 MPa initial ambient pressure | |
| Percentage change rate of the jet flame volume | |
| APC | Active pre-chamber |
| CVCC | Constant-volume combustion chamber |
| HEI | High-energy spark ignition |
| MCP | Main chamber combustion period |
| PC | Pre-chamber |
| PPC | Passive pre-chamber |
References
- Toulson, E., Schock, H., and Attard, W., "A Review of Pre-Chamber Initiated Jet Ignition Combustion Systems," SAE Technical Paper 2010-01-2263, 2010. [CrossRef]
- Joshi, A., "Review of Vehicle Engine Efficiency and Emissions," SAE Int. J. Adv. & Curr. Prac. in Mobility 2(5):2479-2507, 2020. [CrossRef]
- Atis, C., Chowdhury, S., Ayele, Y., Stuecken, T. et al., "Ultra-Lean and High EGR Operation of Dual Mode, Turbulent Jet Ignition (DM-TJI) Engine with Active Pre-chamber Scavenging," SAE Technical Paper 2020-01-1117, 2020. [CrossRef]
- Ayala, F., Gerty, M., and Heywood, J., "Effects of Combustion Phasing, Relative Air-fuel Ratio, Compression Ratio, and Load on SI Engine Efficiency," SAE Technical Paper 2006-01-0229, 2006. [CrossRef]
- Li, F., Wang, Z., Wang, Y. et al. High-Efficiency and Clean Combustion Natural Gas Engines for Vehicles. Automot. Innov. 2, 284–304 (2019). [CrossRef]
- Jamrozik, Arkadiusz and Wojciech Tutak. “A study of performance and emissions of SI engine with a two-stage combustion system.” Chemical and Process Engineering 32 (2011): 453-471. [CrossRef]
- Jiaye Shi,Jinqiu Wang,Jun Deng,Xinke Miao,Yihui Liu,Liguang Li. Study on Combustion and Emission Characteristics of High Compression Ratio Gasoline Engine Based on Two⁃stage High Energy Ignition and Passive Pre⁃chamber[J]. Automotive Engineering, 2021, 43(9): 1300-1307. [CrossRef]
- Wimmer, D. and Lee, R., "An Evaluation of the Performance and Emissions of a CFR Engine Equipped with a Prechamber," SAE Technical Paper 730474, 1973. [CrossRef]
- WU Jian, CHEN Jiawen, DU Jiakun, CHEN Hong, LI Yuhuai, ZHAN Wenfeng. Combustion and Emission Characteristics of a Lean Burn Gasoline Direct Injection Engine with Active Pre-chamber. Chinese Internal Combustion Engine Engineering, 2021, 42(3): 55-60.
- Attard, William P., Neil Fraser, Patrick Parsons and Elisa Toulson. “A Turbulent Jet Ignition Pre-Chamber Combustion System for Large Fuel Economy Improvements in a Modern Vehicle Powertrain.” SAE International journal of engines 3 (2010): 20-37. [CrossRef]
- Zheng, Zeyuan, Lei Wang, Jiaying Pan, Mingzhang Pan, and Haiqiao Wei. “Numerical Investigations on Turbulent Jet Ignition with Gasoline as an Auxiliary Fuel in Rapid Compression Machines.” Combustion Science and Technology 195, no. 4 (2023): 672–91. [CrossRef]
- Yang X, Cheng Y, Zhao Q, Wang P, Chen J. Effect of spark ignition location on the turbulent jet ignition characteristics in a lean burning natural gas engine. International Journal of Engine Research. 2023;24(2):702-719. [CrossRef]
- Qiang Wang, Longhua Hu, Suk Ho Chung. Blow-out of nonpremixed turbulent jet flames at sub-atmospheric pressures. Combustion and Flame, 2017(176):358-360. [CrossRef]
- Hee J. Kim, Kyuho Van, Dae K. Lee, Chun S. Yoo, Jeong Park, Suk H. Chung. Laminar flame speed, Markstein length, and cellular instability for spherically propagating methane/ethylene–air premixed flames. Combustion and Flame, 2020(214):464-474. [CrossRef]
- Shah, a., p. Tunestal, and b. Johansson. Effect of relative mixture strength on performance of divided chamber ‘avalanche activated combustion’ ignition technique in a heavy duty natural gas engine. SAE Technical Paper, 2014-01-1327, 2014. [CrossRef]
- Busch, S., Bohac, S. V., and Assanis, D. N. (June 6, 2008). "A Study of the Transition Between Lean Conventional Diesel Combustion and Lean, Premixed, Low-Temperature Diesel Combustion." ASME. J. Eng. Gas Turbines Power. September 2008; 130(5): 052804. [CrossRef]
- Deng Jun, Zhong Huiping, Gong Yinchun, Gong Xuehai, Li Liguang. Studies on injection and mixing characteristics of high pressure hydrogen and oxygen jet in argon atmosphere. Fuel. 2018(226). 454-461. [CrossRef]


















| Parameter | Value |
| Fuel | RON95 |
| Premix λ | From 1.0 to the lean-limit |
| Initial ambient pressure Pa [MPa] | 0.5, 0.75 & 1.0 |
| Initial temperature T [K] | 373 |
| Low-flow injection mass in APC [mg] | 0.64 |
| Gasoline injection pressure [MPa] | 20 |
| Spark plug ignition energy [mJ] | 120 |
| Frames per second [fps] | 10000 |
| Image resolution [pixels] | 560×516 |
Disclaimer/Publisher’s Note: The statements, opinions and data contained in all publications are solely those of the individual author(s) and contributor(s) and not of MDPI and/or the editor(s). MDPI and/or the editor(s) disclaim responsibility for any injury to people or property resulting from any ideas, methods, instructions or products referred to in the content. |
© 2024 by the authors. Licensee MDPI, Basel, Switzerland. This article is an open access article distributed under the terms and conditions of the Creative Commons Attribution (CC BY) license (http://creativecommons.org/licenses/by/4.0/).