Preprint
Review

This version is not peer-reviewed.

Sustainable and Innovative Self-Healing Concrete Technologies to Mitigate Environmental Impacts in Construction

A peer-reviewed article of this preprint also exists.

Submitted:

09 May 2024

Posted:

10 May 2024

You are already at the latest version

Abstract
The production of concrete and the manufacturing process of cement results in a significant carbon footprint, contributing to a large portion of global emissions in structures such as buildings, bridges, roads, and tunnels. Although concrete is an ideal building material that is durable and long-lasting, it can be susceptible to micro-cracks. These micro-cracks in concrete can allow water and chlorine ions to penetrate the structure, leading to the degradation of concrete and corrosion of the reinforcement, posing an unacceptable level of structural risk. Self-healing concrete is not a new material in the construction industry but can be characterized by the capability of concrete to repair its cracks autogenously or autonomously. Recent advancements in concrete research and technology have given us a better understanding of concrete's healing properties. Self-healing concrete combines durability with sustainability while offsetting the high carbon output of concrete manufacturing and production and associated life-cycle costs. Technologies such as microbially-induced calcite (calcium carbonate) precipitation (MICP), shape memory polymers, encapsulation methods, hydration, and swelling agents can potentially reduce carbon emissions while enhancing resilience and longevity. This paper examines these technologies and their applications in the construction industry by comprehensively reviewing the literature and available case studies. The study concluded that there are promising advancements and innovations in concrete, particularly when improving upon the autogenous healing properties. The recommendations for future research include exploring more ways to bring the concrete industry and cement manufacturing toward net zero carbon emissions.
Keywords: 
;  ;  ;  ;  

Introduction and Background

The creation of concrete involves three essential components: Portland cement, fine and coarse aggregates, and water. These ingredients are blended to form a fluid mixture that can be poured into molds to achieve the desired shape. Once mixed, the Portland cement starts the process of hydration, which refers to the chemical bonding between the cement and water molecules. This process concludes with the formation of a solidified matrix (PCA, 2024). In 2006, self-healing concrete (SHC) was invented by Professor Henk Jonkers a microbiologist at Delft University of Technology, Netherlands, “After 36 months of testing, he discovered the perfect healing agent, so-called bacillus” (Amran et al. 2022).
Concrete is a highly versatile construction material with exceptional strength and durability when designed correctly. Despite efforts to create stronger and longer-lasting structures, many modern concrete projects still require significant maintenance within the first ten to fifteen years of their service lives (Maddalena et al. 2022). Concrete structures are, unfortunately, susceptible to various factors that can cause deterioration, resulting in weakened structures and unsafe conditions. Concrete deterioration is a common problem that occurs when the material is exposed to weather, water, or chemicals over a long period. One of the most common causes of concrete failure is corrosion of the reinforcing rebar. Harmful elements such as chlorides, alkalis, carbon dioxide, and moisture penetrate the concrete in high concentrations, reaching the depth of the embedded reinforcing steel. The steel corrosion process is expansive, causing the surrounding concrete to fracture and weaken the steel as it rusts. Freeze and thaw cycles gradually deteriorate the concrete surfaces, breaking down layers so that the concrete becomes more porous, forming cracks and fissures, compromising the material further, every season (D. Matthew Stuart, 2020). Abrasion or physical damage from heavy traffic, machinery, and other environmental factors can also contribute to concrete degradation.
The Portland Cement Association states that its producers have been recognized by the U.S. Environmental Protection Agency (EPA) for improved sustainability in manufacturing processes to reduce environmental impacts caused by the life cycle of concrete (PCA, 2024). Unfortunately, concrete is still responsible for significant waste and carbon emissions (PCA, 2024). Given that there is an abundance of research and technology to explore, the scope of this paper will look at some examples of microbially induced calcium carbonate precipitation (MICP), biogenic limestone, examples of supplementary cementitious materials (SCM), examples of shape memory polymers (SMP), and carbon nanofiber technologies.

Literature Review

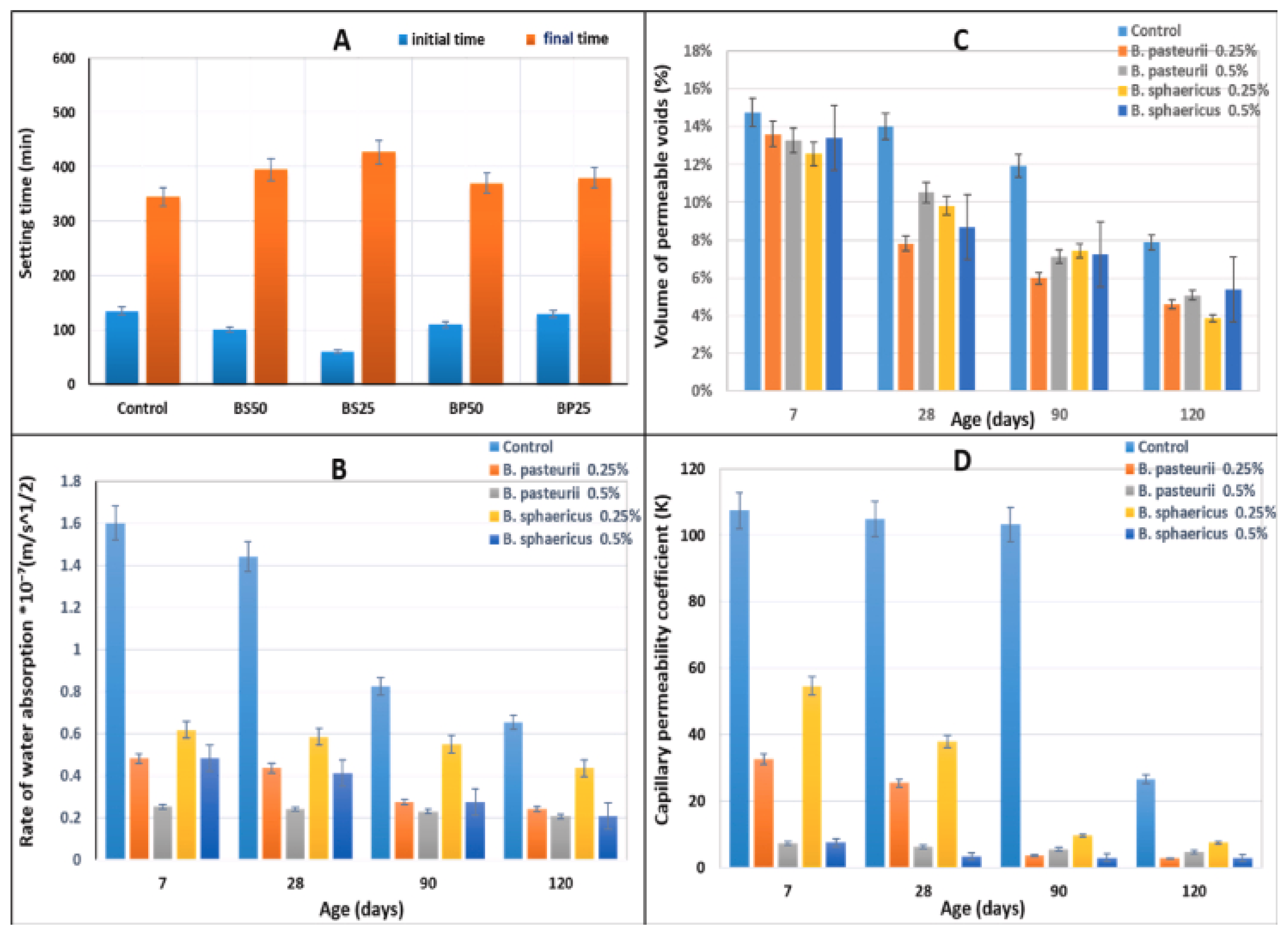
The drive towards sustainability in the construction industry has led to innovative approaches that not only enhance the durability of concrete but also aim to reduce carbon emissions. Several self-healing concrete technologies specifically target both these aspects of self-repair and carbon reduction. A few notable examples and case studies were analyzed, starting with current self-healing mechanisms. "Microbially induced calcium carbonate precipitation (MICP) is one of the low-toxic crack repair methods. The bio-mediated calcium carbonate (CaCO3) is produced due to the reaction between urease-producing bacteria with nutrients and urea. The ureolytic bacteria combines with the urea during the reaction process, converting the urea into the ammonium and carbonate ions, and the precipitation of CaCO3 is associated with calcium salt addition” (Pitcha Jongvivatsakul, 2019). MICP is an innovative approach for continuously repairing micro-cracks in concrete, improving its durability and thus reducing maintenance costs (Nasser et al. 2022). The study Nasser and team carried out examined the impact of bacterial addition over 3-120 days. The results showed that, at all ages tested, the volume of permeable voids decreased in all treated samples compared to the control group. As a result, the compressive strength increased due to decreased porosity and permeability (Nasser et al. 2022).
Regarding carbon reduction, MICP uses bacteria that precipitate calcite naturally when activated by water ingress in cracks. The calcite precipitation not only heals the cracks but can also sequester carbon dioxide during the formation of calcium carbonate. This biological process turns concrete into a carbon vessel, offsetting some carbon emissions associated with cement production. Additionally, the concrete’s durability is enhanced, and service life extended, reducing the environmental impact of frequent repairs and replacements. Critically speaking, "this pathway has a few drawbacks such as the emission of nitrogen oxide in the atmosphere and increased risk of salt damage by conversion to nitric acid in concrete due to the production of an excessive amount of ammonia in the matrix. To deal with this drawback of excessive ammonium ion production, few researchers [have proposed the idea of metabolic conversion of organic compound (organic acid salt) to calcium carbonate. When organic acids (such as calcium lactate) are aerobically oxidized, carbon dioxide is generated in an alkaline atmosphere, which is converted to CaCO3 in the presence of Ca+2. Compared to ureolysis pathway, this metabolic conversion is more suitable with respect to compatibility with concrete matrix composition, protection of reinforcement bars, and most importantly high production of CaCO3 but no ammonium” (Bandyopadhyay et al. 2023).
Figure 1. (a) Initial and final setting times, (b) Rate of water absorption, (c) Volume of permeable voids (%), (d) Capillary permeability for bacterial and control mortar samples using 0.25% and 0.50% concentration of cement weight (Nasser et al. 2022).
Figure 1. (a) Initial and final setting times, (b) Rate of water absorption, (c) Volume of permeable voids (%), (d) Capillary permeability for bacterial and control mortar samples using 0.25% and 0.50% concentration of cement weight (Nasser et al. 2022).
Preprints 106059 g001
Another technology reviewed was the use of a Biogenic Limestone. Biogenic Limestone employs photosynthetic bacteria to produce limestone within the concrete matrix. Like MICP, the bacteria can capture and convert CO2 into calcium carbonate, a process that naturally heals cracks and strengthens the concrete.
As stated previously, to make Portland cement, Limestone is typically extracted from quarries and then burned at high temperatures. This process releases a significant amount of carbon dioxide into the atmosphere. However, a recent research study has found that using biologically grown limestone, created through photosynthesis by certain species of calcareous microalgae, similar to growing coral reefs, can replace the need for quarried limestone. This biologically grown limestone, through cultivation by coccolithophores, is a net carbon-neutral alternative to traditional limestone. In other words, the amount of carbon dioxide released during manufacturing is equal to the amount captured by the microalgae during photosynthesis (Simpkins, 2022).
Figure 2. A scanning electron micrograph of a single coccolithophore cell, Emiliania huxleyi (Simpkins, 2022).
Figure 2. A scanning electron micrograph of a single coccolithophore cell, Emiliania huxleyi (Simpkins, 2022).
Preprints 106059 g002
It is using supplementary cementitious materials (SCMs), like natural pozzolans, which are siliceous and aluminous materials that react chemically with calcium hydroxide in water, results in compounds with cementitious properties. Additionally, utilizing industrial waste by-products like copper slag and other SCMs can improve the durability of concrete and mortars while preserving natural resources (Prabha et al. 2020). When combined with self-healing technologies like encapsulated polymers that release healing agents to mend cracks, the overall environmental footprint of concrete can be significantly reduced. SCMs typically involve materials that are by-products of other industrial processes and require less energy to produce than cement. Reducing the amount of Portland cement in concrete lowers CO2 emissions substantially (Amran et al. 2022). "Studies have been carried out on 100% replacement of sand by copper slag, and its effect on compressive strength is presented in this paper. The strength of concrete can be improved by adding supplementary siliceous materials such as silica fume, fumed silica, and others. But the replacement of river sand can avoid the depletion of natural resources and also gives a solution for disposing the copper slag. At present, the disposal of copper slag itself is a great challenge because producing 1 tonne of copper results in 2.2 tonnes of slag. Copper slag and similar metallic slags can be recycled in concrete. (Prabha et al. 2020)”
Shape Memory Polymers (SMP) are innovative materials that change in response to different stimuli, such as heat, electric and magnetic fields, water, or light, modifying their size, shape, stiffness, or strain (Pisani et al. 2022). In a study published by the scientific journal, Polymers, Polyethylene terephthalate (PET), as SMP in the form of hollow tubes and fibers are used to close cracks in concrete. These devices are designed to exert shrinkage restraint forces that aid in the closure of cracks. The shrinkage restraint force in the fibers was measured as a function of temperature and was found to be in excess of 35 MPa (Maddalena et al. 2022). The tendons made of SMP fiber bundles are incorporated into concrete beams, and when activated, they help reduce the width of cracks by 80%. Another class of devices, called knotted fibers, is produced using the same fibers, and they have knotted ends that act as anchor points when incorporated directly into concrete. Upon activation, these devices completely close the cracks. In another instance, the tubes are used to enclose and restrain prestressed Kevlar fibers. When triggered, the tubes shrink and release the prestress force in the Kevlar, which is transferred to the surrounding concrete, thereby closing cracks. The Kevlar fibers also provide substantial reinforcement after activation. These devices are shown to partially and fully close cracks that have been opened to 0.3 mm and achieve post-activation flexural strengths comparable to those of conventional reinforced and prestressed structural elements (Maddalena et al. 2022). More research should be carried out to answer if these polymers are capable of carbon sequestration, but what is known is that the incorporation of recycled PET into fiber bundles and other composites makes the material more sustainable which comes with enhanced engineering properties and economic benefit.
Figure 3. Hybrid tendon schematic and photograph elements (Maddalena et al. 2022).
Figure 3. Hybrid tendon schematic and photograph elements (Maddalena et al. 2022).
Preprints 106059 g003
Figure 4. Crack width measurements before and after the hybrid tendons activation elements (Maddalena et al. 2022).
Figure 4. Crack width measurements before and after the hybrid tendons activation elements (Maddalena et al. 2022).
Preprints 106059 g004
Carbon Nanofiber (CNF)-Infused Concrete is another technology that incorporates carbon nanofibers into concrete to enhance the mechanical properties and electrical conductivity, which facilitates crack healing either through the induction of heat which promotes the mobility of self-healing agents or directly through the potential activation of other self-healing mechanisms. In a study looking at the use of nano calcium carbonate-coated polypropylene fibers, it was found and "verified by scanning electron microscopic observations, Fourier-transform infrared spectroscopy and thermogravimetry analysis. Owing to the effects of modified fibers, closure of 300–500 μm wide cracks was enhanced and 100 % recovery of water tightness was subsequently achieved” (Jianhang and Shunzhi 2023). In this study, PP fibers were coated with nano calcium carbonate to enhance the healing process. The coating was further protected by ethyl cellulose film to avoid unintended accelerated hydration and precipitation of calcium carbonate before cracking occurs (Jianhang and Shunzhi 2023).
After analyzing the modified PP fibers that were incorporated into mortar specimens for this study, the following conclusions were drawn. "Hydration of cement particles and precipitation of calcium carbonate can be slightly accelerated by nano calcium carbonate coated on PP fibers, which can be further inhibited by protective effect of ethyl cellulose film on nano calcium carbonate” (Jianhang and Shunzhi 2023). Another conclusion was, "After mixing in mortar, around 80 % of nano calcium carbonate with ethyl cellulose film remained on PP fibers. After the fiber pull-out due to cracking, the content of nano calcium carbonate on PP fibers decreased from 9.8 % to 5.6 % approximately and most ethyl cellulose was removed due to the friction caused by fiber pull-out” (Jianhang and Shunzhi 2023). Finally, “Improvements on the sealing ratios of cracks with initial widths of 300–500 μm and 100 % recovery of water tightness can be obtained with the modified PP fibers, which was attributed to the increased calcium carbonate precipitation on crack bridging fibers caused by exposed nano calcite on fiber surface” (Jianhang and Shunzhi 2023).
Figure 5. A schematic diagram of modified PP fibers after cracking of concrete (Jianhang and Shunzhi 2023).
Figure 5. A schematic diagram of modified PP fibers after cracking of concrete (Jianhang and Shunzhi 2023).
Preprints 106059 g005
Another case study determined that the high surface area of carbon nanofibers makes it difficult to disperse in cementitious materials homogenously, leading to inefficient use of the fibers. An eco-friendly method was proposed using a plant-based biomolecule, tannic acid (TA), to functionalize the carbon nanofibers so that they can be easily dispersed into cementitious materials. Tannic acid is renewable and non-toxic Compared to existing chemicals used to functionalize carbon nanofibers. Experimental studies show that the tannic acid can be successfully coated onto carbon nanofibers' surface, stabilizing them in the water-based solution (Xin et al. 2022).

Results and Discussion

Many promising technologies in material science, cement manufacturing, and concrete production aim to improve the strength and durability of the end product and reduce its carbon footprint. Microbial calcite-precipitation has been touted as an innovative and environmentally friendly approach to producing bio-based durable concrete and in the study that was reviewed in this paper, "B. pasteurii and B. sphaericus were capable to produce calcite crystals to block the micro-cracks in mortar matrix. B. sphaericus and B. pasteurii improved the physico-mechanical properties with high restoration for load-deflection. SEM, EDAX, and DTA analyses verified that both strains induced bio-precipitation of calcite, which filled up the matrix pores, decreased water absorption, capillary permeability, and volume of permeable voids, thus enhanced the physico-mechanical properties of bioConcrete” (Nasser et al. 2022). The overall results of Nasser’s study were to sufficiently prove that concrete’s durability can be enhanced via bioactive materials, thus, reducing the maintenance of cementitious structures.
A review of the use of biologically grown or Biogenic Limestone which would be used in place of quarrying natural limestone to offset the carbon footprint resulting from cement manufacturing, shows promising results. Research conducted by the University of Colorado, Boulder, shows that they can grow a form of microalgae called coccolithophores. These hardy creatures live in both warm and cold waters as well as salt and fresh water, making them ideal for cultivation in many climates. "With only sunlight, seawater and dissolved carbon dioxide, these tiny organisms produce the largest amounts of new calcium carbonate on the planet and at a faster pace than coral reefs. Coccolithophore blooms in the world’s oceans are so big, they can be seen from space (Simpkins, 2022).”
There are supplementary cementitious materials that have generated significant interest and innovation and are gaining market access. These include calcined clays, natural pozzolans, reclaimed coal fly ashes, certain biomass ashes, recycled concrete, and recycled glass (Ruben Snellings et al. 2023). Waste by-products and materials such as copper slag are also being researched and tested with many studies underway including the development of fungi-mediated self-healing concrete using Trichoderma Reesei.
Shape memory polymers are being used to improve concrete in several ways and researchers have concluded that incorporating PET-based shape memory polymers (SMP) into cementitious structural elements, provides an effective means of closing cracks that form after casting and curing. (Maddalena et al. 2022).
The use of calcium carbonate coated polypropylene nanofiber-infused concrete shows promising results that they can contribute to prolonging the concrete's lifecycle leading to a net reduction in carbon emissions over the lifespan of a structure. (Jianhang and Shunzhi 2023). “After healing for 28 days, the increment of calcium carbonate content of modified fibers was 1.4 %, around 3 times to that of the precipitation amount on plain PP fibers, which confirmed that remained nano calcite on modified fibers contributed to the enhanced carbonation significantly. Moreover, it should be noted that the amount of bound water on fibers was negligible so that the calculated results were not presented, which implied the limited effects of nano calcium carbonate coating on accelerating further hydration of grains on fibers” (Jianhang and Shunzhi 2023).

Conclusion and Recommendations for Future Research

In conclusion, current research and innovation in self-healing concrete has shown to increase the life span and durability of structures and infrastructure in our built environment. Advancements in material science and engineering have impacted the cement manufacturing process and how we process industrial waste by-products, incorporating materials like copper slag to replace natural river sand and using bacteria to proliferate calcium carbonate to mend cracks and increase strength.
Innovations in self-healing concrete formulation and application have advanced with the research of bio-based agents like bacteria and fungi, microencapsulation techniques, and novel materials such as shape memory polymers. These developments not only enhance the structural integrity and longevity of concrete structures but also contribute to reducing maintenance costs and environmental impacts associated with traditional concrete repair methods.
Several challenges must be addressed to facilitate broader application and commercialization of self-healing concrete technologies. These include optimizing the efficiency and reliability of the self-healing mechanisms under various environmental conditions, scaling up production processes while maintaining cost-effectiveness, and gaining regulatory approval and market acceptance. Future research should continue to focus on these areas, aiming to refine the performance characteristics of self-healing concrete and expand its applicability across different climates and construction types.
As the construction industry moves towards more eco-friendly and resilient materials, self-healing concrete is critical to future development. Embracing this innovative material can lead to more sustainable urban environments, demonstrating a commitment to advancing construction technology while addressing the pressing needs of our infrastructure and the environment.

References

  1. American Concrete Institute. (2024, April 9). Technical Questions. Retrieved from American Concrete Institute:.
  2. https://www.concrete.org/tools/frequentlyaskedquestions.aspx?faqid=688#:~:text=A%20pozzolan%20is%20a%20siliceous,form%20compounds%20having%20cementitious%20properties.
  3. Amran M, O. A. (2022, April 29). Self-Healing Concrete as a Prospective Construction Material: A Review. Materials, 15(9).
  4. Amran, M. O. (2022). Self-Healing Concrete as a Prospective Construction Material: A Review. Materials, 15(9).
  5. Balzano B., S. J.-B. (n.d.). Modified hybrid shape memory polymer tendons for enhanced concrete crack closure. Proceedings of the Resilient Materials 4 Life 2020. orca.cardiff.ac.uk.
  6. Bandyopadhyay A, S. A. (2023). Microbial repairing of concrete & its role in CO2 sequestration: A critical review. Beni-Suef University Journal of Basic and Applied Sciences, 12(1).
  7. D. Matthew Stuart, P. S. (2020). Concrete Deterioration. Fairfax: PDH Center.
  8. J.Y. Richard Liew, M.-X. X.-L. (2021). Design of Steel-Concrete Composite Structures Using High-Strength Materials. Woodhead Publishing Series in Civil and Structural Engineering.
  9. Jianhang Feng, S. Q. (2023). Accelerating autonomic healing of cementitious composites by using nano calcium carbonate coated polypropylene fibers. Materials & Design, 225.
  10. Maddalena, R. e. (2022). Applications and Life Cycle Assessment of Shape Memory Polyethylene Terephthalate in Concrete for Crack Closure. Polymers, 15(5).
  11. Nasser, A. A. (2022). Microbially-Induced-Calcite-Precipitation (MICP): A Biotechnological Approach to Enhance the Durability of Concrete Using Bacillus Pasteurii and Bacillus Sphaericus. Heliyon, 8(7).
  12. PCA. (2024, April 09). Retrieved from Portland Cement Association: https://www.cement.org/cement-concrete.
  13. Pisani, S. G. (2022). Shape-Memory Polymers Hallmarks and Their Biomedical Applications in the Form of Nanofibers. Internal Journal of Molecular Sciences, 23(3).
  14. Pitcha Jongvivatsakul, K. J. (2019). Investigation of the crack healing performance in mortar using microbially induced calcium carbonate precipitation (MICP) method. Construction and Building Materials, 212, 737-744.
  15. Prabha, S. L. (2020). Development of high-strength nano-cementitious composites using copper slag. ACI Materials Journal, 117(4), 37-46.
  16. Ruben Snellings, P. S. (2023). Future and emerging supplementary cementitious materials. Cement and Concrete Research, 171.
  17. Simpkins, K. (2022, June 23). Cities of the future may be built with algae-grown limestone. Retrieved from CU Boulder Today: https://www.colorado.edu/today/2022/06/23/cities-future-may-be-built-algae-grown-limestone.
  18. Xin Qian, H. Y. (2022). Eco-friendly treatment of carbon nanofibers in cementitious materials for better performance Author links open overlay panel. Case Studies in Construction Materials, 16.
Disclaimer/Publisher’s Note: The statements, opinions and data contained in all publications are solely those of the individual author(s) and contributor(s) and not of MDPI and/or the editor(s). MDPI and/or the editor(s) disclaim responsibility for any injury to people or property resulting from any ideas, methods, instructions or products referred to in the content.
Copyright: This open access article is published under a Creative Commons CC BY 4.0 license, which permit the free download, distribution, and reuse, provided that the author and preprint are cited in any reuse.
Prerpints.org logo

Preprints.org is a free preprint server supported by MDPI in Basel, Switzerland.

Subscribe

Disclaimer

Terms of Use

Privacy Policy

Privacy Settings

© 2026 MDPI (Basel, Switzerland) unless otherwise stated