Submitted:
05 May 2024
Posted:
06 May 2024
You are already at the latest version
Abstract
Keywords:
1. Introduction
2. Materials and Methods
2.1. Participants
| Preterm (n = 39) | Full term (n = 35) | X2 | |||
|---|---|---|---|---|---|
| Variable | n | % | n | % | |
| Sex | .525 | ||||
| Girls | 20 | 51.3 | 15 | 42.9 | |
| Boys | 19 | 48.7 | 20 | 57.1 | |
| Dominance | 1.79 | ||||
| Right handed | 33 | 84.6 | 33 | 94.3 | |
| Left handed | 2.29 | .970 | 2.62 | .651 | |
| Schooling at beginning | 12.7* | ||||
| 3rd Kinder garden | 25 | 64 | 23 | 8 | |
| 1st Elementary | 14 | 36 | 77 | 27 | |
| Mean | SD | Mean | SD | Mann-Whitney’sU | |
| Gestational age | 31.7 | 2.8 | 38.7 | .85 | 12.0* |
| Birth weight (grams) | 1645.77 | 463 | 3204.4 | 553 | 0.0* |
| Maternal education (yrs) | 15.1 | 4.1 | 15.3 | 4 | 675.5 |
| Risk factors (frequency) | 6 | 3 | - | - | - |
| Age of assessment (months) | |||||
| 1st Assessment | 74.7 | 4.3 | 76.3 | 5.5 | 546.5 |
| 2nd Assessment | 87 | 3.7 | 87.8 | 4.4 | 595.5 |
| 3rd Assessment | 100.1 | 3.4 | 100.1 | 3.5 | 671.5 |
2.2. Instruments and Procedure
2.3. Data Analysis
2.4. Ethical Considerations
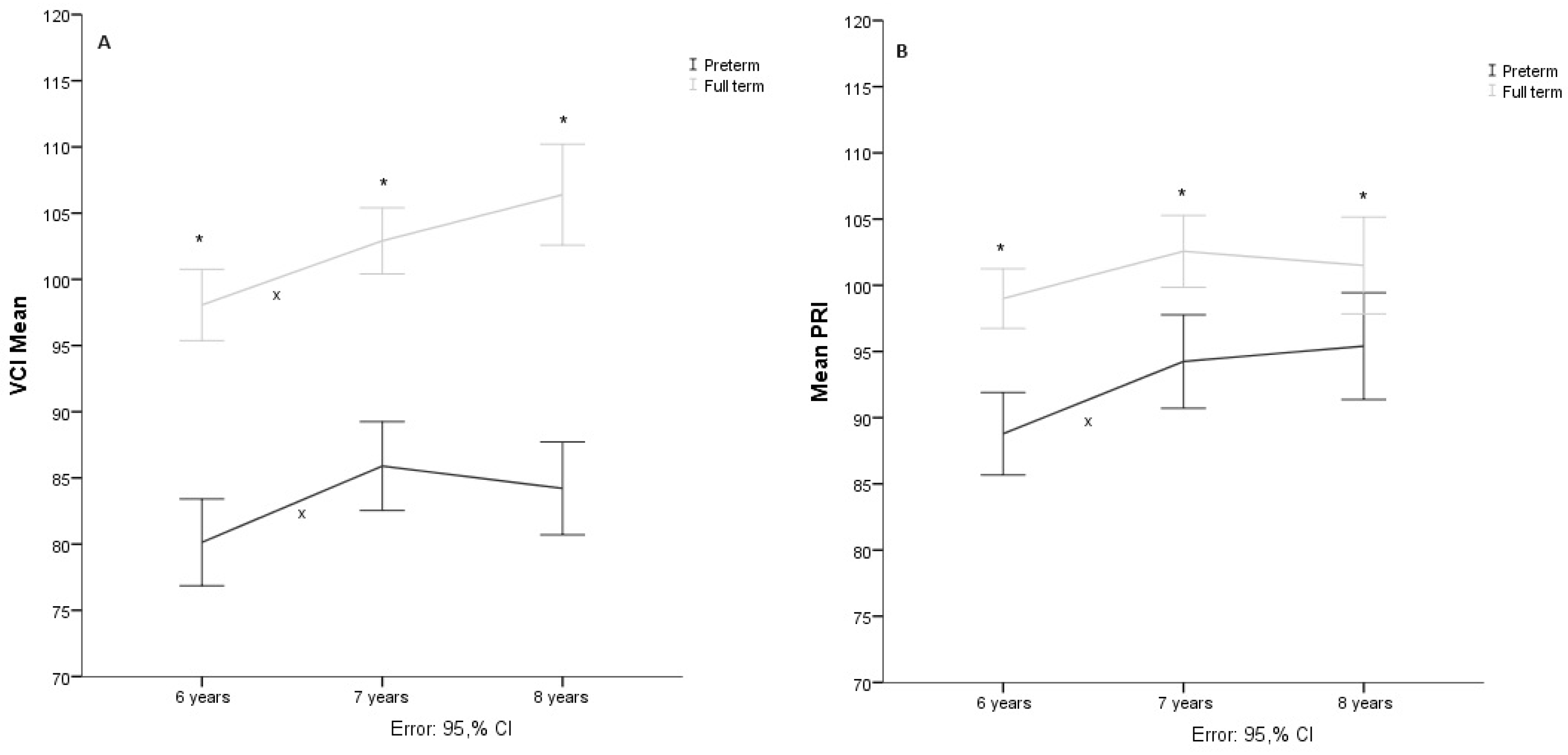
3. Results
| Preterm (n = 39) | Full term (n = 35) | ||||||
|---|---|---|---|---|---|---|---|
| Index | Age | Mean | SD | CI %95 | Mean | SD | CI %95 |
| VCI | |||||||
| 6 years | 80.9 | 10.9 | 77.3-84.4 | 98.1 | 7.4 | 95.5-100.6 | |
| 7 years | 86.2 | 10.2 | 82.9-89.5 | 103.2 | 7.9 | 100.5-105.9 | |
| 8 years | 84.5 | 10.7 | 81-88 | 105.7 | 11.4 | 101.5-109.4 | |
| PRI | |||||||
| 6 years | 87.3 | 11.1 | 83.6-90.9 | 99.3 | 7.8 | 96.6-102 | |
| 7 years | 93.0 | 11.7 | 89.1-96.8 | 104.3 | 9.5 | 101.1-107.6 | |
| 8 years | 93.6 | 13.9 | 89.1-98.2 | 103.8 | 11.5 | 99.9-107.8 | |
| WMI | |||||||
| 6 years | 81.3 | 16.2 | 76-86.5 | 94.4 | 6.3 | 92.2-96.6 | |
| 7 years | 88.1 | 12.5 | 84.1- 92.2 | 96.2 | 9.0 | 93.1-99.3 | |
| 8 years | 89.8 | 14.2 | 85.2-94.4 | 97.2 | 9.0 | 94.1-100.3 | |
| PSI | |||||||
| 6 years | 93.3 | 13.4 | 88.9-97.6 | 103.9 | 11.1 | 100-107.7 | |
| 7 years | 101.8 | 16.5 | 96.4-107.2 | 110 | 12.1 | 105.9-102.7 | |
| 8 years | 95.2 | 15.0 | 90.3-100.1 | 101.5 | 10.1 | 98-105 | |
| IQ | |||||||
| 6 years | 81.8 | 12.4 | 77.8-85.8 | 98.77 | 7.1 | 96.3-101.2 | |
| 7 years | 89.4 | 12.5 | 85.4-93.5 | 104.9 | 9.0 | 101.8-108.0 | |
| 8 years | 87.9 | 13.8 | 83.4-92.4 | 103.6 | 9.5 | 100.3-106.9 |
3.1. Verbal Comprehension
3.2. Perceptual Reasoning
3.3. Working Memory
3.4. Processing Speed
3.5. Total Intelligence Quotient


4. Discussion
5. Limitations and Future Considerations
Author Contributions
Funding
Institutional Review Board Statement
Informed Consent Statement
Data Availability Statement
Acknowledgments
Conflicts of Interest
References
- World Health Organization. Born too soon. The global action report on preterm birth. Eds. CP Howson, MV Kinney, JE Lawn. 2012.
- Vogel, J.P.; Chawanpaiboon, S.; Moller, A.B.; Watananirun, K.; Bonet, M.; Lumbiganon, P. The global epidemiology of preterm birth. Best practice & research. Clinical obstetrics & gynaecology 2018, 52, 3 – 12.
- Sansavini, A.; Guarini, A.; Caselli, M.C. PRETERM BIRTH: NEUROPSYCHOLOGICAL PROFILES AND ATYPICAL DEVELOPMENTAL PATHWAYS. Developmental Disabilities Research Reviews 2011, 17, 102 – 113.
- Villar, J.; Papageorghiou, A.T.; Knight, H.E.; Gravett, M.G.; Iams, J.; Waller, S.A.; Kramer, M.; Culhane, J.F.; Barros, F.C.; Conde-Agudelo, A.; et al. The preterm birth syndrome: a prototype phenotypic classification. American journal of obstetrics and gynecology 2012, 206, 119 – 123.
- Beck, S.; Wojdyla, D.; Say, L.; Betran, A.P.; Merialdi, M.; Requejo, J.H.; Rubens, C.; Menon, R.; Van Look, P.F.A. The worldwide incidence of preterm birth: a systematic review of maternal mortality and morbidity. Bulletin of the World Health Organization 2010, 88, 31 – 38.
- Blencowe, H.; Cousens, S.; Oestergaard, M.Z.; Chou, D.; Moller, A.B.; Narwal, R.; Adler, A.; Garcia, C.V.; Rohde, S.; Say, L.; et al. National, regional, and worldwide estimates of preterm birth rates in the year 2010 with time trends since 1990 for selected countries: a systematic analysis and implications. Lancet 2012, 379, 2162 – 2172.
- Chawanpaiboon, S.; Vogel, J.P.; Moller, A.B.; Lumbiganon, P.; Petzold, M.; Hogan, D.; Landoulsi, S.; Jampathong, N.; Kongwattanakul, K.; Laopaiboon, M.; et al. Global, regional, and national estimates of levels of preterm birth in 2014: a systematic review and modelling analysis. The Lancet. Global health 2019, 7, e37 – e46.
- World Health Organization. Global Preterm Birth Estimates. Retrieved June 2, 2021, from https://ptb.srhr.org/ 2018.
- Ferreira, R.d.C.; Alves, C.R.L.; Guimarães, M.A.P.; Menezes, K.K.P.d.; Magalhães, L.d.C. Effects of early interventions focused on the family in the development of children born preterm and/or at social risk: a meta-analysis. Jornal de pediatria 2020, 96, 20 – 38.
- Forigua, J.C. Aproximaciones de las neurociencias a la conducta. Revista Latinoamericana de Psicología 2007, 39, 627 – 628.
- Montaño-Pérez, C.M.; Cázarez-Ortiz, M.; Juárez-Astorga, A.; Ramírez-Moreno, M.A. Morbilidad y mortalidad en recién nacidos menores de 1,000 gramos en una institución pública de tercer nivel en México. Revista Mexicana de Pediatria 2019, 86, 108 – 111.
- Aarnoudse-Moens, C.S.H.; Duivenvoorden, H.J.; Weisglas-Kuperus, N.; Van Goudoever, J.B.; Oosterlaan, J. The profile of executive function in very preterm children at 4 to 12 years. 54, 247 – 253.
- Gnigler, M.; Neubauer, V.; Griesmaier, E.; Zotter, S.; Kager, K.; Kiechl-Kohlendorfer, U. Very preterm children are at increased risk of reduced processing speed at 5 years of age, predicted by typical complications of prematurity and prenatal smoking. Acta paediatrica (Oslo, Norway : 1992) 2015, 104, e124 – e129.
- Linsell, L.; Malouf, R.; Morris, J.; Kurinczuk, J.J.; Marlow, N. Prognostic Factors for Poor Cognitive Development in Children Born Very Preterm or With Very Low Birth Weight: A Systematic Review. JAMA pediatrics 2015, 169, 1162 – 1172.
- Pérez-Pereira, M.; Fernández, M.P.; Gómez-Taibo, M.L.; Martínez-López, Z.; Arce, C. A Follow-Up Study of Cognitive Development in Low Risk Preterm Children. International journal of environmental research and public health 2020, 17.
- Stålnacke, J.; Lundequist, A.; Böhm, B.; Forssberg, H.; Smedler, A.C. Individual cognitive patterns and developmental trajectories after preterm birth. Child Neuropsychology 2015, 21, 648 – 667.
- Wang, L.W.; Chu, C.H.; Lin, Y.C.; Huang, C.C. Trends in Gestational Age-Related Intelligence Outcomes of School-Age Children Born Very Preterm from 2001 to 2015 in Taiwan. The Journal of pediatrics 2023, 261, 113584.
- Qasemzadeh, M.; Pirnia, S.; Mohebi, S.; Matin, S.; Ebrahimi, H.; Ebrahimi, H.; Jangholi, E.; Gharehbeglou. Correlation of intelligence quotient (IQ) of children younger than 12 years old with history of preterm birth. Galen Medical Journal 2013, 3, 120–125.
- Heuvelman, H.; Abel, K.; Wicks, S.; Gardner, R.; Johnstone, E.; Lee, B.; Magnusson, C.; Dalman, C.; Rai, D. Gestational age at birth and risk of intellectual disability without a common genetic cause. European journal of epidemiology 2018, 33, 667 – 678.
- Twilhaar, E.S.; Wade, R.M.; de Kieviet, J.F.; van Goudoever, J.B.; van Elburg, R.M.; Oosterlaan, J. Cognitive Outcomes of Children Born Extremely or Very Preterm Since the 1990s and Associated Risk Factors: A Meta-analysis and Meta-regression. JAMA pediatrics 2018, 172, 361 – 367.
- van Veen, S.; van Wassenaer-Leemhuis, A.G.; Oosterlaan, J.; van Kaam, A.H.; Aarnoudse-Moens, C.S.H. Eight-year-old very and extremely preterm children showed more difficulties in performance intelligence than verbal intelligence. Acta paediatrica (Oslo, Norway : 1992) 2020, 109, 1175 – 1183.
- Chen, L.W.; Wang, S.T.; Wang, L.W.; Kao, Y.C.; Chu, C.L.; Wu, C.C.; Hsieh, Y.T.; Chiang, C.H.; Huang, C.C. Behavioral characteristics of autism spectrum disorder in very preterm birth children. Molecular autism 2019, 10, 32.
- Linsell, L.; Malouf, R.; Johnson, S.; Morris, J.; Kurinczuk, J.J.; Marlow, N. Prognostic Factors for Behavioral Problems and Psychiatric Disorders in Children Born Very Preterm or Very Low Birth Weight: A Systematic Review. Journal of developmental and behavioral pediatrics : JDBP 2016, 37, 88 – 102.
- Sun, J.; Buys, N. Early executive function deficit in preterm children and its association with neurodevelopmental disorders in childhood: a literature review. International journal of adolescent medicine and health 2012, 24, 291 – 299.
- Twilhaar, E.S.; Pierrat, V.; Marchand-Martin, L.; Benhammou, V.; Kaminski, M.; Ancel, P.Y. Profiles of Functioning in 5.5-Year-Old Very Preterm Born Children in France: The EPIPAGE-2 Study. Journal of the American Academy of Child and Adolescent Psychiatry 2022, 61, 881 – 891.
- Wechsler, D. Wechsler Intelligence Scale for Children (WISC-IV). Manual Moderno. 2007.
- Fitzpatrick, A.; Carter, J.; Quigley, M.A. Association of Gestational Age With Verbal Ability and Spatial Working Memory at Age 11. Pediatrics 2016, 138.
- Korpela, S.; Nyman, A.; Munck, P.; Ahtola, A.; Matomäki, J.; Korhonen, T.; Parkkola, R.; Haataja, L. Working memory in very-low-birthweight children at the age of 11 years. Child neuropsychology : a journal on normal and abnormal development in childhood and adolescence 2018, 24, 338 – 353.
- Ford, R.M.; Griffiths, S.; Neulinger, K.; Andrews, G.; Shum, D.H.K.; Gray, P.H. Impaired prospective memory but intact episodic memory in intellectually average 7- to 9-year-olds born very preterm and/or very low birth weight. Child Neuropsychology 2017, 23, 954 – 979.
- F Kaul, Y.; Johansson, M.; Månsson, J.; Stjernqvist, K.; Farooqi, A.; Serenius, F.; B Thorell, L. Cognitive profiles of extremely preterm children: Full-Scale IQ hides strengths and weaknesses. Acta paediatrica (Oslo, Norway : 1992) 2021, 110, 1817 – 1826.
- Arpi, E.; D’Amico, R.; Lucaccioni, L.; Bedetti, L.; Berardi, A.; Ferrari, F. Worse global intellectual and worse neuropsychological functioning in preterm-born children at preschool age: a meta-analysis. Acta paediatrica (Oslo, Norway : 1992) 2019, 108, 1567 – 1579.
- Begega, A.; Méndez-López, M.; de Iscar, M.J.; Cuesta-Izquierdo, M.; Solís, G.; Fernández-Colomer, B.; Álvarez, L.; Méndez, M.; Arias, J.L. Assessment of the global intelligence and selective cognitive capacities in preterm 8-year-old children. Psicothema 2010, 22, 648 – 653.
- Loe, I.M.; Lee, E.S.; Luna, B.; Feldman, H.M. Executive function skills are associated with reading and parent-rated child function in children born prematurely. Early human development 2012, 88, 111 – 118.
- Sejer, E.P.F.; Bruun, F.J.; Slavensky, J.A.; Mortensen, E.L.; Schiøler Kesmodel, U. Impact of gestational age on child intelligence, attention and executive function at age 5: a cohort study. BMJ open 2019, 9, e028982.
- Hollanders, J.J.; Schaëfer, N.; van der Pal, S.M.; Oosterlaan, J.; Rotteveel, J.; Finken, M.J.J. Long-Term Neurodevelopmental and Functional Outcomes of Infants Born Very Preterm and/or with a Very Low Birth Weight. Neonatology 2019, 115, 310 – 319.
- Jaekel, J.; Sorg, C.; Baeuml, J.; Bartmann, P.; Wolke, D. Head Growth and Intelligence from Birth to Adulthood in Very Preterm and Term Born Individuals. Journal of the International Neuropsychological Society : JINS 2019, 25, 48 – 56.
- Soria-Pastor, S.; Gimenez, M.; Narberhaus, A.; Falcon, C.; Botet, F.; Bargallo, N.; Mercader, J.M.; Junque, C. Patterns of cerebral white matter damage and cognitive impairment in adolescents born very preterm. International journal of developmental neuroscience : the official journal of the International Society for Developmental Neuroscience 2008, 26, 647 – 654.
- Zubiaurre-Elorza, L.; Soria-Pastor, S.; Junqué, C.; Fernandez-Espejo, D.; Segarra, D.; Bargalló, N.; Romano-Berindoague, C.; Macaya, A. Thalamic changes in a preterm sample with periventricular leukomalacia: correlation with white-matter integrity and cognitive outcome at school age. Pediatric research 2012, 71, 354 – 360.
- Cepeda, N.J.; Blackwell, K.A.; Munakata, Y. Speed isn’t everything: complex processing speed measures mask individual differences and developmental changes in executive control. Developmental Science 2013, 16, 269 – 286.
- Wehrle, F.M.; Kaufmann, L.; Benz, L.D.; Huber, R.; O’Gorman, R.L.; Latal, B.; Hagmann, C.F. Very preterm adolescents show impaired performance with increasing demands in executive function tasks. Early human development 2016, 92, 37 – 43.
- Bruggink, J.L.M.; Van Braeckel, K.N.; Bos, A.F. The early motor repertoire of children born preterm is associated with intelligence at school age. Pediatrics 2010, 125, e1356 – e1363.
- Eryigit Madzwamuse, S.; Baumann, N.; Jaekel, J.; Bartmann, P.; Wolke, D. Neuro-cognitive performance of very preterm or very low birth weight adults at 26 years. Journal of Child Psychology & Psychiatry 2015, 56, 857 – 864.
- Roze, E.; Reijneveld, S.A.; Stewart, R.E.; Bos, A.F. Multi-domain cognitive impairments at school age in very preterm-born children compared to term-born peers. BMC pediatrics 2021, 21, 169.
- Kim, S.Y.; Kim, E.K.; Song, H.; Cheon, J.E.; Kim, B.N.; Kim, H.S.; Shin, S.H. Association of Brain Microstructure and Functional Connectivity With Cognitive Outcomes and Postnatal Growth Among Early School-Aged Children Born With Extremely Low Birth Weight. JAMA network open 2023, 6, e230198.
Disclaimer/Publisher’s Note: The statements, opinions and data contained in all publications are solely those of the individual author(s) and contributor(s) and not of MDPI and/or the editor(s). MDPI and/or the editor(s) disclaim responsibility for any injury to people or property resulting from any ideas, methods, instructions or products referred to in the content. |
© 2024 by the authors. Licensee MDPI, Basel, Switzerland. This article is an open access article distributed under the terms and conditions of the Creative Commons Attribution (CC BY) license (http://creativecommons.org/licenses/by/4.0/).