Submitted:
15 April 2024
Posted:
16 April 2024
You are already at the latest version
Abstract
Keywords:
1. Introduction
2. Materials and Methods
2.1. Chemicals
2.2. Pre-Culture Preparation and Colony-Forming Unit Counting
2.3. Experimental Setup for Cultivating and Headspace Sampling
2.4. Collection and Preparation of Bronchoalveolar Lavage Specimens
2.5. Headspace Sampling from Bronchoalveolar Lavage Specimens
2.6. Gas Chromatographic – Mass Spectrometric Analysis
3. Results
3.1. Microbial Growth
3.2. VOCs of Microbial Origin
3.3. Co-Culture-Specific VOCs

3.4. Bacterial Metabolites in BAL Specimens
4. Discussion
4.1. In Vitro Experiments with Microbial Cultures
4.2. Ex Vivo Analysis of Human Specimens
4.3. Comparison of the In Vitro and In Vivo Metabolome
4.4. Study Limitation
4.5. Concluding Remarks
Author Contributions
Funding
Institutional Review Board Statement
Data Availability Statement
Acknowledgments
Conflicts of Interest
References
- Network, C. f. D. C. a. P.-N. H. S. HAI Pathogens and Antimicrobial Resistance Report, 2018 - 2021; Centers for Disease Control and Prevention: 2023.
- Hamet, M.; Pavon, A.; Dalle, F.; Pechinot, A.; Prin, S.; Quenot, J. P.; Charles, P. E. , Candida spp. airway colonization could promote antibiotic-resistant bacteria selection in patients with suspected ventilator-associated pneumonia. Intensive Care Med 2012, 38, (8), 1272-9.
- Azoulay, E.; Timsit, J. F.; Tafflet, M.; de Lassence, A.; Darmon, M.; Zahar, J. R.; Adrie, C.; Garrouste-Orgeas, M.; Cohen, Y.; Mourvillier, B.; Schlemmer, B.; Outcomerea Study, G. , Candida colonization of the respiratory tract and subsequent pseudomonas ventilator-associated pneumonia. Chest. 2006, 129, (1), 110-7.. [CrossRef] [PubMed]
- Harriott, M. M.; Noverr, M. C. , Candida albicans and Staphylococcus aureus form polymicrobial biofilms: Effects on antimicrobial resistance. Antimicrob Agents Chemother 2009, 53, 3914–22. [Google Scholar] [CrossRef]
- McAlester, G.; O'Gara, F.; Morrissey, J. P. , Signal-mediated interactions between Pseudomonas aeruginosa and Candida albicans. J Med Microbiol 2008, 57 Pt 5, 563–569. [Google Scholar] [CrossRef] [PubMed]
- Carlson, E. , Effect of strain of Staphylococcus aureus on synergism with Candida albicans resulting in mouse mortality and morbidity. Infect Immun 1983, 42, 285–92. [Google Scholar] [CrossRef] [PubMed]
- Carlson, E. C. , Synergism of Candida albicans and delta toxin producing Staphylococcus aureus on mouse mortality and morbidity: Protection by indomethacin. Zentralbl Bakteriol Mikrobiol Hyg A 1988, 269, 377–86. [Google Scholar] [CrossRef] [PubMed]
- Roux, D.; Gaudry, S.; Dreyfuss, D.; El-Benna, J.; de Prost, N.; Denamur, E.; Saumon, G.; Ricard, J. D. , Candida albicans impairs macrophage function and facilitates Pseudomonas aeruginosa pneumonia in rat. Crit Care Med 2009, 37, 1062–7. [Google Scholar] [CrossRef] [PubMed]
- Venkatesh, M. P.; Pham, D.; Fein, M.; Kong, L.; Weisman, L. E. , Neonatal coinfection model of coagulase-negative Staphylococcus (Staphylococcus epidermidis) and Candida albicans: Fluconazole prophylaxis enhances survival and growth. Antimicrob Agents Chemother 2007, 51, 1240–5. [Google Scholar] [CrossRef] [PubMed]
- Delisle, M. S.; Williamson, D. R.; Perreault, M. M.; Albert, M.; Jiang, X.; Heyland, D. K. , The clinical significance of Candida colonization of respiratory tract secretions in critically ill patients. J Crit Care 2008, 23, 11–7. [Google Scholar] [CrossRef] [PubMed]
- Huang, D.; Qi, M.; Hu, Y.; Yu, M.; Liang, Z. , The impact of Candida spp airway colonization on clinical outcomes in patients with ventilator-associated pneumonia: A systematic review and meta-analysis. Am J Infect Control 2020, 48, 695–701. [Google Scholar] [CrossRef] [PubMed]
- Ricard, J. D.; Roux, D. , Candida colonization in ventilated ICU patients: No longer a bystander! Intensive Care Med 2012, 38, 1243–5. [Google Scholar] [CrossRef] [PubMed]
- Filipiak, W.; Beer, R.; Sponring, A.; Filipiak, A.; Ager, C.; Schiefecker, A.; Lanthaler, S.; Helbok, R.; Nagl, M.; Troppmair, J.; Amann, A. , Breath analysis for in vivo detection of pathogens related to ventilator-associated pneumonia in intensive care patients: A prospective pilot study. J Breath Res 2015, 9, 016004. [Google Scholar] [CrossRef] [PubMed]
- Schnabel, R.; Fijten, R.; Smolinska, A.; Dallinga, J.; Boumans, M. L.; Stobberingh, E.; Boots, A.; Roekaerts, P.; Bergmans, D.; van Schooten, F. J. , Analysis of volatile organic compounds in exhaled breath to diagnose ventilator-associated pneumonia. Sci Rep 2015, 5, 17179. [Google Scholar] [CrossRef] [PubMed]
- van Oort, P. M.; de Bruin, S.; Weda, H.; Knobel, H. H.; Schultz, M. J.; Bos, L. D.; On Behalf Of The Mars, C. , Exhaled Breath Metabolomics for the Diagnosis of Pneumonia in Intubated and Mechanically-Ventilated Intensive Care Unit (ICU)-Patients. Int J Mol Sci 2017, 18, (2).
- Trefz, P.; Schmidt, M.; Oertel, P.; Obermeier, J.; Brock, B.; Kamysek, S.; Dunkl, J.; Zimmermann, R.; Schubert, J. K.; Miekisch, W. , Continuous real time breath gas monitoring in the clinical environment by proton-transfer-reaction-time-of-flight-mass spectrometry. Anal Chem 2013, 85, 10321–9. [Google Scholar] [CrossRef] [PubMed]
- Żuchowska, K.; Filipiak, W. , Modern approaches for detection of volatile organic compounds in metabolic studies focusing on pathogenic bacteria: Current state of the art. Journal of Pharmaceutical Analysis 2024, 14, 100898. [Google Scholar] [CrossRef] [PubMed]
- Filipiak, W.; Ager, C.; Troppmair, J. , Predicting the future from the past: Volatile markers for respiratory infections. Eur Respir J 2017, 49, (5).
- Filipiak, W.; Jaroch, K.; Szeliska, P.; Zuchowska, K.; Bojko, B. , Application of Thin-Film Microextraction to Analyze Volatile Metabolites in A549 Cancer Cells. Metabolites 2021, 11, (10).
- Filipiak, W.; Zuchowska, K.; Marszalek, M.; Depka, D.; Bogiel, T.; Warmuzinska, N.; Bojko, B. , GC-MS profiling of volatile metabolites produced by Klebsiella pneumoniae. Front Mol Biosci 2022, 9, 1019290. [Google Scholar] [CrossRef] [PubMed]
- Filipiak W. Sponring A., F. A., Baur M., Ager C., Wiesenhofer H., Margesin R., Nagl M., Troppmair J., Amann A., Volatile Organic Compounds (VOCs) Released by Pathogenic Microorganisms in vitro: Potential Breath Biomarkers for Early-Stage Diagnosis of Disease In Volatile Biomarkers: Non-Invasive Diagnosis in Physiology and Medicine, 1st ed.; Amann A., S. D., Ed. Elsevier: Amsterdam, The Netherlands, 2013; pp 463-512.
- Grandy, J. J.; Singh, V.; Lashgari, M.; Gauthier, M.; Pawliszyn, J. , Development of a Hydrophilic Lipophilic Balanced Thin Film Solid Phase Microextraction Device for Balanced Determination of Volatile Organic Compounds. Anal Chem 2018, 90, 14072–14080. [Google Scholar] [CrossRef] [PubMed]
- Filkins, L. M.; Graber, J. A.; Olson, D. G.; Dolben, E. L.; Lynd, L. R.; Bhuju, S.; O'Toole, G. A. , Coculture of Staphylococcus aureus with Pseudomonas aeruginosa Drives S. aureus towards Fermentative Metabolism and Reduced Viability in a Cystic Fibrosis Model. J Bacteriol 2015, 197, 2252–64. [Google Scholar]
- Lawal, O.; Knobel, H.; Weda, H.; Bos, L. D.; Nijsen, T. M. E.; Goodacre, R.; Fowler, S. J. , Volatile organic compound signature from co-culture of lung epithelial cell line with Pseudomonas aeruginosa. Analyst 2018, 143, 3148–3155. [Google Scholar] [CrossRef]
- Purcaro, G.; Rees, C. A.; Melvin, J. A.; Bomberger, J. M.; Hill, J. E. , Volatile fingerprinting of Pseudomonas aeruginosa and respiratory syncytial virus infection in an in vitro cystic fibrosis co-infection model. J Breath Res 2018, 12, 046001. [Google Scholar] [CrossRef] [PubMed]
- Chen, J.; Tang, J.; Shi, H.; Tang, C.; Zhang, R. , Characteristics of volatile organic compounds produced from five pathogenic bacteria by headspace-solid phase micro-extraction/gas chromatography-mass spectrometry. J Basic Microbiol 2017, 57, 228–237. [Google Scholar] [CrossRef] [PubMed]











| Class | No. | Compound Name | Common Name | CAS | tR [min] | Target Ion [m/z] | Refererence Ions [m/z] | CAL | SAU | Co-Culture |
|---|---|---|---|---|---|---|---|---|---|---|
| VOCs with confirmed retention times of reference standards | ||||||||||
| Alcohols | 1 | Methyl alcohol | Methanol | 67-56-1 | 7.66 | 31 | 32, 29 | ↑ (log) | ↑ (steady) | ↑ (log) |
| 2 | Ethyl alcohol | Ethanol | 64-17-5 | 12.29 | 31 | 45, 46, 43 | ↑ (log) | ↑ (steady) | ↑ (log)↓ (steady) | |
| 3 | 2-Propanol | Isopropanol | 67-63-0 | 18.03 | 45 | 43, 41, 59 | ↑ (log, steady) | ↑ (log, steady) | ||
| 4 | n-Propyl alcohol | 1-Propanol | 71-23-8 | 22.30 | 31 | 60, 59, 27 | ↑ (log) | ↑ (steady) | ↑ (log) | |
| 5 | 2-Propanol, 2-methyl- | tert-Butanol | 75-65-0 | 25.61 | 59 | 57, 60, 51 | ↑ (log, steady) | ↑ (steady) | ↑ (log, steady) | |
| 6 | 1-Propanol, 2-methyl- | Isobutanol | 78-83-1 | 31.66 | 41 | 43, 74, 31 | ↑ (log, steady) | ↑ (steady) | ↑ (log, steady) | |
| 7 | n-Butyl alcohol | 1-Butanol | 71-36-3 | 43.76 | 56 | 31, 41, 55 | ↑ (log) | ↑ (steady) | ↑ (log) | |
| 8 | 1-Butanol, 3-methyl- | Isopentanol | 123-51-3 | 45.40 | 55 | 70, 42, 41 | ↑ (log, steady) | ↑ (steady) | ↑ (log, steady) | |
| Aldehydes | 9 | Acetic aldehyde | Acetaldehyde | 75-07-0 | 8.06 | 29 | 43, 44, 42 | ↑ (log) | ↑ (steady) | ↑ (log) ↓ (steady) |
| 10 | 2-Propenal | Acrolein | 107-02-8 | 13.95 | 27 | 56, 55, 53 | ↓ (log) | |||
| 11 | Propanal, 2-methyl- | Isobutanal | 78-84-2 | 24.69 | 72 | 41, 43, 39 | ↓ (steady) | |||
| 12 | Butyrylaldehyde | Butanal | 123-72-8 | 27.29 | 44 | 57, 72, 39 | (log, steady) | ↓ (log, steady) | ||
| 13 | Butanal, 3-methyl- | Isovaleraldehyde | 590-86-3 | 36.58 | 44 | 58, 71, 86 | ↓ (steady) | ↓ (steady) | ||
| 14 | 2-Butenal, 3-methyl- | 3-methylcrotonaldehyde | 107-86-8 | 47.04 | 84 | 83, 55, 39 | ↓ (steady) | ↓ (steady) | ||
| 15 | Benzoic aldehyde | Benzaldehyde | 100-52-7 | 64.48 | 106 | 105, 77, 51 | ↓ (log, steady) | ↓ (steady) | ↓ (log, steady) | |
| Acids | 16 | Acetic acid | 64-19-7 | 32.94 | 60 | 45, 43, 42 | ↑ (log) | ↑ (steady) | ↑ (log) | |
| 17 | Hexanoic acid | Caproic acid | 142-62-1 | 59.10 | 60 | 73, 87, 41 | ↑ (steady) | ↑ (steady) | ↑ (steady) | |
| Esters | 18 | Formic acid, ethyl ester | Ethyl formate | 109-94-4 | 17.51 | 74 | 45, 31, 43 | ↑ (log) | ↑ (log, steady) | ↑ (log) |
| 19 | Acetic acid, methyl ester | Methyl acetate | 79-20-9 | 18.19 | 43 | 74, 59 | ↑ (steady) | |||
| 20 | Acetic acid, ethyl ester | Ethyl Acetate | 141-78-6 | 29.47 | 43 | 70, 61, 45 | ↑ (log, steady) | ↑ (steady) | ↑ (log, steady) | |
| 21 | Acetic Acid, propyl ester | n-Propyl acetate | 109-60-4 | 42.09 | 61 | 73, 43, 27 | ↑ (steady) | |||
| 22 | Acetic acid, 2-methylpropyl ester | Isobutyl acetate | 110-19-0 | 50.85 | 73 | 56, 43, 86 | ↑ (steady) | ↑ (steady) | ||
| 23 | Acetic acid, butyl ester | n-Butyl acetate | 123-86-4 | 53.09 | 43 | 56, 73, 61 | ↑ (steady) | |||
| 24 | Ethyl, 2-methylbutyrate | 7452-79-1 | 57.63 | 57 | 102, 85, 74 | ↑ (steady) | ↑ (steady) | ↑ (log, steady) | ||
| 25 | Ethyl, 3-methylbutyrate | Ethyl isovalerate | 108-64-5 | 58.20 | 88 | 85, 60, 57 | ↑ (steady) | ↑ (steady) | ↑ (steady) | |
| 26 | 1-Butanol, 3-methyl-, acetate | Isoamyl acetate | 123-92-2 | 59.33 | 70 | 61, 55 | ↑ (log, steady) | ↑ (steady) | ↑ (log, steady) | |
| Ketones | 27 | Propanone | Acetone | 67-64-1 | 15.08 | 43 | 58, 57, 44 | ↓ (steady) | ↑ (log) | |
| 28 | 2-Pentanone | Methyl propyl ketone | 107-87-9 | 39.89 | 86 | 43, 57, 71 | ↑ (log, steady) | ↑ (log) | ↑ (log, steady) | |
| 29 | 4-heptanone | Dipropyl ketone | 123-19-3 | 58.60 | 114 | 71, 43, 41 | ↑ (log) | ↑ (log) | ||
| 30 | 2-Heptanone | Amyl methyl ketone | 110-43-0 | 59.87 | 58 | 43, 71, 114 | ↑ (log, steady) | ↑ (log, steady) | ||
| 31 | 3-Octanone | Amyl ethyl ketone | 106-68-3 | 67.09 | 99 | 128, 72, 57 | ↑ (log, steady) | ↑ (steady) | ||
| 32 | 2-Nonanone | Heptyl methyl ketone | 821-55-6 | 72.08 | 58 | 43, 71, 142 | ↑ (log, steady) | ↑ (log, steady) | ||
| VSCs | 33 | Carbon disulfide | CS2 | 75-15-0 | 15.79 | 76 | 44, 78, 38 | ↓ (log) | ↓ (steady) | ↓ (log) |
| 34 | Disulfide, dimethyl | DMDS | 624-92-0 | 42.02 | 94 | 43, 79, 61 | ↓ (steady) | ↓ (log, steady) | ||
| 35 | 2-Acetylthiazole | 24295-03-2 | 64.48 | 99 | 127, 112, 58 | ↓ (log, steady) | ↓ (steady) | |||
| VOCs identified with Mass Spectra Library Match (not confirmed with standards) | ||||||||||
| Alcohols | 36 | 2-Butanol | sec-Butanol | 78-92-2 | 31.31 | 45 | 59, 41 | ↑ (log, steady) | ↑ (log, steady) | |
| 37 | 1-Butanol, 2-methyl- | sec-butylcarbinol | 137-32-6 | 46.97 | 57 | 56, 29, 41 | ↑ (log, steady) | ↑ (log, steady) | ||
| Aldehydes | 38 | Pentanal | Valeraldehyde | 110-62-3 | 40.13 | 44 | 58, 86, 41 | ↓ (steady) | ↓ (steady) | |
| 39 | 2-Butenal, 2-methyl- | 2-Methylcrotonaldehyde | 1115-11-3 | 43.27 | 84 | 55, 39, 41 | ↓ (log, steady) | ↓ (steady) | ↓ (log, steady) | |
| 40 | 2-Furaldehyde | Furfural | 98-01-1 | 49.39 | 96 | 95, 67, 39 | ↓ (steady) | ↓ (steady) | ↓ (steady) | |
| 41 | Hexanal | Caproaldehyde | 66-25-1 | 52.23 | 56 | 72, 82, 44 | ↓ (log, steady) | |||
| Acid | 42 | Propionic acid, 2-methyl- | isobutyric acid | 79-31-2 | 52.75 | 43 | 73, 41, 27 | ↑ (log) | ↑ (steady) | ↑ (steady) |
| Esters | 43 | Formic acid, butyl ester | n-Butyl formate | 592-84-7 | 35.10 | 56 | 31, 41, 73 | ↑ (steady) | ||
| 44 | Butanoic acid, ethyl ester | Ethyl n-butyrate | 105-54-4 | 52.23 | 71 | 88, 43, 60 | ↑ (log) | ↑ (steady) | ↑ (log) | |
| 45 | Pentanoic acid, 3-methylbutyl ester | Isoamyl valerate | 2050-09-1 | 73.41 | 85 | 70, 55, 43 | ↑ (steady) | ↑ (steady) | ↑ (steady) | |
| Ketones | 46 | 2-Butanone | Ethyl methyl ketone | 78-93-3 | 27.66 | 72 | 43, 57, 42 | ↑ (log) | ↑ (log) | ↑ (log) |
| 47 | 2,3-Pentanedione | Acetylpropionyl | 600-14-6 | 41.10 | 29 | 43, 57, 100 | ↓ (log, steady) | ↑ (log)↓ (steady) | ↓ (log, steady) | |
| 48 | 2-Butanone, 3-hydroxy | Acetoin | 513-86-0 | 43.12 | 45 | 43, 88 | ↑ (steady) | |||
| 49 | 2-Pentanone, 4-methyl- | Isobutyl methyl ketone | 108-40-1 | 48.45 | 43 | 58, 85, 100 | ↑ (log) | |||
| 50 | 3-Hexanone, 2-methyl- | Isopropyl propyl ketone | 7379-12-6 | 58.8 | 71 | 114, 43, 41 | ↑ (log) | ↑ (log) | ||
| Hyrocarbons | 51 | Propane, 2-methyl- | Isobutane | 75-28-5 | 9.91 | 43 | 41, 27, 57 | ↑ (log, steady) | ↑ (log, steady) | |
| 52 | 1-Propene, 2-methyl- | Isobutene | 115-11-7 | 10.36 | 41 | 56, 39, 27 | ↓ (log) | |||
| 53 | 1-Butene | 106-98-9 | 11.39 | 41 | 56, 39, 27 | ↓ (log)↑ (steady) | ↓ (log)↑ (steady) | |||
| 54 | 2-Pentene | 2-Pentene | 109-68-2 | 19.63 | 55 | 70, 53, 56 | ↑ (steady) | |||
| 55 | 2-Butene, 2-methyl- | Amylene | 513-35-9 | 21.64 | 55 | 70, 41, 39 | ↑ (steady) | |||
| 56 | 1-Pentene, 3-methyl- | 3-methyl-1-pentene | 760-20-3 | 43.63 | 55 | 69, 84, 41 | ↑ (log) | |||
| VSCs | 57 | Sulfur dioxide | Sulfur dioxide | 2025884 | 7.90 | 64 | 48 | ↑ (steady) | ||
| 58 | Methanethiol | Mercaptomethane | 74-93-1 | 8.87 | 47 | 48, 45 | ↓ (steady) | |||
| 59 | 1-Mercapto-2-propanone | Mercaptoacetone | 24653-75-6 | 36.12 | 90 | 43, 45, 47 | ↑ (steady) | ↓ (log)↑ (steady) | ↑ (steady) | |
| VNCs | 60 | Methyl cyanide | Acetonitrile | 75-05-8 | 12.45 | 41 | 40, 39, 38 | ↓ (log) | ↓ (steady) | ↓ (log) |
| 61 | Propanenitrile, 2-methyl- | Isobutyronitrile | 78-82-0 | 30.53 | 42 | 68, 54, 41 | ↑ (log) | |||
| 62 | Butanenitrile, 3-methyl | Isoamylnitrile | 625-28-5 | 44.52 | 43 | 41, 68, 27 | ↓ (steady) | ↓ (steady) | ↓ (steady) | |
| 63 | Acetamide, N,N-dimethyl | DMA | 127-19-5 | 53.78 | 87 | 72, 44, 43 | ↑ (log) | ↑ (steady) | ↑ (log) | |
| 64 | Pyrazine, 2,6-dimethyl- | 108-50-9 | 57.61 | 42 | 108, 40, 67 | ↑ (log, steady) | ||||
| Others | 65 | Furan | Furan | 110-00-9 | 14.20 | 68 | 39, 38, 40 | ↓ (log) | ↓ (steady) | ↓ (log) |
| 66 | Propane, 2-methoxy-2-methyl- | tert-Butyl methyl ether | 1634-04-4 | 28.97 | 73 | 57, 41, 29 | ↑ (log) | ↑ (log) | ||
| 67 | Toluene | 108-88-3 | 47.44 | 91 | 92, 65, 39 | ↓ (steady) | ||||
| 68 | Oxazole, 2,4,5-trimethyl | Trimethyloxazole | 20662-84-4 | 53.50 | 111 | 68, 55, 82 | ↓ (steady) | ↑ (log) | ↓ (steady) | |
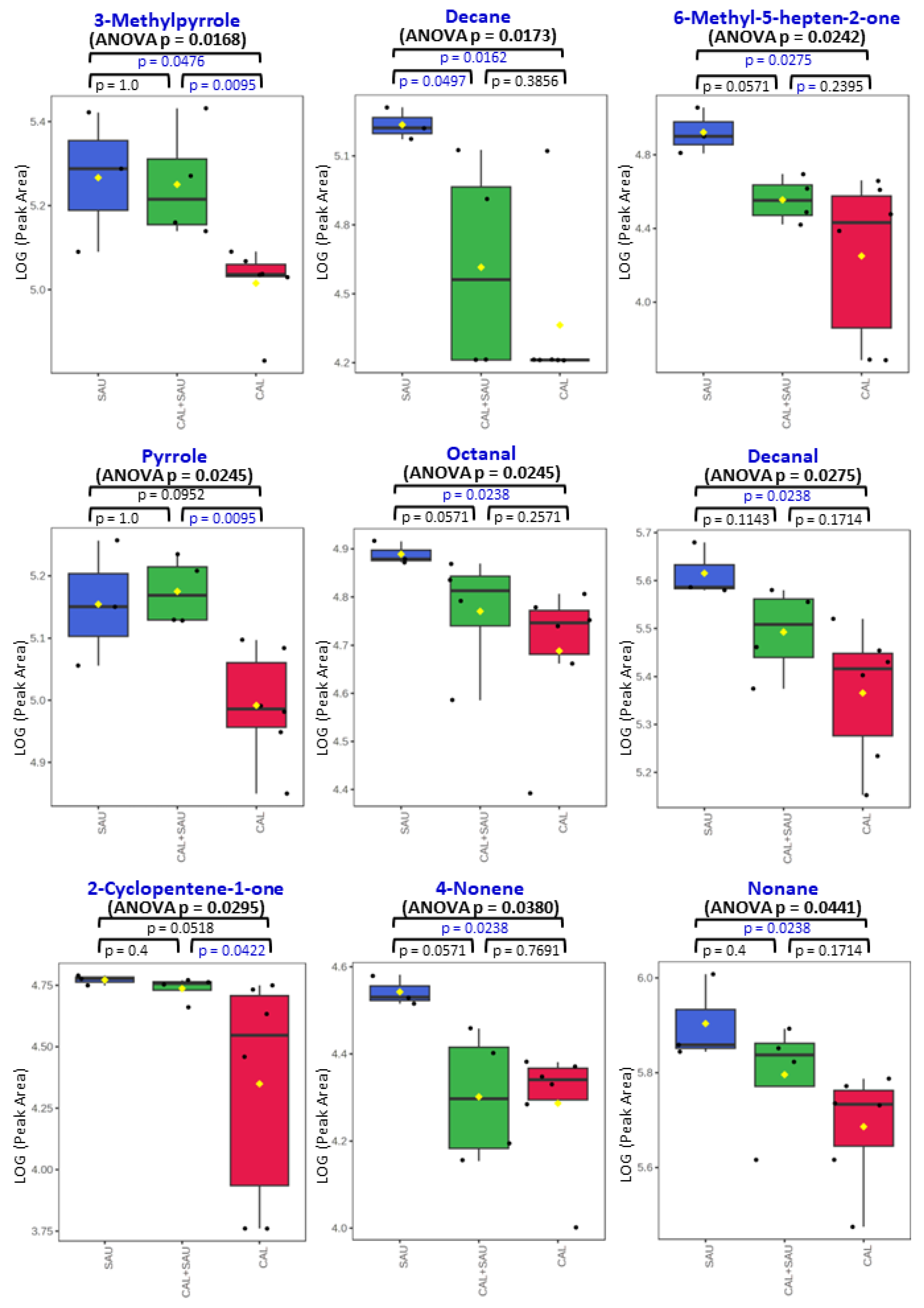
| Compound Name | CAS | tR [min] | Target Ion [m/z] | Reference Ion [m/z] | mean PA (MIX) | mean PA (SAU) | mean PA (CAL) | p-value (ANOVA) | p-Value (SAU-CAL) | p-Value (SAU-MIX) | p-Value (CAL-MIX) |
|---|---|---|---|---|---|---|---|---|---|---|---|
| 3-Methylpyrrole | 616-43-4 | 54.360 | 80 | 44, 43, 42 | 1,85E+05 | 1,94E+05 | 1,05E+05 | 0.016774 | 0.047619 | 1 | 0.0095238 |
| n-Decane | 124-18-5 | 71.400 | 57 | 43, 71, 142 | 5,38E+04 | 1,73E+05 | 2,21E+04 | 0.017276 | 0.01621 | 0.049746 | 0.35857 |
| 6-Methyl-5-hepten-2-one | 110-93-0 | 69.140 | 108 | 69, 55, 93 | 3,70E+04 | 8,59E+04 | 2,35E+04 | 0.024258 | 0.027532 | 0.057143 | 0.23953 |
| Octanal | 124-13-0 | 70.320 | 84 | 69, 56, 100 | 6,07E+04 | 7,75E+04 | 5,10E+04 | 0.024507 | 0.02381 | 0.057143 | 0.25714 |
| Pyrrole | 109-97-7 | 44.650 | 67 | 39, 41, 40 | 1,50E+05 | 1,45E+05 | 9,99E+04 | 0.024507 | 0.095238 | 1 | 0.0095238 |
| Decanal | 112-31-2 | 76.010 | 57 | 43, 55, 82 | 3,16E+05 | 4,15E+05 | 2,42E+05 | 0.027504 | 0.02381 | 0.11429 | 0.17143 |
| 2-Cyclopentene-1-one | 930-30-3 | 53.085 | 82 | 39, 53, 54 | 5,48E+04 | 5,92E+04 | 3,03E+04 | 0.029498 | 0.051822 | 0.4 | 0.042197 |
| * 4-Nonene | 10405-85-3 | 66.105 | 126 | 69, 56, 41 | 2,09E+04 | 3,49E+04 | 2,01E+04 | 0.038036 | 0.02381 | 0.057143 | 0.7619 |
| n-Nonane | 111-84-2 | 66.600 | 57 | 43, 85, 99 | 6,43E+05 | 8,13E+05 | 5,00E+05 | 0.044118 | 0.02381 | 0.4 | 0.17143 |
| 2,3-Butanedione | 431-03-8 | 31.663 | 86 | 43, 42, 41 | 1,44E+06 | 1,24E+05 | 4,86E+04 | 0.050754 | 0.095238 | 0.85714 | 0.038095 |
| 2-Ethyl-1-Hexanol | 104-76-7 | 71.325 | 57 | 70, 83, 41 | 2,36E+06 | 1,20E+06 | 4,58E+06 | 0.067353 | 0.095238 | 0.22857 | 0.11429 |
| * Diethyl Ether | 60-29-7 | 24.505 | 74 | 45, 59, 41 | 5,61E+03 | 0,00E+00 | 4,63E+03 | 0.068751 | 0.025601 | 0.11867 | 0.91429 |
| Carbon Disulfide | 75-15-0 | 20.163 | 76 | 44, 78, 38 | 1,95E+05 | 2,19E+05 | 1,25E+05 | 0.073341 | 0.095238 | 1 | 0.066667 |
| 3-MethylButanal | 590-86-3 | 42.417 | 58 | 71, 41, 86 | 4,82E+06 | 4,98E+05 | 1,23E+05 | 0.080522 | 0.02381 | 0.4 | 0.47619 |
| n-Octane | 111-65-9 | 59.243 | 85 | 114, 43, 57 | 2,56E+05 | 3,24E+05 | 2,28E+05 | 0.11477 | 0.095238 | 0.11429 | 0.60952 |
| 3-Heptanone | 106-35-4 | 62.400 | 57 | 85, 72, 114 | 1,37E+05 | 5,25E+04 | 7,91E+05 | 0.11894 | 0.047619 | 0.4 | 0.47619 |
| 2-Butanone | 78-93-3 | 31.539 | 72 | 43, 57, 42 | 2,79E+05 | 4,46E+05 | 2,41E+06 | 0.11927 | 0.54762 | 0.62857 | 0.038095 |
| Acetic Acid | 64-19-7 | 36.000 | 60 | 45, 43, 42 | 4,66E+06 | 2,57E+05 | 2,69E+05 | 0.13148 | 1 | 0.22857 | 0.066667 |
| Cyclohexanone | 108-94-1 | 60.235 | 98 | 69, 42, 83 | 1,51E+06 | 6,74E+05 | 1,77E+06 | 0.13608 | 0.047619 | 0.4 | 0.60952 |
| 2-Propanol | 67-63-0 | 22.209 | 45 | 43, 41, 59 | 1,42E+07 | 1,40E+08 | 8,60E+07 | 0.13834 | 0.54762 | 0.11429 | 0.17143 |
| Acrolein | 107-02-8 | 17.158 | 56 | 55, 53, 37 | 4,63E+04 | 7,46E+04 | 5,83E+04 | 0.14818 | 0.54762 | 0.057143 | 0.35238 |
| Nonanal | 124-19-6 | 73.300 | 98 | 70, 43, 56 | 1,19E+05 | 1,66E+05 | 1,06E+05 | 0.15147 | 0.095238 | 0.22857 | 0.60952 |
| * 2-Methyl-2-butanol | 75-85-4 | 43.365 | 73 | 59, 55, 43 | 1,72E+05 | 3,00E+05 | 7,65E+05 | 0.16668 | 0.2619 | 0.85445 | 0.10874 |
| * 2,5-Dimethyl Pyrazine | 123-32-0 | 61.766 | 108 | 42, 81, 39 | 5,06E+04 | 2,49E+05 | 5,10E+04 | 0.1714 | 0.16667 | 0.11429 | 0.91429 |
| * Tetrahydrofuran | 109-99-9 | 30.900 | 71 | 72, 42, 41 | 3,67E+04 | 2,00E+04 | 5,16E+04 | 0.17282 | 0.095238 | 0.62857 | 0.35238 |
| * 1-Octene | 111-66-0 | 58.528 | 55 | 70, 41, 83 | 2,76E+05 | 3,66E+05 | 2,45E+05 | 0.17282 | 0.16667 | 0.11429 | 0.7619 |
| Furfural | 98-01-1 | 53.615 | 96 | 95, 67, 39 | 7,93E+04 | 9,43E+04 | 6,31E+04 | 0.17282 | 0.16667 | 0.4 | 0.25714 |
| Ethyl Acetate | 141-78-6 | 33.382 | 43 | 70, 61, 45 | 8,35E+04 | 1,10E+06 | 5,10E+05 | 0.17377 | 0.71429 | 0.057143 | 0.35238 |
| Pyridine | 110-86-1 | 46.200 | 79 | 52, 51, 50 | 9,96E+04 | 1,25E+05 | 3,18E+05 | 0.17764 | 0.2619 | 0.85714 | 0.11429 |
| 1-Propanol | 71-23-8 | 26.439 | 59 | 42, 60, 41 | 0,00E+00 | 1,26E+06 | 1,22E+07 | 0.20664 | 1 | 0.12274 | 0.1491 |
| Hexanal | 66-25-1 | 55.700 | 56 | 72, 82, 44 | 1,73E+05 | 1,73E+05 | 1,03E+05 | 0.22684 | 0.2619 | 0.85714 | 0.17143 |
| * 3-Penten-2-one | 3102-33-8 | 48.521 | 69 | 84, 55, 41 | 3,34E+03 | 1,77E+04 | 4,96E+04 | 0.22984 | 0.89553 | 0.24189 | 0.13933 |
| Acetaldehyde | 75-07-0 | 9.644 | 43 | 44, 42, 41 | 1,20E+06 | 1,42E+06 | 1,05E+06 | 0.23509 | 0.16667 | 0.4 | 0.47619 |
| * Phenol | 108-95-2 | 67.000 | 94 | 66, 65, 39 | 5,05E+05 | 3,71E+05 | 5,85E+05 | 0.23638 | 0.16667 | 0.22857 | 0.91429 |
| n-Undecane | 1120-21-4 | 73.800 | 57 | 43, 71, 85 | 3,60E+05 | 5,11E+05 | 3,49E+05 | 0.23638 | 0.2619 | 0.11429 | 1 |
| * 2-Heptene | 14686-13-6 | 49.945 | 69 | 98, 56, 41 | 3,29E+04 | 4,55E+04 | 5,41E+04 | 0.25555 | 0.71429 | 0.85714 | 0.087118 |
| * Methanethiol | 74-93-1 | 10.900 | 47 | 48, 45, 46 | 3,04E+05 | 2,60E+05 | 2,18E+05 | 0.27494 | 0.38095 | 0.85714 | 0.17143 |
| Methyl Methacrylate | 4655-34-9 | 45.175 | 69 | 100, 41, 39 | 1,31E+04 | 6,75E+03 | 1,79E+04 | 0.28948 | 0.89685 | 0.057143 | 0.45417 |
| * Propene | 115-07-1 | 7.250 | 41 | 39, 42, 44 | 2,77E+05 | 4,90E+05 | 3,92E+05 | 0.29287 | 0.54762 | 0.22857 | 0.35238 |
| Benzaldehyde | 100-52-7 | 65.584 | 106 | 105, 77, 51 | 3,57E+05 | 3,48E+05 | 2,62E+05 | 0.31369 | 0.16667 | 0.4 | 0.91429 |
| Acetone | 67-64-1 | 18.266 | 58 | 57, 44, 117 | 8,32E+06 | 2,18E+07 | 8,78E+06 | 0.31369 | 0.2619 | 0.22857 | 1 |
| Butyrolactone | 96-48-0 | 58.200 | 86 | 42, 56, 41 | 1,39E+04 | 2,60E+04 | 2,38E+04 | 0.32869 | 0.54762 | 0.4 | 0.25714 |
| 2-Methylfuran | 534-22-5 | 30.700 | 82 | 53, 81, 39 | 8,32E+04 | 5,96E+04 | 5,76E+04 | 0.35693 | 0.38095 | 0.85714 | 0.25714 |
| 2-Butenal | 4170-30-3 | 35.863 | 70 | 41, 39, 69 | 2,80E+04 | 4,68E+04 | 3,29E+04 | 0.3717 | 0.38095 | 0.22857 | 0.83066 |
| Butanal | 123-72-8 | 31.105 | 57 | 72, 44, 39 | 3,47E+04 | 2,89E+04 | 3,45E+04 | 0.37399 | 0.54762 | 0.62857 | 0.25714 |
| * 1-Methoxy-2-propanol | 107-98-2 | 43.910 | 45 | 75, 47, 57 | 1,11E+06 | 3,78E+05 | 0,00E+00 | 0.39161 | 0.23859 | 1 | 0.30743 |
| Pentanal | 110-62-3 | 45.598 | 44 | 58, 41, 57 | 6,08E+04 | 7,82E+04 | 4,56E+04 | 0.40058 | 0.2619 | 0.85714 | 0.47619 |
| n-Heptane | 142-82-5 | 50.100 | 71 | 57, 43, 100 | 9,93E+04 | 1,75E+05 | 1,46E+05 | 0.42671 | 0.71429 | 0.4 | 0.35238 |
| * 2-Propenenitrile | 107-13-1 | 21.062 | 53 | 52, 51, 50 | 2,53E+04 | 3,52E+04 | 3,11E+04 | 0.4533 | 0.90476 | 0.4 | 0.35238 |
| 2-(n)-PentylFuran | 3777-69-3 | 69.325 | 81 | 82, 53, 138 | 1,34E+05 | 1,34E+05 | 1,07E+05 | 0.45831 | 0.2619 | 0.85714 | 0.60952 |
| * N,N-Dimethyl-formamide | 68-12-2 | 48.577 | 73 | 44, 58 | 1,80E+05 | 6,15E+05 | 1,13E+06 | 0.46937 | 0.69364 | 0.47553 | 0.33142 |
| Furan | 110-00-9 | 17.916 | 68 | 39, 38, 40 | 3,82E+04 | 3,65E+04 | 2,88E+04 | 0.51719 | 0.38095 | 1 | 0.47619 |
| * iso-Butane | 75-28-5 | 12.000 | 43 | 41, 42, 39 | 1,78E+05 | 4,96E+04 | 3,92E+04 | 0.55244 | 0.54762 | 0.4 | 0.60952 |
| p-Xylene | 106-42-3 | 60.939 | 91 | 106, 105, 77 | 3,51E+05 | 8,26E+05 | 4,19E+05 | 0.57727 | 0.54762 | 0.4 | 0.91429 |
| 2-Methylpropanal | 78-84-2 | 28.588 | 72 | 41, 43, 39 | 8,41E+05 | 1,12E+05 | 6,02E+04 | 0.58204 | 0.38095 | 0.62857 | 0.91429 |
| 3-Methyl-1-Butanol | 123-51-3 | 50.395 | 55 | 70, 42, 41 | 7,55E+06 | 0,00E+00 | 1,18E+06 | 0.58778 | 0.37676 | 0.5637 | 1 |
| Isoprene | 78-79-5 | 24.927 | 67 | 68, 53, 39 | 1,09E+05 | 1,96E+05 | 1,11E+05 | 0.59498 | 0.38095 | 0.62857 | 0.91429 |
| * 1,3-Butadiene | 106-99-0 | 12.987 | 54 | 39, 53, 50 | 3,43E+04 | 4,19E+04 | 3,23E+04 | 0.59661 | 0.54762 | 0.4 | 0.91429 |
| * 2-Methyl-1,3-dioxolane | 497-26-7 | 35.455 | 73 | 58, 45, 87 | 3,29E+04 | 3,33E+04 | 3,93E+04 | 0.60653 | 0.54762 | 1 | 0.47619 |
| * 1-Butene | 106-98-9 | 13.659 | 56 | 55, 53, 50 | 2,33E+04 | 1,63E+04 | 1,37E+04 | 0.61831 | 0.38095 | 0.85714 | 0.7619 |
| 1-Heptene | 592-76-7 | 49.100 | 69 | 98, 70, 56 | 1,10E+05 | 8,79E+04 | 1,18E+05 | 0.61831 | 0.38095 | 0.85714 | 0.7619 |
| * Trichloromethane | 67-66-3 | 31.000 | 83 | 85, 47 | 4,80E+05 | 9,13E+04 | 5,50E+04 | 0.64079 | 1 | 0.85714 | 0.35238 |
| Propanal | 123-38-6 | 18.263 | 57 | 55, 39, 37 | 1,19E+05 | 2,72E+05 | 1,95E+05 | 0.66227 | 0.38095 | 0.85714 | 0.91429 |
| Benzene | 71-43-2 | 38.137 | 78 | 77, 51, 52 | 4,85E+05 | 5,44E+05 | 5,08E+05 | 0.66227 | 0.71429 | 0.4 | 0.91429 |
| (E)-2-Methyl-2-Butenal | 1115-11-3 | 47.964 | 84 | 55, 39, 41 | 6,55E+04 | 2,63E+04 | 9,62E+03 | 0.67383 | 0.51148 | 1 | 0.58949 |
| (E)-1,3-Pentadiene | 2004-70-8 | 27.082 | 67 | 68, 53, 39 | 2,63E+04 | 3,11E+04 | 2,48E+04 | 0.69013 | 0.54762 | 1 | 0.60952 |
| * (E)-2-Butene | 624-64-6 | 13.659 | 56 | 55, 53, 50 | 2,88E+04 | 2,19E+04 | 1,85E+04 | 0.69013 | 0.54762 | 0.62857 | 0.91429 |
| * n-Butane | 106-97-8 | 13.378 | 58 | 39, 57 | 1,32E+04 | 1,14E+04 | 1,08E+04 | 0.73716 | 0.90476 | 0.62857 | 0.60952 |
| * N-Methylpyrrole | 96-54-8 | 45.960 | 81 | 80, 39, 53 | 2,76E+04 | 2,54E+04 | 2,29E+04 | 0.76397 | 0.71429 | 0.85714 | 0.60952 |
| 1-Hexene | 592-41-6 | 36.000 | 41 | 84, 69, 56 | 1,31E+05 | 1,42E+05 | 1,34E+05 | 0.77453 | 0.71429 | 0.62857 | 0.91429 |
| * 1,2-Propanediol | 57-55-6 | 47.175 | 45 | 43, 61, 57 | 1,30E+07 | 1,48E+08 | 4,54E+07 | 0.78076 | 0.59588 | 0.8255 | 1 |
| Ethylbenzene | 100-41-4 | 60.000 | 91 | 106, 65, 77 | 3,90E+05 | 4,37E+05 | 3,98E+05 | 0.79174 | 0.71429 | 0.62857 | 0.91429 |
| 2-Pentanon | 107-87-9 | 44.911 | 43 | 86, 71, 58 | 1,55E+05 | 4,72E+05 | 1,48E+05 | 0.79174 | 0.71429 | 0.62857 | 0.91429 |
| (Z)-2-Pentene | 627-20-3 | 25.271 | 55 | 70, 71, 56 | 2,35E+04 | 2,31E+04 | 3,96E+04 | 0.79174 | 0.90476 | 0.4 | 0.7619 |
| Acetophenone | 98-86-2 | 71.213 | 105 | 77, 120, 51 | 4,52E+05 | 5,19E+05 | 6,43E+05 | 0.80998 | 0.79542 | 1 | 0.60952 |
| Ethanol | 64-17-5 | 14.000 | 45 | 46, 43 | 1,10E+07 | 5,69E+05 | 3,59E+07 | 0.82053 | 1 | 0.62857 | 0.7619 |
| Acetonitrile | 75-05-8 | 14.852 | 41 | 40, 39, 38 | 4,95E+05 | 5,01E+05 | 6,66E+05 | 0.82505 | 1 | 0.85714 | 0.60952 |
| Methacrolein | 78-85-3 | 28.261 | 70 | 41, 39, 42 | 6,86E+04 | 5,54E+04 | 5,92E+04 | 0.84107 | 1 | 0.4 | 1 |
| 2-Ethylacrolein | 922-63-4 | 41.552 | 55 | 84, 56, 39 | 6,40E+04 | 2,98E+04 | 3,16E+04 | 0.90335 | 0.90476 | 0.85714 | 0.7619 |
| n-Dodecane | 112-40-3 | 76.800 | 57 | 71, 43, 85 | 2,34E+05 | 2,04E+05 | 2,04E+05 | 0.91082 | 0.90476 | 1 | 0.7619 |
| n-Hexane | 110-54-3 | 37.800 | 86 | 57, 43, 41 | 9,79E+03 | 1,33E+04 | 9,36E+03 | 0.91082 | 0.90476 | 1 | 0.7619 |
| n-Pentane | 109-66-0 | 25.545 | 72 | 57, 43, 41 | 1,17E+04 | 1,07E+04 | 9,37E+03 | 0.92517 | 1 | 0.62857 | 1 |
| (E)-2-Pentene | 646-04-8 | 25.680 | 55 | 70, 53, 56 | 1,02E+05 | 1,14E+05 | 1,13E+05 | 0.92596 | 0.90476 | 0.85714 | 0.91429 |
| 1-Dodecene | 112-41-4 | 76.440 | 55 | 69, 83, 97 | 6,21E+04 | 4,61E+04 | 6,73E+04 | 0.93261 | 0.89274 | 0.85445 | 0.91406 |
| Heptanal | 111-71-7 | 63.800 | 81 | 70, 43, 55 | 2,40E+04 | 2,24E+04 | 2,20E+04 | 0.93619 | 0.71429 | 1 | 1 |
| * 2-Methyl-1-propene | 115-11-7 | 12.629 | 56 | 41, 39, 55 | 3,55E+05 | 2,94E+05 | 3,01E+05 | 0.93619 | 0.90476 | 0.85714 | 0.91429 |
| Dimethyl Disulfide | 624-92-0 | 47.136 | 94 | 43, 79, 61 | 7,54E+03 | 6,61E+03 | 6,14E+03 | 0.93816 | 0.89274 | 0.84536 | 1 |
| 4-Heptanone | 123-19-3 | 62.200 | 71 | 43, 114, 41 | 3,16E+04 | 3,34E+03 | 3,79E+04 | 0.94038 | 0.87809 | 1 | 0.89565 |
| 2-Methylpyrazine | 109-08-0 | 54.046 | 94 | 67, 53, 40 | 2,46E+04 | 1,83E+04 | 2,35E+04 | 0.94654 | 1 | 1 | 0.7619 |
| 3-Methyl-1-Butene | 563-45-1 | 24.148 | 55 | 70, 41, 42 | 2,01E+05 | 2,14E+05 | 2,43E+05 | 0.94654 | 0.90476 | 0.85714 | 0.91429 |
| * Isobutyronitrile | 78-82-0 | 34.940 | 68 | 42, 54, 52 | 4,14E+04 | 3,94E+04 | 4,23E+04 | 0.95175 | 1 | 0.85714 | 0.91429 |
| * (Z)-2-Butene | 590-18-1 | 12.766 | 41 | 56, 39, 55 | 2,01E+05 | 1,94E+05 | 1,68E+05 | 0.95175 | 0.90476 | 0.62857 | 1 |
| 2-Heptanone | 110-43-0 | 63.000 | 58 | 43, 71, 114 | 6,20E+04 | 5,34E+04 | 6,61E+04 | 0.95963 | 0.90476 | 1 | 0.91429 |
| Toluene | 108-88-3 | 51.942 | 91 | 92, 65, 39 | 1,18E+06 | 1,20E+06 | 1,06E+06 | 1 | 0.90476 | 0.85714 | 0.91429 |
| D-Limoinene | 5989-27-5 | 71.250 | 68 | 93, 67, 136 | 1,07E+05 | 5,58E+05 | 1,87E+05 | 1 | 1 | 1 | 1 |
Disclaimer/Publisher’s Note: The statements, opinions and data contained in all publications are solely those of the individual author(s) and contributor(s) and not of MDPI and/or the editor(s). MDPI and/or the editor(s) disclaim responsibility for any injury to people or property resulting from any ideas, methods, instructions or products referred to in the content. |
© 2024 by the authors. Licensee MDPI, Basel, Switzerland. This article is an open access article distributed under the terms and conditions of the Creative Commons Attribution (CC BY) license (http://creativecommons.org/licenses/by/4.0/).