Submitted:
27 March 2024
Posted:
28 March 2024
Read the latest preprint version here
Abstract
Keywords:
1. Introduction
2. Materials and Methods
2.1. Chemicals
2.2. Synthesis of Cu2+ Substituted Mg-Co Ferrites
2.3. Characterizations
2.3.1. Structural Characterizations
2.3.2. Morphological and Elemental Characterization
2.3.3. Magnetic Measurements
2.3.4. DC Electrical Resistivity
3. Results and Discussion
3.1. Identification and Interpretation of Crystal Structure by X-ray Diffraction (XRD) Analysis
3.2. Fourier Transformed Infrared (FTIR) Spectroscopy
3.3. Assessment of Morphology Using Scanning Electron Microscopy (SEM)
3.4. Magnetic Measurements

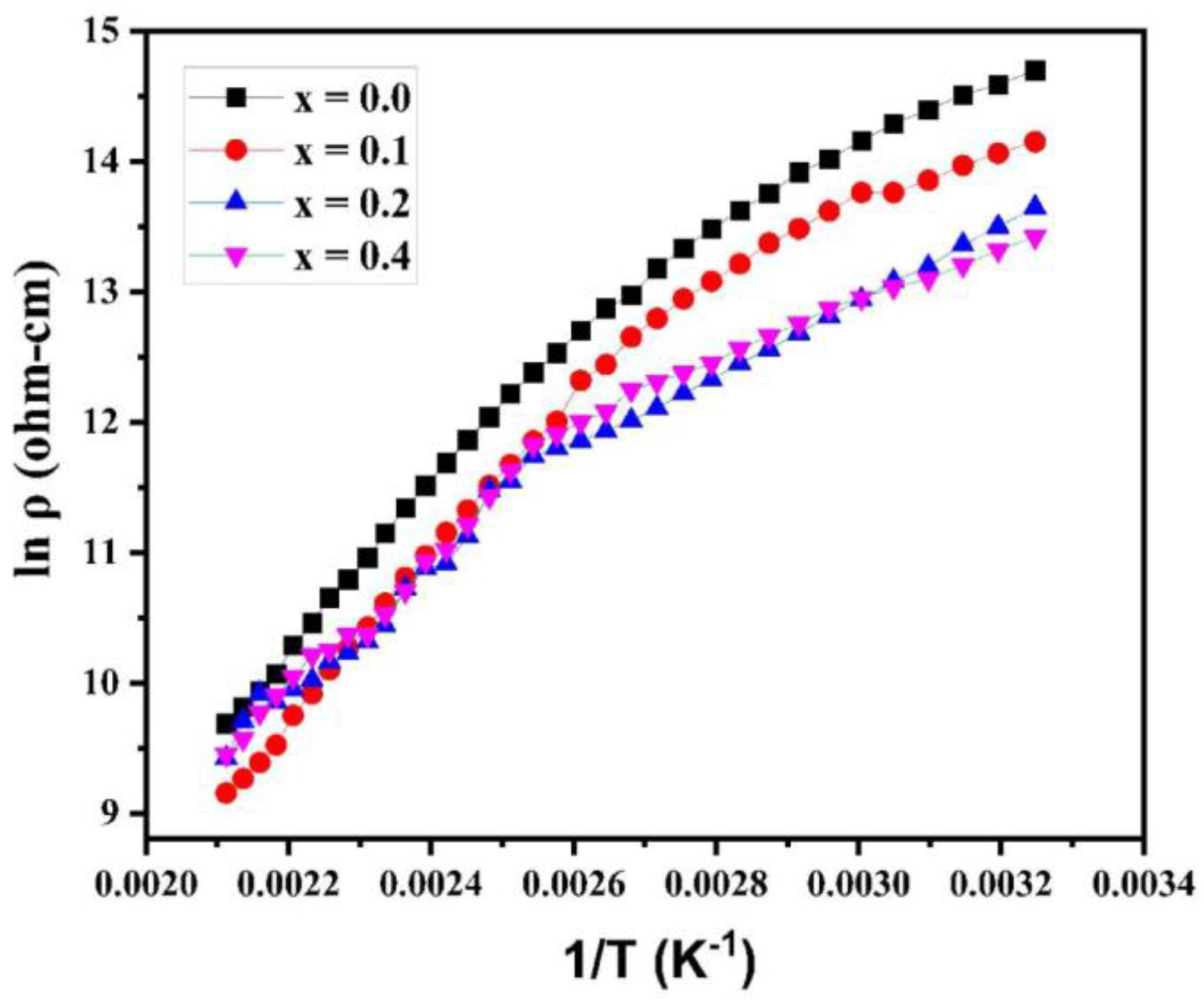
3.5. DC Electrical Resistivity Studies
4. Conclusion
Author Contributions
Funding
Institutional Review Board Statement
Informed Consent Statement
Data Availability Statement
Conflicts of Interest
References
- Reddy, D. H. K. and Yun, Y. S., 2016: Spinel ferrite magnetic adsorbents: Alternative future materials for water purification, Coordination Chemistry Reviews, 315, 90. [CrossRef]
- Chandramouli, K., Rao, P. A., Suryanarayana, B., Raghavendra, V., Mercy, S. J., Parajuli, D., Taddesse, P., Mulushoa, S. Y., Mammo, T. W. and Murali, N., 2021: Effect of Cu substitution on magnetic and DC electrical resistivity properties of Ni–Zn nanoferrites, Journal of Materials Science: Materials in Electronics, 32, 15754–15762. [CrossRef]
- Mahmoud, W. E., Shams, M., and Ali, M. F., 2016: Magnetic properties of spinel ferrites synthesized by sol-gel method, Journal of Magnetism and Magnetic Materials, 400, 38-46. [CrossRef]
- Eltabey, M. M., Massoud, A. M., and Radu, C., 2014: Microstructure and superparamagnetic properties of Mg-Ni-Cd ferrites nanoparticles, Advances in Materials Science and Engineering, Article ID 492832. [CrossRef]
- Rahman, M. A., Islam, M. T., Singh, M. S. J., Samsuzzaman Md., and Chowdhury, M. E. H., 2021: Synthesis and characterization of Mg–Zn ferrite based fexible microwave composites and its application as SNG metamaterial, Scientific Reports, 11, 7654. [CrossRef]
- Ramanjaneyulu, K., Suryanarayana, B., Raghavendra, V., Murali, N., Parajuli, D. and Chandramouli, K., 2021: Synthesis, microstructural and magnetic properties of Cu doped Mg0.5Zn0.5Fe2O4 ferrites, Solid State Technology, 64(2),7192-7200, http://solidstatetechnology.us/index.php/JSST/article/view/10932.
- Varma, P. P., Suryanarayana, B., Raghavendra, V., Parajuli, D., Murali, N. and Chandramouli, K., 2020: Effect of Cr Substitution on Magnetic Properties of Co-Cu Nano Ferrites, Solid State Technology, 63(5), 8820-8827, http://solidstatetechnology.us/index.php/JSST/article/view/7828.
- Balavijayalakshmi, J., Sudha, T., & Karthika, K. (2015). Investigation on structural and magnetic properties of cobalt doped magnesium ferrite nanoparticles.
- Ma, D., Lu, J., Fang, X., Yang, K., Wang, K., Zhang, N., Han, B., & Ding, M. (2021). Parameter Modeling Analysis of a Cylindrical Ferrite Magnetic Shield to Reduce Magnetic Noise. IEEE Transactions on Industrial Electronics, 69, 991-998. [CrossRef]
- Samir, A., Wang, J., & Fujiwara, O. (2000). A Practical Approach for Estimation of Load Effect Produced by Ferrite Core Attached to Wire above a Ground Plane. Ieej Transactions on Electronics, Information and Systems, 120, 8-13. [CrossRef]
- Tsui, F. (1962). Improving the Performance of the Sense-Amplifier Circuit Through Pre-Amplification Strobing and Noise-Matched Clipping. IRE Transactions on Electron. Comput., 11, 677-683. [CrossRef]
- Miyashita, T., Nitta, S., & Mutoh, A. (1998). Prediction of noise reduction effect of ferrite beads on electromagnetic emission from a digital PCB. 1998 IEEE EMC Symposium. International Symposium on Electromagnetic Compatibility. Symposium Record (Cat. No.98CH36253), 2, 866-871 vol.2. [CrossRef]
- Samir, A., & Fujiwara, O. (1999). Calculation of load effect produced by ferrite core attached to wire above a ground plane. 1999 Asia Pacific Microwave Conference. APMC'99. Microwaves Enter the 21st Century. Conference Proceedings (Cat. No.99TH8473), 1, 182-185 vol.1. [CrossRef]
- Schneider, C. A., Rasband, W.S., Eliceiri, K.W., 2012: NIH Image to ImageJ: 25 years of image analysis, Nature Methods, 9, 671–675. [CrossRef]
- Abraham, A. G., Manikandan, A., Manikandan, E., Vadivel, S., Jaganathan, S. K., Baykal, A. and Renganathan, P. S., 2018: Enhanced magneto-optical and photo-catalytic properties of transition metal cobalt (Co2+ ions) doped spinel MgFe2O4 ferrite nanocomposites, Journal of Magnetism and Magnetic Materials, 452, 380-388. [CrossRef]
- Kumar, S. R., Priya, G. V., Aruna, B., Raju, M. K., Parajuli, D., Murali, N., Verma, R., Batoo, K. M., Kumar, R. and Narayana, P. L., 2022: Influence of Nd3+ substituted Co0.5Ni0.5Fe2O4 ferrite on structural, morphological, dc electrical resistivity and magnetic properties, Inorganic Chemistry Communications, 136, 109132. [CrossRef]
- Shao, L., Sun, A., Zhang, Y., Yu, L., Suo, N. and Zuo, Z., 2021: Comparative study on the structure and magnetic properties of Ni-Mg-Co ferrite doped with Al and rare earth elements, Journal of Materials Science: Materials in Electronics, 32(5), 5339-5352. [CrossRef]
- Shafiee, S., Arab, A. and Riahi-Nouri, N., 2021: Enhanced magnetic permeability in Ni1−x(Zn0.6Mg0.2Cu0.2)xFe2O4 synthesized by auto combustion method, Bulletin of Materials Science, 44(2), 1-9. [CrossRef]
- Garg, A. and Pal, D., 2021: Inferring metal binding sites in flexible regions of proteins, Proteins: Structure, Function, and Bioinformatics, 89(9), 1125-1133. [CrossRef]
- Monisha, P., Priyadharshini, P., Gomathi, S. S. and Pushpanathan, K., 2021: Ferro to superparamagnetic transition: Outcome of Ni doping in polyethylene glycol capped CoFe2O4 nanoparticles, Journal of Alloys and Compounds, 856, 157447. [CrossRef]
- Komali, C., Murali, N., Parajuli, D., Ramakrishna, A., Ramakrishna, Y. and Chandramouli, K., 2021: Effect of Cu2+ substitution on structure, morphology, and magnetic properties of Mg-Zn spinel ferrite, Indian Journal of Science and Technology, 14(27), 2309-2316. [CrossRef]
- Hankare, P. P., Patil, R. P., Jadhav, A.V., Pandav, R. S., Garadkar, K. M., Sasikala, R. and Tripathi, A. K., 2011: Synthesis and characterization of nanocrystalline Ti-substituted Zn ferrite, Journal of Alloys and Compounds, 509, 2160-2163. [CrossRef]
- Thorat, L. M., Patil, J. Y., Nadargi, D. Y., Ghodake, U. R., Kambale, R. C. and Suryavanshi, S. S., 2018: Co2+ substituted Mg–Cu–Zn ferrite: Evaluation of structural, magnetic, and electromagnetic properties, Journal of Advanced Ceramics, 7(3), 207-217. [CrossRef]
- Hoyos-Sifuentes, D. H., Resendiz-Hernandez, P. J., Diaz-Guillen, J. A., Ochoa-Palacios, R. M. and, Altamirano-Guerrero, G., 2022: Synthesis and characterization of MgFe2O4 nanoparticles and PEG-coated MgFe2O4 nanocomposite, Journal of Materials Research and Technology, 18, 3130-3142. [CrossRef]
- Balavijayalakshmi, J., and Sudha, T., 2017: Effect of Cobalt Substitution on Structural and Magnetic Properties of Magnesium Ferrite Nanoparticles. In: Ebenezar, J. (eds) Recent Trends in Materials Science and Applications,Springer Proceedings in Physics, 189, 289-297. [CrossRef]
- Xavier, S., Thankachan, S., Jacob, B. P. and Mohammed, E. M., 2013: Effect of sintering temperature on the structural and magnetic properties of cobalt ferrite nanoparticles, Nanosystems: Physics; Chemistry; Mathematics, 4(3), 430–437, https://cyberleninka.ru/article/n/effect-of-sintering-temperature-on-the-structural-and-magnetic-properties-of-cobalt-ferrite-nanoparticles.
- Vergis, B. R., Kottam, N., Krishna, R. H., and Kumar, G. A., 2021: Comparison of magnetic and dielectric properties of transition metal nanospinel ferrites, MFe2O4, (M = Co, Cu, Ni, Zn) synthesized by one-pot combustion route, Materials Today: Proceedings, 49, 870-877. [CrossRef]
- Bharathi R. V., Raju M. K., Uppugalla S., Raghavendra V., Parajuli D., Suryanarayana B., Mulushoa S. Y., Murali N., and Samatha K., 2023: Cu2+ substituted Mg-Co ferrite has improved dc electrical resistivity and magnetic properties, Inorganic Chemistry Communications, 149, 110452. [CrossRef]
- Kaiser, M., Hashhash, A. and Hassan, H. E., 2021: Dielectric behavior and complex impedance analysis of Ti-doped Mg0.5Cu0.5Mn0.4Fe1.6O4 ferrites, Applied Physics A, 127(3), 1-13. [CrossRef]
- Parajuli, D., Murali, N., Rao A. V., Ramakrishna, A., Mulushoa S, Y., Samatha, K., 2022: Structural, dc electrical resistivity and magnetic investigation of Mg, Ni, and Zn substituted Co-Cu nano spinel ferrites, South African Journal of Chemical Engineering, 42, 106-114. [CrossRef]








| Parameters | x = 0.0 | x = 0.1 | x = 0.2 | x = 0.3 |
|---|---|---|---|---|
|
Lattice constant a (Å) |
8.3720 | 8.3828 | 8.3614 | 8.3912 |
| Vcell (Å3) | 586.79 | 589.07 | 584.57 | 590.84 |
| Crystallite size (nm) | 57.29 | 51.32 | 49.91 | 48.57 |
| Composition (x) | x = 0.0 | x = 0.1 | x = 0.2 | x = 0.3 |
|---|---|---|---|---|
| Tetrahedral ʋ1 (cm -1) | 572.88 | 574.81 | 579.63 | 582.52 |
|
Octahedral ʋ2 (cm -1) |
410.24 | 407.96 | 406.03 | 401.56 |
| Parameters | x = 0.0 | x = 0.1 | x = 0.2 | x = 0.3 |
|---|---|---|---|---|
| Magnetization Ms [emu/g] | 19.95 | 23.68 | 20.30 | 25.64 |
|
Coercivity Hc (Oe) |
157 | 266 | 256 | 193 |
| Parameters | x = 0.0 | x = 0.1 | x = 0.2 | x = 0.3 |
|---|---|---|---|---|
| Activation Energy (eV) | 0.430 | 0.408 | 0.386 | 0.362 |
Disclaimer/Publisher’s Note: The statements, opinions and data contained in all publications are solely those of the individual author(s) and contributor(s) and not of MDPI and/or the editor(s). MDPI and/or the editor(s) disclaim responsibility for any injury to people or property resulting from any ideas, methods, instructions or products referred to in the content. |
© 2024 by the authors. Licensee MDPI, Basel, Switzerland. This article is an open access article distributed under the terms and conditions of the Creative Commons Attribution (CC BY) license (http://creativecommons.org/licenses/by/4.0/).