Submitted:
02 March 2024
Posted:
05 March 2024
You are already at the latest version
Abstract
Keywords:
1. Introduction
2. Materials and Methods
2.1. Glass Synthesis
2.2. Thermal Analysis
2.3. Structural and Morphological Characterization
2.4. Electrical Characterization
2.5. In Vitro Bioactivity Evaluation
3. Results and Discussion
3.1. Thermal Analysis
3.2. Structural Characterization
3.3. Morphological Characterization
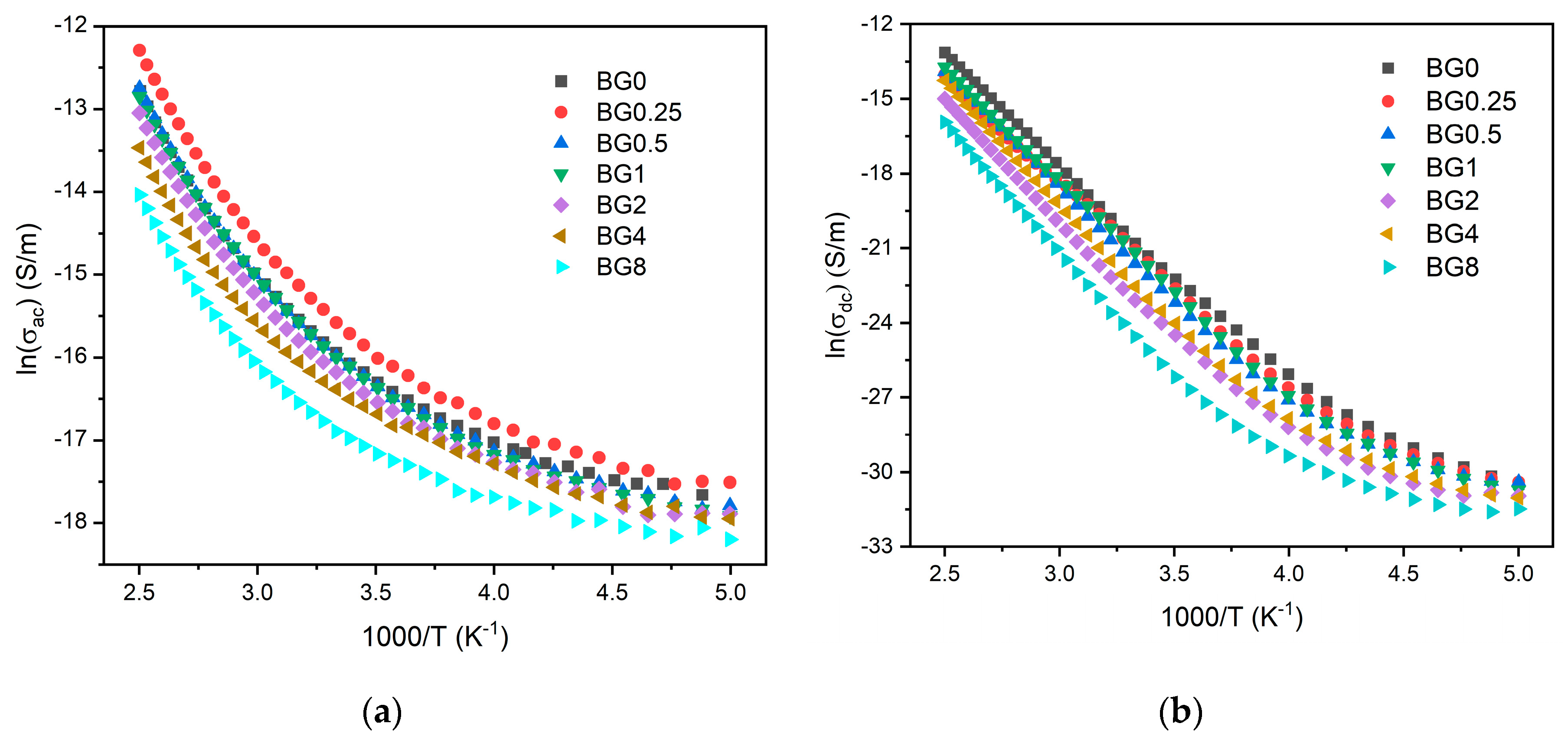
3.4. Electrical Properties
3.5. In Vitro Bioactivity Evaluation
4. Conclusions
Author Contributions
Funding
Institutional Review Board Statement
Data Availability Statement
Conflicts of Interest
References
- Civantos, A.; Martínez-Campos, E.; Ramos, V.; Elvira, C.; Gallardo, A.; Abarrategi, A. Titanium Coatings and Surface Modifications: Toward Clinically Useful Bioactive Implants. ACS Biomater. Sci. Eng. 2017, 3, 1245–1261. [Google Scholar] [CrossRef] [PubMed]
- Becerikli, M.; Jaurich, H.; Wallner, C.; Wagner, J.M.; Dadras, M.; Jettkant, B.; Pöhl, F.; Seifert, M.; Jung, O.; Mitevski, B. P2000-A High-Nitrogen Austenitic Steel for Application in Bone Surgery. Plos one 2019, 14, e0214384. [Google Scholar] [CrossRef]
- Petersen, R.C. Titanium Implant Osseointegration Problems with Alternate Solutions Using Epoxy/Carbon-Fiber-Reinforced Composite. Metals 2014, 4, 549–569. [Google Scholar] [CrossRef] [PubMed]
- Ramakrishna, S.; Ramalingam, M.; Kumar, T.S.; Soboyejo, W.O. Biomaterials: A Nano Approach, CRC press, 2016.
- Singh, N.; Hameed, P.; Ummethala, R.; Manivasagam, G.; Prashanth, K.G.; Eckert, J. Selective Laser Manufacturing of Ti-Based Alloys and Composites: Impact of Process Parameters, Application Trends, and Future Prospects. Materials Today Advances 2020, 8, 100097. [Google Scholar] [CrossRef]
- Gbejuade, H.O.; Lovering, A.M.; Webb, J.C. The Role of Microbial Biofilms in Prosthetic Joint Infections. Acta Orthopaedica 2015, 147–158. [Google Scholar] [CrossRef]
- S, S.; J, J.; X, G.; Y, Z.; D, C.; Y, G.; X, Z. Reduced Staphylococcus Aureus Biofilm Formation in the Presence of Chitosan-Coated Iron Oxide Nanoparticles. International Journal of Nanomedicine 2016, Volume 11, 6499–6506. [Google Scholar]
- Davidson, D.J.; Spratt, D.; Liddle, A.D. Implant Materials and Prosthetic Joint Infection: The Battle with the Biofilm. EFORT Open Reviews 2019, 4, 633. [Google Scholar] [CrossRef]
- Sriyutha Murthy, P.; Venugopalan, V.P.; Das; Arunya, D.; Dhara, S.; Pandiyan, R.; Tyagi, A.K. Antibiofilm Activity of Nano Sized CuO. Proceedings of the International Conference on Nanoscience, Engineering and Technology, ICONSET 2011 2011, 580–583. [CrossRef]
- Wang, Z.; Shen, Y.; Haapasalo, M. Dental Materials with Antibiofilm Properties. Dental Materials 2014, 30, e1–e16. [Google Scholar] [CrossRef]
- Hench, L.L. The Story of Bioglass®. Journal of Materials Science: Materials in Medicine 2006, 17, 967–978. [Google Scholar] [CrossRef]
- Hench, L.L. An Introduction to Bioceramics, Second edition.; Imperial College Press: London, 2013; ISBN 978-1-908977-15-1. [Google Scholar]
- Hench, L.L.; Greenspan, D. Interactions between Bioactive Glass and Collagen: A Review and New Perspectives. Journal of the Australian Ceramic Society 2013, 49, 1–40. [Google Scholar] [CrossRef]
- Hench, L.L. An Introduction to Bioceramics, Second Edition. An Introduction to Bioceramics, Second Edition 2013, 1–600. [CrossRef]
- Bellucci, D.; Sola, A.; Anesi, A.; Salvatori, R.; Chiarini, L.; Cannillo, V. Bioactive Glass/Hydroxyapatite Composites: Mechanical Properties and Biological Evaluation. Materials Science and Engineering: C 2015, 51, 196–205. [Google Scholar] [CrossRef]
- Gerhardt, L.-C.; Boccaccini, A.R. Bioactive Glass and Glass-Ceramic Scaffolds for Bone Tissue Engineering. Materials 2010, 3, 3867–3910. [Google Scholar] [CrossRef] [PubMed]
- Balamurugan, A.; Balossier, G.; Laurent-Maquin, D.; Pina, S.; Rebelo, A.H.S.; Faure, J.; Ferreira, J.M.F. An in Vitro Biological and Anti-Bacterial Study on a Sol-Gel Derived Silver-Incorporated Bioglass System. undefined 2008, 24, 1343–1351. [Google Scholar] [CrossRef] [PubMed]
- Zafar, M.S.; Farooq, I.; Awais, M.; Najeeb, S.; Khurshid, Z.; Zohaib, S. Chapter 11 - Bioactive Surface Coatings for Enhancing Osseointegration of Dental Implants. In Biomedical, Therapeutic and Clinical Applications of Bioactive Glasses; Kaur, G., Ed.; Woodhead Publishing Series in Biomaterials; Woodhead Publishing, 2019; pp. 313–329 ISBN 978-0-08-102196-5.
- Guglielmotti, M.B.; Olmedo, D.G.; Cabrini, R.L. Research on Implants and Osseointegration. Periodontology 2000 2019, 79, 178–189. [Google Scholar] [CrossRef] [PubMed]
- El-Ghannam, A.; Ducheyne, P.; Shapiro, I.M. Effect of Serum Proteins on Osteoblast Adhesion to Surface-Modified Bioactive Glass and Hydroxyapatite. Journal of Orthopaedic Research 1999, 17, 340–345. [Google Scholar] [CrossRef] [PubMed]
- Bücheler, M.; Haisch, A. Tissue Engineering in Otorhinolaryngology. DNA and Cell Biology 2003, 22, 549–564. [Google Scholar] [CrossRef] [PubMed]
- Leung, Y.H.; Ng, A.M.; Xu, X.; Shen, Z.; Gethings, L.A.; Wong, M.T.; Chan, C.M.; Guo, M.Y.; Ng, Y.H.; Djurišić, A.B. Mechanisms of Antibacterial Activity of MgO: Non-ROS Mediated Toxicity of MgO Nanoparticles towards Escherichia Coli. Small 2014, 10, 1171–1183. [Google Scholar] [CrossRef] [PubMed]
- Tian, T.; Wu, C.; Chang, J. Preparation and in Vitro Osteogenic, Angiogenic and Antibacterial Properties of Cuprorivaite (CaCuSi 4 O 10, Cup) Bioceramics. RSC advances 2016, 6, 45840–45849. [Google Scholar] [CrossRef]
- Hammami, I.; Gavinho, S.R.; Pádua, A.S.; Sá-Nogueira, I.; Silva, J.C.; Borges, J.P.; Valente, M.A.; Graça, M.P.F. Bioactive Glass Modified with Zirconium Incorporation for Dental Implant Applications: Fabrication, Structural, Electrical, and Biological Analysis. International Journal of Molecular Sciences 2023, 24, 10571. [Google Scholar] [CrossRef]
- Aghili, F.; Hoomehr, B.; Saidi, R.; Raeissi, K. Synthesis and Electrophoretic Deposition of Zinc Oxide and Zinc Oxide-Bioactive Glass Composite Nanoparticles on AZ31 Mg Alloy for Biomedical Applications. Ceramics International 2022, 48, 34013–34024. [Google Scholar] [CrossRef]
- Tabia, Z.; Mabrouk, K.E.; Bricha, M.; Nouneh, K. Mesoporous Bioactive Glass Nanoparticles Doped with Magnesium: Drug Delivery and Acellular in Vitro Bioactivity. RSC Advances 2019, 9, 12232–12246. [Google Scholar] [CrossRef] [PubMed]
- Hammami, I.; Gavinho, S.R.; Pádua, A.S.; Graça, M.P.F.; Silva, J.C. Synthesis and Characterization of Iron Containing Bioactive Glass for Implants. In Proceedings of the 2022 E-Health and Bioengineering Conference (EHB); IEEE, 2022; pp. 1–4.
- Fernandes, G.V.; de, O.; Alves, G.; Linhares, A.B.R.; Prado da Silva, M.H.; Granjeiro, J.M. Evaluation of Cytocompatibility of Bioglass-Niobium Granules with Human Primary Osteoblasts: A Multiparametric Approach. In Proceedings of the Key engineering materials; Trans Tech Publ, 2012; Vol. 493, pp. 37–42.
- Chitra, S.; Bargavi, P.; Balasubramaniam, M.; Chandran, R.R.; Balakumar, S. Impact of Copper on In-Vitro Biomineralization, Drug Release Efficacy and Antimicrobial Properties of Bioactive Glasses. Materials science & engineering. C, Materials for biological applications 2020, 109. [Google Scholar] [CrossRef]
- Hammami, I.; Gavinho, S.R.; Jakka, S.K.; Valente, M.A.; Graça, M.P.F.; Pádua, A.S.; Silva, J.C.; Sá-Nogueira, I.; Borges, J.P. Antibacterial Biomaterial Based on Bioglass Modified with Copper for Implants Coating. Journal of Functional Biomaterials 2023, 14, 369. [Google Scholar] [CrossRef]
- Bari, A.; Bloise, N.; Fiorilli, S.; Novajra, G.; Vallet-Regí, M.; Bruni, G.; Torres-Pardo, A.; González-Calbet, J.M.; Visai, L.; Vitale-Brovarone, C. Copper-Containing Mesoporous Bioactive Glass Nanoparticles as Multifunctional Agent for Bone Regeneration. Acta Biomaterialia 2017, 55, 493–504. [Google Scholar] [CrossRef] [PubMed]
- Kaur, G.; Sriranganathan, N.; Waldrop, S.G.; Sharma, P.; Chudasama, B.N. Effect of Copper on the Up-Regulation/down-Regulation of Genes, Cytotoxicity and Ion Dissolution for Mesoporous Bioactive Glasses. Biomedical Materials 2017, 12, 045020. [Google Scholar] [CrossRef]
- Miola, M.; Verné, E.; Ciraldo, F.E.; Cordero-Arias, L.; Boccaccini, A.R. Electrophoretic Deposition of Chitosan/45S5 Bioactive Glass Composite Coatings Doped with Zn and Sr. Frontiers in bioengineering and biotechnology 2015, 3, 159. [Google Scholar] [CrossRef]
- Gupta, N.; Santhiya, D.; Murugavel, S.; Kumar, A.; Aditya, A.; Ganguli, M.; Gupta, S. Effects of Transition Metal Ion Dopants (Ag, Cu and Fe) on the Structural, Mechanical and Antibacterial Properties of Bioactive Glass. Colloids and Surfaces A: Physicochemical and Engineering Aspects 2018, 538, 393–403. [Google Scholar] [CrossRef]
- Akhtach, S.; Tabia, Z.; El Mabrouk, K.; Bricha, M.; Belkhou, R. A Comprehensive Study on Copper Incorporated Bio-Glass Matrix for Its Potential Antimicrobial Applications. Ceramics International 2021, 47, 424–433. [Google Scholar] [CrossRef]
- Solioz, M. Copper Oxidation State and Mycobacterial Infection. Mycobact Dis 2016, 6. [Google Scholar] [CrossRef]
- Vincent, M.; Duval, R. e.; Hartemann, P.; Engels-Deutsch, M. Contact Killing and Antimicrobial Properties of Copper. Journal of Applied Microbiology 2018, 124, 1032–1046. [Google Scholar] [CrossRef] [PubMed]
- Mathews, S.; Kumar, R.; Solioz, M. Copper Reduction and Contact Killing of Bacteria by Iron Surfaces. Appl Environ Microbiol 2015, 81, 6399–6403. [Google Scholar] [CrossRef] [PubMed]
- Silva, C.C.; Valente, M.A.; Graça, M.P.F.; Sombra, A.S.B. Preparation and Optical Characterization of Hydroxyapatite and Ceramic Systems with Titanium and Zirconium Formed by Dry High-Energy Mechanical Alloying. Solid State Sciences 2004, 6, 1365–1374. [Google Scholar] [CrossRef]
- Graça, M.P.F.; Prezas, P.R.; Costa, M.M.; Valente, M.A. Structural and Dielectric Characterization of LiNbO3 Nano-Size Powders Obtained by Pechini Method. J Sol-Gel Sci Technol 2012, 64, 78–85. [Google Scholar] [CrossRef]
- El-Mallawany, R.A. Tellurite Glasses Handbook: Physical Properties and Data, CRC press, 2014.
- Feroci, M. Investigation of the Role of Electrogenerated N-Heterocyclic Carbene in the Staudinger Synthesis in Ionic Liquid. International Journal of Organic Chemistry 2011, 1, 191. [Google Scholar] [CrossRef]
- Barsoukov, E.; Macdonald, J.R. Impedance Spectroscopy: Theory, Experiment, and Applications; John Wiley & Sons, 2018.
- Graça, M.P.F.; da Silva, M.F.; Sombra, A.S.B.; Valente, M.A. Electric and Dielectric Properties of a SiO2–Na2O–Nb2O5 Glass Subject to a Controlled Heat-Treatment Process. Physica B: Condensed Matter 2007, 396, 62–69. [Google Scholar] [CrossRef]
- Hammami, I.; Sales, A.M.J.; Benhamou, K.; Arous, M.; Costa, L.C.; da Cruz, J.A.; Kaddami, H. Dielectric Response and Molecular Dynamics of Nanocomposites Based on TEMPO-Oxidized Cellulose Nanofibrils and Polyvinyl Acetate. Thermal Science and Engineering Progress 2022, 34, 101428. [Google Scholar] [CrossRef]
- Macdonald, Jr. Emphasizing Solid Materials and Systems. Impedance Spectroscopy; John Wiley & Sons Inc.: New York, NY, USA, 1987. [Google Scholar]
- Gavinho, S.R.; Graça, M.P.F.; Prezas, P.R.; Kumar, J.S.; Melo, B.M.G.; Sales, A.J.M.; Almeida, A.F.; Valente, M.A. Structural, Thermal, Morphological and Dielectric Investigations on 45S5 Glass and Glass-Ceramics. Journal of Non-Crystalline Solids 2021, 562, 120780. [Google Scholar] [CrossRef]
- Wers, E.; Oudadesse, H.; Lefeuvre, B.; Lucas-Girot, A.; Rocherullé, J.; Lebullenger, R. Excess Entropy and Thermal Behavior of Cu- and Ti-Doped Bioactive Glasses. Journal of Thermal Analysis and Calorimetry 2014, 117, 579–588. [Google Scholar] [CrossRef]
- Mokhtari, S.; Wren, A.W.; Kazuo, S.M. Copper Containing Glass-Based Bone Adhesives for Orthopaedic Applications: Glass Characterization and Advanced Mechanical Evaluation. bioRxiv, 2020; 2020.11.19.390138. [Google Scholar] [CrossRef]
- Görlich, E. The Effective Nuclear Charges and Their Relation to the Pauling’s Electronegativity Scale. Zeitschrift für Physikalische Chemie 1989, 270O, 384–388. [Google Scholar] [CrossRef]
- Saleem, M.F.; Haleem, Y.A.; Sun, W.; Ma, L.; Wang, D. Surface-Enhanced Resonance Raman Scattering in Partially Oxidized Thin Copper Film. Journal of Raman Spectroscopy 2020, 51, 1286–1294. [Google Scholar] [CrossRef]
- Dziadek, M.; Zagrajczuk, B.; Jelen, P.; Olejniczak, Z.; Cholewa-Kowalska, K. Structural Variations of Bioactive Glasses Obtained by Different Synthesis Routes. Ceramics international 2016, 42, 14700–14709. [Google Scholar] [CrossRef]
- Aguiar, H.; Serra, J.; González, P.; León, B. Structural Study of Sol–Gel Silicate Glasses by IR and Raman Spectroscopies. Journal of Non-Crystalline Solids 2009, 355, 475–480. [Google Scholar] [CrossRef]
- Araujo, M.S.; Silva, A.C.; Bartolomé, J.F.; Mello-Castanho, S. Structural and Thermal Behavior of 45S5 Bioglass®-Based Compositions Containing Alumina and Strontium. Journal of the American Ceramic Society 2020, 103, 3620–3630. [Google Scholar] [CrossRef]
- Aguiar, H.; Solla, E.L.; Serra, J.; González, P.; León, B.; Almeida, N.; Cachinho, S.; Davim, E.J.C.; Correia, R.; Oliveira, J.M. Orthophosphate Nanostructures in SiO2–P2O5–CaO–Na2O–MgO Bioactive Glasses. Journal of Non-Crystalline Solids 2008, 354, 4075–4080. [Google Scholar] [CrossRef]
- Khor, S.F.; Talib, Z.A.; Daud, W.M.; Sidek, H.A.A.; Ng, B.H. Effects of MgO on Dielectric Properties and Electrical Conductivity of Ternary Zinc Magnesium Phosphate Glasses. Journal of non-crystalline solids 2009, 355, 2533–2539. [Google Scholar] [CrossRef]
- Kumari, K.; Prasad, A.; Kumari, K.; Prasad, K. Dielectric, Impedance/Modulus and Conductivity Studies on [Bi 0.5 (Na 1-x K x ) 0.5 ] 0.94 Ba 0.06 TiO 3, (0.16 ≤ x ≤0.20) Lead-Free Ceramics. American Journal of Materials Science 2016, 6, 1–18. [Google Scholar] [CrossRef]
- Obata, A.; Nakamura, S.; Moriyoshi, Y.; Yamashita, K. Electrical Polarization of Bioactive Glass and Assessment of Their in Vitro Apatite Deposition. Journal of Biomedical Materials Research Part A: An Official Journal of The Society for Biomaterials, The Japanese Society for Biomaterials, and The Australian Society for Biomaterials and the Korean Society for Biomaterials 2003, 67, 413–420. [Google Scholar] [CrossRef]
- Hammami, I.; Gavinho, S.R.; Pádua, A.S.; Lança, M. do C.; Borges, J.P.; Silva, J.C.; Sá-Nogueira, I.; Jakka, S.K.; Graça, M.P.F. Extensive Investigation on the Effect of Niobium Insertion on the Physical and Biological Properties of 45S5 Bioactive Glass for Dental Implant. International Journal of Molecular Sciences 2023, 24, 5244. [Google Scholar] [CrossRef]
- Dorozhkin, S.V.; Epple, M. Biological and Medical Significance of Calcium Phosphates. Angewandte Chemie International Edition 2002, 41, 3130–3146. [Google Scholar] [CrossRef] [PubMed]
- Boukha, Z.; Yeste, M.P.; Cauqui, M.Á.; González-Velasco, J.R. Influence of Ca/P Ratio on the Catalytic Performance of Ni/Hydroxyapatite Samples in Dry Reforming of Methane. Applied Catalysis A: General 2019, 580, 34–45. [Google Scholar] [CrossRef]
- Beaufils, S.; Rouillon, T.; Millet, P.; Le Bideau, J.; Weiss, P.; Chopart, J.-P.; Daltin, A.-L. Synthesis of Calcium-Deficient Hydroxyapatite Nanowires and Nanotubes Performed by Template-Assisted Electrodeposition. Materials Science and Engineering: C 2019, 98, 333–346. [Google Scholar] [CrossRef] [PubMed]









| Samples | Tg (K) | Tc (K) | Tm (K) |
|---|---|---|---|
| BG0 [47] | 825 | 1001 | 1448 |
| BG2 | 782 | 965 | 1412 |
| BG8 | 777 | 913 | 1371 |
| Sample | ε’ | tan δ (10−2) | σac (10−6) [S/m] |
Ea (AC) [kJ/mol] |
σdc (10−9) [S/m] |
Ea (DC) [kJ/mol] |
|---|---|---|---|---|---|---|
| (300 K; 10 kHz) | (10 kHz) | (300 K) | ||||
| BG0 | 13.59±0.72 | 1.58±0.02 | 11.92±0.01 | 37.95±0.98 | 0.91±0.08 | 75.82±0.79 |
| BG0.25 | 13.75±1.42 | 2.21±0.01 | 17.12±0.03 | 38.89±0.73 | 1.27±0.11 | 74.27±0.77 |
| BG0.5 | 11.12±1.24 | 1.81±0.06 | 11.37±0.04 | 38.05±0.79 | 1.02±0.13 | 77.24±0.11 |
| BG1 | 10.14±0.98 | 2.01±0.03 | 11.23±0.02 | 37.37±0.70 | 1.07±0.15 | 77.12±0.38 |
| BG2 | 12.66±1.32 | 1.32±0.05 | 9.46±0.08 | 37.32±0.85 | 0.23±0.05 | 83.51±0.12 |
| BG4 | 12.26±0.83 | 1.14±0.07 | 7.66±0.05 | 37.81±0.86 | 0.28±0.09 | 84.00±0.19 |
| BG8 | 12.34±1.12 | 0.64±0.02 | 4.61±0.09 | 34.53±0.88 | 0.06±0.001 | 87.47 ±0.26 |
| Samples | Si (at. %) | Na (at. %) | Ca/P | ||||||
|---|---|---|---|---|---|---|---|---|---|
| 0 h | 96 h | 336 h | 0 h | 96 h | 336 h | 0 h | 96 h | 336 h | |
| BG0 | 11.62±1.1 | 1.12±0.5 | 0.11±0.01 | 15.43±1.1 | 3.53±0.8 | 1.31±0.1 | 7.02±0.9 | 2.05±0.3 | 1.78±0.7 |
| BG0.25 | 11.60±0.9 | 1.43±0.3 | 0.52±0.08 | 15.17±1.3 | 3.73±0.7 | 1.27±0.5 | 5.94±0.7 | 1.77±0.5 | 1.71±0.8 |
| BG0.5 | 11.58±0.7 | 1.14±0.7 | 0.14±0.03 | 15.14±0.9 | 3.13±0.4 | 1.26±0.7 | 5.84±0.7 | 1.71±0.8 | 1.70±0.3 |
| BG1 | 10.23±1.3 | 1.29±0.1 | 0.06±0.01 | 14.91±1.5 | 4.07±0.3 | 1.49±0.3 | 6.66±0.5 | 1.80±0.7 | 1.75±0.4 |
| BG2 | 9.25±0.8 | 1.47±0.2 | 0.1±0.04 | 15.42±1.7 | 3.76±0.1 | 1.22±0.2 | 6.87±0.3 | 1.74±0.4 | 1.73±0.5 |
| BG4 | 10.27±0.6 | 1.03±0.7 | 0.08±0.01 | 13.97±1.2 | 3.97±0.9 | 1.18±0.8 | 6.81±0.9 | 1.81±0.6 | 1.78±0.9 |
| BG8 | 9.34±1.2 | 1.09±0.3 | 0.07±0.02 | 14.84±1.3 | 4.32±0.2 | 1.68±0.9 | 6.71±0.4 | 1.83±0.5 | 1.79±0.2 |
Disclaimer/Publisher’s Note: The statements, opinions and data contained in all publications are solely those of the individual author(s) and contributor(s) and not of MDPI and/or the editor(s). MDPI and/or the editor(s) disclaim responsibility for any injury to people or property resulting from any ideas, methods, instructions or products referred to in the content. |
© 2024 by the authors. Licensee MDPI, Basel, Switzerland. This article is an open access article distributed under the terms and conditions of the Creative Commons Attribution (CC BY) license (http://creativecommons.org/licenses/by/4.0/).