Submitted:
26 February 2024
Posted:
26 February 2024
You are already at the latest version
Abstract
Keywords:
1. Introduction
2. Pilot study
3. Study 1
3.1. Method
3.1.1. Participants
3.1.2. Materials and Tasks
Self-reported scales
3.1.3. Experimental procedure
3.1.4. Data analysis
3.2. Results
3.2.1. Demographic data
3.2.2. Behavioral results
3.3. Discussion
4. Study 2
4.1. Method
4.1.1. Participants
4.1.2. Materials and Tasks
Self-reported scales
4.1.3. Experimental procedure
4.1.4. EEG data acquisition
4.1.5. Data analysis
4.2. Results
4.2.1. Demographic data
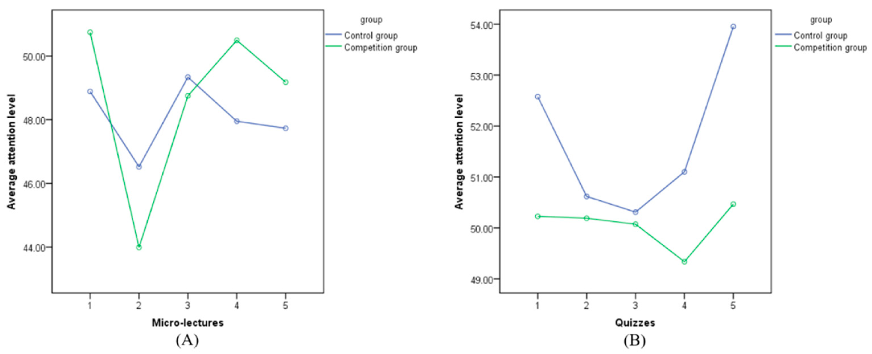
4.2.2. Behavioral results
4.3. Discussion
5. The comparison for two universities
6. General Discussion
7. Limitations and future research
8. Conclusions
Funding
Institutional Review Board Statement
Informed Consent Statement
Data Availability Statement
Acknowledgments
Conflicts of Interest
References
- Chang, B., Chuang, M. T., & Ho, S. Understanding students’ competition preference in multiple-mice supported classroom. Journal of Educational Technology & Society 2013, 16, 171–182.
- Kc, R. P., Kunter, M., & Mak, V. The influence of a competition on noncompetitors. Proceedings of the National Academy of Sciences 2018, 115, 2716–2721.
- Sun, Z. , Bai, T., Yu, W., Zhou, J., Zhang, M., and Shen, M. Attentional bias in competitive situations: winner does not take all. Front. Psychol. 2015, 6, 1469. [Google Scholar] [CrossRef] [PubMed]
- Posselt, J. R. , and Lipson, S. K. Competition, anxiety, and depression in the college classroom: variations by student identity and field of study. J. Coll. Stud. Dev. 2016, 57, 973–989. [Google Scholar] [CrossRef]
- Epstein, J. A. , and Harackiewicz, J. M. Winning is not enough: the effects of competition and achievement orientation on intrinsic interest. Pers. Soc. Psychol. Bull. 1992, 18, 128–138. [Google Scholar] [CrossRef]
- Quach, A. S. , Epstein, N. B., Riley, P. J., Falconier, M. K., and Fang, X. Effects of parental warmth and academic pressure on anxiety and depression symptoms in Chinese adolescents. J. Child Fam. Stud. 2015, 24, 106–116. [Google Scholar] [CrossRef]
- Pekrun, R. Progress and open problems in educational emotion research. Learn. Instr. 2005, 15, 497–506. [Google Scholar] [CrossRef]
- Davis, J. A. The campus as a frog pond: an application of the theory of relative deprivation to career decisions of college men. Am. J. Sociol. 1966, 72, 17–31. [Google Scholar] [CrossRef]
- Pekrun, R. The control-value theory of achievement emotions: assumptions, corollaries, and implications for educational research and practice. Educ. Psychol. Rev. 2006, 18, 315–341. [Google Scholar] [CrossRef]
- Ames, C. , and Archer, J. Achievement goals in the classroom: students’ learning strategies and motivation processes. J. Educ. Psychol. 1988, 80, 260–267. [Google Scholar] [CrossRef]
- Wang, X. H. , & Yang, B. Z. Why competition may discourage students from learning? A behavioural economic analysis. Education Economics 2003, 11, 117–128. [Google Scholar]
- Kai, J. The origin and consequences of excess competition in education: A mainland Chinese perspective. Chinese Education & Society 2012, 45, 8–20. [Google Scholar]
- Schiefele, U. , Schaffner, E., Moller, J., & Wigfield, A. Dimensions of reading motivation and their relation to reading behavior and competence. Reading Research Quarterly 2012, 47, 427–463. [Google Scholar]
- Nebel, S. , Schneider, S., & Rey, G. R. From duels to classroom competition: Social competition and learning in educational videogames within different group sizes. Computers in Human Behavior 2016, 55, 384–398. [Google Scholar]
- Lam, S. , Yim, P., Law, J. S. F., & Cheung, R. W. Y. The effects of competition on achievement motivation in Chinese classrooms. British Journal of Educational Psychology 2004, 74, 281–296. [Google Scholar]
- Tauer, J. M. , & Harackiewicz, J. M. The effects of cooperation and competition on intrinsic motivation and performance. Journal of personality and social psychology 2004, 86, 849. [Google Scholar] [PubMed]
- Agasisti, T. , & Murtinu, S. ‘Perceived’ competition and performance in Italian secondary schools: New evidence from OECD—PISA 2006. British Educational Research Journal 2012, 38, 841–858. [Google Scholar]
- Akpinar, M. , Del Campo, C., & Eryarsoy, E. Learning effects of an international group competition project. Innovations in Education and Teaching International 2015, 52, 160–171. [Google Scholar]
- He, L. X. , Zhang, Q., and Wang, C. K. The relationship between competition-cooperation and academic achievement: a mediator role of academic self-concept. Psychol. Explor. 2011, 31, 172–175. [Google Scholar]
- Burguillo, J. C. Using game-theory and competition-based learning to stimulate student motivation and performance. Comput. Educ. 2010, 55, 566–575. [Google Scholar]
- Olitsky, S. The role of fictive kinship relationships in mediating classroom competition and supporting reciprocal mentoring. Cult. Stud. Sci. Educ. 2011, 6, 883–894. [Google Scholar] [CrossRef]
- Craig, G. J. (1967). The effect of distribution of rewards, grade level and achievement level on small group applicational problem solving.
- Pesout, O. , and Nietfeld, J. The impact of cooperation and competition on metacognitive monitoring in classroom context. J. Exp. Educ. 2020, 89, 237–258. [Google Scholar] [CrossRef]
- Pang, H. B. An investigation on the correlation between junior middle school students’ class environment and academic achievement. Psychol. Sci. 2009, 32, 742–744. [Google Scholar]
- Gray, J. A. (1987). The neuropsychology of emotion and personality.
- Gray, J. A. Brain Systems That Mediate Both Emotion and Cognition. Cognition & Emotion 1990, 4, 269–288. [Google Scholar]
- Carver, C. S. , & White, T. L. Behavioral inhibition, behavioral activation, and affective responses to impending reward and punishment: the BIS/BAS scales. Journal of personality and social psychology 1994, 67, 319. [Google Scholar]
- 28. Eysenck, M. W., Derakshan, N., Santos, R., & Calvo, M. G. Anxiety and cognitive performance: attentional control theory. Emotion . 2007, 7, 336. [PubMed]
- Berggren, N. , & Derakshan, N. Attentional control deficits in trait anxiety: Why you see them and why you don’t. Biological Psychology 2013, 92, 440–446. [Google Scholar]
- Derakshan, N. , Smyth, S., & Eysenck, M. W. Effects of state anxiety on performance using a task-switching paradigm: An investigation of attentional control theory. Psychonomic Bulletin & Review 2009, 16, 1112–1117. [Google Scholar]
- Rezaei, F. , Hosseini Ramaghani, N. A., & Fazio, R. L. The effect of a third party observer and trait anxiety on neuropsychological performance: The Attentional Control Theory (ACT) perspective. The Clinical Neuropsychologist 2017, 31, 632–643. [Google Scholar]
- Chen, C. H. The impacts of peer competition-based science gameplay on conceptual knowledge, intrinsic motivation, and learning behavioral patterns. Educational Technology Research and Development 2019, 67, 179–198. [Google Scholar] [CrossRef]
- Gotardi, G. C. , Polastri, P. F., Schor, P., Oudejans, R. R., van der Kamp, J., Savelsbergh, G. J.,... & Rodrigues, S. T. Adverse effects of anxiety on attentional control differ as a function of experience: A simulated driving study. Applied ergonomics 2019, 74, 41–47. [Google Scholar] [PubMed]
- Lazaro, M. J. , Yun, M. H., & Kim, S. Stress-level and attentional functions of experienced and novice young adult drivers in intersection-related hazard situations. International Journal of Industrial Ergonomics 2022, 90, 103315. [Google Scholar]
- Ventura, R. B. , Richmond, S., Nadini, M., Nakayama, S., & Porfiri, M. Does winning or losing change players’ engagement in competitive games? Experiments in virtual reality. IEEE Transactions on Games 2021, 13, 23–34. [Google Scholar]
- Van Nuland, S. E. , Roach, V. A., Wilson, T. D., & Belliveau, D. J. Head to head: The role of academic competition in undergraduate anatomical education. Anatomical sciences education 2015, 8, 404–412. [Google Scholar] [PubMed]
- Müller, F. , & Cañal-Bruland, R. Interindividual differences in incentive sensitivity moderate motivational effects of competition and cooperation on motor performance. PloS one 2020, 15, e0237607. [Google Scholar]
- OECD. (2016). Innovating education and educating for innovation: The power of digital technologies and skills. OECD Publishing.
- U.S. Department of Education, National Center for Education Statistics. (2019). Digest of Education Statistics 2019.
- UNESCO Institute for Statistics. (2020b). UNESCO-UNICEF-World Bank Survey on National Remote learning during the global school lockdown: Multi-country lessons Education Responses to COVID-19 School Closures.
- Greenhow, C., Graham, C. R., & Koehler, M. J. Foundations of online learning: Challenges and opportunities. Educational Psychologist . 2022, 57, 131–147.
- Berman, M. G. , Jonides, J., & Kaplan, S. The cognitive benefits of interacting with nature. Psychological science 2008, 19, 1207–1212. [Google Scholar]
- 43. Ministry of Education of the People's Republic of China. (1999). Learning reference materials for the Action Plan for Education Revitalization in the 21st Century. Beijing Normal University Press.
- Bloom, B.S.; Krathwohl, D.R. The Classification of Educational Goals. In Taxonomy of Educational Objectives: Handbook I, Cognitive Domain; Longmans, Green: New York, NY, USA, 1956. [Google Scholar]
- Li, Y. Z. , Zhang, Y., Jiang,Y., Li, H., Mi, S., Yi, G. J.,...& Jiang, Y. Reliability and validity of the Chinese version of the Behavioral Inhibition/Activation Scale. Chinese Mental Health Journal 2008, 22, 613–616. [Google Scholar]
- Spielberger, C. D. (1983). State-trait anxiety inventory for adults.
- Paas, F. G. Training strategies for attaining transfer of problem-solving skill in statistics: a cognitive-load approach. Journal of educational psychology 1992, 84, 429. [Google Scholar] [CrossRef]
- Hatfield, B. D. , Costanzo, M. E., Goodman, R. N., Lo, L. C., Oh, H., Rietschel, J. C.,... & Haufler, A. The influence of social evaluation on cerebral cortical activity and motor performance: A study of “Real-Life” competition. International Journal of Psychophysiology 2013, 90, 240–249. [Google Scholar]
- Cerin, E. , & Barnett, A. Predictors of pre-and post-competition affective states in male martial artists: a multilevel interactional approach. Scandinavian journal of medicine & science in sports 2009, 21, 137–150. [Google Scholar]
- Ozturk, M. , & Debelak, C. Affective benefits from academic competitions for middle school gifted students. Gifted Child Quarterly 2008, 31, 48–54. [Google Scholar]
- Pollack, C., Wilmot, D., Centanni, T. M., Halverson, K., Frosch, I., D'Mello, A. M., Romeo, R. R., Imhof, A., Capella, J., Wade, K., Al Dahhan, N. Z., Gabrieli, J. D. E., & Christodoulou, J. A. (2021). Anxiety, Motivation, and Competence in Mathematics and Reading for Children With and Without Learning Difficulties. Frontiers in psychology 2021, 12, 704821.
- Putwain, D. W. , & Daly, A. L. Do Different Factors Predict Different Types of Test Anxiety? Journal of Psychoeducational Assessment 2014, 32, 167–177. [Google Scholar]
- Ramirez G, Gunderson EA, Levine SC and Beilock SL Math anxiety, working memory, and math achievement in early elementary school. Journal of Cognition and Development 2013, 14, 187–202. [CrossRef]
- OECD (2013a) PISA 2012 Results: Ready to Learn: Students' Engagement, Drive and Self-Beliefs (Volume III). Paris: OECD Publishing.
- er Vrugte, J., de Jong, T., Vandercruysse, S., Wouters, P., van Oostendorp, H., & Elen, J. How competition and heterogeneous collaboration interact in prevocational game-based mathematics education. Computers & Education. 2015; 89, 42–52.
- Sweller, J. (2011). Cognitive load theory. New York: Academic Press.
- Ming, D. , Ke, Y., He, F., Zhao, X., Wang, C., Qi, H.,... & Chen, S.-G. Research on mental workload detection and adaptive automation system based on physiological signals: a 40-year review and recent progress. Journal of Electronic Measurement and Instrumentation 2015, 29, 1–13. [Google Scholar]
- Roberts, L. J. , Jackson, M. S., & Grundy, I. H. Choking under pressure: Illuminating the role of distraction and self-focus. International Review of Sport and Exercise Psychology 2019, 12, 49–69. [Google Scholar]
- Bar-Haim, Y. , Lamy, D., Pergamin, L., Bakermans-Kranenburg, M. J., & Van Ijzendoorn, M. H. Threat-related attentional bias in anxious and nonanxious individuals: a meta-analytic study. Psychological bulletin 2007, 133, 1. [Google Scholar]
- Schwabe, L. , & Wolf, O. T. Emotional modulation of the attentional blink: Is there an effect of stress? Emotion 2010, 10, 283–288. [Google Scholar]
- Hambrick, D. Z. , & Oswald, F. L. Does domain knowledge moderate involvement of working memory capacity in higher-level cognition? A test of three models. Journal of Memory and Language 2005, 52, 377–397. [Google Scholar]
- Koning, B. , & Schoot, M. Becoming Part of the Story! Refueling the Interest in Visualization Strategies for Reading Comprehension. Educational Psychology Review 2013, 25, 261–287. [Google Scholar]
- Ryan, R. M. A special issue on approach and avoidance motivation. Motivation and Emotion. Special issue: Approach/Avoidance 2006, 30, 103–104. [Google Scholar] [CrossRef]
- Sullivan, H. W. , Worth, K. A., Baldwin, A. S. and Rothman, A. J. The effect of approach and avoidance referents on academic outcomes: A test of competing predictions. Motivation and Emotion. Special issue: Approach/Avoidance 2006, 30, 157–164. [Google Scholar]
- Heimpel, S. A. , Elliot, A. J., & Wood, J. V. Basic personality dispositions, selfesteem, and personal goals: An approach-avoidance analysis. Journal of Personality 2006, 74, 1293–1320. [Google Scholar] [PubMed]
- van Beek, I. , Kranenburg, I. C., Taris, T. W., & Schaufeli, W. B. BIS- and BAS-activation and study outcomes: A mediation study. Personality and Individual Differences 2013, 55, 474–479. [Google Scholar]
- Hou, T. The Influence of Behavioral Inhibition/Activation System on Procrastination—Mediating Roles of Self-Control. Advances in Psychology 2021, 11, 591–597. [Google Scholar] [CrossRef]






| Variables | Competition group (N=50) | Control group (N=51) | df | χ2 or t value | p |
|---|---|---|---|---|---|
| Gender (male/female) | 6/44 | 6/45 | 1 | 0.001 | 0.971 |
| Age | 20.36±2.14 | 21.16±2.09 | 99 | 1.894 | 0.061 |
| Years of education | 13.82±1.87 | 14.22±1.89 | 99 | 1.057 | 0.293 |
| Varibles | BIS | BASR | BASD | BASF | ||||
|---|---|---|---|---|---|---|---|---|
| r | p | r | p | r | r | p | r | |
| SA_Pre | 0.319** | 0.001 | -0.078 | 0.438 | -.240* | 0.016 | -0.106 | 0.296 |
| SA_Post | 0.133 | 0.183 | -0.158 | 0.114 | -0.172 | 0.086 | -.202* | 0.043 |
| TA | .365** | 0.000 | -0.023 | 0.817 | -.282** | 0.004 | -0.012 | 0.903 |
| V_SCL | 0.188 | 0.06 | 0.061 | 0.544 | 0.053 | 0.602 | -0.058 | 0.566 |
| T_SCL | .260** | 0.009 | 0.088 | 0.382 | 0.056 | 0.576 | 0.009 | 0.925 |
| Test score | 0.065 | 0.517 | -0.068 | 0.499 | 0.149 | 0.137 | 0.006 | 0.956 |
| Variables | Competition group (N=22) | Control group (N=20) | df | χ2 or t value | p |
|---|---|---|---|---|---|
| Gender (male/female) | 3/19 | 7/13 | 1 | 2.636 | 0.104 |
| Age | 21.54±1.53 | 22.60±2.06 | 40 | 1.891 | 0.066 |
| Years of education | 15.50±1.53 | 16.30±1.98 | 40 | 1.472 | 0.149 |
| Varibles | BIS | BASR | BASD | BASF | ||||
|---|---|---|---|---|---|---|---|---|
| r | p | r | p | r | r | p | r | |
| SA_Pre | 0.373* | 0.016 | -0.04 | 0.803 | -0.242 | 0.127 | -0.121 | 0.453 |
| SA_Post | -0.077 | 0.638 | 0.12 | 0.461 | -0.095 | 0.561 | -0.066 | 0.066 |
| TA | 0.466** | 0.002 | -0.249 | 0.117 | -0.331* | 0.035 | 0.149 | 0.354 |
| mean_attention | 0.464** | 0.004 | -0.195 | 0.248 | 0.178 | 0.292 | 0.262 | 0.117 |
| V_SCL | 0.102 | 0.535 | -0.24 | 0.141 | -0.301 | 0.063 | -0.014 | 0.935 |
| T_SCL | 0.147 | 0.372 | -0.225 | 0.141 | -0.359* | 0.025 | -0.001 | 0.996 |
| Test score | -0.194 | 0.224 | 0.053 | 0.743 | 0.135 | 0.398 | 0.065 | 0.688 |
Disclaimer/Publisher’s Note: The statements, opinions and data contained in all publications are solely those of the individual author(s) and contributor(s) and not of MDPI and/or the editor(s). MDPI and/or the editor(s) disclaim responsibility for any injury to people or property resulting from any ideas, methods, instructions or products referred to in the content. |
© 2024 by the authors. Licensee MDPI, Basel, Switzerland. This article is an open access article distributed under the terms and conditions of the Creative Commons Attribution (CC BY) license (http://creativecommons.org/licenses/by/4.0/).