Preprint
Article

This version is not peer-reviewed.

Effect of Tacticity on London Dispersive Surface Energy, Polar Free Energy, and Lewis Acid-Base Surface Energies of Poly Methyl Methacrylate by Inverse Gas Chromatography

A peer-reviewed article of this preprint also exists.

Submitted:

11 April 2024

Posted:

14 April 2024

You are already at the latest version

Abstract
This research was devoted to study the effect of the tacticity of PMMA on the surface physicochemical properties such as the London dispersive component of the surface energy of the polymer, the polar and dispersive free energies, the Lewis’s acid-base surface parameters, and the Lewis acid and base surface energies of atactic, isotactic and syndiotactic PMMAs as a function of the temperature. Inverse gas chromatography (IGC) at infinite dilution was used to determine the surface thermodynamic properties of PMMA at different tacticities. The experimental values of the net retention time and volume of model organic molecules adsorbed on the atactic, isotactic and syndiotactic PMMAs, were obtained by IGC technique at infinite dilution. The London dispersion interaction energy was used for the separation of the polar and dispersive energy of the different n-alkanes and polar solvents adsorbed on the different PMMA surfaces. The London dispersive surface energy γ_s^d (T) of PMMAs was determined by applying the Hamieh thermal model that took into account the effect of the temperature on the surface area of adsorbed molecules. The obtained results showed non-linear variations of γ_s^d (T) of atactic, isotactic, and syndiotactic PMMAs with three maxima characterizing the three transition temperatures of PMMAs, T_g, T_g and T_(liq-liq) with a shift of these temperatures with the isotactic and syndiotactic PMMAs. It was showed that the polar interaction free energy ∆G_a^p (T) also showed the presence of the three above transition temperatures of the polymers. The study showed an important non-linearity variation of the different acid-base parameters in the various polymer surfaces proving the highest effect of the temperature and the tacticity on these parameters. The determination of the enthalpic and entropic Lewis’s acid-base parameters showed an amphoteric character for the different PMMAs. The basicity of the atactic PMMA was about four times larger than its acidity outside the neighborhood of the transition temperatures of the polymer. Whereas, the isotactic PMMA was about 2 to 2.5 times more basic than acid, while the syndiotactic PMMA exhibited the highest basicity by showing a surface 5 to 8 times more basic than acid. However, the Lewis acid-base parameters strongly depended on the temperature and sudden variations of these surface parameters were observed around the transition temperatures largely depending on the PMMA tacticity. The determination of the polar acid and base surface energies of the three PMMAs led to the same previous transition temperatures with an important effect of the tacticity of PMMA on the values of these acid-base surface energies.
Keywords: 
;  ;  ;  ;  ;  

1. Introduction

The tacticity of polymers plays an important role in many industrial processes. Indeed, polymer crystallinity and many macroscopic properties such as the density, glass and melting temperatures, clarity, and stiffness of a polymer depend on it. Furthermore, the determination of polymer tacticity is of crucial interest in the knowledge of polymerization mechanism [1]. The stereochemistry in polymers has been used to influence and control their physical and mechanical properties, as well as begin to control their function. Several studies were devoted to the effect of stereochemistry on mechanical properties, biodegradation, conductivity and in applications of stereodefined polymers for enantioseparation and as supports for catalysts in asymmetric transformations [2].
A tactic polymer is defined as ‘a regular polymer, the molecules of which can be described in terms of only one species of configurational repeating unit in a single sequential arrangement [3]. Tacticity then refers to the relative spatial arrangement of substituents along a polymer chain. At that time, three main types of tacticities were distinguished: isotactic, syndiotactic and atactic [1].
It is well-known that the atactic polymers have their pendant groups organized randomly around the principal linear chain of the polymers. They lead to form amorphous and soft materials. Whereas, the syndiotactic polymers are characterized by their pendant groups organized in alternating ways around the principal chain by forming crystal structures. The Tacticity of polymers affects the physical and chemical properties of polymeric materials [4,5,6,7,8,9,10,11,12]. The isotactic polymers are characterized by pendant groups spatially located on the same side of the principal chain. The crystallinity of polymers strongly depends on their tacticity. In general, the syndiotactic polymers form the most rigid, crystalline structures, while, isotactic polymers exhibit semi-crystalline structure and an amorphous form for atactic polymers. This affects the thermos-mechanic properties of polymers. For example, the highest melting points are obtained with the syndiotactic polymers.
Izzo et al. [4] investigated the effect of polymer tacticity on physico-chemical and biological properties relevant to the use of polymer therapeutics using poly(methacrylic acid) (PMA) as a model polymer. They studied the physicochemical behavior in aqueous solution of atactic and syndiotactic PMAs obtained from hydrolysis of PMMAs.
Grigoriadi et al. [5] studied the effect of tacticity on the ageing kinetics of glassy amorphous polymers at high and low ageing temperatures for atactic, isotactic, and syndiotactic polystyrene using flash-DSC in their glassy state.
The spatial configuration of polymers can be modified by the various parameters of their physicochemical properties. Chat et al. [6] used the dielectric spectroscopy (DS) to study the effect of the tacticity on the glass-transition dynamics of confined polymer films [7].
Several studies were interested in the determination of the tacticity effect on the properties of polymers [11,12,13,14,15,16,17,18,19,20,21,22,23,24,25,26]. The polymer tacticity gives information on the arrangement of atoms and/or groups of atoms on the polymer backbone [6]. For poly(methyl methacrylate) (PMMA) and poly(ethyl methacrylates) (PEMA), it has been observed that different spatial configurations of the polymers are characterized by the various relaxation times and the glass-transition temperatures [16,17,18,27,28,29].
Hasan et al. [31] investigated the influence of tacticity of the structure formation of Poly(methacrylic acid) by defining an isotactic polymer as consisting only of meso diads (m), with two adjacent configurational repeating units with identical orientation, whereas a syndiotactic polymer is made up of only racemo diads (r), with two adjacent configurational repeating units with the opposite orientation, while an atactic polymer contains both m and r diads in a random sequence. With this definition, the tacticity can be further described even more precisely with the introduction of higher-order sequences than diads such, tetrads, and pentads [31].
Zhang et al. [32] considering that the tacticity of polymers is one of the governing microstructural parameters that determines their material properties, used the tacticity engineering to study the thermo-responsive, adhesion and electrical properties of homopolymers by tuning tacticity without compositional variance.
The physical properties of polymer like solubility, mechanical properties, thermal stability, etc. can be affected by the stereoregularity in polymer. Biswas et al. [33] investigated the effect of some physical properties of high molecular weight linear poly(N-isopropylacrylamide)s (PNIPAM) having different isotacticities (m, meso dyad = 47, 62, 68, 81, and 88 %). The effect of tacticity on the transition temperatures were studied by several scientists [33,34,35,36,37,38,39,40,41,42,43].
Nevertheless, we did not find any study in the literature concerning the influence of the tacticity on the surface properties of polymers such as their London dispersive energy, Lewis’s acid-base parameters and acid and base polar surface energies. This paper is interested in filling this gap in this research area by studying the effect of the tacticity of poly(methyl methacrylate) on the dispersive component of the surface energy of polymer, the polar and dispersive free energies as well as the various surface variables relative to Lewis’s acid-base surface properties.
The technique used in this study is the inverse gas chromatography at infinite dilution that was proved to be a very interesting technique capable to examine the surface properties of solid substrates and to quantify the various surface parameters of interaction between polymers and the adsorbed organic solvents by varying the temperature [44,45,46,47,48,49,50,51,52,53,54,55,56,57,58,59,60,61,62,63,64,65].
Different chromatographic methods and molecular models were used in the literature to characterize the physicochemical properties of solid surfaces [39,45,46,47,48,49,50]. We applied the new method recently developed that utilized the thermal model [51,53,58,59] to determine the London dispersive energy and used the London dispersion equation [56,57] based on the deformation polarizability α 0 X of the probe and the ionization energies of the solid ε S and the solvent ε X with a new chromatographic thermodynamic parameter P S X . By using the thermal model, we compared between the dispersive surface energy of atactic, isotactic and syndiotactic PMMA and by applying the parameter P S X , we determined the polar and dispersive free interaction energy of organic solvents adsorbed on the polymer surfaces, and the Lewis’s acid-base surface energy and parameters as a function of the temperature.

2. Methods and Materials

The inverse gas chromatography (IGC) at infinite dilution [44,45,46,47,48,49,50,51,52,53,54,55,56,57,58,59,60,61,62,63,64,65] was used to characterize the surface physicochemical properties of PMMA at different tacticities. IGC technique allowed obtaining the experimental values of the net retention time t n and volume V n of polar and non-polar adsorbed solvents on the different PMMAs as a function of the temperature. The free energy of adsorption G a 0 ( T ) of adsorbed molecules on PMMA surfaces was therefore obtained from Equation 1:
G a 0 = R T   l n V n ( T ) V 0 ( T )
Where T is the absolute temperature of the chromatographic column containing the solid material, R the perfect gas constant, and V 0 ( T ) a constant volume depending on the temperature and reference characteristics referred to the two-dimensional state of adsorbed film.
In the case of polar molecules adsorbed on the solid surfaces, two contributions of the free energy of adsorption G a 0 ( T ) were distinguished: the London dispersion component G a d and the polar or specific component G a p (Equation 2)
G a 0 = G a d + G a p
By using our new method recently developed [56,57] that consisted in the separation of the London dispersive and polar components of the free surface, it was possible to obtain the London dispersion energy G a d T :
G a d T = α 0 S     H 6 3 N 2 4 π ε 0 2 ε S   ε X ε S +   ε X α 0 X
Where and N is the Avogadro’s number, ε 0 the permittivity of vacuum, S denoting the solid particle and X the solvent molecule separated by a distance H , and ε S and ε X are the respective ionization energies of the solid and the solvent ε X .
The new method proposed to use the new parameter of interaction P S X given by
P S X = ε S   ε X ε S + ε X α 0 X
In the case of n-alkanes C n adsorbed on PMMA, one obtained:
R T l n V n C n = A 3 N 2 4 π ε 0 2 P S X C n B
Where A and B are given by:
A = α 0 S     H 6                   B = l n V 0 ( T )
The polar free energy G a p ( T ) of polar organic solvents adsorbed on PMMA was obtained from the experimental straight-line of n-alkanes (Equation 7] representing the variations of R T l n V n C n against 3 N 2 4 π ε 0 2 P S X C n for different temperatures:
G a p ( T ) = R T l n V n X A 3 N 2 4 π ε 0 2 P S X + B
The use of Equations 8 and 9 led to the determination of the polar enthalpy H a p ( T ) and entropy S a p ( T ) of organic solvents adsorbed on PMMA:
H a p ( T ) =   G a p T T 1 T
S a p ( T ) = G a p T T
The Lewis’s enthalpic acid base constants K A ( T ) and K D ( T ) , and entropic acid base parameters ω A ( T ) and ω D ( T ) were obtained from the expressions of of H a p ( T ) and S a p ( T ) :
H p ( T ) =     D N × K A ( T ) + A N × K D ( T )
S p ( T ) =   D N × ω A ( T ) + A N × ω D ( T )
Where AN and DN are respectively the Gutmann electron donor and acceptor numbers of the polar solvents [66]. The used values were those corrected by Riddle and Fowkes [67].
Two kinds of probe molecules were used:
-
Non-polar molecules such as the n-alkanes ( C n ) such as n-pentane ( C 5 ), n-hexane ( C 6 ), n-heptane ( C 7 ), n-octane ( C 8 ), and n-nonane ( C 9 )
-
Polar molecules, divided into three groups:
Lewis’s acid solvents such as dichloromethane, chloroform, and carbon tetrachloride
Basic solvent such as ethyl acetate, diethyl ether, tetrahydrofuran (THF)
Amphoteric molecule such as toluene
The isotactic (i), syndiotactic (s) and atactic (a) PMMAs used in this paper, were the same as the polymers previously characterized in other studies by using other classic chromatographic methods and models [34,36,38,39,68]. The previous experimental values of R T l n V n of the various n-alkanes and polar molecules adsorbed on i-PMMa, s-PMMA and a-PMMA, obtained from chromatographic measurements, were used to investigate the tacticity effect on the surface physicochemical properties of the different PMMA surfaces.

3. Experimental Results

3.1. London Dispersive Component of Surface Energy of PMMA Polymers

In previous papers [51,54,55,56,57,58,69], a new methodology on the determination of the accurate value of the London dispersive surface energy γ s d of materials was proposed. It is based on the thermal effect on the surface areas of organic molecules that are necessary to be know as a function of the temperature to obtain accurate values of γ s d ( T ) of solid surfaces.
In this section, the same procedure previously developed [51,54,55,56,57,58,69] was used to determine the γ s d ( T ) of the different PMMAs. The determination of the net retention volumes of the various organic molecules adsorbed on i-PMMA, s-PMMA and a-PMMA allowed obtaining R T l n V n of such molecules. The obtained results of R T l n V n were given in Table S1 ((Supplementary Materials).
The Hamieh thermal model [51,54,55,56,57,58,69] was applied to determine γ s d ( T ) the various PMMA surfaces. Figure 1 gave the variations of γ s d ( T ) of PMMA at different tacticities as a function of the temperature was plotted on Figure 1.
The curves in Figure 1 showed a non-linear evolution of γ s d ( T ) , contrary to other cases relative to oxides and other solid materials [51,54,55,56,57,58] where the linearity of γ s d ( T ) was clearly observed. The precious information collected from Figure 1 showed not only the large variations of γ s d ( T ) versus the temperature with permanent change of the slope d γ s d ( T ) d T , but also it highlighted an important difference in the behavior of PMMA strongly depending on the tacticity of the polymer. Indeed, larger values of γ s d ( T ) of atactic PMMA were globally observed, respectively followed by those of syndiotactic and isotactic. However, an inversion of this tendency between isotactic and syndiotactic PMMAs was found for temperatures lower than 60°C.
The Curves of γ s d ( T ) for each of the three examined PMMAs clearly showed three maxima varying from one polymer to another. This interesting observation has to be correlated to the transition phenomena resulting from the influence of the increasing temperature. Indeed, it was showed in previous works [34,36,38,39,68] that the PMMA presents three transition temperatures:
-
The beta-relaxation T β = 60   ° C ,
-
The glass transition T g = 110   ° C ,
-
The liquid–liquid transitions T l i q l i q = 160   ° C .
The above results were perfectly confirmed by the curves of γ s d ( T ) of atactic PMMA in Figure 1 and showed the same values obtained in other works. The presence of the maxima in Figure 1 led to the following Table 1:
Table 1 showed that a shift of 10°C was observed in the values of T g and T l i q l i q when passing from atactic-PMMA to isotactic and this shift increases of additional 10°C in the case of syndiotactic PMMA. This shift in the transition temperatures is certainly due to the geometric configuration and position of methacrylate group relatively to the principal chain of PMMA showing that the tacticity of polymer strongly affects the transition temperatures [9,34,36,38,39,68].
The variations of γ s d ( T ) of each PMMA are composed by four parts of parabolic arcs represented by parabolic equations as shown in Table 2 and having the following general form:
γ s d T = a T 2 + b T + c
Table 2 showed the large difference between the γ s d ( T ) of the different PMMAs with various tacticities with a sensitive variation as a function of the temperature. The parabolic interpolation was obtained for the various cases with good linear regression coefficients. The variations of γ s d ( T ) are submitted to the magnitude of the second order transition temperatures and also to the tacticity of PMMA as it was shown in Figure 1.
The linear interpolation shown in Table 3 was obtained with a moderate value of the linear regression linear. This bad correlation is due to the non-linearity of the London dispersive energy as a function of the temperature for the different PMMAs.
However, Table 3 allowed to obtain some useful information on the surface entropy S s = d γ s d d T , the London dispersive energy γ s d ( 0 K ) at 0K and the intrinsic temperature T i n t . of PMMA surfaces. These values were given in Table 4.
The values of the surface characteristics of the different PMMAs showed an important difference in the behavior of PMMA following its tacticity. It seems that the obtained values of the intrinsic temperatures T i n t . correspond to degradation temperatures of PMMAs and can be considered as a specific identity of the polymer.

3.1. Polar Free Surface Energy of Atactic, Isotactic and Syndiotactic PMMAs

Using the values of the deformation polarizability α 0 X and the ionization energies of the various n-alkanes and polar molecules adsorbed on the different PMMA surfaces obtained from Handbook of Physics and Chemistry [70], it was possible to study the variations of R T l n V n as a function of the chromatographic parameter 3 N 2 4 π ε 0 2 P S X of the different solvents, and therefore to deduce the values of the free polar surface energy ( G a p T ) of polar solvents adsorbed on three studied PMMAs. The obtained results were given in Table 5
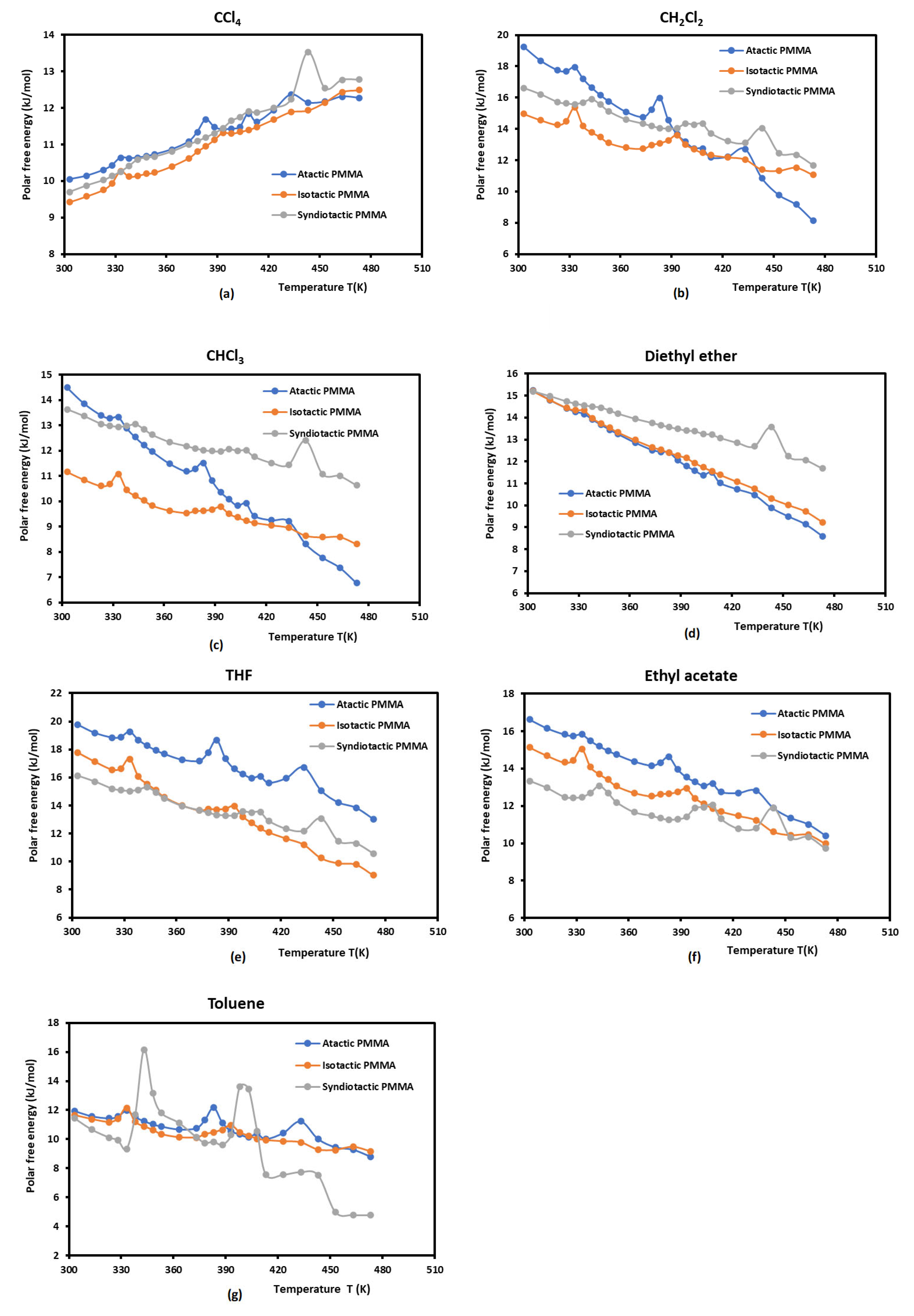
The comparison between the polar interaction free energy of the different PMMAs shown in Table 5 for the different polar organic molecules globally, highlighted higher values of ( G a p T ) in the case of atactic PMMA followed by syndiotactic PMMA and isotactic PMMA. A higher basic interaction was observed in all PMMAs showing their higher basicity with an important amphoteric character (Table 5).
The effect of the tacticity on the adsorption of polar solvents on PMMA was shown in Figure 2. The curves of the adsorbed polar molecules plotted on Figure 2 also showed a specific signature at the various transition temperatures previously highlighted by the variations of the London dispersive surface energy. The shift in the transition temperatures was also observed in Figure 2 for the different PMMAs. The results presented in Figure 2 showed an important variation in the behavior of the different polymers. The atactic PMMA exhibited the highest values with the various solvents followed by syndiotactic and isotactic PMMAs.
The variations of ( G a p T ) of adsorbed solvents on PMMAs led to the determination of their polar enthalpy ( H a p T ) and entropy ( S a p T ) as a function of the temperature. The obtained values of ( H a p T ) and ( S a p T ) of the adsorbed solvents on the various PMMAs were given in Tables S2 and S3, and their variations were plotted on Figure 3.
It was observed that the different curves on Figure 3 clearly reflected the various behaviors of the PMMAs based on their tacticities. Three minima of each curve were observed for all PMMAs. These minima elucidated the presence of the three transition temperatures for the different polymers with a shift of these temperatures for the isotactic and syndiotactic PMMAs.
The positive values of ( H a p T ) evocated a adsorption rather than desorption process, while the negative ones significate a desorption reaction. This led to conclude that the interaction between the polar solvents and PMMAs is repulsive and the transition phases are characterized by smaller polar interactions. The comparison between the polar entropy change ( S a p T ) of the solvents adsorbed on the various polymers in general showed an ordered and organized surface of polymers remaining constant for temperatures lower than the beta-relaxation temperature ( T < T β = 60   ° C ) , whereas, the disorder dramatically increased around T β , then decreased after this transition temperature and stabilized between the temperature interval T β < T < T g .
This process continued by repeating the same evolution with a maximum disorder of the surface groups of the different PMMAs around each transition temperature. These observations were more accentuated with the atactic PMMA, and the more ordered case was obtained with the syndiotactic PMMA justifying its higher crystallinity relative to other PMMAs.
Figure 3 showed the non-linearity variations of ( H a p T ) and ( S a p T ) against the temperature and this will strongly affect the Lewis acid-base properties which was detailed in the next section.

3.3. Lewis’s Acid-Base Properties

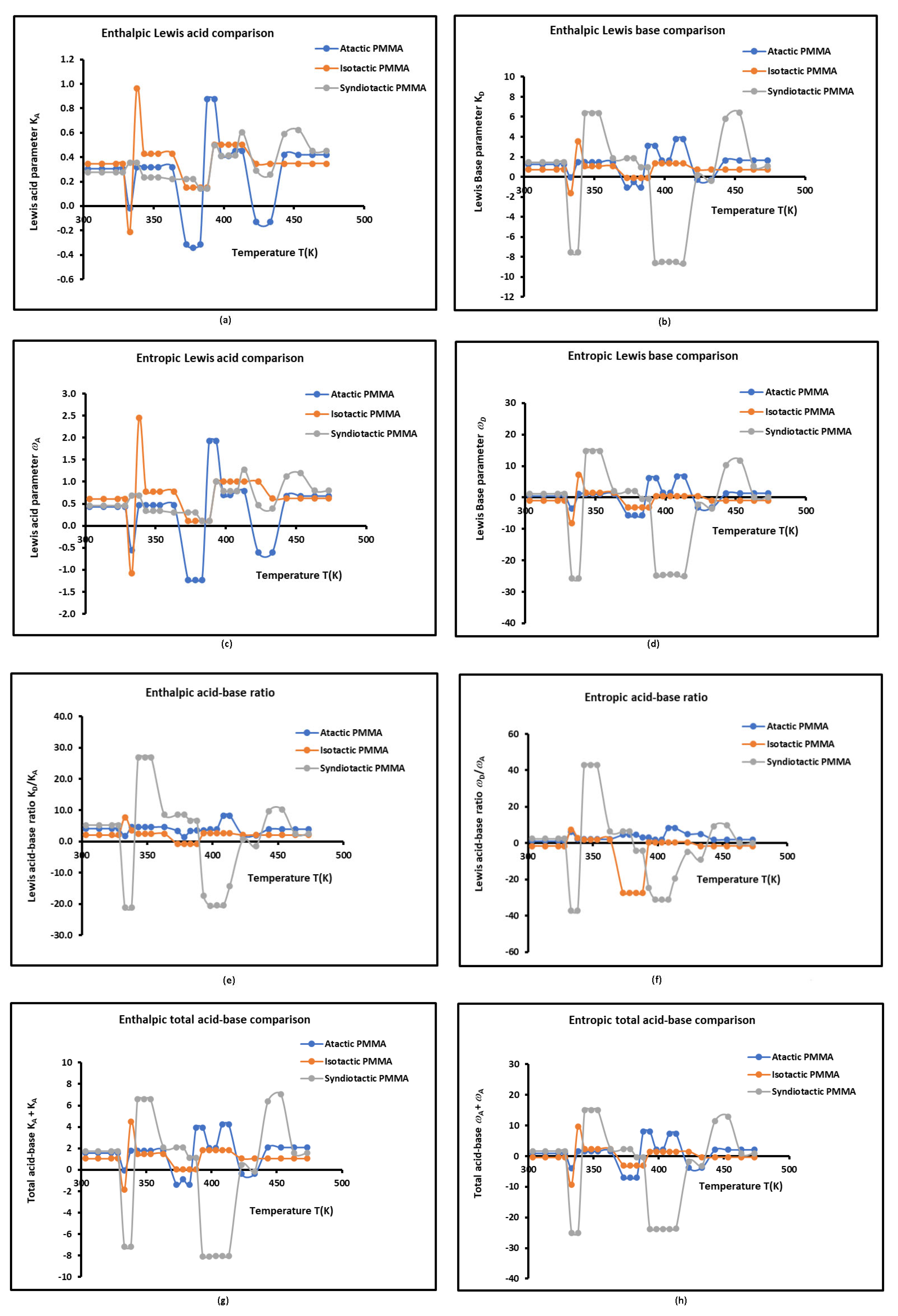
The results in Tables S2 and S3, and Figure 3 with the thermodynamic relations 10 and 11 led to the determination of the enthalpic acid base parameters K A and K D   and the entropic acid base parameters ω A and ω D   of atactic, isotactic and syndiotactic PMMAs versus the temperature. The non-linearity of ( H a p T )   and ( S a p T ) of adsorbed solvents necessarily implied the strong variations of the acid-base parameters of PMMAs as a function of the temperature. The values of the different enthalpic and entropic acid-base parameters of PMMAs at different tacticities were presented in Table 6 as a function of the temperature and led to the corresponding curves in Figure 4. The information collected from Table 6 and Figure 4 are very numerous and precious.
The three examined polymers are more basic than acidic in Lewis terms. The basicity of the tactic PMMA is about four times greater than its acidity outside the neighborhood of the transition temperatures of the polymer (Table 6 and Figure 4). Whereas, the isotactic PMMA is about 2 to 2.5 times more basic than acid, while the syndiotactic PMMA exhibits the highest basicity by showing a surface 5 to 8 times more basic than acid, of course outside the neighborhood of the transition temperatures of the polymer (Table 6 and Figure 4).
The Lewis acid K A parameter of atactic PMMA is comparable to that of the isotactic PMMA with a slightly higher value in the isotactic PMMA, but greater than that of syndiotactic PMMA. However, the basicity of the latter polymer is higher than those of atactic and isotactic PMMAs. In fact, the alternate acrylate groups present in syndiotactic PMMA principal chain confer the highest basicity of this polymer, whereas, the methyl groups in isotactic and atactic PMMAs give the highest Lewis acidity.
The Lewis amphoteric character given by the values of ( K D + K A ) and ( ω D + ω A ) which are shown in Table 6 and Figure 4 led to the conclusion that the highest amphoteric surface is obtained with the syndiotactic PMMA, respectively followed by the atactic PMMA and isotactic PMMA, certainly due to the highest activity of the surface groups of syndiotactic PMMA.
Once again, the curves plotted in Figure 4 showed the three transition temperatures with sudden changes around each transition temperature with a drop in the values of the different acid-bases parameters at these transition temperatures of the three polymers. The different parameters rapidly increase after reaching the different minima to be stabilized on positive parameter stages between two transition temperatures of PMMA.
The changes in the values of the different acid-base parameters in atactic PMMA are higher than those happened in isotactic and syndiotactic PMMAs. This is due to the random distribution of the acrylate groups in the PMMA principal chain.
An important effect of the temperature on the Lewis acid-base properties of the various PMMAs was highlighted (Table 6 and Figure 4).

3.4. London Dispersive Free Energies of PMMAs and Dispersion Factor

The values of the dispersion factor A and the London dispersive free energies G a d T of organic solvents adsorbed on the various PMMAS at different temperatures were obtained from Equations 3 and 5. The obtained results of G a d T were given reported in Table S4 and Figure 5.
The values of Table S4 showed a dispersive interaction energy of atactic PMMA stronger than those of isotactic and syndiotactic PMMAs. The curves of Figure 5 highlighted the presence of the three transition temperatures of PMMAs confirming those previously obtained.
The values of the dispersion factor A and the separation distance H of the various PMMA polymers deduced from equation 5 were given in Table S5. The curves of A and H also showed the presence of the three transition temperatures of the various PMMAs (Figure 6) with a shift in their values from tactic PMMA to another. Even if one observed slight variations of the parameters A and H against the temperature, the transition phenomena were clearly elucidated.
It was shown in Figure 6b that the average separation distance H between the solvents adsorbed on PMMA surfaces increased when the temperature increased justifying the effect of the thermal agitation on the separation distance. A larger separation distance was observed with the isotactic PMMA with the respect of the two other PMMAs, certainly due to the lower attractive free interaction energy.

3.5. Lewis Acid-Base Surface Energies of PMMAs and Polar Component of the Surface Energy of Polar Molecules

The Lewis acid γ s + and base γ s surface energies of atactic, isotactic, and syndiotactic PMMA were determined using the following Van Oss’s relation [67]:
G a p X P o l a r = 2 N a X γ l X γ s + + γ l X + γ s
Where γ l X + and γ l X are the respective acid and base surface energies of the polar molecule X adsorbed on polymer surface with a X the surface area of the adsorbed solvent.
Knowing that the experimental values of Lewis acid-base energies of ethyl acetate (EA) and dichloromethane (CH2Cl2) are respectively given by γ E A + = 0 , γ E A = 19.2 m J / m 2 and γ C H 2 C l 2 + = 5.2 m J / m 2 , γ C H 2 C l 2 = 0 ; we were able to determine the values of γ s + and γ s of PMMAs by using equations (13):
γ s + = G a s p T E A 2 4 N 2 a E A 2 γ E A                                   γ s = G a s p T C H 2 C l 2 2 4 N 2 a C H 2 C l 2 2 γ C H 2 C l 2 +  
The polar acid-base surface energy γ s A B of PMMAs was then determined from equation (14):
γ s A B = 2 γ s + γ s
The determination of γ s A B of PMMAs with the values of the London dispersive surface energy previously discussed in this paper, led to the determination of the Lifshitz – Van der Waals (LW) surface energy γ s L W (or total surface energy of the polymer) by using equation (21):
γ s L W = γ s d + γ s A B
The values of the different polar acid and base surface energies γ s + , γ s , and γ s A B (mJ/m2) of atactic, isotactic and syndiotactic PMMAs as a function of the temperature were given in Table 7.
The atactic PMMA exhibited the highest polar basic surface energy γ s , whereas the syndiotactic PMMA presented the highest polar acid surface energy. However, tha atctic PMMA had the highest polar acid-base surface energy γ s A B due to its highest amphoteric character.
The values in Table 7 led to draw the curves of Figure 7 giving the polar acid-base surface energy γ s A B (mJ/m2), the London dispersive surface energy γ s d (mJ/m2), and the Lifshitz – Van der Waals surface energy γ s L W (mJ/m2) of atactic, isotactic and syndiotactic PMMAs as a function of the temperature. It was interesting to notice that the different curves of Figure 7 gave the same shape of the previous curves obtained in the study of the various surface thermodynamic parameters again highlighting the three transition temperatures of the PMMAs.
These results led to the determination of the polar free energy γ l p of polar molecules adsorbed on the various PMMAs with the help of the polar components of the surface energy of PMMA γ s p using relation 16 and the previous results.
G a p X = 2 N a X   γ s p γ l p   o r     γ l p = G a p X 2 4 N 2 a X 2 γ s p                          
Table S56 reported the values γ l p ( T ) of the polar solvents adsorbed on the atactic, isotactic, and syndiotactic PMMAs. The results in Table S6 showed that the highest values of γ l p ( T ) was obtained with dichloromethane for the three PMMAs, due to their strong Lewis basicity. However, it was noticed that the different values of γ l p ( T ) , even if their decrease when the temperature increases, are very small relative to their dispersive components.

4. Conclusions

The effect of tacticity on London dispersive surface energy, polar free energy and Lewis’s acid-base surface energies of PMMA was studied. The technique used was the inverse gas chromatography at infinite dilution consisting in the experimental determination of the net retention time and volume of model organic molecules adsorbed on the atactic, isotactic and syndiotactic PMMAs. Our new methodology used in this study was that based on the London dispersion interaction energy applied for the separation of the polar and dispersive energy of the different n-alkanes and polar solvents adsorbed on the different polymer surfaces. The London dispersive component of the surface energy of the different polymers was determined by applying the Hamieh thermal model that took into account the thermal effect on the surface area of molecules adsorbed on the solid surfaces. This study showed non-linear variations of γ s d ( T ) of the different PMMAs with three maxima highlighting the three transition temperatures of PMMA, T g , T g and T l i q l i q with a shift of 10°C in the values of T g and T l i q l i q when passing from atactic-PMMA to isotactic and an additional shift of 10°C in the case of syndiotactic PMMA. The curves of γ s d ( T ) were assimilated to four parts of perfect parabolic equations with an important difference inf the values of γ s d ( T ) between atactic, isotactic and syndiotactic. The polar interaction free energy G a p T of polar solvents adsorbed on PMMAs was calculated as a function of the temperature. The variations of G a p T also showed the presence of the three transition temperatures of the polymers. The obtained results showed large differences in the behavior of the different polymers. The determination of the Lewis acid-base properties of PMMAs as a function of the temperature. The non-linearity of the different acid-base parameters was observed in all polymer surfaces proving the highest effect of the temperature and the tacticity on these parameters. The results showed that the basicity of the tactic PMMA is about four times greater than its acidity outside the neighborhood of the transition temperatures of the polymer. Whereas, the isotactic PMMA is about 2 to 2.5 times more basic than acid, while the syndiotactic PMMA exhibits the highest basicity by showing a surface 5 to 8 times more basic than acid. The Lewis acid K A parameter of atactic PMMA had a value comparable to that of the isotactic PMMA, but greater than that of syndiotactic PMMA. However, the basicity of the latter polymer was higher than those of atactic and isotactic PMMAs.
It was shown that the average separation distance between the organic molecules and the polymers depends on the temperature. It increased when the temperature increased. The slight variations of the separation distance also highlighted the three transition temperatures of the different PMMAs.
This work also determined the values of polar acid-base surface energy γ s A B (mJ/m2), the London dispersive surface energy γ s d (mJ/m2), and the Lifshitz – Van der Waals surface energy γ s L W (mJ/m2) of atactic, isotactic and syndiotactic PMMAs as a function of the temperature. The curves representing the variations of these surface parameters showed the same tendency of the curve shape highlighting the three transition temperatures of the PMMAs.

Supplementary Materials

The following supporting information can be downloaded at the website of this paper posted on Preprints.org, Table S1. Values of ( R T l n V n in kJ/mol) of organic solvents adsorbed on PMMA particles as a function of the temperature for the different tacticities. Table S2. Values (in kJ/mol) of polar enthalpy ( H a p T of polar solvents adsorbed on the various PMMAS as a function of the temperature different temperatures. Table S3. Values (in kJ/mol) of polar entropy ( S a p T of of polar solvents adsorbed on the various PMMAS as a function of the temperature different temperatures. Table S4. Values of (London dispersive free energies G a d T   i n k J / m o l ) of organic solvents adsorbed on the various PMMA particles as a function of the temperature for the different tacticities. Table S5. Values of the dispersion coefficient A and separation distance H of atactic, isotactic and syndiotactic PMMAs as a function of the temperature. Table S6. Values (in mJ/m2) of the polar free energy γ l p of the polar molecules adsorbed on the various PMMAs as a function of the temperature different temperatures

Funding

This research did not receive any specific grant.

Data Availability Statement

There is no additional data.

Conflicts of Interest

The author declares no conflict of interest.

References

  1. Miri, M.J.; Pritchard, B.P.; Cheng, H.N. A versatile approach for modeling and simulating the tacticity of polymers. J Mol Model, 2011, 17, 1767–1780. [CrossRef]
  2. Worch, J.C.; Prydderch, H.; Jimaja, S. et al. Stereochemical enhancement of polymer properties. Nat Rev Chem, 2019, 3, 514–535. [CrossRef]
  3. Teiji Tsuruta, Yuhsuke Kawakami, 33 - Anionic Ring-opening Polymerization: Stereospecificity for Epoxides, Episulfides and Lactones, Editor(s): Geoffrey Allen, John C. Bevington, Comprehensive Polymer Science and Supplements, Pergamon, 1989, Pages 489-500, . [CrossRef]
  4. Izzo, L.; Griffiths, P.C.; Nilmini, R.; King, S.M.; Wallom, K.L.; Ferguson, E.L. Ruth Duncan, Impact of polymer tacticity on the physico-chemical behaviour of polymers proposed as therapeutics, International Journal of Pharmaceutics, 2011, 408 (1–2), 213-222, . [CrossRef]
  5. Grigoriadi, K.; Westrik, J. B. H. M.; Vogiatzis, G.; van Breemen, L.; Anderson, P.; Hütter, M. Physical ageing of polystyrene: does tacticity play a role? Macromolecules, 2019, 52(15), 5948-5954. [CrossRef]
  6. Chat, K.; Tu, W.; Unni, A.B.; and Adrjanowicz, K.; Influence of Tacticity on the Glass-Transition Dynamics of Poly(methyl methacrylate) (PMMA) under Elevated Pressure and Geometrical Nanoconfinement, Macromolecules, 2021, 54 (18), 8526-8537. [CrossRef]
  7. Cheng, G.; Barriere, T. Effect of viscoplasticity on microfluidic cavity filling efficiency of a thermoplastic polymer in hot-embossing process. Int J Adv Manuf Technol, 2019,103, 549–565. [CrossRef]
  8. Adrjanowicz, K.; Paluch, M. Discharge of the Nanopore Confinement Effect on the Glass Transition Dynamics via Viscous Flow. Phys. Rev. Lett., 2019, 122, No. 176101. [CrossRef]
  9. Chat, K.; Adrjanowicz, K. The Impact of the Molecular Weight on the Nonequilibrium Glass Transition Dynamics of Poly(Phenylmethyl Siloxane) in Cylindrical Nanopores. J. Phys. Chem. C, 2020, 124, 22321−22330. [CrossRef]
  10. Floudas, G.; Paluch, M.; Grzybowski, A.; Ngai, K. Molecular Dynamics of Glass-Forming Systems; Advances in Dielectrics; Springer: Berlin, Heidelberg, 2011; Vol. 1.
  11. Karasz, F. E.; Bair, H. E.; O’Reilly, J. M. Thermal Properties of Atactic and Isotactic Polystyrene. J. Phys. Chem. A, 1965, 69, 2657− 2667. [CrossRef]
  12. Chang, L.; Woo, E. M. Tacticity Effects on Glass Transition and Phase Behavior in Binary Blends of Poly(Methyl Methacrylate)s of Three Different Configurations. Polym. Chem. 2010, 1, 198−202. [CrossRef]
  13. Karasz, F. E.; MacKnight, W. J. The Influence of Stereoregularity on the Glass Transition Temperatures of Vinyl Polymers. Macromolecules, 1968, 1, 537−540. [CrossRef]
  14. Napolitano, S.; Glynos, E.; Tito, N. B. Glass Transition of Polymers in Bulk, Confined Geometries, and near Interfaces. Rep. Prog. Phys. 2017, 80, No. 036602. [CrossRef]
  15. Keddie, J. L.; Jones, R. A. L.; Cory, R. A. Interface and Surface Effects on the Glass-Transition Temperature in Thin Polymer Films. Faraday Discuss. 1994, 98, No. 219.
  16. Geng, K.; Tsui, O. K. C. Effects of Polymer Tacticity and Molecular Weight on the Glass Transition Temperature of Poly(Methyl Methacrylate) Films on Silica. Macromolecules, 2016, 49, 2671−2678. [CrossRef]
  17. Ngai, K. L.; Paluch, M. Classification of Secondary Relaxation in Glass-Formers Based on Dynamic Properties. J. Chem. Phys. 2004, 120, 857−873. [CrossRef]
  18. Cowie, J. M. G. Glass Transition Temperatures of Stereoblock, Isotactic and Atactic Polypropylenes of Various Chain Lengths. Eur. Polym. J. 1973, 9, 1041−1049. [CrossRef]
  19. Duarte, D. M.; Tu, W.; Dzienia, A.; Adrjanowicz, K. Study on the Effect of Side-Chain Group on the Segmental Dynamics of Selected Methacrylate Polymers at Ambient and High Pressures. Polymer, 2019, 183, No. 121860. [CrossRef]
  20. Adrjanowicz, K.; Winkler, R.; Chat, K.; Duarte, D. M.; Tu, W.; Unni, A. B.; Paluch, M.; Ngai, K. L. Study of Increasing Pressure and Nanopore Confinement Effect on the Segmental, Chain, and Secondary Dynamics of Poly(Methylphenylsiloxane). Macromolecules, 2019, 52, 3763−3774. [CrossRef]
  21. Adrjanowicz, K.; Winkler, R.; Dzienia, A.; Paluch, M.; Napolitano, S. Connecting 1D and 2D Confined Polymer Dynamics to Its Bulk Behavior via Density Scaling. ACS Macro Lett. 2019, 8, 304−309. [CrossRef]
  22. Kunal, K.; Robertson, C. G.; Pawlus, S.; Hahn, S. F.; Sokolov, A. P. Role of Chemical Structure in Fragility of Polymers: A Qualitative Picture. Macromolecules, 2008, 41, 7232−7238. [CrossRef]
  23. Casalini, R.; Roland, C. M.; Capaccioli, S. Effect of Chain Length on Fragility and Thermodynamic Scaling of the Local Segmental Dynamics in Poly(Methylmethacrylate). J. Chem. Phys. 2007, 126, No. 184903. [CrossRef]
  24. Wang, Y.; Lu, Y.; Jiang, Z.; Men, Y. Molecular Weight Dependency of Crystallization Line, Recrystallization Line, and Melting Line of Polybutene-1. Macromolecules, 2014, 47, 6401−6407. [CrossRef]
  25. Beena Unni, A.; Chat, K.; Duarte, D. M.; Wojtyniak, M.; Geppert-Rybczynska, M.; Kubacki, J.; Wrzalik, R.; Richert, R.; Adrjanowicz, K. Experimental Evidence on the Effect of Substrate Roughness on Segmental Dynamics of Confined Polymer Films. Polymer, 2020, 199, No. 122501.
  26. (46) Winkler, R.; Tu, W.; Laskowski, L.; Adrjanowicz, K. Effect of Surface Chemistry on the Glass-Transition Dynamics of Poly(Phenyl Methyl Siloxane) Confined in Alumina Nanopores. Langmuir 2020, 36, 7553−7565. [CrossRef]
  27. Beiner, M. Relaxation in Poly(Alkyl Methacrylate)s: Crossover Region and Nanophase Separation. Macromol. Rapid Commun. 2001, 22, 869−895.
  28. Ngai, K. L. L.; Gopalakrishnan, T. R. R.; Beiner, M. Relaxation in Poly(Alkyl Methacrylate)s: Change of Intermolecular Coupling with Molecular Structure, Tacticity, Molecular Weight, Copolymerization, Crosslinking, and Nanoconfinement. Polymer, 2006, 47, 7222−7230. [CrossRef]
  29. Chen, K.; Harris, K.; Vyazovkin, S. Tacticity as a Factor Contributing to the Thermal Stability of Polystyrene. Macromol. Chem. Phys. 2007, 208, 2525−2532.
  30. Shi, Y.; He, X. Effect of Tacticity Sequence of the Poly(N-isopropylacrylamide) Oligomer on Phase Transition Behavior in Aqueous Solution, The Journal of Physical Chemistry B, 2023, 127 (40), 8660-8668, https://doi.org/10.1021/acs.jpcb.3c03765. [CrossRef]
  31. Hasan, N.; Nguyen, T. M. H.; Busse, K.; Kressler, J. Influence of Tacticity on the Structure Formation of Poly(methacrylic acid) in Langmuir/Langmuir–Blodgett and Thin Films. Macromol. Chem. Phys. 2023, 224, 2200428. [CrossRef]
  32. Zhang, X.; Lin, F.; Cao, M.; Zhong, M. Rare earth–cobalt bimetallic catalysis mediates stereocontrolled living radical polymerization of acrylamides. Nat. Synth, 2023, 2, 855–863. [CrossRef]
  33. Biswas, C.S., Mitra, K., Singh, S. et al. Study of the effect of isotacticity on some physical properties of poly(N-isopropylacrylamide). Colloid Polym Sci, 2015, 293, 1749–1757. [CrossRef]
  34. Hamieh, T.; Rezzaki, M.; Schultz J. Study of the second order transitions and acid-base properties of polymers adsorbed on oxides, by using inverse gas chromatography at infinite dilution, I and II, J. Colloid Interface Sci., 2001, 233 (2), 339-347. [CrossRef]
  35. Hamieh, T. Study of the Specific Entropy of Poly (α-n-alkyl) Methacrylates Adsorbed on Alumina or Silica by Inverse Gas Chromatography (IGC), 2011, Soft Materials, 9 (1), 15 – 31. [CrossRef]
  36. Hamieh, T. New Approach for the Determination of Acid Base Properties of Poly(α-n-alkyl) Methacrylates Adsorbed on Silica by Inverse Gas Chromatography (IGC), Chromatographia, 2011, 73 (7-8), 709-719. [CrossRef]
  37. Hamieh, T.; Toufaily, J.; Mouneimné, A.B. Effect of the Tacticity of PMMA Adsorbed on Alumina and Silica on the Specific Entropy Change of Polymer by Inverse GC, Chromatographia, 2011, 73 (1-2), 99-107. [CrossRef]
  38. Hamieh T., Schultz J., New approach to characterise physicochemical properties of solid substrates by inverse gas chromatography at infinite dilution. I. Some new methods to determine the surface areas of some molecules adsorbed on solid surfaces, J. Chromatogr. A, 2002, 969(1-2), 17-36. [CrossRef]
  39. Hamieh, T.; Fadlallah, M.B.; Schultz, J. New approach to characterise physicochemical properties of solid substrates by inverse gas chromatography at infinite dilution: III. Determination of the acid–base properties of some solid substrates (polymers, oxides and carbon fibres): a new model, J Chromatogr A. 2002, 969 (1-2), 37-47. [CrossRef]
  40. Ito M; Ishizone T. Living anionic polymerization of N-methoxymethyl-N-isopropylacrylamide: Synthesis of well-defined poly(N-isopropylacrylamide) having various stereoregularity, J. Polym. Sci. A Polym. Chem., 2006, 44 , 4832–4845, . [CrossRef]
  41. Hirano, T.; Okumura, Y.; Kitajim,a H.; Seno, M.; Sato, T. Dual roles of alkyl alcohols as syndiotactic-specificity inducers and accelerators in the radical polymerization of N-isopropylacrylamide and some properties of syndiotactic poly(N-isopropylacrylamide), J. Polym. Sci. A Polym. Chem., 2006, 44 , 4450–4460, . [CrossRef]
  42. Nuopponen M, Kalliomäki K, Laukkanen A, Hietala S, Tenhu H. A–B–A stereoblock copolymers of N-isopropylacrylamide, J. Polym. Sci. A Polym. Chem., 2008, 46, 38–46. [CrossRef]
  43. Hirano, T.; Miki, H.; Seno, M.; Sato, T. Effect of polymerization conditions on the syndiotactic-specificity in radical polymerization of N-isopropylacrylamide and fractionation of the obtained polymer according to the stereoregularity, Polymer, 2005, 46 (15), 5501-5505, . [CrossRef]
  44. Papadopoulou, S.K.; Panayiotou, C. Assessment of the thermodynamic properties of poly(2,2,2-trifluoroethyl methacrylate) by inverse gas chromatography, J. Chromatogr. A, 2014, 1324, 207– 214. [CrossRef]
  45. Saint-Flour, C.; Papirer, E.; Gas-solid chromatography. A method of measuring surface free energy characteristics of short carbon fibers. 1. Through adsorption isotherms, Ind. Eng. Chem. Prod. Res. Dev., 1982, 21, 337-341, . [CrossRef]
  46. Saint-Flour, C.; Papirer, E.; Gas-solid chromatography: method of measuring surface free energy characteristics of short fibers. 2. Through retention volumes measured near zero surface coverage, Ind. Eng. Chem. Prod. Res. Dev., 1982, 21, 666-669, . [CrossRef]
  47. Donnet, J.-B.; Park, S.; Balard, H. Evaluation of specific interactions of solid surfaces by inverse gas chromatography, Chromatographia, 1991, 31, 434–440. [CrossRef]
  48. Brendlé, E.; Papirer, E. A new topological index for molecular probes used in inverse gas chromatography for the surface nanorugosity evaluation, 2. Application for the Evaluation of the Solid Surface Specific Interaction Potential, J. Colloid Interface Sci., 1997, 194, 217–2224. [CrossRef]
  49. Brendlé, E.; Papirer, E. A new topological index for molecular probes used in inverse gas chromatography for the surface nanorugosity evaluation, 1. Method of Evaluation, J. Colloid Interface Sci. 1997, 194, 207–216. [CrossRef]
  50. Sawyer, D.T.; Brookman. D.J. Thermodynamically based gas chromatographic retention index for organic molecules using salt-modified aluminas and porous silica beads, Anal. Chem. 1968, 40, 1847-1850. [CrossRef]
  51. Hamieh, T. New methodology to study the dispersive component of the surface energy and acid–base properties of silica particles by inverse gas chromatography at infinite dilution, Journal of Chromatographic Science, 2022, 60 (2), 126-142, . [CrossRef]
  52. Voelkel, A. Inverse gas chromatography: characterization of polymers, fibers, modified silicas, and surfactants. Crit Rev Anal Chem. 1991, 22, 411-439. [CrossRef]
  53. Hamieh, T.; Ahmad, A.A.; Roques-Carmes, T.; Toufaily, J. New approach to determine the surface and interface thermodynamic properties of H-β-zeolite/rhodium catalysts by inverse gas chromatography at infinite dilution. Sci. Rep. 2020, 10, 20894. [CrossRef]
  54. Hamieh, T. The Effect of Temperature on the Surface Energetic Properties of Carbon Fibers Using Inverse Gas Chromatography, Crystals, 2024, 14(1), 28; . [CrossRef]
  55. Hamieh, T. New physicochemical methodology for the determination of the surface thermodynamic properties of solid particles. Appliedchem, 2023, 3, 229–255. [CrossRef]
  56. Hamieh, T. New Progress on London Dispersive Energy, Polar Surface Interactions, and Lewis’s Acid–Base Properties of Solid Surfaces, Molecules, 2024, 29 (5), 949, . [CrossRef]
  57. Hamieh, T. London Dispersive and Lewis Acid-Base Surface Energy of 2D Single-Crystalline and Polycrystalline Covalent Organic Frameworks, Crystals, 2024, 14(2), 148; [CrossRef]
  58. Hamieh, T. Inverse Gas Chromatography to Characterize the Surface Properties of Solid Materials, Chem. Mater. 2024, 2024, . [CrossRef]
  59. Hamieh, T. Study of the temperature effect on the surface area of model organic molecules, the dispersive surface energy and the surface properties of solids by inverse gas chromatography, J. Chromatogr. A, 2020, 1627, 461372.
  60. Dritsas, G.S.; Karatasos, K.; Panayiotou, C. Investigation of thermodynamic properties of hyperbranched aliphatic polyesters by inverse gas chromatography, J. Chromatogr. A, 2009, 1216 (51), 8979-8985. [CrossRef]
  61. Papadopoulou, S.K.; Panayiotou, C. Thermodynamic characterization of poly(1,1,1,3,3,3-hexafluoroisopropyl methacrylate) by inverse gas chromatography, J. Chromatogr. A, 2012, 1229, 230-236. [CrossRef]
  62. Kołodziejek, J.; Voelkel, A.; K. Heberger, Characterization of hybrid materials by means of inverse gas chromatography and chemometrics, J. Pharm. Sci., 2013, 102, 15241531. [CrossRef]
  63. Belgacem, M.N.; Czeremuszkin, G.; Sapieha, S.; Gandini, A. Surface by XPS characterization and inverse gas of cellulose fibres chromatography, Cellulose, 1995, 2, 145157, . [CrossRef]
  64. Papadopoulou, S. K.; Tsioptsias, .; Pavlou, A. K.; Kaderides, K.; Sotiriou S.; Panayiotou, C. “Superhydrophobic surfaces from hydrophobic or hydrophilic polymers via nanophase separation or electrospinning/electrospraying. Colloids and Surfaces A: Physicochemical and Engineering Aspects, 2011, 387, 71-78. [CrossRef]
  65. Papirer E.; Perrin J.-M.; Siffert B.; Philipponneau G. Surface characteristics of aluminas in relation with polymer adsorption, J. Colloid Interface Sci., 1991, 144, 263–270, . [CrossRef]
  66. Gutmann, V. The Donor-acceptor Approach to Molecular Interactions, Plenum. New York, 1978.
  67. Riddle, F. L.; Fowkes, F. M. Spectral shifts in acid-base chemistry. Van der Waals contributions to acceptor numbers, Spectral shifts in acid-base chemistry. 1. van der Waals contributions to acceptor numbers. J. Am. Chem. Soc., 1990, 112 (9), 3259-3264. [CrossRef]
  68. Hamieh, T.; Rezzaki M.; Schultz, J. Study of the transition temperatures and acid-base properties of poly (methyl methacrylate) adsorbed on alumina and silica, by using inverse gas chromatography technique, Colloids and Surfaces A: Physicochemical and Engineering Aspects, 2001, 189 (1-3), 279-291. [CrossRef]
  69. Hamieh, T. Some Irregularities in the Evaluation of Surface Parameters of Solid Materials by Inverse Gas Chromatography, Langmuir, 2023, 39, 17059-17070, . [CrossRef]
  70. David R. Lide, ed., CRC Handbook of Chemistry and Physics, Internet Version 2007, (87th Edition), <http:/www.hbcpnetbase.com>, Taylor and Francis, Boca Raton, FL, 2007.
Figure 1. Evolution of the London dispersive surface energy γ s d   ( m J / m 2 ) of a-PMMA, i-PMMA and s-PMMA as a function of the temperature T (K) by using the Hamieh thermal model. Dashed lines correspond to linear approximation.
Figure 1. Evolution of the London dispersive surface energy γ s d   ( m J / m 2 ) of a-PMMA, i-PMMA and s-PMMA as a function of the temperature T (K) by using the Hamieh thermal model. Dashed lines correspond to linear approximation.
Preprints 103743 g001
Figure 2. Variations of the polar free interaction energy ( G a p T ) (kJ/mol) of different polar solvents adsorbed on atactic, isotactic and syndiotactic PMMAs as a function of the temperature: (a) CCl4; (b) CH2Cl2; (c) CHCl3; (d) diethyl ether; (e) tetrahydrofuran (THF); (f) ethyl acetate; and (g) toluene.
Figure 2. Variations of the polar free interaction energy ( G a p T ) (kJ/mol) of different polar solvents adsorbed on atactic, isotactic and syndiotactic PMMAs as a function of the temperature: (a) CCl4; (b) CH2Cl2; (c) CHCl3; (d) diethyl ether; (e) tetrahydrofuran (THF); (f) ethyl acetate; and (g) toluene.
Preprints 103743 g002
Figure 3. Variations of the polar interaction enthalpy ( H a p T   ( J / m o l ) and entropy ( S a p T )   ( J K 1 m o l 1 ) of polar solvents adsorbed on atactic, isotactic and syndiotactic PMMAs as a function of the temperature: (a) ( H a p T ) of atactic PMMA (b) ( S a p T ) of atactic PMMA; (c) ( H a p T ) of isotactic PMMA; (d) ( S a p T ) of isotactic PMMA; (e) ( H a p T ) of syndiotactic PMMA; (f) ( S a p T ) of syndiotactic PMMA.
Figure 3. Variations of the polar interaction enthalpy ( H a p T   ( J / m o l ) and entropy ( S a p T )   ( J K 1 m o l 1 ) of polar solvents adsorbed on atactic, isotactic and syndiotactic PMMAs as a function of the temperature: (a) ( H a p T ) of atactic PMMA (b) ( S a p T ) of atactic PMMA; (c) ( H a p T ) of isotactic PMMA; (d) ( S a p T ) of isotactic PMMA; (e) ( H a p T ) of syndiotactic PMMA; (f) ( S a p T ) of syndiotactic PMMA.
Preprints 103743 g003
Figure 4. Comparison between the various enthalpic and entropic acid-base parameters of atactic, isotactic and syndiotactic PMMAs versus the temperature: (a): K A , (b): K D , (c): ω A , (d): ω D , (e): K D / K A , (f): ω D   /   ω A , (g): ( K D + K A ) , and (h): ( ω D + ω A ) .
Figure 4. Comparison between the various enthalpic and entropic acid-base parameters of atactic, isotactic and syndiotactic PMMAs versus the temperature: (a): K A , (b): K D , (c): ω A , (d): ω D , (e): K D / K A , (f): ω D   /   ω A , (g): ( K D + K A ) , and (h): ( ω D + ω A ) .
Preprints 103743 g004
Figure 5. Dispersion free energy ( G a d T )   ( k J / m o l ) of polar solvents adsorbed on atactic, isotactic and syndiotactic PMMAs as a function of the temperature: (a) atactic PMMA, (b) atactic PMMA, and (c) isotactic PMMA.
Figure 5. Dispersion free energy ( G a d T )   ( k J / m o l ) of polar solvents adsorbed on atactic, isotactic and syndiotactic PMMAs as a function of the temperature: (a) atactic PMMA, (b) atactic PMMA, and (c) isotactic PMMA.
Preprints 103743 g005
Figure 6. Variations of the dispersion coefficient A (a) and separation distance H (b) of atactic, isotactic and syndiotactic PMMAs as a function of the temperature.
Figure 6. Variations of the dispersion coefficient A (a) and separation distance H (b) of atactic, isotactic and syndiotactic PMMAs as a function of the temperature.
Preprints 103743 g006
Figure 7. Evolution of the polar acid-base surface energy γ s A B (mJ/m2), the London dispersive surface energy γ s d (mJ/m2), and the Lifshitz – Van der Waals surface energy γ s L W (mJ/m2) of atactic, isotactic and syndiotactic PMMAs as a function of the temperature.
Figure 7. Evolution of the polar acid-base surface energy γ s A B (mJ/m2), the London dispersive surface energy γ s d (mJ/m2), and the Lifshitz – Van der Waals surface energy γ s L W (mJ/m2) of atactic, isotactic and syndiotactic PMMAs as a function of the temperature.
Preprints 103743 g007
Table 1. Values of beta-relaxation, glass transition and liquid-liquid transition temperatures of a-PMMA, i-PMMA and s-PMMA
Table 1. Values of beta-relaxation, glass transition and liquid-liquid transition temperatures of a-PMMA, i-PMMA and s-PMMA
Transition temperature T β T g T l i q l i q
Atactic PMMA 60°C 110°C 160°C
Isotactic PMMA 60°C 120°C 170°C
Syndiotactic PMMA 70°C 130°C 170°C
Table 2. Equations of γ s d ( T ) of different PMMAs with the corresponding linear regression coefficients in the case of parabolic interpolation.
Table 2. Equations of γ s d ( T ) of different PMMAs with the corresponding linear regression coefficients in the case of parabolic interpolation.
Atactic PMMA
Equation of γ s d ( T ) Temperature interval
γ s d T = 0.0451 T 2 + 28.851 T + 4657.9 0.935 303.15K - 333.15K
γ s d T = 0.0282 T 2 20.47 T + 3745.4 0.9722 333.15K - 378.15K
γ s d T = 0.0408 T 2 33.635 T + 6940.9 0.9477 378.15K - 423.15K
γ s d T = 0.0091 T 2 8.647 T + 2061.4 0.9902 423.15K - 473.15K
Isotactic PMMA
Equation of γ s d ( T ) Temperature interval
γ s d T = 0.0299 T 2 19.277 T + 3152 0.9398 303.15K - 333.15K
γ s d T = 0.0342 T 2 25.053 T + 4607.6 0.9557 333.15K - 393.15K
γ s d T = 0.0077 T 2 6.795 T + 1501.7 0.9925 393.15K - 443.15K
γ s d T = 0.0051 T 2 4.787 T + 1121.9 0.9896 443.15K - 473.15K
Syndiotactic PMMA
Equation of γ s d ( T ) Temperature interval
γ s d T = 0.0051 T 2 4.790 T + 1121.9 0.9485 303.15K - 343.15K
γ s d T = 0.0115 T 2 8.900 T + 1740.8 0.9900 343.15K - 403.15K
γ s d T = 0.0099 T 2 8.798 T + 1967.3 0.9569 403.15K - 443.15K
γ s d T = 0.0108 T 2 10.079 T + 2370 1.000 443.15K - 473.15K
Table 3. Equations of γ s d ( T ) of different PMMAs with the corresponding linear regression coefficients with a linear approximation.
Table 3. Equations of γ s d ( T ) of different PMMAs with the corresponding linear regression coefficients with a linear approximation.
Equation of γ s d ( T ) Temperature interval
Atactic PMMA γ s d T = 0.292 T + 144.37 0.8368 303.15K - 473.15K
Isotactic PMMA γ s d T = 0.303 T + 143.16 0.8491 303.15K - 473.15K
Syndiotactic PMMA γ s d T = 0.240 T + 120.8 0.8368 303.15K - 473.15K
Table 4. Values of the surface entropy S s = d γ s d d T , the London dispersive energy γ s d ( 0 K ) at 0K and the intrinsic temperature T i n t . of a-PMMA i-PMMA and s-PMMA.
Table 4. Values of the surface entropy S s = d γ s d d T , the London dispersive energy γ s d ( 0 K ) at 0K and the intrinsic temperature T i n t . of a-PMMA i-PMMA and s-PMMA.
S s = d γ s d / d T   ( m J × m 2 × K 1 ) γ s d 0 K ( m J × m 2 ) T i n t . ( K )
Atactic PMMA 0.292 144.37 494.1
Isotactic PMMA 0.303 143.16 472.6
Syndiotactic PMMA 0.240 120.8 503.8
Table 5. Values of ( G a p T kJ/mol) of polar molecules adsorbed respectively on atactic, isotactic and syndiotactic PMMAs versus the temperature.
Table 5. Values of ( G a p T kJ/mol) of polar molecules adsorbed respectively on atactic, isotactic and syndiotactic PMMAs versus the temperature.
Polar free energy of atactic PMMA
Temperature T(K) CCl4 CH2Cl2 CHCl3 Diethyl ether THF Ethyl acetate Toluene
303.15 10.047 19.251 14.493 15.248 19.777 16.627 11.951
313.15 10.142 18.357 13.862 14.794 19.179 16.162 11.585
323.15 10.303 17.750 13.399 14.416 18.845 15.830 11.442
328.15 10.433 17.669 13.278 14.259 18.889 15.755 11.561
333.15 10.642 17.926 13.323 14.166 19.257 15.828 11.961
338.15 10.621 17.193 12.884 13.904 18.679 15.479 11.526
343.15 10.638 16.636 12.532 13.665 18.266 15.198 11.244
348.15 10.676 16.168 12.229 13.447 17.938 14.959 11.033
353.15 10.729 15.768 11.962 13.242 17.673 14.749 10.878
363.15 10.865 15.098 11.494 12.854 17.267 14.384 10.679
373.15 11.081 14.759 11.178 12.521 17.185 14.163 10.758
378.15 11.342 15.218 11.285 12.442 17.767 14.323 11.335
383.15 11.682 15.988 11.514 12.403 18.664 14.617 12.180
388.15 11.479 14.558 10.824 12.058 17.371 13.963 11.140
393.15 11.408 13.673 10.371 11.792 16.616 13.543 10.566
398.15 11.435 13.186 10.086 11.582 16.256 13.295 10.331
403.15 11.476 12.754 9.827 11.382 15.950 13.070 10.144
408.15 11.850 12.756 9.922 11.500 16.078 13.204 10.372
413.15 11.627 12.174 9.424 11.019 15.621 12.744 10.013
423.15 11.940 12.230 9.255 10.729 15.944 12.693 10.431
433.15 12.367 12.723 9.224 10.476 16.727 12.831 11.230
443.15 12.147 10.846 8.317 9.886 15.066 11.893 10.015
453.15 12.172 9.778 7.776 9.494 14.219 11.360 9.451
463.15 12.310 9.164 7.383 9.138 13.845 11.019 9.285
473.15 12.276 8.131 6.767 8.597 13.044 10.414 8.814
Polar free energy of isotactic PMMA
Temperature T(K) CCl4 CH2Cl2 CHCl3 Diethyl ether THF Ethyl acetate Toluene
303.15 9.422 14.973 11.160 15.214 17.783 15.139 11.652
313.15 9.579 14.564 10.848 14.812 17.121 14.694 11.374
323.15 9.760 14.259 10.605 14.441 16.553 14.331 11.174
328.15 9.943 14.504 10.689 14.334 16.646 14.457 11.401
333.15 10.269 15.363 11.071 14.330 17.328 15.059 12.148
338.15 10.120 14.192 10.454 13.969 16.068 14.088 11.188
343.15 10.147 13.788 10.220 13.741 15.539 13.712 10.874
348.15 10.198 13.485 10.041 13.539 15.103 13.414 10.639
353.15 10.231 13.105 9.833 13.329 14.592 13.058 10.338
363.15 10.401 12.806 9.635 12.975 14.011 12.701 10.129
373.15 10.625 12.735 9.544 12.655 13.652 12.521 10.117
378.15 10.804 12.970 9.615 12.537 13.740 12.637 10.338
383.15 10.955 13.096 9.636 12.400 13.722 12.671 10.471
388.15 11.121 13.277 9.678 12.268 13.759 12.745 10.649
393.15 11.326 13.611 9.781 12.161 13.952 12.936 10.956
398.15 11.297 13.014 9.509 11.928 13.210 12.416 10.465
403.15 11.344 12.718 9.363 11.737 12.768 12.127 10.232
408.15 11.400 12.466 9.238 11.556 12.367 11.872 10.034
413.15 11.482 12.320 9.155 11.384 12.074 11.698 9.930
423.15 11.687 12.183 9.055 11.068 11.642 11.467 9.850
433.15 11.891 12.051 8.958 10.751 11.213 11.241 9.776
443.15 11.933 11.393 8.645 10.315 10.245 10.615 9.277
453.15 12.152 11.328 8.582 10.009 9.880 10.440 9.259
463.15 12.437 11.521 8.595 9.719 9.789 10.457 9.468
473.15 12.492 11.059 8.311 9.232 9.025 9.972 9.163
Polar free energy of syndiotactic PMMA
Temperature T(K) CCl4 CH2Cl2 CHCl3 Diethyl ether THF Ethyl acetate Toluene
303.15 9.704 16.617 13.631 15.200 16.129 13.339 11.448
313.15 9.879 16.212 13.363 14.978 15.709 12.965 10.664
323.15 10.028 15.714 13.055 14.733 15.199 12.476 10.121
328.15 10.138 15.625 12.986 14.642 15.093 12.442 9.935
333.15 10.259 15.581 12.939 14.559 15.031 12.470 9.343
338.15 10.416 15.691 12.969 14.506 15.116 12.701 11.685
343.15 10.594 15.893 13.038 14.458 15.293 13.068 16.158
348.15 10.646 15.560 12.853 14.326 14.953 12.704 13.145
353.15 10.673 15.123 12.624 14.180 14.510 12.198 11.800
363.15 10.809 14.608 12.344 13.950 13.968 11.670 11.126
373.15 11.001 14.337 12.182 13.759 13.661 11.473 10.155
378.15 11.091 14.178 12.092 13.660 13.483 11.342 9.749
383.15 11.190 14.056 12.021 13.570 13.341 11.259 9.829
388.15 11.309 14.017 11.982 13.488 13.283 11.293 9.622
393.15 11.444 14.041 11.971 13.417 13.287 11.408 10.293
398.15 11.646 14.333 12.065 13.380 13.561 11.891 13.616
403.15 11.755 14.278 11.999 13.262 13.493 11.937 13.468
408.15 11.905 14.333 12.013 13.226 13.527 12.062 10.553
413.15 11.879 13.723 11.757 13.076 12.890 11.309 7.576
423.15 12.004 13.210 11.520 12.858 12.328 10.781 7.563
433.15 12.235 13.114 11.441 12.694 12.192 10.819 7.746
443.15 13.534 14.036 12.398 13.561 13.081 11.903 7.539
453.15 12.543 12.452 11.078 12.240 11.439 10.311 4.992
463.15 12.772 12.352 10.999 12.073 11.299 10.345 4.800
473.15 12.779 11.679 10.632 11.688 10.574 9.720 4.785
Table 6. Values of the enthalpic acid base parameters K A , K D , K D / K A and ( K D + K A ) , and the entropic acid base parameters ω A , ω D , ω D   /   ω A and ( ω D + ω A ) of PMMA as a function of the temperature.
Table 6. Values of the enthalpic acid base parameters K A , K D , K D / K A and ( K D + K A ) , and the entropic acid base parameters ω A , ω D , ω D   /   ω A and ( ω D + ω A ) of PMMA as a function of the temperature.
Atactic PMMA
T(K) K A K D K D + K A K D / K A 10 3 . ω A 10 3 . ω D 10 3 ( ω D + ω A ) ω D / ω A
303.15 0.304 1.260 1.565 4.142 0.43 0.52 0.95 1.22
313.15 0.304 1.260 1.565 4.142 0.43 0.52 0.95 1.22
323.15 0.304 1.260 1.565 4.142 0.43 0.52 0.95 1.22
328.15 0.304 1.260 1.565 4.142 0.43 0.52 0.95 1.22
333.15 -0.018 -0.033 -0.051 1.847 -0.56 -3.43 -3.99 6.16
338.15 0.317 1.459 1.775 4.602 0.46 1.09 1.56 2.36
343.15 0.317 1.459 1.775 4.602 0.46 1.09 1.56 2.36
348.15 0.317 1.459 1.775 4.602 0.46 1.09 1.56 2.36
353.15 0.317 1.459 1.775 4.602 0.46 1.09 1.56 2.36
363.15 0.317 1.459 1.775 4.602 0.46 1.09 1.56 2.36
373.15 -0.313 -1.063 -1.376 3.397 -1.23 -5.71 -6.93 4.65
378.15 -0.343 -0.508 -0.851 1.478 -1.23 -5.71 -6.93 4.65
383.15 -0.313 -1.063 -1.376 3.397 -1.23 -5.71 -6.93 4.65
388.15 0.876 3.081 3.957 3.518 1.93 6.11 8.04 3.17
393.15 0.876 3.081 3.957 3.518 1.93 6.11 8.04 3.17
398.15 0.411 1.630 2.042 3.966 0.69 1.44 2.13 2.07
403.15 0.411 1.630 2.042 3.966 0.69 1.44 2.13 2.07
408.15 0.453 3.784 4.237 8.350 0.79 6.62 7.41 8.40
413.15 0.453 3.784 4.237 8.350 0.79 6.62 7.41 8.40
423.15 -0.128 -0.259 -0.388 2.016 -0.61 -3.12 -3.73 5.13
433.15 -0.128 -0.259 -0.388 2.016 -0.61 -3.12 -3.73 5.13
443.15 0.418 1.667 2.085 3.989 0.67 1.40 2.08 2.08
453.15 0.418 1.667 2.085 3.989 0.67 1.40 2.08 2.08
463.15 0.418 1.667 2.085 3.989 0.67 1.40 2.08 2.08
473.15 0.418 1.667 2.085 3.989 0.67 1.40 2.08 2.08
Isotactic PMMA
T(K) K A K D K D + K A K D / K A 10 3 . ω A 10 3 . ω D 10 3 ( ω D + ω A ) ω D / ω A
303.15 0.344 0.717 1.060 2.084 0.61 -1.03 -0.42 -1.68
313.15 0.344 0.717 1.060 2.084 0.61 -1.03 -0.42 -1.68
323.15 0.344 0.717 1.060 2.084 0.61 -1.03 -0.42 -1.68
328.15 0.344 0.717 1.060 2.084 0.61 -1.03 -0.42 -1.68
333.15 -0.211 -1.628 -1.838 7.730 -1.08 -8.20 -9.28 7.59
338.15 0.964 3.531 4.494 3.664 2.45 7.28 9.72 2.98
343.15 0.427 1.066 1.493 2.498 0.78 1.52 2.30 1.95
348.15 0.427 1.066 1.493 2.498 0.78 1.52 2.30 1.95
353.15 0.427 1.066 1.493 2.498 0.78 1.52 2.30 1.95
363.15 0.427 1.066 1.493 2.498 0.78 1.52 2.30 1.95
373.15 0.153 -0.119 0.034 -0.778 0.12 -3.21 -3.10 -27.41
378.15 0.153 -0.119 0.034 -0.778 0.12 -3.21 -3.10 -27.41
383.15 0.153 -0.119 0.034 -0.778 0.12 -3.21 -3.10 -27.41
388.15 0.153 -0.119 0.034 -0.778 0.12 -3.21 -3.10 -27.41
393.15 0.501 1.338 1.839 2.668 1.00 0.49 1.50 0.49
398.15 0.501 1.338 1.839 2.668 1.00 0.49 1.50 0.49
403.15 0.501 1.338 1.839 2.668 1.00 0.49 1.50 0.49
408.15 0.501 1.338 1.839 2.668 1.00 0.49 1.50 0.49
413.15 0.501 1.338 1.839 2.668 1.00 0.49 1.50 0.49
423.15 0.347 0.728 1.076 2.097 1.00 0.49 1.50 0.49
433.15 0.347 0.728 1.076 2.097 0.63 -0.99 -0.37 -1.58
443.15 0.347 0.728 1.076 2.097 0.63 -0.99 -0.37 -1.58
453.15 0.347 0.728 1.076 2.097 0.63 -0.99 -0.37 -1.58
463.15 0.347 0.728 1.076 2.097 0.63 -0.99 -0.37 -1.58
473.15 0.347 0.728 1.076 2.097 0.63 -0.99 -0.37 -1.58
Syndiotactic PMMA
T(K) K A K D K D + K A K D / K A 10 3 . ω A 10 3 . ω D 10 3 ( ω D + ω A ) ω D / ω A
303.15 0.276 1.452 1.728 5.262 0.46 1.14 1.60 2.47
313.15 0.276 1.452 1.728 5.262 0.46 1.14 1.60 2.47
323.15 0.276 1.452 1.728 5.262 0.46 1.14 1.60 2.47
328.15 0.276 1.452 1.728 5.262 0.46 1.14 1.60 2.47
333.15 0.355 -7.527 -7.172 -21.189 0.69 -25.75 -25.06 -37.30
338.15 0.355 -7.527 -7.172 -21.189 0.69 -25.75 -25.06 -37.30
343.15 0.237 6.367 6.603 26.907 0.34 14.74 15.08 42.88
348.15 0.237 6.367 6.603 26.907 0.34 14.74 15.08 42.88
353.15 0.237 6.367 6.603 26.907 0.34 14.74 15.08 42.88
363.15 0.220 1.888 2.108 8.591 0.30 2.01 2.32 6.60
373.15 0.220 1.888 2.108 8.591 0.30 2.01 2.32 6.60
378.15 0.220 1.888 2.108 8.591 0.30 2.01 2.32 6.60
383.15 0.143 0.961 1.104 6.703 0.11 -0.46 -0.35 -4.25
388.15 0.143 0.961 1.104 6.703 0.11 -0.46 -0.35 -4.25
393.15 0.496 -8.578 -8.082 -17.310 1.01 -24.79 -23.79 -24.65
398.15 0.411 -8.490 -8.079 -20.645 0.79 -24.58 -23.79 -31.17
403.15 0.413 -8.464 -8.052 -20.514 0.79 -24.51 -23.72 -30.94
408.15 0.413 -8.464 -8.052 -20.514 0.79 -24.51 -23.72 -30.94
413.15 0.605 -8.652 -8.047 -14.291 1.28 -24.99 -23.71 -19.53
423.15 0.290 0.185 0.475 0.639 0.47 -2.19 -1.72 -4.69
433.15 0.259 -0.401 -0.143 -1.552 0.39 -3.54 -3.15 -8.98
443.15 0.590 5.780 6.369 9.796 1.12 10.32 11.44 9.24
453.15 0.624 6.415 7.039 10.283 1.19 11.79 12.98 9.86
463.15 0.451 1.105 1.556 2.453 0.80 0.10 0.90 0.12
473.15 0.451 1.105 1.556 2.453 0.80 0.10 0.90 0.12
Table 7. Values of the polar acid and base surface energies γ s + , γ s , and γ s A B (mJ/m2) of atactic, isotactic and syndiotactic PMMAs as a function of the temperature.
Table 7. Values of the polar acid and base surface energies γ s + , γ s , and γ s A B (mJ/m2) of atactic, isotactic and syndiotactic PMMAs as a function of the temperature.
Atactic PMMA Isotactic PMMA Syndiotactic PMMA
T(K) γ s γ s + γ s A B γ s γ s + γ s A B γ s γ s + γ s A B
303.15 203.75 108.73 297.68 123.27 90.13 210.82 151.82 69.97 206.14
313.15 183.42 101.70 273.16 115.44 84.06 197.02 143.04 65.44 193.50
323.15 169.77 96.59 256.11 109.56 79.16 186.25 133.06 59.99 178.69
328.15 167.38 95.20 252.46 112.78 80.16 190.16 130.89 59.37 176.30
333.15 171.41 95.61 256.03 125.91 86.53 208.76 129.50 59.34 175.32
338.15 156.91 90.97 238.96 106.91 75.36 179.52 130.68 61.25 178.94
343.15 146.17 87.28 225.89 100.41 71.04 168.91 133.41 64.53 185.56
348.15 137.38 84.13 215.02 95.56 67.65 160.81 127.25 60.68 175.74
353.15 130.01 81.38 205.72 89.82 63.79 151.39 119.60 55.66 163.18
363.15 118.03 76.64 190.22 84.91 59.76 142.47 110.49 50.45 149.32
373.15 111.70 73.58 181.32 83.16 57.51 138.31 105.40 48.28 142.68
378.15 118.18 74.88 188.14 85.83 58.30 141.48 102.57 46.95 138.79
383.15 129.80 77.62 200.74 87.09 58.32 142.53 100.32 46.05 135.93
388.15 107.09 70.48 173.76 89.07 58.72 144.64 99.29 46.10 135.31
393.15 94.01 65.98 157.52 93.16 60.20 149.77 99.14 46.82 136.26
398.15 87.01 63.28 148.40 84.75 55.19 136.79 102.80 50.62 144.27
403.15 81.01 60.87 140.44 80.55 52.40 129.94 101.53 50.77 143.59
408.15 80.65 61.82 141.22 77.02 49.97 124.08 101.82 51.59 144.95
413.15 73.10 57.31 129.46 74.87 48.29 120.25 92.89 45.13 129.50
423.15 73.07 56.31 128.29 72.51 45.96 115.46 85.25 40.62 117.70
433.15 78.33 57.00 133.64 70.27 43.74 110.89 83.23 40.53 116.15
443.15 56.38 48.50 104.59 62.22 38.64 98.07 94.44 48.59 135.48
453.15 45.40 43.84 89.22 60.93 37.02 94.99 73.62 36.11 103.13
463.15 39.51 40.86 80.36 62.44 36.80 95.87 71.77 36.02 101.68
473.15 30.81 36.16 66.75 56.99 33.15 86.93 63.57 31.50 89.50
Disclaimer/Publisher’s Note: The statements, opinions and data contained in all publications are solely those of the individual author(s) and contributor(s) and not of MDPI and/or the editor(s). MDPI and/or the editor(s) disclaim responsibility for any injury to people or property resulting from any ideas, methods, instructions or products referred to in the content.
Copyright: This open access article is published under a Creative Commons CC BY 4.0 license, which permit the free download, distribution, and reuse, provided that the author and preprint are cited in any reuse.
Prerpints.org logo

Preprints.org is a free preprint server supported by MDPI in Basel, Switzerland.

Subscribe

Disclaimer

Terms of Use

Privacy Policy

Privacy Settings

© 2026 MDPI (Basel, Switzerland) unless otherwise stated