Submitted:
29 April 2024
Posted:
01 May 2024
You are already at the latest version
Abstract
Keywords:
1. Introduction
2. Materials and Methods
2.1. Samples
2.2. X-ray Diffraction
2.2. Neutron Diffraction
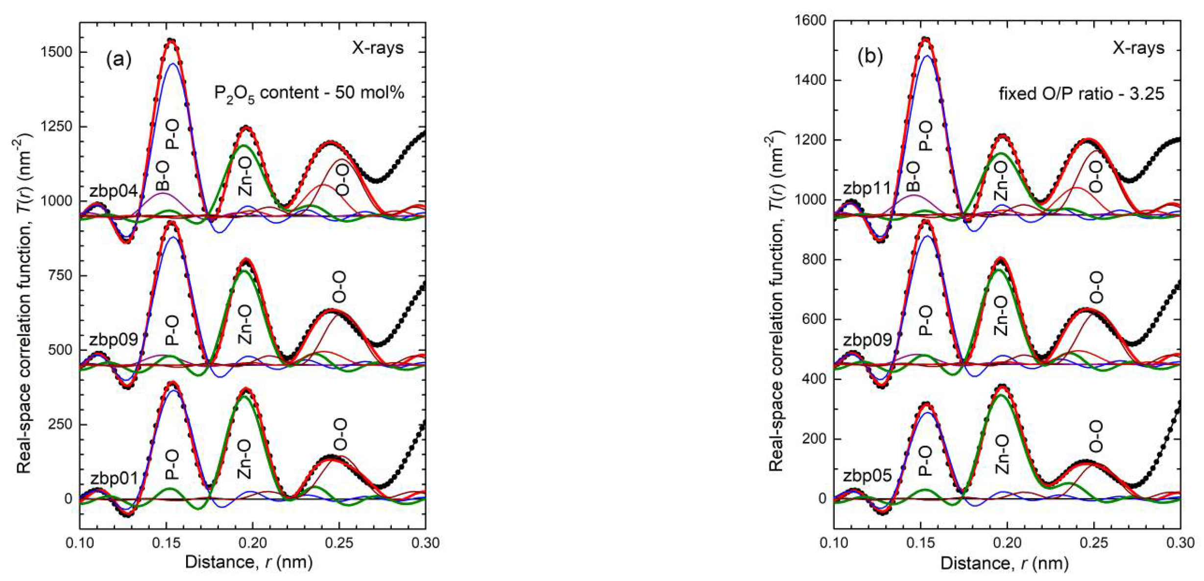
3. Results
4. Discussion
4.1. Fully Tetrahedral Networks and the Ratio ONB/Zn
4.2. The Stabilization of the BO4 Units and the Boron Anomaly
4.3. Different Effects of Zn and Na on the P−O Bond Lengths
4.4. The Evolution of the Properties of the Zn Borophosphate Glasses
5. Conclusions
Supplementary Materials
Author Contributions
Funding
Data Availability Statement
Conflicts of Interest
References
- Ray, N.H. Inorganic Polymers; Academic Press: London, 1978; pp. 79–90. [Google Scholar]
- Chiodelli, G.; Magistris, A.; Villa, M. Ionic conductivity and glass transition of borophosphate glasses. Solid State Ionics 1986, 18-19, 356–361. [Google Scholar] [CrossRef]
- Christensen, R.; Olson, G.; Martin, S.W. Ionic Conductivity of Mixed Glass Former 0.35Na2O + 0.65[xB2O3 + (1 – x)P2O5] Glasses. J. Phys. Chem. B 2013, 117, 16577–16586. [Google Scholar] [CrossRef] [PubMed]
- Zielnok, D.; Cramer, C.; Eckert, H. Structure/property correlations in ion-conducting mixed-network former glass: solid-state NMR studies of the system Na2O-B2O3-P2O5. Chem. Mater. 2007, 19, 3162–3170. [Google Scholar] [CrossRef]
- Carta, D.; Qiu, D.; Guerry, P.; Ahmed, I.; Neel, E.A.A.; Knowles, J.C.; Smith, M.E.; Newport, R.J. The effect of composition on the structure of sodium borophosphate glasses. J. Non-Crystalline Solids 2008, 354, 3671–3677. [Google Scholar] [CrossRef]
- Raskar, D.; Rinke, M.T.; Eckert, H. The mixed-network former effect in phosphate glasses: NMR and XPS studies of the connectivity distribution in the glass system (NaPO3)1-x(B2O3)x. J. Phys. Chem. C 2008, 112, 12530–12539. [Google Scholar] [CrossRef]
- Muñoz, F.; Montagne, L.; Pascual, L.; Durán, A. Composition and structure dependence of the properties of lithium borophosphate glasses showing boron anomaly. J. Non-Crystalline Solids 2009, 355, 2571–2577. [Google Scholar] [CrossRef]
- Larink, D.; Eckert, H.; Reichert, M.; Martin, S.W. Mixed network former effect in ion-conducting alkali borophosphate glasses: structure/property correlations in the system [M2O]1/3[(B2O3)x(P2O5)1-x]2/3 (M = Li, K, Cs). J. Phys. Chem. C 2012, 116, 26162–26176. [Google Scholar] [CrossRef]
- Christensen, R.; Olson, G.; Martin, S.W. Structural studies of mixed glass former 0. 35Na2O + 0.65[xB2O3 + (1-x)P2O5] glasses by Raman and 11B and 31P Magic Angle Spinning Nuclear Magnetic Resonance spectroscopies. J. Phys. Chem. B 2013, 117, 2169–2179. [Google Scholar] [PubMed]
- Krogh-Moe, J. On the structure of boron oxide and alkali borate glasses. Doktorsavhandlingar vid Chalmers Tekniska Högskola Nr. 22, Göteborg, 1959.
- Freudenberger, P.T.; Brow, R.K. Spectroscopic and chromatographic analyses of zinc borophosphate glasses. Phys. Chem. Glasses B 2018, 59, 227–284. [Google Scholar]
- Haines, J.; Cambon, O.; Astier, R.; Fertey, P.; Chateau, C. Crystal structures ofα-quartz homeotypes boron phosphate and boron arsenate: structure-property relationships. 219, 37. [CrossRef]
- Haines, J.; Chateau, C.; Léger, J.M.; Bogicevic, C.; Hull, S.; Klug, D.D.; Tse, J.S. Collapsing Cristobalitelike Structures in Silica Analogues at High Pressure. Phys. Rev. Lett. 2003, 91, 015503. [Google Scholar] [CrossRef]
- Bang, X.D.; Hong, C.H.; Xin, Y.X.; Thai, Z.J. Low-temperature flux syntheses and characterizations of two 1-D anhydrous borophosphates: Na3B6PO13 and Na3BP2O8. J. Solid State Chem. 2007, 180, 233–239. [Google Scholar]
- Hauf, C.; Friedrich, T.; Kniep, R. Crystal structure of pentasodium catena-(diborato-triphosphate), Na5B2P3O13. Z. Kristallogr. 1995, 210, 446–446. [Google Scholar] [CrossRef]
- Zhang, E.; Zhao, S.; Zhang, J.; Fu, P.; Yao, J. The β-modification of trizinc borate phosphate, Zn3(BO3)(PO4). Acta Cryst. E 2001, 67, i3. [Google Scholar] [CrossRef] [PubMed]
- Topper, B.; Möncke, D.; Youngman, R.E.; Valvi, C.; Kamitsos, E.I.; Varsamis, C.P.P. Zinc borate glasses: properties, structure and modelling of the composition-dependence of borate speciation. Phys. Chem. Chem. Phys. 2023, 25, 5967–5988. [Google Scholar] [CrossRef]
- Brow, R.K. An XPS study of oxygen bonding in zinc phosphate and zinc borophosphate glasses. J. Non-Crystalline Solids 1996, 194, 267–273. [Google Scholar] [CrossRef]
- Brow, R.K.; Tallant, D.R. Structural design of sealing glasses. J. Non-Crystalline Solids 1997, 222, 396–406. [Google Scholar] [CrossRef]
- Koudelka, L.; Mošner, P. Borophosphate glasses of the ZnO−B2O3−P2O5 system. Mater. Lett. 2000, 42, 194–199. [Google Scholar] [CrossRef]
- Brow, R.K. Review: the structure of simple phosphate glasses. J. Non-Cryst. Solids 2000, 263-264, 1–28. [Google Scholar] [CrossRef]
- Smith, C.E.; Brow, R.K.; Montagne, L.; Revel, B. The structure and properties of zinc aluminophosphate glasses. J. Non-Crystalline Solids 2014, 386, 105–114. [Google Scholar] [CrossRef]
- Hoppe, U.; Walter, G.; Kranold, R.; Stachel, D.; Barz, A. The dependence of structural peculiarities in binary phosphate glasses on their network modifier content. J. Non-Crystalline Solids 1995, 192-193, 28–31. [Google Scholar] [CrossRef]
- Hoppe, U.; Walter, G.; Stachel, D.; Barz, A.; Hannon, A.C. Neutron and X-ray Diffraction Study on the Structure of Ultraphosphate Glasses. 1997, 52, 259–269. [CrossRef]
- Hoppe, U. The oxygen environments of divalent cations in phosphate glasses and crystals – the changes with composition and ionic radii. J. Non-Crystalline Solids 2023, 619. [Google Scholar] [CrossRef]
- Bionducci, M.; Licheri, G.; Musinu, A.; Navarra, G.; Piccaluga, G.; Pinna, G. The structure of Zn(II) metaphosphate glass. Z. Naturforsch. A 1996, 51, 1209–1215. [Google Scholar] [CrossRef]
- Walter, G.; Hoppe, U.; Vogel, J.; Carl, G.; Hartmann, P. The structure of zinc polyphosphate glass studied by diffraction methods and 31P NMR. J. Non-Crystalline Solids 2004, 333, 252–262. [Google Scholar] [CrossRef]
- Xia, Y.; Chen, H.; Hung, I.; Gan, Z.; Sen, S. Structure and Fragility of Zn-phosphate glasses: Results from multinuclear NMR spectroscopy and calorimetry. J. Non-Crystalline Solids 2022, 580, 121395. [Google Scholar] [CrossRef]
- Dippel, A.-C.; Liermann, H.-P.; Delitz, J.T.; Walter, P.; Schulte-Schrepping, H.; Seeck, O.H.; Franz, H. Beamline P02.1 at PETRA III for high-resolution and high-energy powder diffraction. J. Synchrotron Radiat. 2015, 22, 675–687. [Google Scholar] [CrossRef] [PubMed]
- Waasmaier, D.; Kirfel, A. New analytical scattering-factor functions for free atoms and ions. Acta Crystallogr. Sect. A Found. Crystallogr. 1995, 51, 416–431. [Google Scholar] [CrossRef]
- Hubbell, J.H.; Veigele, W.J.; Briggs, E.A.; Brown, R.T.; Cromer, D.T.; Howerton, R.J. Atomic form factors, incoherent scattering functions, and photon scattering cross sections. J. Phys. Chem. Ref. Data 1975, 4, 471–538. [Google Scholar] [CrossRef]
- Hannon, A.C. Results on disordered materials from the GEneral Materials diffractometer, GEM, at ISIS. Nucl. Instruments Methods Phys. Res. Sect. A: Accel. Spectrometers, Detect. Assoc. Equip. 2005, 551, 88–107. [Google Scholar] [CrossRef]
- Leadbetter, A.J.; Wright, A.C. Diffraction studies of glass structure: I. Theory and quasi-crystalline model. J. Non-Cryst. Solids 1972, 7, 23–26. [Google Scholar] [CrossRef]
- Hannon, A.C. Neutron diffraction techniques for structural studies of glasses. In Modern glass characterization, Affatigato, M. Ed.; John Wiley & Sons: Hoboken, New Jersey, USA, 2015; p. 190ff. [Google Scholar]
- Weil, M. The high-temperature modification of zinc catena-polyphosphate, β-Zn(PO3)2. Acta Cryst. C 2004, 60, i20–i22. [Google Scholar] [CrossRef] [PubMed]
- Robertson, B.E.; Calvo, C. Crystal structure of α-Zn2P2O7. J. Solid State Chem. 1970, 1, 120–133. [Google Scholar] [CrossRef]
- Bataille, T.; Benard-Rocherulle, P.; Louer, D. Thermal behavior of zinc phenylphosphonate and structure determination of g-Zn2P2O7 from X-ray powder diffraction data. J. Solid State. Chem. 140 (1998) 62-70.
- Hoppe, U.; Delevoye, L.; Montagne, L.; von Zimmermann, M.; Hannon, A.C. Structure of Nb2O5-NaPO3 glasses by X-ray and neutron diffraction. Phys. Chem. Chem. Phys. 2013, 15, 8520–8528. [Google Scholar] [CrossRef] [PubMed]
- Hoppe, U.; Stachel, D.; Beyer, D. The oxygen coordination of metal ions in phosphate and silicate glasses studied by a combination of x-ray and neutron diffraction. Phys. Scr. 1995, T57, 122–126. [Google Scholar] [CrossRef]
- Kordes, E.; Vogel, W.; Feterowsky, R. Physikalisch-chemische Untersuchungen über die Eigenschaften und den Feinbau von Phosphatgläsern. Z. Elektrochem. 1953, 57, 282–289. [Google Scholar] [CrossRef]
- Krause, J.T.; Kurkjian, C.R. Vibrational Anomalies in Inorganic Glass Formers. J. Am. Ceram. Soc. 1968, 51, 226–227. [Google Scholar] [CrossRef]
- Hoppe, U. A structural model for phosphate glasses. J. Non-Crystalline Solids 1996, 195, 138–147. [Google Scholar] [CrossRef]
- Kajinami, A.; Harada, Y.; Inoue, S.; Deki, S.; Umesaki, N. The Structural Analysis of Zinc Borate Glass by Laboratory EXAFS and X-Ray Diffraction Measurements. Jpn. J. Appl. Phys. 1999, 38. [Google Scholar] [CrossRef]
- Brow, R.K.; Kirkpatrick, R.J.; Turner, G.L. Nature of alumina in phosphate glasses: II, structure of sodium aluminophosphate glass. J. Am. Ceram. Soc. 1993, 76, 919–928. [Google Scholar] [CrossRef]
- Hoppe, U.U.; Rostock, U. Model considerations of changes in the average M–O coordination numbers of ternary alkali mixed glass former phosphate glasses, A2O–MyOz–P2O5. Phys. Chem. Glas. Eur. J. Glas. Sci. Technol. Part B 2016, 57, 254–266. [Google Scholar] [CrossRef]
- Prewitt, C.T.; Shannon, R.D. Crystal structure of a high-pressure form of B2O3. Acta Crystallogr. Sect. B Struct. Crystallogr. Cryst. Chem. 1968, 24, 869–874. [Google Scholar] [CrossRef]
- Gurr, G.E.; Montgomery, P.W.; Knutson, C.D.; Gorres, B.T. The crystal structure of trigonal diboron trioxide. Acta Crystallogr. Sect. B Struct. Crystallogr. Cryst. Chem. 1970, 26, 906–915. [Google Scholar] [CrossRef]
- Martinez-Ripoll, M.; Martínez-Carrera, S.; García-Blanco, S. The crystal structure of zinc diborate ZnB4O7. Acta Crystallogr. Sect. B Struct. Crystallogr. Cryst. Chem. 1971, 27, 672–677. [Google Scholar] [CrossRef]
- Bondareva, O.S.; Egorov-Tismenko, Y.K.; Simonov, M.A.; Belov, N.V. Refined crystal structure of cubic skeletov zinc borate Zn4O[B6O12]. Dokl. Akad. Nauk SSSR 1978, 241, 815–817. [Google Scholar]
- Ziegler, R.; Purtscher, F.R.S.; Bayarjargal, L.; Hofer, T.S.; Huppertz, H. The new non-centrosymmetric zinc borate Zn2B10O17 with a unique crystal structure. Z. Anorg. Allg. Chem. 2023, 649, e202300093. [Google Scholar] [CrossRef]
- Ziegler, R.; Seibald, M.; Stoll, C.; Huppertz, H. Synthesis and crystal structure of the zinc borate Zn3B4O9. Eur. J. Inorg. Chem. 2023, 26, e2023000174. [Google Scholar] [CrossRef]
- Hyman, A.; Perloff, A.; Mauer, F.; Block, S. The crystal structure of sodium tetraborate. Acta Crystallogr. 1967, 22, 815–821. [Google Scholar] [CrossRef]
- Hoppe, U.; Kranold, R.; Stachel, D.; Barz, A.; Hannonb, A.C. Variation in P-O Bonding in Phosphate Glasses -A Neutron Diffraction Study. 2000, 55, 369–380. [CrossRef]
- Le Roux, S.; Martin, S., Christensen, R.; Ren, Y.; Petkov, V. Three-dimensional structure of multicomponent (Na2O)0.35[(P2O5)1-x(B2O3)x]0.65 glasses by high-energy x-ray diffraction and constrained reverse Monte Carlo simulations. J. Phys.: Condens. Mat. 2011, 23, 035403.
- Karlsson, M.; Schuch, M.; Christensen, R.; Maass, P.; Martin, S.W.; Imberti, S.; Matic, A. Structural Origin of the Mixed Glass Former Effect in Sodium Borophosphate Glasses Investigated with Neutron Diffraction and Reverse Monte Carlo Modeling. J. Phys. Chem. C 2015, 119, 27275–27284. [Google Scholar] [CrossRef]
- Brow, R.K.; Tallant, D.R.; Myers, S.T.; Phifer, C.C. The short-range structure of zinc polyphosphate glass. J. Non-Crystalline Solids 1995, 191, 45–55. [Google Scholar] [CrossRef]
- Shannon, R.D.; Prewitt, C.T. Effective ionic radii in oxides and fluorides. Acta Crystallogr. Sect. B Struct. Crystallogr. Cryst. Chem. 1969, 25, 925–946. [Google Scholar] [CrossRef]












Disclaimer/Publisher’s Note: The statements, opinions and data contained in all publications are solely those of the individual author(s) and contributor(s) and not of MDPI and/or the editor(s). MDPI and/or the editor(s) disclaim responsibility for any injury to people or property resulting from any ideas, methods, instructions or products referred to in the content. |
© 2024 by the authors. Licensee MDPI, Basel, Switzerland. This article is an open access article distributed under the terms and conditions of the Creative Commons Attribution (CC BY) license (http://creativecommons.org/licenses/by/4.0/).