Submitted:
16 June 2025
Posted:
17 June 2025
You are already at the latest version
Abstract
Keywords:
1. Introduction
Research Significance
2. Experimental Work
2.1. Experimental Outline


2.2. Materials
| Properties | Composition of chemicals (%) | The mechanical and physical properties of Portland cement | |
|---|---|---|---|
| Property | results | ||
| Fe2o3 | 2.8 | Specific Gravity | 3.15 |
| Al2o3 | 3.4 | Specific surface area | 3550 |
| Sio2 | 21.24 | Initial setting time (min) | 150 |
| MgO | 3.1 | Final setting time (min | 250 |
| Cao | 63.2 | compressive strength 7-day (MPa) | 34 |
| compressive strength 28-day (MPa) | 55 | ||
| Property | Results |
|---|---|
| Color | Grey powder |
| Specific gravity | 2.2 |
| Composition | A latently hydraulic blend of active ingredients |
| Shape of particles | spherical (very small particles) |
| 170000 | |
| Bulk Density | |
| 8 |
| Property | Results |
|---|---|
| Color | Light grey powder |
| Specific Gravity | 2.23 |
| Composition | Alumina silicate |
| Shape of particles | Spherical |
| Surface area (cm2/gm) | 49700 |
| Bulk Density | 300 kg/m3 |
| Particle size, μm | 34 |
| Property | Results |
|---|---|
| Color | Clear liquid |
| Dry Material Content (%) | 40% by weight |
| Density (Kg/lt) | 1.08 |
| pH-Value | 4.0 |
2.3. Growth of Bacterial Culture
2.4. Mix design and specimen preparation
2.5. Curing Procedure
2.6. Creation of cracks
2.7. Compressive strength test
2.8. Flexural strength test
2.9. Microscopic analysis tests
3. Results and Discussion
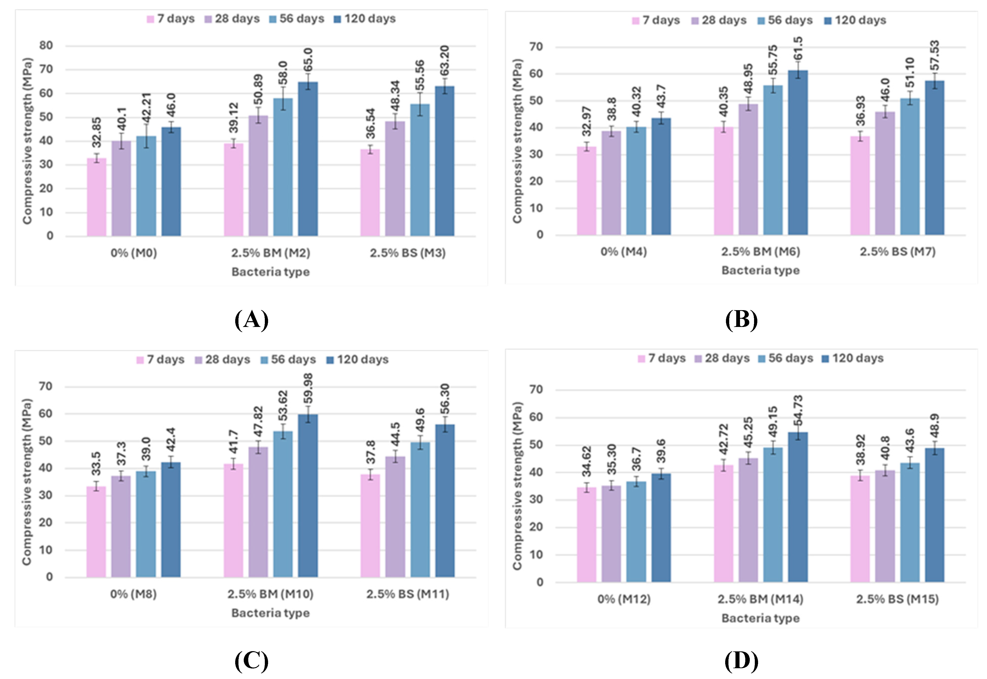
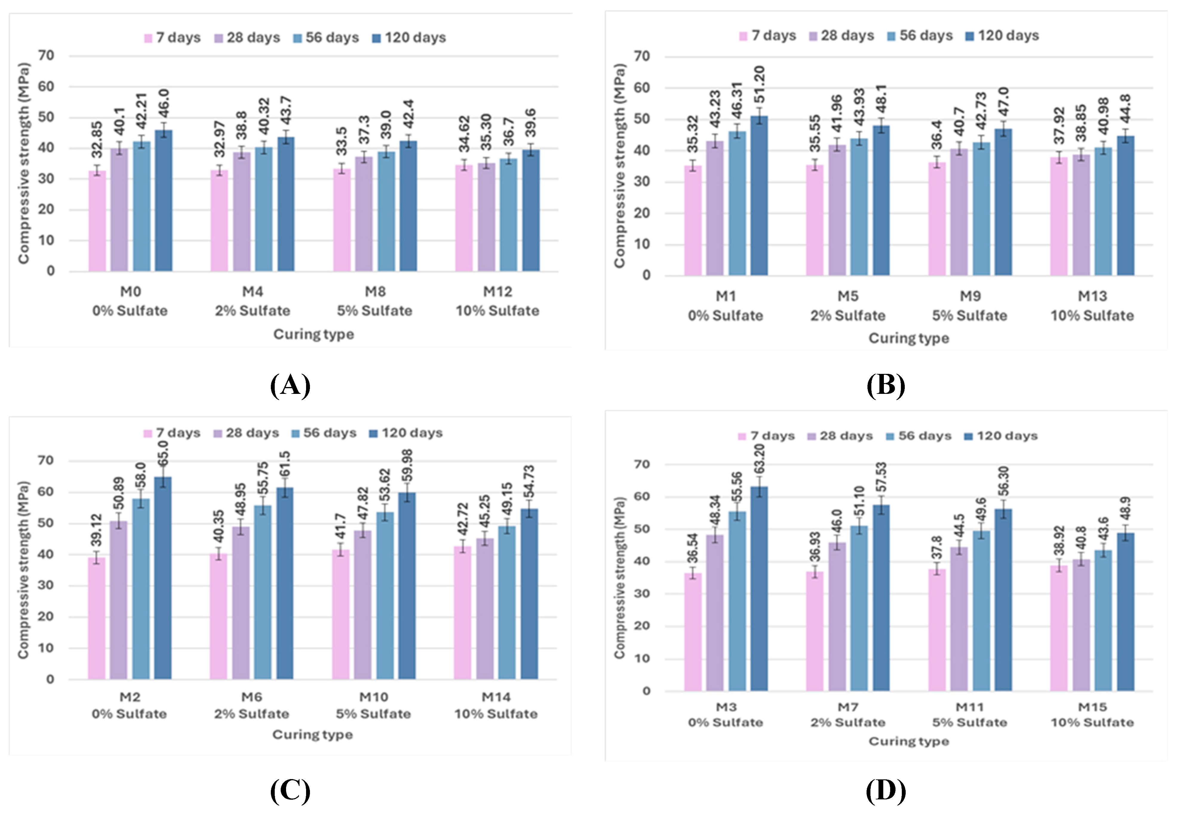
3.1. Specimens Without Pre-Cracking
3.1.1. Compressive Strength
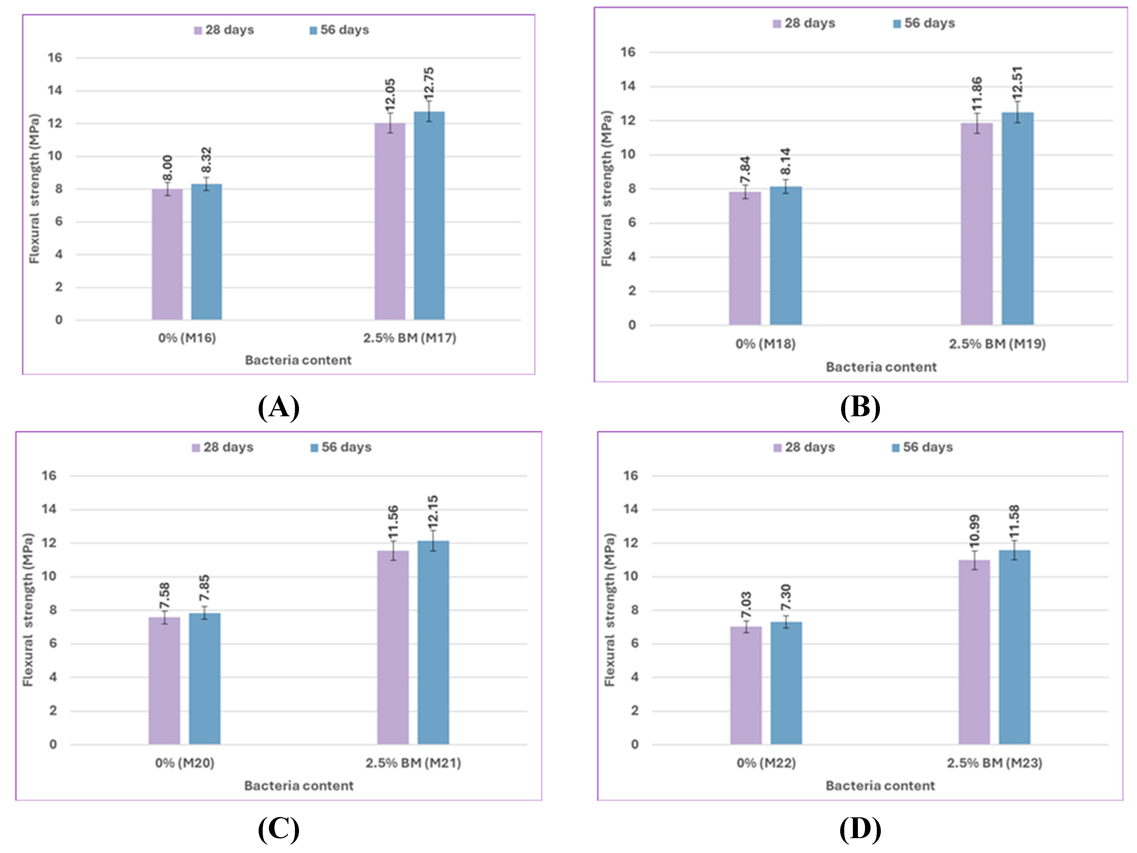
3.1.2. Flexural strength
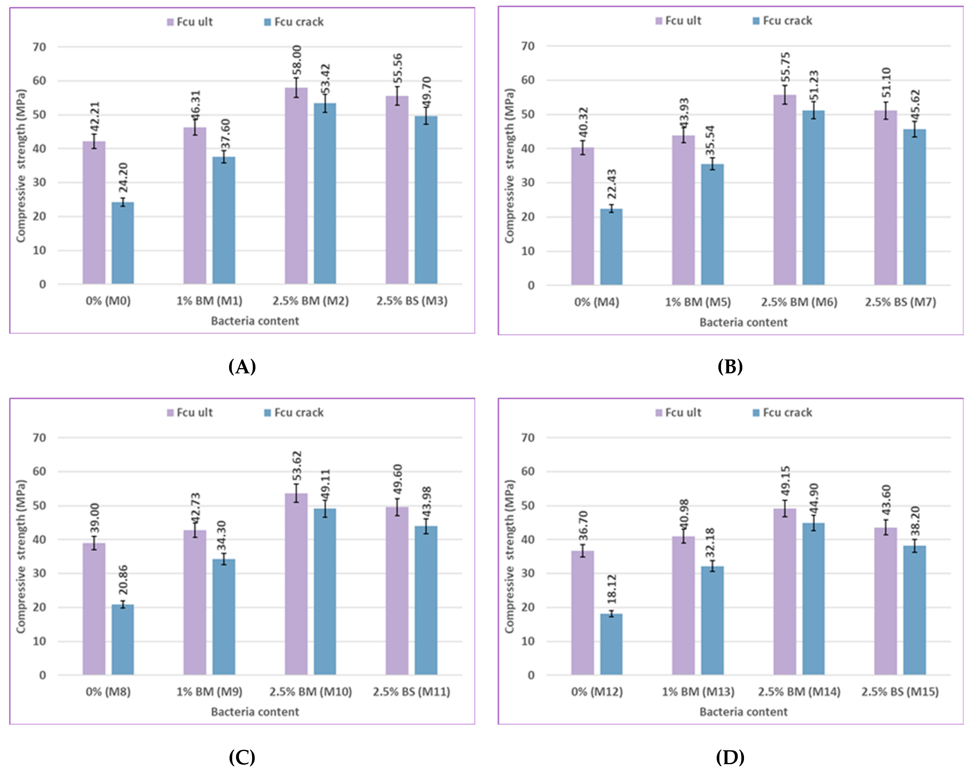
3.2. Specimens with Pre-Cracking
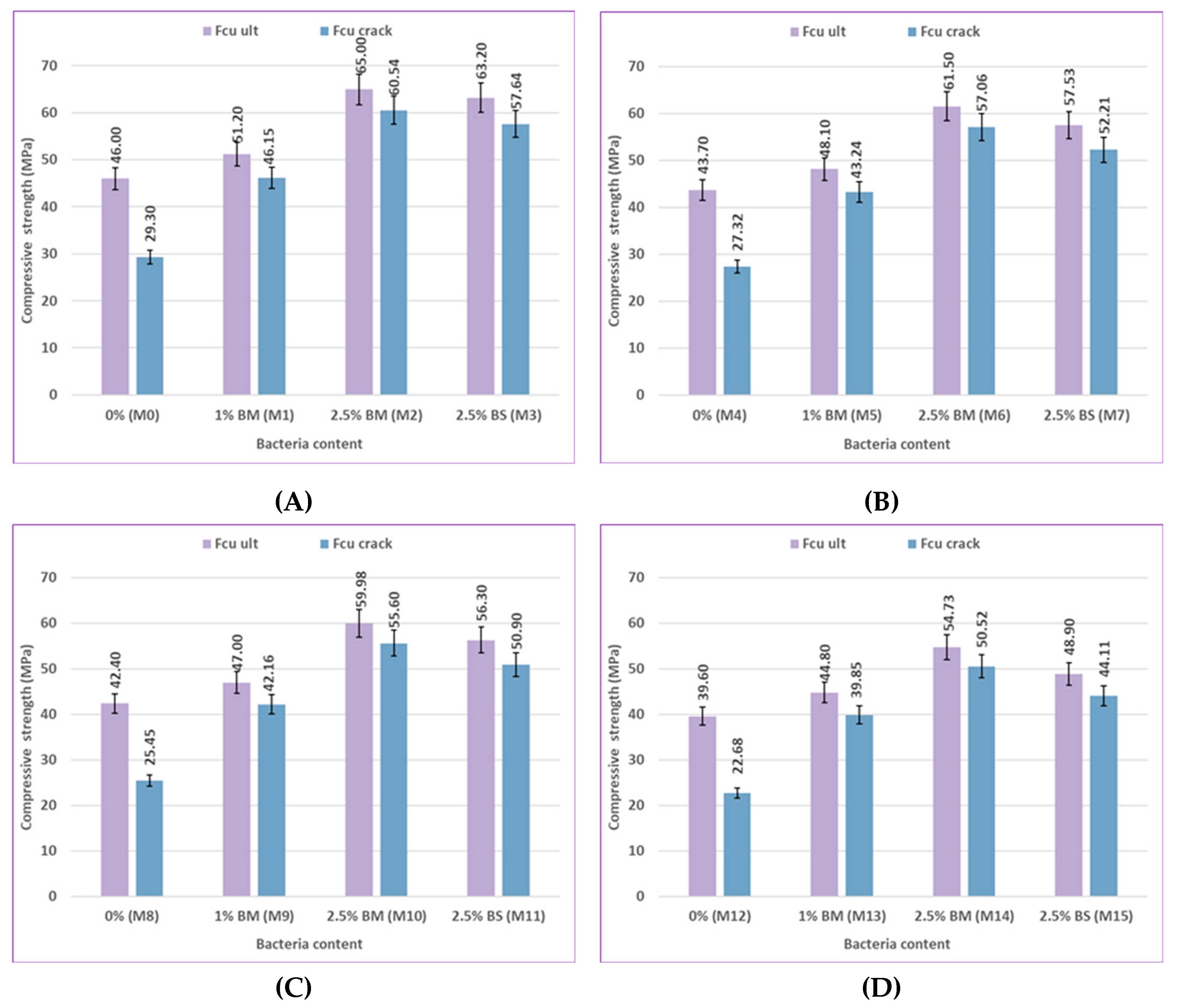
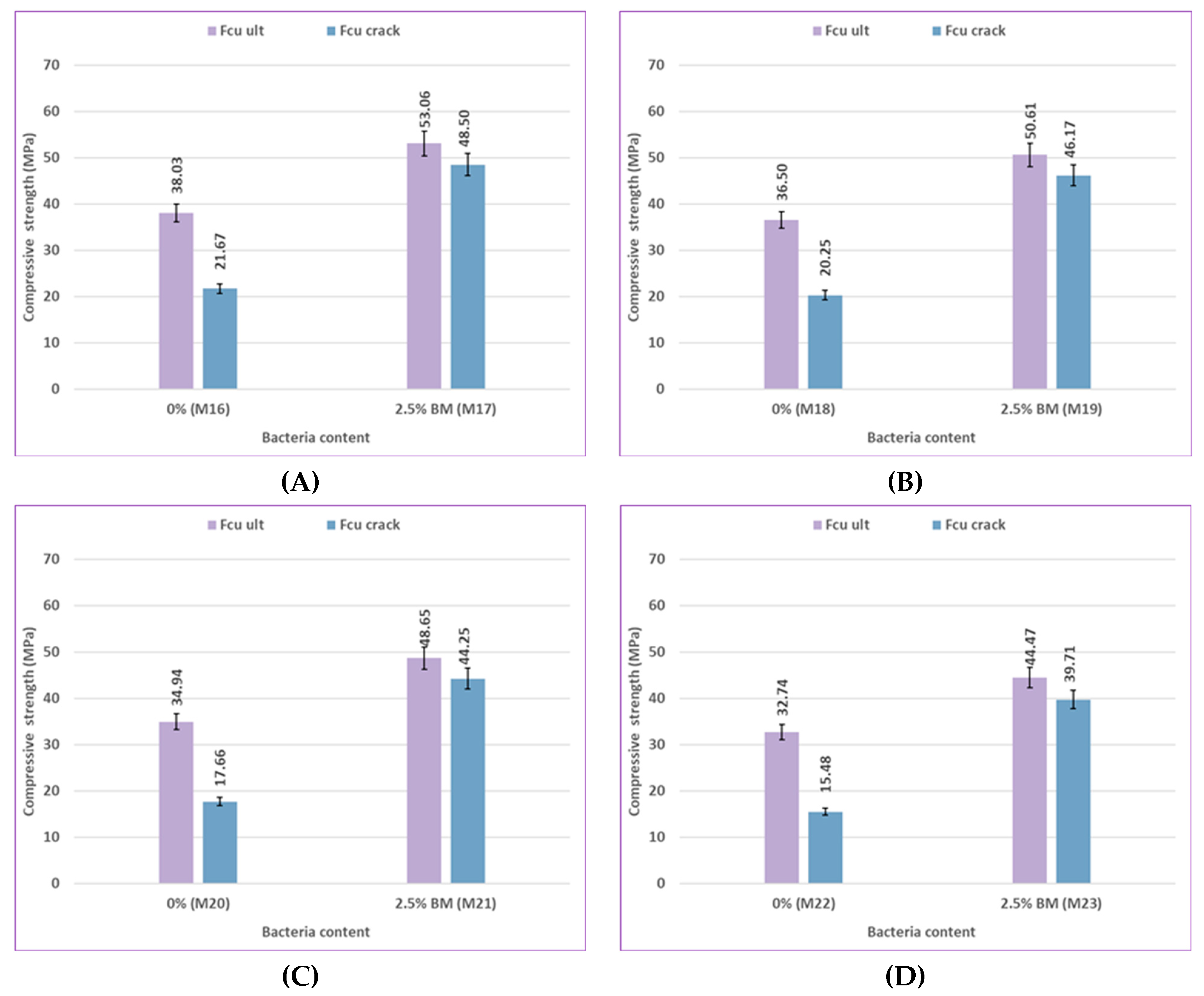
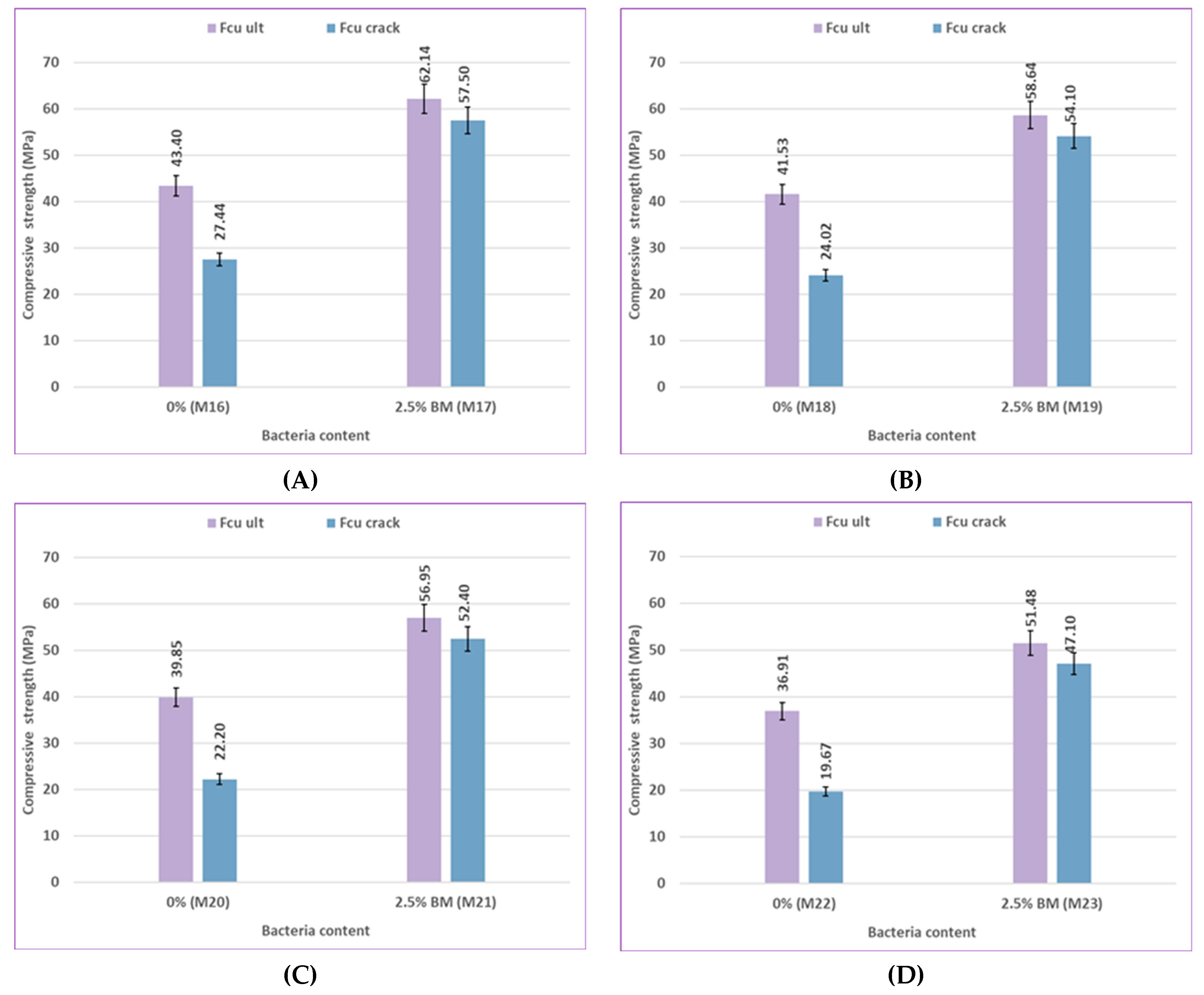
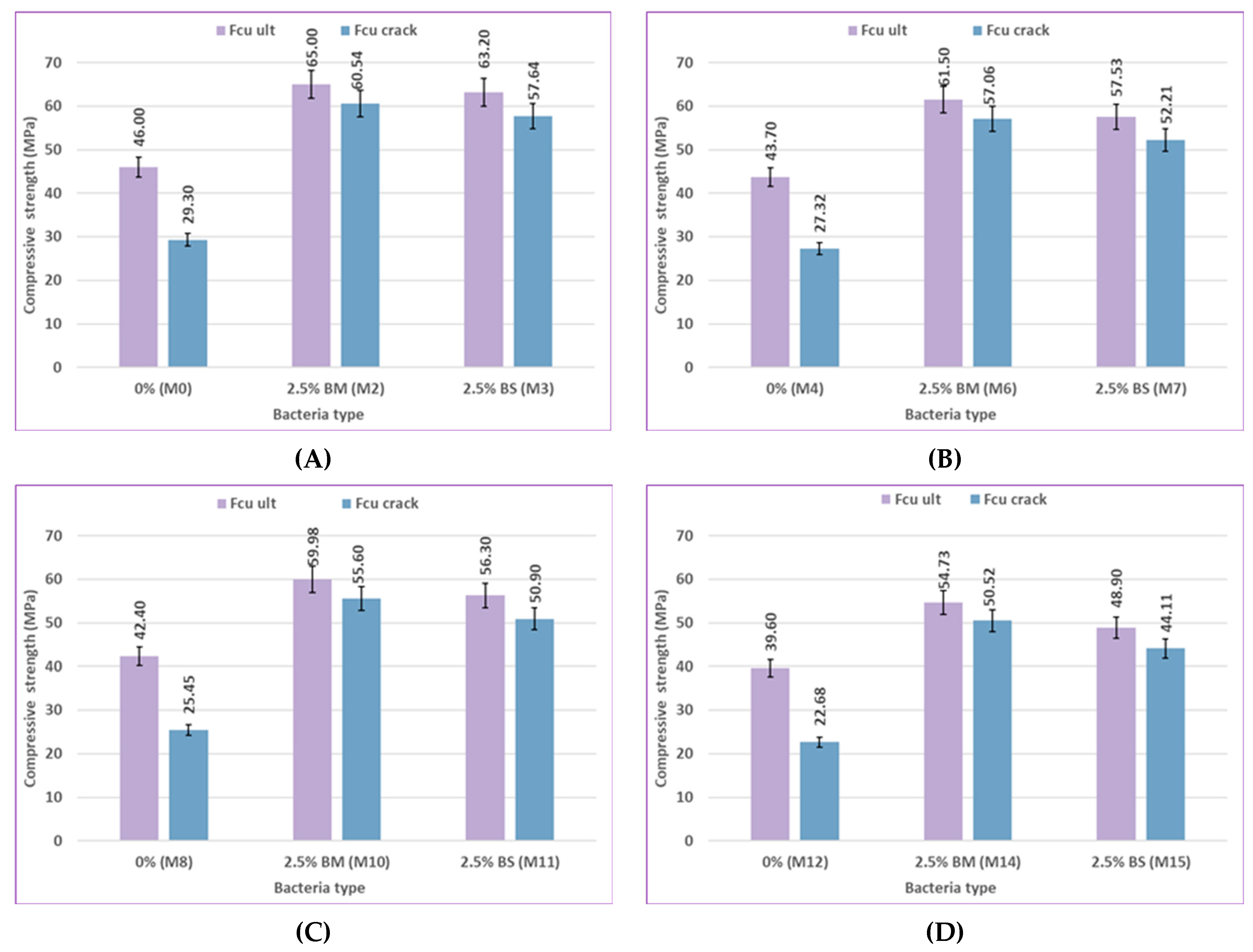
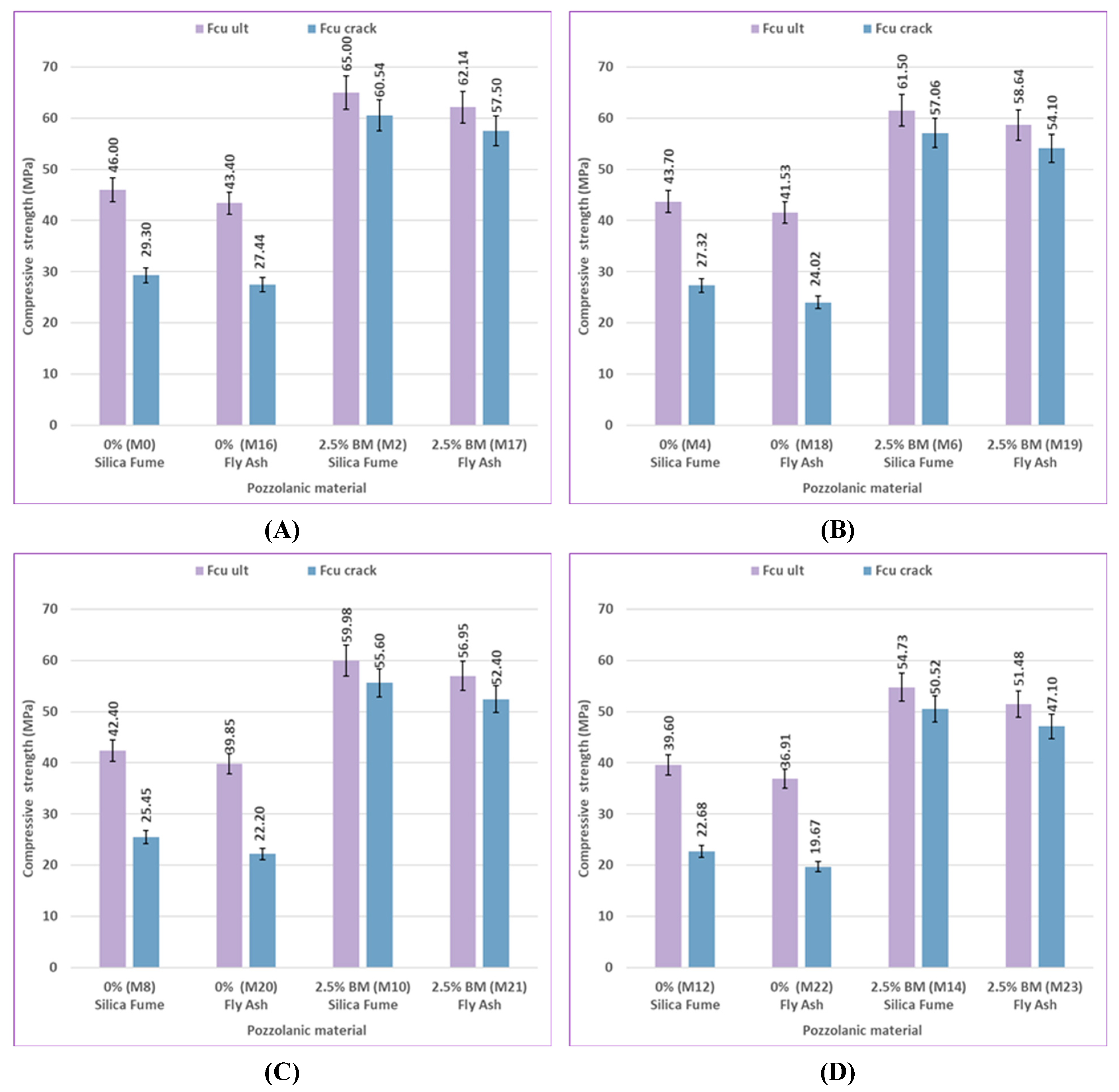
3.2.1. Compressive Strength
3.3. Scanning Electron Microscope (SEM)
3.4. Energy-Dispersive X-ray Spectroscopy (EDS)
3.5. X-Ray Diffraction Analysis
3.6. Surface Crack Healing Analysis
3. CONCLUSIONS
Author Contributions
Funding
Funding
Institutional Review Board Statement
Informed Consent Statement
Data Availability Statement
Acknowledgments
Conflicts of Interest
References
- R. M. Reda, H. S. E. Mahmoud, S. S. E. Ahmad, and H. E.-D. M. Sallam, "Mechanical properties of sustainable concrete comprising various wastes," Scientific Reports, vol. 13, p. 13234, 2023/08/14 2023. [CrossRef]
- M. F. Alnahhal, U. J. Alengaram, M. Z. Jumaat, M. A. Alqedra, K. H. Mo, and M. Sumesh. (2017, Evaluation of Industrial By-Products as Sustainable Pozzolanic Materials in Recycled Aggregate Concrete. Sustainability 9(5). [CrossRef]
- M. Khan and C. McNally, "A holistic review on the contribution of civil engineers for driving sustainable concrete construction in the built environment," Developments in the Built Environment, vol. 16, p. 100273, 2023. [CrossRef]
- S. Arshad, M. B. Sharif, M. Irfan-ul-Hassan, M. Khan, and J.-L. Zhang, "Efficiency of supplementary cementitious materials and natural fiber on mechanical performance of concrete," Arabian Journal for Science And Engineering, vol. 45, pp. 8577-8589, 2020. [CrossRef]
- Essam, M. A. R. Elmahdy, Y. Elmenshawy, A. A. Elshami, S. S. E. Ahmad, and A. Aboubakr, "Experimental investigation on the recycling of medical waste for sustainable fiber-reinforced concrete production," Case Studies in Construction Materials, vol. 22, p. e04675, 2025/07/01/ 2025. [CrossRef]
- M. Shekarchi, B. Ahmadi, F. Azarhomayun, B. Shafei, and M. Kioumarsi, "Natural zeolite as a supplementary cementitious material – A holistic review of main properties and applications," Construction and Building Materials, vol. 409, p. 133766, 2023/12/15/ 2023. [CrossRef]
- J. A. Becerra-Duitama and D. Rojas-Avellaneda, "Pozzolans: A review," Engineering and Applied Science Research, vol. 49, pp. 495-504, 02/22 2022. 10.14456/easr.2022.49.
- D. K. Jaf and P. I. Abdulrahman, "A Review on Self-Healing Concrete," Advanced Materials Research, vol. 1175, pp. 139-148, 2023. [CrossRef]
- M. Riad, A. A. Elshami, and M. M. Y. Elshikh, "Influence of concentration and proportion prepared bacteria on properties of self-healing concrete in sulfate environment," Innovative Infrastructure Solutions, vol. 7, 2021. [CrossRef]
- Pinto, B. González-Fonteboa, S. Seara-Paz, and F. Martínez-Abella, "Effects of bacteria-based self-healing nutrients on hydration and rheology of cement pastes," Construction and Building Materials, vol. 404, p. 133142, 2023/11/10/ 2023. [CrossRef]
- Grace Agbons Aruya and V. K. Chukwuemezie, "Causes of Cracks on Concrete Structures and Repair Methods," International Journal of Engineering Research and Applications vol. 07, 2022.
- S. Mondal, P. Das, and A. K. Chakraborty, "Application of bacteria in concrete," Materials Today: Proceedings, vol. 4, pp. 9833-9836, 2017. [CrossRef]
- G. Massaad, E. Rozière, A. Loukili, and L. Izoret, "Advanced testing and performance specifications for the cementitious materials under external sulfate attacks," Construction and Building Materials, vol. 127, pp. 918-931, 2016. [CrossRef]
- M. Whittaker and L. Black, "Current knowledge of external sulfate attack," Advances in Cement Research, vol. 27, pp. 532-545, 2015. [CrossRef]
- M. Nehdi and M. Hayek, "Behavior of blended cement mortars exposed to sulfate solutions cycling in relative humidity," Cement and Concrete Research, vol. 35, pp. 731-742, 2005. [CrossRef]
- H. Haynes and M. Bassuoni, "Physical Salt Attack on Concrete," Concrete international, vol. 33, 2011.
- P. Dinarvand and A. Rashno, "Review of the potential application of bacteria in self-healing and the improving properties of concrete/mortar," Journal of Sustainable Cement-Based Materials, vol. 11, pp. 250-271, 2021. [CrossRef]
- J. Wang, K. Van Tittelboom, N. De Belie, and W. Verstraete, "Use of silica gel or polyurethane immobilized bacteria for self-healing concrete," Construction and Building Materials, vol. 26, pp. 532-540, 2012/01/01/ 2012. [CrossRef]
- W. Khaliq and M. B. Ehsan, "Crack healing in concrete using various bio influenced self-healing techniques," Construction and building materials, vol. 102, pp. 349-357, 2016. [CrossRef]
- H. Ghazy, M. R. Emara, A. M. Abdellah, and M. I. E. Attia, "Self-healing concrete techniques and performance, A review," Research on Engineering Structures and Materials, 2023. 10.17515/resm2023.51ma0615rv.
- M. Amran, A. M. Onaizi, R. Fediuk, N. I. Vatin, R. S. Muhammad Rashid, H. Abdelgader, et al., "Self-healing concrete as a prospective construction material: a review," Materials, vol. 15, p. 3214, 2022. [CrossRef]
- S. H. Jakhrani, A. Qudoos, H. G. Kim, I. K. Jeon, and J. S. Ryou, "Review on the self-healing concrete-approach and evaluation techniques," Journal of Ceramic Processing Research, vol. 20, pp. 1-18, 2019. [CrossRef]
- S. Luhar, I. Luhar, and F. U. A. Shaikh, "Review on performance evaluation of autonomous healing of geopolymer composites," Infrastructures, vol. 6, p. 94, 2021. [CrossRef]
- [A. Mohamed, Y. Zhou, E. Bertolesi, M. Liu, F. Liao, and M. Fan, "Factors influencing self-healing mechanisms of cementitious materials: A review," Construction and Building Materials, vol. 393, p. 131550, 2023. [CrossRef]
- H. Žáková, J. Pazderka, Z. Rácová, and P. Ryparová, "Effect of bacteria bacillus pseudofirmus and fungus trichoderma reesei on self-healing ability of concrete," Acta Polytechnica CTU Proceedings, vol. 21, pp. 42-45, 2019. [CrossRef]
- G. A. Metwally, M. Mahdy, and A. H. El-Raheem, "Performance of bio concrete by using bacillus pasteurii bacteria," Civil Engineering Journal, vol. 6, pp. 1443-1456, 2020. [CrossRef]
- M. Rajczakowska, K. Habermehl-Cwirzen, H. Hedlund, and A. Cwirzen, "Autogenous self-healing: a better solution for concrete," Journal of Materials in Civil Engineering, vol. 31, p. 03119001, 2019. [CrossRef]
- Y. Ç. Erşan, E. Hernandez-Sanabria, N. Boon, and N. De Belie, "Enhanced crack closure performance of microbial mortar through nitrate reduction," Cement and concrete composites, vol. 70, pp. 159-170, 2016. [CrossRef]
- N. De Belie, E. Gruyaert, A. Al-Tabbaa, P. Antonaci, C. Baera, D. Bajare, et al., "A review of self-healing concrete for damage management of structures," Advanced materials interfaces, vol. 5, p. 1800074, 2018. [CrossRef]
- R. Davies and A. Jefferson, "Micromechanical modelling of self-healing cementitious materials," International Journal of Solids and Structures, vol. 113, pp. 180-191, 2017. [CrossRef]
- L. Ferrara, V. Krelani, F. Moretti, M. R. Flores, and P. S. Ros, "Effects of autogenous healing on the recovery of mechanical performance of High Performance Fibre Reinforced Cementitious Composites (HPFRCCs): Part 1," Cement and Concrete Composites, vol. 83, pp. 76-100, 2017. [CrossRef]
- H. A. A. Algaifi, S. A. Bakar, A. R. M. Sam, and A. R. Z. Abidin, "Crack-healing in cementitious material to improve the durability of structures," in MATEC Web of Conferences, 2018, p. 03005. [CrossRef]
- G. Souradeep and H. W. Kua, "Encapsulation technology and techniques in self-healing concrete," Journal of Materials in Civil Engineering, vol. 28, p. 04016165, 2016. [CrossRef]
- D. Suarez-Riera, L. Restuccia, D. Falliano, G. A. Ferro, J.-M. Tuliani, M. Pavese, et al., "An Overview of Methods to Enhance the Environmental Performance of Cement-Based Materials," Infrastructures, vol. 9, p. 94, 2024. [CrossRef]
- W. Zhang, Q. Zheng, A. Ashour, and B. Han, "Self-healing cement concrete composites for resilient infrastructures: A review," Composites Part B: Engineering, vol. 189, p. 107892, 2020. [CrossRef]
- C. Meera and V. Subha, "Strength and durability assessment of bacteria based self-healing concrete," IOSR J. Mech. Civ. Eng, vol. 3, pp. 1-7, 2016.
- K. Das and K. Kumar, "An Appraisal of Autogenous and Autonomous Self-Healing in Concrete in Building Construction," Journal of Advanced Cement & Concrete Technology, vol. 5, 2022. [CrossRef]
- Beglarigale, D. Eyice, B. Tutkun, and H. Yazıcı, "Evaluation of enhanced autogenous self-healing ability of UHPC mixtures," Construction and Building Materials, vol. 280, p. 122524, 2021. [CrossRef]
- M. Roig-Flores, S. Formagini, and P. Serna, "Self-healing concrete-what is it good for?," Materiales de Construcción, vol. 71, pp. e237-e237, 2021. [CrossRef]
- J. Zhang, Y. Liu, T. Feng, M. Zhou, L. Zhao, A. Zhou, et al., "Immobilizing bacteria in expanded perlite for the crack self-healing in concrete," Construction and Building Materials, vol. 148, pp. 610-617, 2017. [CrossRef]
- S. Mondal and A. Ghosh, "Microbial concrete as a sustainable option for infrastructural development in emerging economies," in ASCE India Conference 2017, 2017, pp. 413-423. [CrossRef]
- E. Tziviloglou, V. Wiktor, H. Jonkers, and E. Schlangen, "Bacteria-based self-healing concrete to increase liquid tightness of cracks," Construction and Building Materials, vol. 122, pp. 118-125, 2016. [CrossRef]
- Y. Javeed, Y. Goh, K. H. Mo, S. P. Yap, and B. F. Leo, "Microbial self-healing in concrete: A comprehensive exploration of bacterial viability, implementation techniques, and mechanical properties," Journal of Materials Research and Technology, vol. 29, pp. 2376-2395, 2024. [CrossRef]
- K. Vijay and M. Murmu, "Effect of calcium lactate on compressive strength and self-healing of cracks in microbial concrete," Frontiers of Structural and Civil Engineering, vol. 13, pp. 515-525, 2019. [CrossRef]
- J. Feng, B. Chen, W. Sun, and Y. Wang, "Microbial induced calcium carbonate precipitation study using Bacillus subtilis with application to self-healing concrete preparation and characterization," Construction and Building Materials, vol. 280, p. 122460, 2021. [CrossRef]
- J. de Brito and R. Kurda, "The past and future of sustainable concrete: A critical review and new strategies on cement-based materials," Journal of Cleaner Production, vol. 281, p. 123558, 2021. [CrossRef]
- El-Newihy, P. Azarsa, R. Gupta, and A. Biparva, "Effect of polypropylene fibers on self-healing and dynamic modulus of elasticity recovery of fiber reinforced concrete," Fibers, vol. 6, p. 9, 2018. [CrossRef]
- S. Jena, B. Basa, K. C. Panda, and N. K. Sahoo, "Impact of Bacillus subtilis bacterium on the properties of concrete," Materials Today: Proceedings, vol. 32, pp. 651-656, 2020. [CrossRef]
- J. He and X. Shi, "Developing an abiotic capsule-based self-healing system for cementitious materials: The state of knowledge," Construction and Building Materials, vol. 156, pp. 1096-1113, 2017/12/15/ 2017. [CrossRef]
- S. Lu, M. Chen, Y. Dang, L. Cao, J. He, and J. Zhong, "Bacterial self healing cement based materials: Mechanism at nanoscale," AIP Advances, vol. 9, 2019. [CrossRef]
- Z. B. Bundur, M. J. Kirisits, and R. D. Ferron, "Use of pre-wetted lightweight fine expanded shale aggregates as internal nutrient reservoirs for microorganisms in bio-mineralized mortar," Cement and Concrete Composites, vol. 84, pp. 167-174, 2017. [CrossRef]
- H. Khodadadi Tirkolaei and H. Bilsel, "Estimation on ureolysis-based microbially induced calcium carbonate precipitation progress for geotechnical applications," Marine Georesources & Geotechnology, vol. 35, pp. 34-41, 2017. [CrossRef]
- T. H. Nguyen, E. Ghorbel, H. Fares, and A. Cousture, "Bacterial self-healing of concrete and durability assessment," Cement and Concrete Composites, vol. 104, p. 103340, 2019. [CrossRef]
- J. Wang, H. M. Jonkers, N. Boon, and N. De Belie, "Bacillus sphaericus LMG 22257 is physiologically suitable for self-healing concrete," Applied microbiology and biotechnology, vol. 101, pp. 5101-5114, 2017. [CrossRef]
- H. Kim, H. Son, S. Park, and H.-K. Lee, "Effects of biological admixtures on hydration and mechanical properties of Portland cement paste," Construction and Building Materials, vol. 235, p. 117461, 2020. [CrossRef]
- P. Y. Wong, J. Mal, A. Sandak, L. Luo, J. Jian, and N. Pradhan, "Advances in microbial self-healing concrete: A critical review of mechanisms, developments, and future directions," Science of The Total Environment, vol. 947, p. 174553, 2024/10/15/ 2024. [CrossRef]
- B. M. S. Reddy and D. Revathi, "An experimental study on effect of Bacillus sphaericus bacteria in crack filling and strength enhancement of concrete," Materials Today: Proceedings, vol. 19, pp. 803-809, 2019. [CrossRef]
- P. A. Nagar, N. Gupta, K. Kishore, and A. K. Parashar, "Coupled effect of B. Sphaericus bacteria and calcined clay mineral on OPC concrete," Materials Today: Proceedings, vol. 44, pp. 113-117, 2021. [CrossRef]
- T. S. Priya, N. Ramesh, A. Agarwal, S. Bhusnur, and K. Chaudhary, "Strength and durability characteristics of concrete made by micronized biomass silica and Bacteria-Bacillus sphaericus," Construction and Building Materials, vol. 226, pp. 827-838, 2019. [CrossRef]
- M. S. Jafarnia, M. K. Saryazdi, and S. M. Moshtaghioun, "Use of bacteria for repairing cracks and improving properties of concrete containing limestone powder and natural zeolite," Construction and Building Materials, vol. 242, p. 118059, 2020. [CrossRef]
- B. Chen, W. Sun, X. Sun, C. Cui, J. Lai, Y. Wang, et al., "Crack sealing evaluation of self-healing mortar with Sporosarcina pasteurii: Influence of bacterial concentration and air-entraining agent," Process Biochemistry, vol. 107, pp. 100-111, 2021. [CrossRef]
- P. Ryparová, P. Tesárek, H. Schreiberová, and Z. Prošek, "The effect of temperature on bacterial self-healing processes in building materials," in IOP conference series: materials science and engineering, 2020, p. 012012. [CrossRef]
- Y. Su, T. Zheng, and C. Qian, "Application potential of Bacillus megaterium encapsulated by low alkaline sulphoaluminate cement in self-healing concrete," Construction and Building Materials, vol. 273, p. 121740, 2021. [CrossRef]
- S. Bifathima and B. N. Matcha, "Self healing concrete by adding Bacillus megaterium MTCC with glass & steel fibers," Civil and Environmental Engineering, vol. 16, pp. 184-197, 2020. [CrossRef]
- V. Nagarajan, T. K. Prabhu, M. G. Shankar, and P. Jagadesh, "A study on the strength of the bacterial concrete embedded with Bacillus megaterium," International Research Journal of Engineering and Technology, vol. 4, pp. 1784-1788, 2017.
- K. Vijay and M. Murmu, "Experimental study on bacterial concrete using Bacillus subtilis micro-organism," in Emerging Trends in Civil Engineering: Select Proceedings of ICETCE 2018, 2020, pp. 245-252. [CrossRef]
- Manikandan and A. Padmavathi, "An experimental investigation on improvement of concrete serviceability by using bacterial mineral precipitation," International Journal of Research and Scientific Innovation, vol. 2, pp. 46-49, 2015.
- Jang, D. Son, W. Kim, W. Park, and C. Yi, "Effects of spray-dried co-cultured bacteria on cement mortar," Construction and Building Materials, vol. 243, p. 118206, 2020. [CrossRef]
- X. Chen, J. Yuan, and M. Alazhari, "Effect of Microbiological Growth Components for Bacteria-Based Self-Healing on the Properties of Cement Mortar," Materials (Basel), vol. 12, Apr 20 2019. [CrossRef]
- K. Vijay, M. Murmu, and S. V. Deo, "Bacteria based self healing concrete – A review," Construction and Building Materials, vol. 152, pp. 1008-1014, 2017/10/15/ 2017. [CrossRef]
- M. Luo and C. Qian, "Influences of bacteria-based self-healing agents on cementitious materials hydration kinetics and compressive strength," Construction and Building Materials, vol. 121, pp. 659-663, 2016/09/15/ 2016. [CrossRef]
- P. Kanaujia, R. Banerjee, S. M. A. Husain, and S. Ahmed, "The Effect of Sulfate Attack on Physical Properties of Concrete," International Journal of Recent Technology and Engineering (IJRTE), vol. 10, pp. 21-27, 2021. [CrossRef]
- K. Parashar and A. Gupta, "Effects of the concentration of various bacillus family bacteria on the strength and durability properties of concrete: A Review," in IOP Conference Series: Materials Science and Engineering, 2021, p. 012162. [CrossRef]
- V. Rameshkumar, S. Prabhath Ranjan Kumar, V. Poornima, R. Venkatasubramani, and V. Sreevidya, "Improvements in mechanical and durability parameters of bio-engineered concrete with metakaolin as a partial substitute for cement," European Journal of Environmental and Civil Engineering, vol. 26, pp. 2753-2766, 2022/05/19 2020. [CrossRef]
- S. Joshi, S. Goyal, A. Mukherjee, and M. S. Reddy, "Protection of concrete structures under sulfate environments by using calcifying bacteria," Construction and Building Materials, vol. 209, pp. 156-166, 2019. [CrossRef]
- ES 4756-1 (2013) Cement-part 1: composition, specifcations and conformity criteria for common cements, Egyptian Organi- zation for Standardization and Quality, Egypt.
- Egyptian Standard Specification, Aggregates For Concrete, ESS. No. 1109, 2021. https://www.eos.org.eg/en/standard/288.
- American Society for Testing and Materials, Standard Specification for Chemical Admixtures for Concrete, ASTM-C-494-2020, n.d. https://www.astm.org/c0494_c0494m-19e01.html.
- M. A. Elmahdy, A. ELShami, E.-S. M. Yousry, and S. S. Ahmad, "Self-healing mortar using different types, content, and concentrations of bacteria to repair cracks," Frattura e Integrita Strutturale, 2022. 10.3221/IGF-ESIS.59.32.
- S. Ahmad, M. El-Mahdy, A. Elshami, and E.-S. Yousry, "Bacterial sustainable concrete for repair and rehabilitation of structural cracks," Journal of Sustainable Cement-Based Materials, vol. 12, pp. 1-20, 07/22 2022. [CrossRef]
- American Society for Testing Materials, Standard Practice for Making and Curing Concrete Test Specimens in the Laboratory, ASTMC-192/C192M-2020, n.d. https://www.astm.org/c0192_c0192m-24.html.
- British Standards Institution, Testing Hardened Concrete-part 3: Compressive Strength of Test Specimens, BS EN 12390-3:2019, n.d. https://www.en-standard.eu/bs-en-12390-3-2019-testing-hardened-concrete-compressive-strength-of-test-specimens/.
- British Standards Institution, Testing Hardened Concrete-part 5: Flexural Strength of Test Specimens, BS EN 12390-5-2019, n.d. https://www.en-standard.eu/bs-en-12390-5-2019-testing-hardened-concrete-flexural-strength-of-test-specimens/.
- K. Prathyush, V. Poornima, M. Gopal, H. N. Rahul, and R. Kumaraguru, "An experimental study on the usage of silica fume in bacterial concrete," Materials Today: Proceedings, 2023. [CrossRef]
- R. Garg, R. Garg, and N. O. Eddy, "Microbial induced calcite precipitation for self-healing of concrete: a review," Journal of Sustainable Cement-Based Materials, vol. 12, pp. 317-330, 2023. [CrossRef]
- Z. Helal, H. Salim, S. S. E. Ahmad, H. Elemam, A. I. H. Mohamed, and M. A. R. Elmahdy, "Sustainable bacteria-based self-healing steel fiber reinforced concrete," Case Studies in Construction Materials, vol. 20, p. e03389, 2024/07/01/ 2024. [CrossRef]
- N. Nain, R. Surabhi, N. Yathish, V. Krishnamurthy, T. Deepa, and S. Tharannum, "Enhancement in strength parameters of concrete by application of Bacillus bacteria," Construction and Building Materials, vol. 202, pp. 904-908, 2019. [CrossRef]
- R. Andalib, M. Z. Abd Majid, M. W. Hussin, M. Ponraj, A. Keyvanfar, J. Mirza, et al., "Optimum concentration of Bacillus megaterium for strengthening structural concrete," Construction and Building Materials, vol. 118, pp. 180-193, 2016. [CrossRef]
- R. Weerasinghe, Y.-L. Guo, X.-Y. Liu, Y.-P. Hu, and C. Fang, "Study on the influence of fly ash and silica fume with different dosage on concrete strength," E3S Web of Conferences, vol. 237, p. 03038, 2021. [CrossRef]
- Pathak, "Effect of silica fume and fly ash as partial replacement of cement on strength of concrete," in International Conference of Advance Research & Innovation (ICARI), 2020. [CrossRef]
- R. Weerasinghe, H.-Y. Zhang, X.-Y. Liu, D.-F. Wei, and C. Fang, "Influence of Silica Fume Content on Performance of High - Performance Concrete," E3S Web of Conferences, vol. 237, p. 03039, 2021. [CrossRef]
- M. Ziada, H. Tanyildizi, and M. Uysal, "Bacterial healing of geopolymer concrete exposed to combined sulfate and freeze-thaw effects," Construction and Building Materials, vol. 369, p. 130517, 2023. [CrossRef]
- S. Ahmad, Y. Elmenshawy, Y. O. El Gammal, H. M. El-Sheikh, M. Moawad, A. A. Elshami, et al., "Investigating the repair of cracks through bacterial self-healing for sustainable concrete in aggressive sulfate attack environments," Fracture and Structural Integrity, vol. 19, pp. 194-210, 11/07 2024. [CrossRef]
- K. D. Mutitu, M. O. Munyao, M. J. Wachira, R. Mwirichia, K. J. Thiong'o, and M. J. Marangu, "Effects of biocementation on some properties of cement-based materials incorporating Bacillus Species bacteria–a review," Journal of Sustainable Cement-Based Materials, vol. 8, pp. 309-325, 2019. [CrossRef]
- D. K. Mutitu, J. M. Wachira, R. Mwirichia, J. K. Thiong’o, O. M. Munyao, and M. Genson, "Biocementation influence on flexural strength and chloride ingress by Lysinibacillus sphaericus and bacillus megaterium in mortar structures," Journal of Chemistry, vol. 2020, p. 1472923, 2020. [CrossRef]
- K. Vijay and M. Murmu, "Self-repairing of concrete cracks by using bacteria and basalt fiber," SN Applied Sciences, vol. 1, pp. 1-10, 2019. [CrossRef]
- Souid, M. Esaker, D. Elliott, and O. Hamza, "Experimental data of bio self-healing concrete incubated in saturated natural soil," Data in brief, vol. 26, p. 104394, 2019. [CrossRef]
- K. Parashar and A. Gupta, "Experimental study of the effect of bacillus megaterium bacteria on cement concrete," in IOP conference series: materials science and engineering, 2021, p. 012168. [CrossRef]
- H. Kalhori and R. Bagherpour, "Application of carbonate precipitating bacteria for improving properties and repairing cracks of shotcrete," Construction and Building Materials, vol. 148, pp. 249-260, 2017. [CrossRef]
- D. J. De Souza and L. F. Sanchez, "Understanding the efficiency of autogenous and autonomous self-healing of conventional concrete mixtures through mechanical and microscopical analysis," Cement and Concrete Research, vol. 172, p. 107219, 2023. [CrossRef]
- S. Joshi, Y.-H. Ahn, S. Goyal, and M. S. Reddy, "Performance of bacterial mediated mineralization in concrete under carbonation and chloride induced corrosion," Journal of Building Engineering, vol. 69, p. 106234, 2023. [CrossRef]
- S. Mondal and A. D. Ghosh, "Biomineralization, bacterial selection and properties of microbial concrete: A review," Journal of Building Engineering, vol. 73, p. 106695, 2023. [CrossRef]
- S. A. Kadapure and U. B. Deshannavar, "Bio-smart material in self-healing of concrete," Materials Today: Proceedings, vol. 49, pp. 1498-1503, 2022. [CrossRef]
- Y. Elmenshawy, M. A. R. Elmahdy, M. Moawad, A. A. Elshami, S. S. E. Ahmad, and K. Nagai, "Investigating the bacterial sustainable self-healing capabilities of cracks in structural concrete at different temperatures," Case Studies in Construction Materials, vol. 20, p. e03188, 2024/07/01/ 2024. [CrossRef]
- K. Parashar and A. Gupta, "Experimental study of the effect of bacillus megaterium bacteria on cement concrete," IOP Conference Series: Materials Science and Engineering, vol. 1116, p. 012168, 2021/04/01 2021. [CrossRef]
- H. Yi, T. Zheng, Z. Jia, T. Su, and C. Wang, "Study on the influencing factors and mechanism of calcium carbonate precipitation induced by urease bacteria," Journal of Crystal Growth, vol. 564, p. 126113, 2021. [CrossRef]
- K. K. Maurya, A. Rawat, and R. Shanker, "Performance evaluation concept for crack healing in bacterial concrete structure using electro mechanical impedance technique with PZT patch," Developments in the Built Environment, vol. 15, p. 100196, 2023. [CrossRef]
- S. Mondal and A. D. Ghosh, "Spore-forming Bacillus subtilis vis-à-vis non-spore-forming Deinococcus radiodurans, a novel bacterium for self-healing of concrete structures: a comparative study," Construction and Building Materials, vol. 266, p. 121122, 2021. [CrossRef]
- M. A. Elshazly, A. A. Elakhras, A. A. Elshami, S. S. E. Ahmad, and M. A. R. Elmahdy, "Investigating the effectiveness of a bacterial self-healing mechanism for repairing cracks in sustainable cement mortar at low temperatures," Results in Engineering, vol. 25, p. 103907, 2025/03/01/ 2025. [CrossRef]


































| Mix | Types of bacteria | Bacteria/cement(%) | Nutrient/cement(%) | ||||||
|---|---|---|---|---|---|---|---|---|---|
| M0 | - | 0.0% | 0.00% | 0 | 0 | 40 | - | 618 | 1236 |
| M1 | BM | 1.0% | 0.50% | 4 | 2 | 40 | - | 618 | 1236 |
| M2 | BM | 2.5% | 0.50% | 10 | 2 | 40 | - | 618 | 1236 |
| M3 | BS | 2.5% | 0.50% | 10 | 2 | 40 | - | 618 | 1236 |
| M4 | - | 0.0% | 0.00% | 0 | 0 | 40 | - | 618 | 1236 |
| M5 | BM | 1.0% | 0.50% | 4 | 2 | 40 | - | 618 | 1236 |
| M6 | BM | 2.5% | 0.50% | 10 | 2 | 40 | - | 618 | 1236 |
| M7 | BS | 2.5% | 0.50% | 10 | 2 | 40 | - | 618 | 1236 |
| M8 | - | 0.0% | 0.00% | 0 | 0 | 40 | - | 618 | 1236 |
| M9 | BM | 1.0% | 0.50% | 4 | 2 | 40 | - | 618 | 1236 |
| M10 | BM | 2.5% | 0.50% | 10 | 2 | 40 | - | 618 | 1236 |
| M11 | BS | 2.5% | 0.50% | 10 | 2 | 40 | - | 618 | 1236 |
| M12 | - | 0.0% | 0.00% | 0 | 0 | 40 | - | 618 | 1236 |
| M13 | BM | 1.0% | 0.50% | 4 | 2 | 40 | - | 618 | 1236 |
| M14 | BM | 2.5% | 0.50% | 10 | 2 | 40 | - | 618 | 1236 |
| M15 | BS | 2.5% | 0.50% | 10 | 2 | 40 | - | 618 | 1236 |
| M16 | - | 0.0% | 0.00% | 0 | 0 | - | 40 | 618 | 1236 |
| M17 | BM | 2.5% | 0.50% | 10 | 2 | - | 40 | 618 | 1236 |
| M18 | - | 0.0% | 0.00% | 0 | 0 | - | 40 | 618 | 1236 |
| M19 | BM | 2.5% | 0.50% | 10 | 2 | - | 40 | 618 | 1236 |
| M20 | - | 0.0% | 0.00% | 0 | 0 | - | 40 | 618 | 1236 |
| M21 | BM | 2.5% | 0.50% | 10 | 2 | - | 40 | 618 | 1236 |
| M22 | - | 0.0% | 0.00% | 0 | 0 | - | 40 | 618 | 1236 |
| M23 | BM | 2.5% | 0.50% | 10 | 2 | - | 40 | 618 | 1236 |
| Type | Name | Code | Designations | Form |
|---|---|---|---|---|
| 1 | Bacillus Sphaericus (BS) |
EMCC 1253. | DSM 396 – NCTC 9602. |
Solution |
| 2 | Bacillus Megaterium (BM) | ATCC 14581 | BCRC 10608 – CCM 2007 – CCUG 1817 – CIP 66.20 – DSM 32. | Solution |
| Mix | Average healing % | ||
|---|---|---|---|
| 7 Days | 120 Days | 120 Days | |
| M0 | 86.73 | 30.96 | 64.30 |
| M1 | 79.56 | 21.33 | 73.19 |
| M2 | 54.05 | 0 | 100 |
| M3 | 98.67 | 15.46 | 84.33 |
| M10 | 95.29 | 9.5 | 90.03 |
| M11 | 82.14 | 16.42 | 80 |
Disclaimer/Publisher’s Note: The statements, opinions and data contained in all publications are solely those of the individual author(s) and contributor(s) and not of MDPI and/or the editor(s). MDPI and/or the editor(s) disclaim responsibility for any injury to people or property resulting from any ideas, methods, instructions or products referred to in the content. |
© 2025 by the authors. Licensee MDPI, Basel, Switzerland. This article is an open access article distributed under the terms and conditions of the Creative Commons Attribution (CC BY) license (http://creativecommons.org/licenses/by/4.0/).