Submitted:
20 April 2024
Posted:
23 April 2024
You are already at the latest version
Abstract
Keywords:
1. Introduction
2. Materials and Methods
2.1. Identification of BoBPC Genes
2.2. Bioinformatics Analyses of BoBPC Genes
2.3. Expression Analysis
2.3.1. BoBZR1 Gene Expression in Nwgl Mutant vs. Wild-Type
2.3.2. Tissue-Specific Expression Patterns of BoBZR1 Genes
3. Results
3.1. Identification of BoBPC Genes in B. oleracea and Their Localization
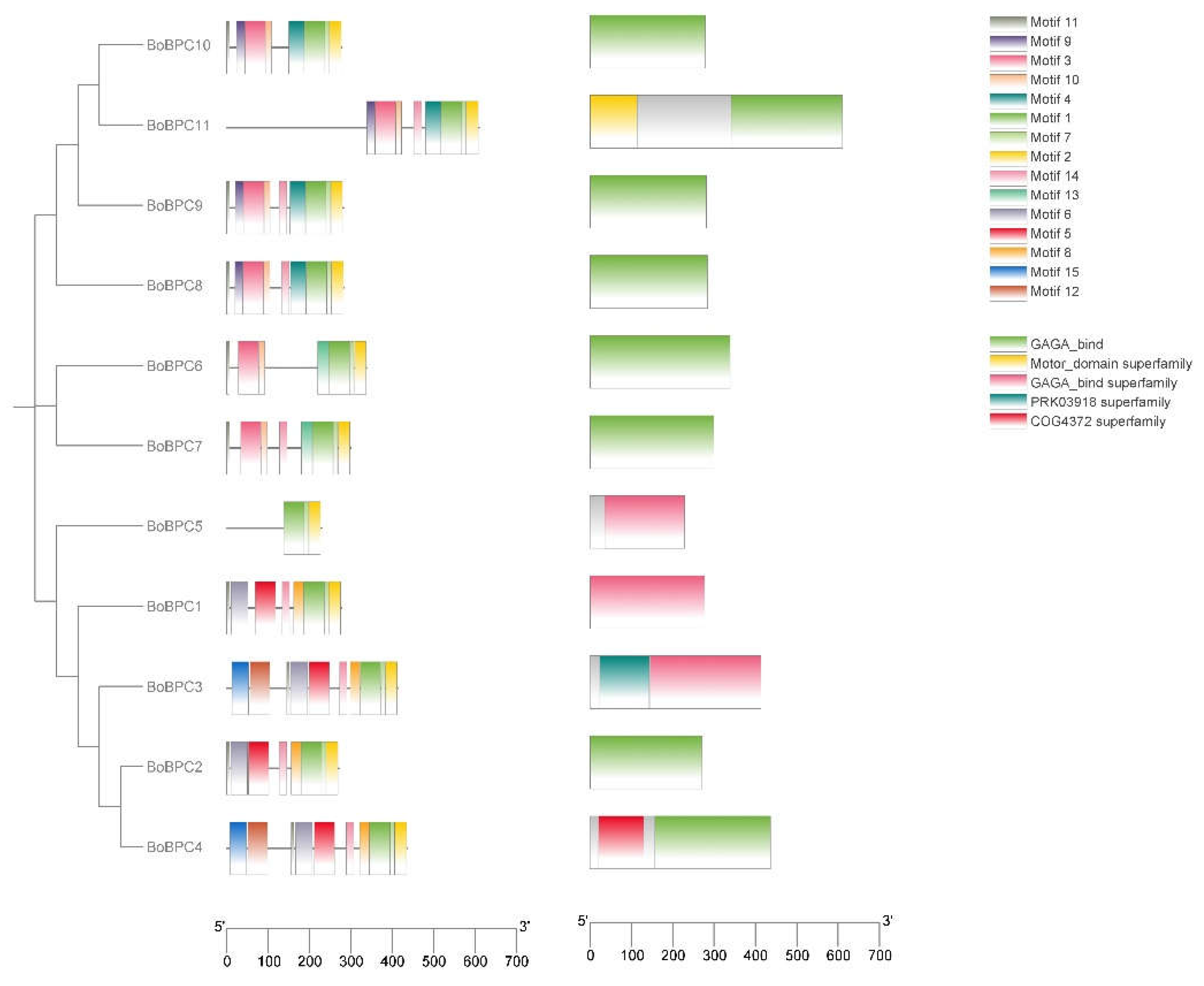
3.2. Exploration of Evolutionary Relationships, Structures, and Conserved Motifs of BoBPC Genes
3.3. Genomic Localization and Duplication Analysis of BoBPC Genes
3.4. BoBPC Orthologs Identification
3.5. Analysis of CREs in BoBPC Genes

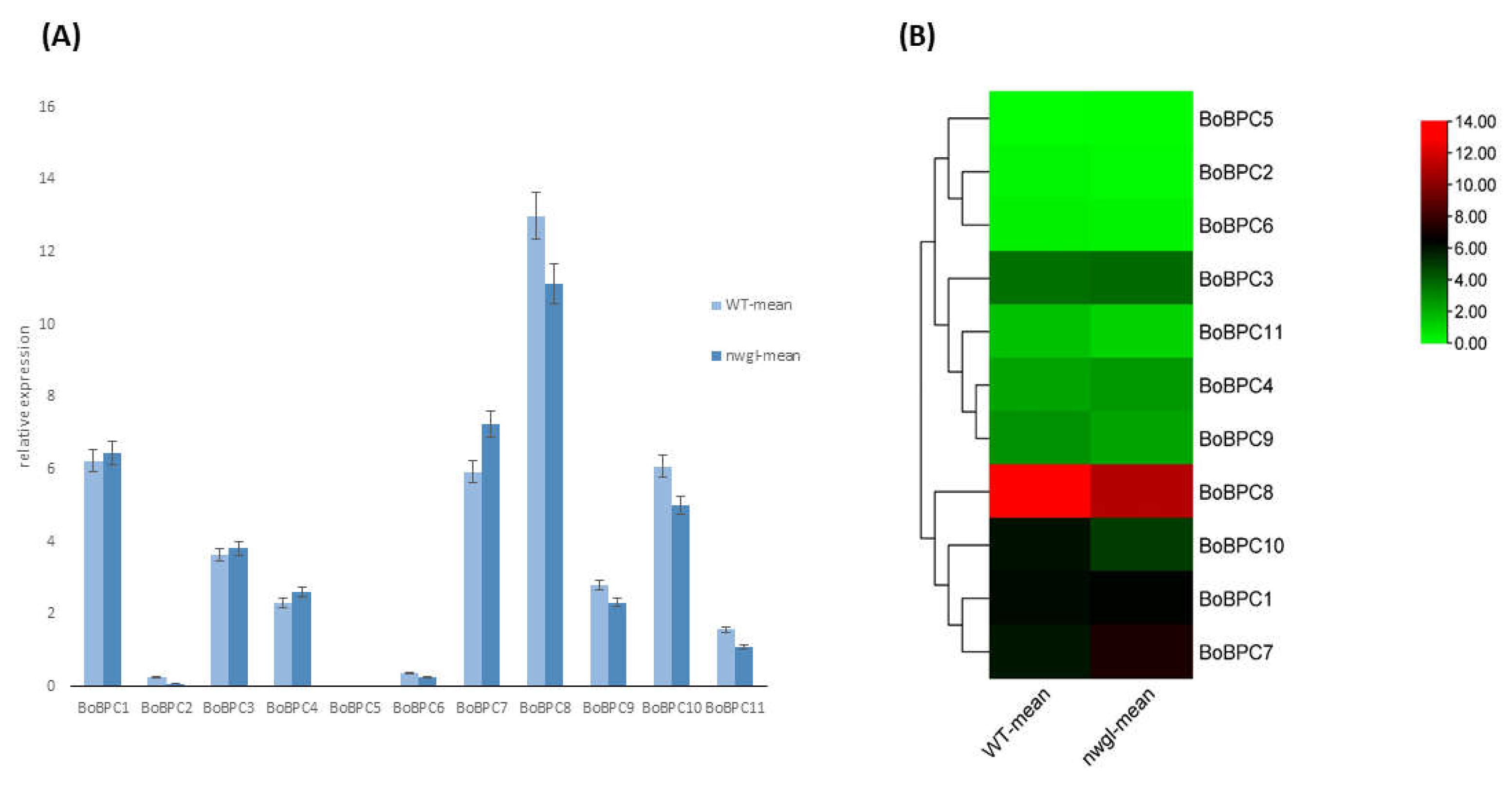
3.6. BoBPC Genes Expression Analysis
3.6.1. The Expression of BoBZR1 Genes Correlates with Cuticular Wax Biosynthesis

3.6.2. BoBPC Genes Expression in Various Tissues
4. Discussion
5. Conclusion
Supplementary files
Authors Contribution
Data-Availability
Institutional Review Board Statement
Informed Consent Statement
Funding
Acknowledgment
Conflicts of Interest
References
- Zhang, S.; Wang, J.; Feng, Y.; Xue, Y.; Wang, Y.; Zhao, M.; Chen, M.; Chen, C.; Su, W.; Chen, R. Genome-wide identification of flowering Chinese cabbage BPC family genes and BcBPC9 functional analysis in Cd stress tolerance. Plant Stress 2023, 10, 100220. [Google Scholar] [CrossRef]
- Hecker, A.; Brand, L.H.; Peter, S.; Simoncello, N.; Kilian, J.; Harter, K.; Gaudin, V.; Wanke, D. The Arabidopsis GAGA-Binding Factor BASIC PENTACYSTEINE6 Recruits the POLYCOMB-REPRESSIVE COMPLEX1 Component LIKE HETEROCHROMATIN PROTEIN1 to GAGA DNA Motifs. Plant Physiol. 2015, 168, 1013–1024. [Google Scholar] [CrossRef] [PubMed]
- Theune, M.L.; Bloss, U.; Brand, L.H.; Ladwig, F.; Wanke, D. Phylogenetic Analyses and GAGA-Motif Binding Studies of BBR/BPC Proteins Lend to Clues in GAGA-Motif Recognition and a Regulatory Role in Brassinosteroid Signaling. Front. Plant Sci. 2019, 10, 466. [Google Scholar] [CrossRef] [PubMed]
- Mu, Y.; Zou, M.; Sun, X.; He, B.; Xu, X.; Liu, Y.; Zhang, L.; Chi, W. Basic Pentacysteine Proteins Repress Abscisic Acid Insensitive4 Expression via Direct Recruitment of the Polycomb-Repressive Complex 2 in Arabidopsis Root Development. Plant Cell Physiol. 2017, 58, 607–621. [Google Scholar] [CrossRef] [PubMed]
- Kilian, K.H., V. Gaudin. The Arabidopsis GAGA-binding factor BPC6 recruits PRC1 component 28 LHP1 to GAGA DNA-motifs 29. 2015.
- Monfared, M.M.; Simon, M.K.; Meister, R.J.; Roig-Villanova, I.; Kooiker, M.; Colombo, L.; Fletcher, J.C.; Gasser, C.S. Overlapping and antagonistic activities of BASIC PENTACYSTEINE genes affect a range of developmental processes in Arabidopsis. Plant J. 2011, 66, 1020–1031. [Google Scholar] [CrossRef] [PubMed]
- Nielsen, M. , Deciphering the role of PRC2 accessory proteins in promoting cold-induced epigenetic switching in Arabidopsis thaliana. 2021, University of East Anglia.
- Wils, C.R.; Kaufmann, K. Gene-regulatory networks controlling inflorescence and flower development in Arabidopsis thaliana. Biochim. et Biophys. Acta (BBA) - Gene Regul. Mech. 2017, 1860, 95–105. [Google Scholar] [CrossRef] [PubMed]
- Godwin, J.; Farrona, S. The Importance of Networking: Plant Polycomb Repressive Complex 2 and Its Interactors. Epigenomes 2022, 6, 8. [Google Scholar] [CrossRef] [PubMed]
- Simonini, S.; Kater, M.M. Class I BASIC PENTACYSTEINE factors regulate HOMEOBOX genes involved in meristem size maintenance. J. Exp. Bot. 2014, 65, 1455–1465. [Google Scholar] [CrossRef] [PubMed]
- Mu, Y.; Liu, Y.; Bai, L.; Li, S.; He, C.; Yan, Y.; Yu, X.; Li, Y. Cucumber CsBPCs Regulate the Expression of CsABI3 during Seed Germination. Front. Plant Sci. 2017, 8, 459. [Google Scholar] [CrossRef] [PubMed]
- Gong, R.; Cao, H.; Zhang, J.; Xie, K.; Wang, D.; Yu, S. Divergent functions of the GAGA-binding transcription factor family in rice. Plant J. 2018, 94, 32–47. [Google Scholar] [CrossRef]
- Shanks, C.M.; Hecker, A.; Cheng, C.; Brand, L.; Collani, S.; Schmid, M.; Schaller, G.E.; Wanke, D.; Harter, K.; Kieber, J.J. Role of BASIC PENTACYSTEINE transcription factors in a subset of cytokinin signaling responses. Plant J. 2018, 95, 458–473. [Google Scholar] [CrossRef]
- Li, S.; Sun, M.; Miao, L.; Di, Q.; Lv, L.; Yu, X.; Yan, Y.; He, C.; Wang, J.; Shi, A.; et al. Multifaceted regulatory functions of CsBPC2 in cucumber under salt stress conditions. Hortic. Res. 2023, 10, uhad051. [Google Scholar] [CrossRef]
- Mabry, M.E. , et al., The evolutionary history of wild, domesticated, and feral Brassica oleracea (Brassicaceae). Molecular Biology and Evolution, 2021. 38(10): p. 4419-4434.
- Hammer, K.; Montesano, V.; Direnzo, P.; Laghetti, G. Conservation of Crop Genetic Resources in Italy with a Focus on Vegetables and a Case Study of a Neglected Race of Brassica Oleracea. Agriculture 2018, 8, 105. [Google Scholar] [CrossRef]
- Ciju, R.J. , Brassica Vegetables: Growing Practices and Nutritional Information. 2019: Agrihortico.
- Wang, L.; Sun, W.; Liu, X.; Xu, Y.; Lyu, Z.; Liu, R.; Jiu, S.; Zhang, C.; Wang, J. Genome-wide identification of the NCED gene family and functional characterization of PavNCED5 related to bud dormancy in sweet cherry. Sci. Hortic. 2023, 319. [Google Scholar] [CrossRef]
- Mostafa, K.; Yerlikaya, B.A.; Abdulla, M.F.; Aydin, A.; Yerlikaya, S.; Kavas, M. Genome-wide analysis of PvMADS in common bean and functional characterization of PvMADS31 in Arabidopsis thaliana as a player in abiotic stress responses. Plant Genome 2024, e20432. [Google Scholar] [CrossRef]
- Thakare, H.S. , The In-Silico Study on Structural, Functional and Sub-Cellular Localization of Hypothetical Proteins in the Orf Virus. EC Microbiology, 2021. 17: p. 10-20.
- Imai, K.; Nakai, K. Tools for the Recognition of Sorting Signals and the Prediction of Subcellular Localization of Proteins From Their Amino Acid Sequences. Front. Genet. 2020, 11. [Google Scholar] [CrossRef]
- Tnah, L.H.; Lee, S.L.; Lee, C.T.; Ng, K.K.S.; Ng, C.H.; Zawiah, N. DNA barcode identification of cultivated and wild tropical fruit species. 3 Biotech 2023, 14, 1–10. [Google Scholar] [CrossRef]
- Rehman, O.U.; Uzair, M.; Chao, H.; Fiaz, S.; Khan, M.R.; Chen, M. Role of the type-B authentic response regulator gene family in fragrant rice under alkaline salt stress. Physiol. Plant. 2022, 174, e13696. [Google Scholar] [CrossRef] [PubMed]
- Huang, B.; Huang, Z.; Ma, R.; Chen, J.; Zhang, Z.; Yrjälä, K. Genome-wide identification and analysis of the heat shock transcription factor family in moso bamboo (Phyllostachys edulis). Sci. Rep. 2021, 11, 1–19. [Google Scholar] [CrossRef]
- Miao, L. , et al., Comparative analysis of basic helix–loop–helix gene family among Brassica oleracea, Brassica rapa, and Brassica napus. BMC genomics, 2020. 21: p. 1-18.
- Ramírez-Tejero, J.A.; Jiménez-Ruiz, J.; Leyva-Pérez, M.D.L.O.; Barroso, J.B.; Luque, F. Gene Expression Pattern in Olive Tree Organs (Olea europaea L.). Genes 2020, 11, 544. [Google Scholar] [CrossRef]
- Li, J.; Zhang, N.; Zhou, Y.; Huang, Q.; Xu, J.; Cen, H.; Ali, B.; Shi, B.; Xu, L.; Yang, C.; et al. Whole-genome identification and expression analysis of basic leucine zipper genes under cadmium, drought and Orobanche cumana stresses in Helianthus annuus L. . Ind. Crop. Prod. 2023, 193. [Google Scholar] [CrossRef]
- Fedorova, L. and A. Fedorov, Introns in gene evolution. Origin and evolution of new gene functions, 2003: p. 123-131.
- Rogozin, I.B.; Sverdlov, A.V.; Babenko, V.N.; Koonin, E.V. Analysis of evolution of exon-intron structure of eukaryotic genes. Briefings Bioinform. 2005, 6, 118–134. [Google Scholar] [CrossRef] [PubMed]
- Nehrt, N.L.; Clark, W.T.; Radivojac, P.; Hahn, M.W. Testing the Ortholog Conjecture with Comparative Functional Genomic Data from Mammals. PLOS Comput. Biol. 2011, 7, e1002073. [Google Scholar] [CrossRef] [PubMed]
- Hernandez-Garcia, C.M.; Finer, J.J. Identification and validation of promoters and cis-acting regulatory elements. Plant Sci. [CrossRef]
- Zhu, X. , et al., Genome-wide analysis of coding and long non-coding RNAs involved in cuticular wax biosynthesis in cabbage (Brassica oleracea L. var. Capitata). International journal of molecular sciences, 2019. 20(11): p. 2820.
- Liu ShengYi, L.S. , et al., The Brassica oleracea genome reveals the asymmetrical evolution of polyploid genomes. 2014.
- Niinemets, Ü. Responses of forest trees to single and multiple environmental stresses from seedlings to mature plants: Past stress history, stress interactions, tolerance and acclimation. For. Ecol. Manag. 2010, 260, 1623–1639. [Google Scholar] [CrossRef]
- Sahu, P.P.; Pandey, G.; Sharma, N.; Puranik, S.; Muthamilarasan, M.; Prasad, M. Epigenetic mechanisms of plant stress responses and adaptation. Plant Cell Rep. 2013, 32, 1151–1159. [Google Scholar] [CrossRef] [PubMed]
- Foyer, C.H.; Shigeoka, S. Understanding Oxidative Stress and Antioxidant Functions to Enhance Photosynthesis. Plant Physiol. 2010, 155, 93–100. [Google Scholar] [CrossRef] [PubMed]
- Li, S.; Miao, L.; Huang, B.; Gao, L.; He, C.; Yan, Y.; Wang, J.; Yu, X.; Li, Y. Genome-Wide Identification and Characterization of Cucumber BPC Transcription Factors and Their Responses to Abiotic Stresses and Exogenous Phytohormones. Int. J. Mol. Sci. 2019, 20, 5048. [Google Scholar] [CrossRef]
- Wang, Y.; Tang, H.; DeBarry, J.D.; Tan, X.; Li, J.; Wang, X.; Lee, T.-H.; Jin, H.; Marler, B.; Guo, H.; et al. MCScanX: A toolkit for detection and evolutionary analysis of gene synteny and collinearity. Nucleic Acids Res. 2012, 40, e49. [Google Scholar] [CrossRef] [PubMed]
- Kendler, K.S. , et al., The genetic epidemiology of phobias in women: The interrelationship of agoraphobia, social phobia, situational phobia, and simple phobia. Archives of general psychiatry, 1992. 49(4): p. 273-281.
- FAISAL, I. , Analysis of evolutionary pressure and pathogenicity of missense variations. 2012.
- Marsh, J.A.; Teichmann, S.A. Parallel dynamics and evolution: Protein conformational fluctuations and assembly reflect evolutionary changes in sequence and structure. BioEssays 2013, 36, 209–218. [Google Scholar] [CrossRef]
- Biłas, R.; Szafran, K.; Hnatuszko-Konka, K.; Kononowicz, A.K. Cis-regulatory elements used to control gene expression in plants. Plant Cell, Tissue Organ Cult. (PCTOC) 2016, 127, 269–287. [Google Scholar] [CrossRef]
- Kwasnieski, J.C.; Mogno, I.; Myers, C.A.; Corbo, J.C.; Cohen, B.A. Complex effects of nucleotide variants in a mammalian cis -regulatory element. Proc. Natl. Acad. Sci. 2012, 109, 19498–19503. [Google Scholar] [CrossRef] [PubMed]
- Ayoubi, T.A. and W.J. Van De Yen, Regulation of gene expression by alternative promoters. The FASEB Journal, 1996. 10(4): p. 453-460.
- Abdullah-Zawawi, M.-R.; Ahmad-Nizammuddin, N.-F.; Govender, N.; Harun, S.; Mohd-Assaad, N.; Mohamed-Hussein, Z.-A. Comparative genome-wide analysis of WRKY, MADS-box and MYB transcription factor families in Arabidopsis and rice. Sci. Rep. 2021, 11, 1–18. [Google Scholar] [CrossRef] [PubMed]
- Ma, L.; Sun, N.; Liu, X.; Jiao, Y.; Zhao, H.; Deng, X.W. Organ-Specific Expression of Arabidopsis Genome during Development. Plant Physiol. 2005, 138, 80–91. [Google Scholar] [CrossRef] [PubMed]









| transcript id | gene name | chr# | location | AA | strand | Molecular weight | pl | GRAVY | introns | Exons | Cellular localization | |
|---|---|---|---|---|---|---|---|---|---|---|---|---|
| Start | end | |||||||||||
| Bol010505 | BoBPC1 | 2 | 12026072 | 12026906 | 834 | Reverse | 68.29021 | 5.1 | 0.769 | 0 | 1 | nucleus |
| Bol029220 | BoBPC2 | 8 | 19403048 | 19403864 | 816 | forward | 66.80343 | 5.1 | 0.896 | 0 | 1 | nucleus |
| Bol038065 | BoBPC3 | 5 | 5380614 | 5383681 | 1245 | forward | 100.80989 | 5 | 0.843 | 1 | 2 | nucleus |
| Bol031512 | BoBPC4 | 8 | 37738825 | 37741639 | 1314 | reverse | 107.92766 | 5 | 0.871 | 1 | 2 | nucleus |
| Bol039798 | BoBPC5 | 3 | 8673181 | 8673871 | 690 | forward | 58.02416 | 5.1 | 0.919 | 0 | 1 | nucleus |
| Bol023830 | BoBPC6 | 6 | 27763265 | 27764380 | 1020 | reverse | 82.4893 | 5.1 | 0.963 | 1 | 2 | nucleus, nucleolus |
| Bol044524 | BoBPC7 | 8 | 32128473 | 32129483 | 903 | reverse | 72.87759 | 5.1 | 0.978 | 1 | 2 | nucleus, nucleolus |
| Bol006733 | BoBPC8 | 4 | 29327013 | 29327963 | 855 | reverse | 69.97974 | 5.1 | 0.878 | 1 | 2 | nucleus |
| Bol028788 | BoBPC9 | 1 | 42304 | 43238 | 849 | reverse | 70.10452 | 5.1 | 0.92 | 1 | 2 | nucleus, nucleolus |
| Bol016050 | BoBPC10 | 3 | 46068171 | 46069101 | 840 | reverse | 68.39542 | 5.1 | 0.933 | 1 | 2 | nucleus, nucleolus |
| Bol018522 | BoBPC11 | 7 | 48251210 | 48258632 | 1833 | forward | 150.09543 | 4.9 | 0.832 | 3 | 4 | nucleus, nucleolus |
| Gene IDs | Orthologue in arabidopsis | Molecular function | Biological process | Localization | Expressed in |
|---|---|---|---|---|---|
| BoBPC1 | AtBPC6 | DNA binding, transcription corepressor binding | response to ethylene | nucleus | collective leaf structure, flower, flower pedicel, petal, plant embryo, plant sperm cell, pollen, pollen tube cell, root, seed, sepal |
| BoBPC2, BoBPC3, BoBPC4 | AtBPC5 | DNA binding, cis-regulatory region sequence-specific DNA binding | response to ethylene | nucleus | Cauline leaf, cotyledon, flower, guard cell, hypocotyl, inflorescence meristem, plant sperm cell, pollen, pollen tube cell, root, seed, shoot system |
| BoBPC5, BoBPC8 | AtBPC1, AtBPC2 | DNA binding | response to ethylene | nucleus | Anther, carpel, collective leaf structure, flower, flower pedicel, guard cell, hypocotyl |
| BoBPC6, BoBPC7, BoBPC9, BoBPC10, BoBPC11 | AtBPC4, AtBPC7 | DNA binding, transcription cis-regulatory region binding | response to ethylene | nucleus, nucleulous | Collective leaf structure, cotyledon, flower, guard cell, leaf apex, plant embryo, pollen, root, seed, sepal, shoot apex, shoot system, stamen, stem, vascular leaf |
Disclaimer/Publisher’s Note: The statements, opinions and data contained in all publications are solely those of the individual author(s) and contributor(s) and not of MDPI and/or the editor(s). MDPI and/or the editor(s) disclaim responsibility for any injury to people or property resulting from any ideas, methods, instructions or products referred to in the content. |
© 2024 by the authors. Licensee MDPI, Basel, Switzerland. This article is an open access article distributed under the terms and conditions of the Creative Commons Attribution (CC BY) license (https://creativecommons.org/licenses/by/4.0/).