Preprint
Article

This version is not peer-reviewed.

New Progress on London Dispersive Energy, Polar Surface Interactions and Lewis’s Acid-Base Properties of Solid Surfaces

A peer-reviewed article of this preprint also exists.

Submitted:

06 January 2024

Posted:

08 January 2024

You are already at the latest version

Abstract
The determination of the specific surface free energy, specific properties and Lewis’s acid base of solid materials is of capital importance in many industrial processes such as adhesion, coatings, two dimensional films and adsorption phenomena. (1) Background: The physicochemical properties of many solid particles were characterized during the last forty years by using the retention time of injected well-known molecules into chromatographic column containing the solid substrates to be characterized. The obtained net retention time of the solvents adsorbed on the solid allowing the determination of the net retention volume directly correlated to the specific surface variables, dispersive, polar and acid-base properties. (2) Methods: Many chromatographic methods were used to quantify the values of the different specific surface variables of the solids. However, one found a large deviation between the different results. In this paper, one proposed a new method that quantify the specific free energy of adsorption as well as the Lewis’s acid-base constants of many solid surfaces. (3) Results: The new applied method allowed us to obtain the specific enthalpy and entropy of adsorption of polar model organic molecules on several solid substrates such as silica, alumina, MgO, ZnO, Zn, TiO2 and carbon fibers. (4) Conclusions: our new method based on the separation between the dispersive and polar free surface energy allowed to better characterize the solid materials.
Keywords: 
;  ;  ;  ;  ;  

1. Introduction

Dispersion and polar interactions are the two important types of interactions between particles. The determination of these interactions is very used in the different domains of colloidal science, surface physics, adsorption, adhesion, adsorption, surface and interface. The dispersive interactions were studied and well-developed by Van der Waals. The corresponding forces, called Van der Waals forces, results from the temporary fluctuations in the charge distribution of the atoms or molecules; whereas, the polar forces or interactions include Coulomb interactions between permanent dipoles and between permanent and induced dipoles. The total interaction energy is the sum of the dispersive and polar interaction energies. The separation of these two types of energy is crucial to understand the behavior of molecules and therefore to predict the various surface physicochemical properties of materials and nanomaterials.
Since 1982, many scientists proposed several methods to separate the dispersive (or London) and polar (or specific) interactions between a solid substrate and a polar molecule. The first attempt for the separation of the two above contributions was proposed by Saint-Flour and Papirer [1-3] when studying untreated and silane-treated glass fibers by using inverse gas chromatography (IGC) and choosing a series of polar and non-polar adsorbates to quantify the dispersive and polar free energies. The authors adopted the concept of the vapor pressure P 0 of the adsorbates to determine the specific free energy of adsorption Δ G a s p T of polar molecules on glass fibers as a function of the absolute temperature T by plotting the variations of R T l n V n versus the logarithm of the vapor pressure Δ G a s p T R T l n V n of probe, where V n is the net retention volume and R the ideal gas constant. Saint-Flour and Papirer [3] determined the specific enthalpy Δ H a s p and entropy Δ S a s p of polar molecules adsorbed on the glass fibers and deduced their Lewis acid-base constants. Later, Schultz et al. [4] tried to separate the two dispersive and specific interactions of carbon fibers by using the concept of the dispersive component Δ S a s p of the surface energy of the organic liquids by drawing R T l n V n of as a function of R T l n V n of n-alkanes and polar molecules adsorbed on the solid, where a is the surface area of adsorbed molecule and N the Avogadro’s number. This method allowed to obtain the specific free energy and the dispersive component γ s d of the surface energy of carbon fibers. In 1991, Donnet et al. [5]. used the deformation polarizability N γ s d of solvents and obtained the specific free energy Δ G a s p T of polar solvents adsorbed on natural graphite powders by representing the variations of as a function of h ν L   α 0 , L , where ν L is the electronic frequency of the probe and h the Planck’s constant. With the difficulties and issues encountered with the previous methods, Brendlé and Papirer [6,7] used the topological index χ T , derived from the well-known Wiener index to obtain more accurate results. Other methods were also used in literature such as that the boiling point T B . P . [8] and the standard enthalpy of vaporization Δ H v a p . 0 [9]. In all the above methods, one obtained an excellent linearity of R T l n V n of n-alkanes as a function of the chosen intrinsic thermodynamic parameter ( l n P 0 , Δ G a s p T ν L χ T T B . P . R T l n V n l n P 0 , h ν L   α 0 , L , T B . P . or Δ H v a p . 0 ). The specific free potential Δ G a s p T of polar molecule is then directly obtained by the distance the point representing the polar molecule to its hypothetic point located on the n-alkane straight-line. The specific enthalpy and entropy of adsorbed polar solvents as well as the Lewis acid base constants can easily deduced by thermodynamic considerations. The serious problem encountered in these different chromatographic methods that the obtained
One proved in several previous studies the non-validity of the method used by Schultz et al. due to the variations of the surface area a and γ l d of solvents as a function of the temperature [10-14]. The values of the surface area of organic molecules versus the temperature obtained on a certain solid material [10-14], cannot be always transferred to another solid, because of the different behaviors existing between the various solid surfaces and the adsorbed mole h ν L   α 0 , L T B . P . ules.
The used chromatographic methods, even if they satisfied linear relations for n-alkanes adsorbed on solid surfaces, cannot be necessarily considered as accurate if they are not theoretically well-founded. One proved in previous paper [11,12] that the linearity of R T l n V n of n-alkanes is satisfied for more than twenty intrinsic thermodynamic parameters and one concluded on the necessity to find new methods that are theoretically valid. γ l d Given the disparity of the results obtained from the application of the various methods, one privileged, in this paper, the method based on the equation of the London dispersive interaction [15] between the solvents and the solid materials. By using the London equation (15], one proposed in this study to determine the dispersive free energy Δ G a d , the specific free energy Δ G a s p , the Lewis acid-base constants and the polar acidic and basic surface energy of several solid materials such as silica (SiO2), alumina (Al2O3), magnesium oxide (MgO), zinc oxide (ZnO), Monogal-Zn, titanium dioxide (TiO2) and carbon fibers. R T l n V n

2. Methods and models

Inverse gas chromatography (IGC) technique [16-24] was used in this study to characterize the surface properties of the above solid surfaces. IGC allowed us to obtain the net retention time and therefore the net retention volume of the various solvents adsorbed on the different solid materials. This allowed to obtain the free energy of adsorption Δ G a 0 of the adsorbed molecules by using the following fundamental equation of IGC:
Δ G a 0 T = R T l n V n + C T
where C T is a constant depending o Δ G a 0 the temperature a Δ G a 0 T = R T l n V n + C T d the parameters of interaction between the solid and the solvent.
The total free energy of adsorption Δ G a 0 T is composed by the two dispersive C T and polar Δ G a s p T contributions of the total interaction energy:
Δ G a 0 T = Δ G a d T + Δ G a s p T
The free dispersive energy between two non-identical materials was given by London [15]:
Δ G a d T = 3 2 α 01   α 02 4 π ε 0 2   H 6 R   ν 1   ν 2 ν 1 + ν 2 = 3 2 α 01   α 02 4 π ε 0 2   H 6 N   ε 1   ε 2 ε 1 + ε 2
where α 01 and α 02 are the respective deformation polarizabilities of molecules 1 and 2 separated by a distance H , ε 1 and α 02 the ionization energies of molecules 1 and 2, ν 1 and ν 2 their characteristic electronic frequencies and ε 0 the permittivity of vacuum.
By denoting S the solid molecule 1 and X the probe molecule 2 and combining the previous equations (1-3), one obtained equation (4):
Δ G a 0 T = R T l n V n + C T = α 0 S     H 6 3 N   2 4 π ε 0 2 ε S   ε X ε S + ε X α 0 X + Δ G a s p T
The thermodynamic parameter P S X chosen as new indicator variable in this original contribution is given by relation (5):
P S X = ε S   ε X ε S + ε X α 0 X
Indeed, the London dispersion interactions strongly depend on the deformation polarizability of the organic molecules and on the ionization energies of the solid and the solvents, because the approximation ε S   ε X ε S +   ε X ε S   ε X 2 is not always valid and it depends on the product of the ionization energies ε S   ε X . To avoid any source of errors on the determination of the London dispersive and polar energies, one privileged to use the true values of the ionization energies and not the approximation of the geometric mean.
Now, by drawing the variations of R T l n V n of n-alkanes adsorbed on the solid material as a function of 3 N   2 4 π ε 0 2 ε S   ε X ε S + ε X α 0 X at a fixed temperature T, one obtained the linear equation given by (6):
R T l n V n n a l k a n e = A 3 N   2 4 π ε 0 2 P S X n a l k a n e C
where A is the slope of the n-alkanes straight line given by (7):
A = α 0 S     H 6
In the case of adsorbed polar organic molecule such as toulene, the distance between its representative point given by R T l n V n T o l u e n e and the straight-line of n-alkanes shown on Figure 1, allowed to obtain the polar free energy Δ G a s p T o l u e n e (London dispersion interaction).
The numerical value of the London dispersion interaction of toluene (in kJ/mol) adsorbed on silica particles is given by the following equation
Δ G a s p = R T l n V n 0.366 ( i n   k J / 10 15 S I × 3 N   2 4 π ε 0 2 P S i O 2 T o l u e n e i n 10 15 S I
Experimental results gave at 323.15K:
R T l n V n T o l u e n e = 35.225   k J / m o l   ;   3 N   2 4 π ε 0 2 P S i O 2 T o l u e n e = 64.954 × 10 15 S I   u n i
And one obtained at this temperature the value of the specific free energy of toluene from (8):
Δ G a s p T o l u e n e = 17.330   k J / m o l
By varying the temperature, the calculations allowed to determine the variations of Δ G a s p T of polar probes as a function of the temperature and obtain the specific enthalpy Δ H a s p and entropy Δ S a s p of the various polar probes adsorbed on the solid surfaces from equation (11):
Δ G a s p T = Δ H a s p     Δ S a s p
And then to deduce the Lewis’s acid base constants KA and KD by equation (12):
Δ H S p = K A × D N + K D × A N
where AN and DN are respectively the electron donor and acceptor numbers of the polar molecule. These numbers were calculated by Gutmann [25] and corrected by Fowkes [26].
By using the representation Δ H S p A N = f D N A N and equation (13):
Δ H S p A N = K A   D N A N + K D
The slope of the straight-line gave the acidic constant K A   , whereas, the basic constant K D is obtained by the ordinate at origin of the straight-line given by equation (13).
However, in many cases, one proved that equation (13) is not verified and one previously proposed another relation taking into account the amphoteric effect of the solid material [27].
Δ H S p = K A × D N + K D × A N K C C × A N × D N
where K C C is the coupling constant representing the amphoteric character of material.
Equation (14) can be written as:
Δ H S p A N = K A   D N A N + K D K C C × D N
By considering a polar molecule symbolized by i and putting:
x 1 i = Δ H S p A N x 2 i =       D N A N     x 3 i =       K D
One can write the general equation (17) representing any polar molecule i in interaction with solid surfaces:
x 1 i = K D + K A   x 2 i K C C × x 3 i
where x 1 i , x 2 i and x 2 i are experimentally well-known, whereas, K D , K A and K C C are the unkown quantities of the problem (17).
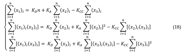
For n polar molecules ( n 3 ), the solution of the linear system (17) can be obtained by the least squares method by finding the vector K D ;   K A ; K C C that minimizes the sum of the squares of the residuals.
In this case, The system of equations (17) will be transformed to a linear system represented by the following equations:
Preprints 95671 i001
Equations (18) can be represented by the following matrix system
Preprints 95671 i002
Symbolized by the matrix equation:
A X = B
The matrix equation is inversible because the matrix A is symmetric and then there is a unique solution X = K D ;   K A ; K C C given by the formal equation (21):
X = A 1 × B
Our method was used in all solid materials that did not satisfy the classic equation (13).
In this study, one also determined the Lewis entropic acidic ω A and basic ω D parameters to obtain the Lewis entropic acid base character of the solid materials. The equations (22) and (23) were given by analogy that of the Lewis enthalpic acid-base constants K A and K D :
Δ S a s p = ω A   D N ' + ω D   A N '
or
Δ S a s p A N ' = ω A   D N ' A N ' + ω D

3. Materials and solvents

One used in this paper several solid materials such as silica (SiO2), alumina (Al2O3), magnesium oxide (MgO), zinc oxide (ZnO), Monogal-Zn, titanium dioxide (TiO2) and carbon fibers that were characterized in previous papers [10-14] with other chromatographic methods and molecular models. The organic solvents such as n-alkanes and polar molecules were those previously used in other studies. The donor and acceptor numbers of electron used in this paper were those calculated and corrected by by Riddle and Fowkes [26]. The chromatographic measurements were obtained from a Focus GC Chromatograph equipped with a flame ionization detector of high sensitivity. All experimental methods on this technique were previously explained in details in previous papers [10-14].

4. Results

4.1. New approach for the calculation of the deformation polarizability α 0 X and the indicator parameter P S X

Our new approach previously presented allowed us to obtain all necessary parameters of organic solvents and solid substrates by using their values taken from the Handbook of Physics and Chemistry [28]. The obtained results are presented below on Table 1, Table 2, Table 3, Table 4, Table 5, Table 6, Table 7 and Table 8.
The new values of the various parameters given in Table 1, Table 2, Table 3, Table 4, Table 5, Table 6, Table 7 and Table 8 were used in our new method to give the new values of London dispersive and polar energies of the various solid materials.
In this new approach, one gave more precise values of the parameters of molecules such as the deformation polarizability and the harmonic mean of the ionization energies of solids and organic solvents in contrary of those proposed by Donnet et al. [5] that only took the characteristic electronic frequencies of the probes independently of those of the solid. Indeed, Table 2 to 8 clearly showed that the harmonic mean of the ionization energies of the solvents varied as a function of the used solid material.
To show the difference between our values and those of Donnet et al. [5], one presented on Table 9 the values of the deformation polarizability of some polar molecules and two n-alkanes.
Table 9 showed that the values relative to some solvents such as n-decane, dichloromethane and methanol and those of solid particles are not given by Donnet et al. The relative error reaches 10% that can have negative effect on the determination of the specific free energy.
Now, if one adds the error committed by Donnet et al. [5] when neglecting the variations of the harmonic mean of ionization energies ε S   ε X ε S + ε X for the various polar molecules that vary from 20% to 70%. Indeed, this parameter varies from a solid surface to another solid material. The variation in the value of ε S   ε X ε S + ε X of organic molecules between two solids can reach 70% in certain cases such as ZnO and TiO2 (Table 4 and Table 7).

4.2. London dispersive surface energy of solid particles by using thermal model

The thermal model [10-14] was used to determine the London dispersive surface energy γ s d   T of the various solid materials used in this study. This model took into consideration the effect of the temperature on the surface area of organic molecules. The obtained results are presented on Table 10 at several temperatures.
Table 10 showed that the various solid surfaces can be classified with increasing order of their London dispersive surface energy as following:
Oxidized carbon fibers < Untreated carbon fibers < MgO < ZnO < Al2O3 < Monogal-Zn < SiO2
The highest London dispersive surface energy was obtained by the silica particles. One also observed that the dispersive surface energy of the two carbon fibers are very close, and silica and monogal surfaces exhibited close values of γ s d . Furthermore, the linearity of γ s d   T was assured for all materials with an excellent linear regression coefficients approaching 1.000 (Figure 2).

4.3. Polar surface interactions between solid materials and organic molecules

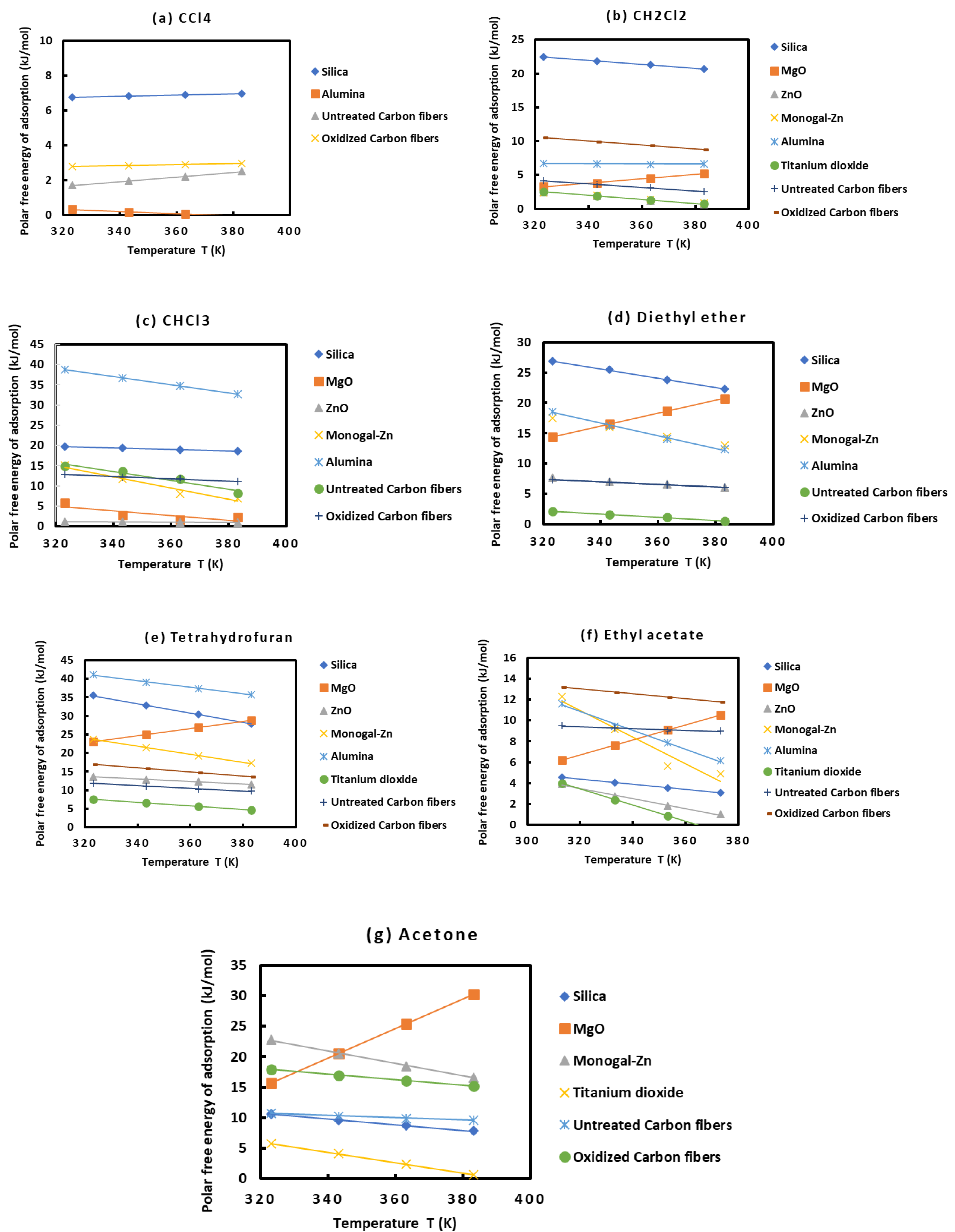
By using our new method and new findings presented in section 3, one determined the values of the polar free surface energy ( Δ G a s p T ) of the various polar solvents adsorbed on the various solid particles as a function of the temperature T. The results were given on Table 11.
Table 11 clearly showed the amphoteric behavior of the various solid surfaces with different acid-base interactions depending on the number of the surface group sites present on the solid particles. Table 11 led to classify the polar solvents, for each solid surface in increasing order of the polar free surface energy of interaction.
In the case of silica particles, one obtained the following order:
Ethyl Acetate < CCl4 < Acetone < Nitromethane< Toluene < CHCl3 < CH2Cl2 < Diethyl ether < THF
Proving a strong interaction with the acidic organic molecules and lower for the basic solvents and therefore concluding to more basic behavior.
In this case of MgO, the obtained order was:
CH2Cl2 < CHCl3< Ethyl acetate < Diethyl ether < Acetone < Tetrahydrofuran
That showed a behvior rather amphoteric.
For ZnO, one also observed a strong amphoteric character:
Benzene < CHCl3 < CH2Cl2 < Ethyl acetate < Diethyl ether < Tetrahydrofuran
The amphoteric character was proved for monogal-Zn particles:
CH2Cl2 < Ethyl acetate < CHCl3< Diethyl ether < Acetone < Tetrahydrofuran
For alumina, one obtained the following order:
CCl4 < CH2Cl2 < Ethyl acetate < Diethyl ether < CHCl3 < Toluene < Tetrahydrofuran
In case of TiO2:
CH2Cl2 < CHCl3< Ethyl acetate < Acetonitrile < Benzene < Acetone < THF < nitromethane
For untreated carbon fibers:
CCl4 < Diethyl ether < CH2Cl2 < Benzene < Ethyl acetate < Tetrahydrofuran
and the oxidized carbon fibers presented an amphoteric character:
CCl4 < Diethyl ether < Benzene < CH2Cl2 < CHCl3 < Benzene < Ethyl acetate < THF< Acetone
In order to compare the behavior of the various solids as a function of the different polar solvents, one plotted on Figures 3 the variations of ( Δ G a s p T ) of the various polar molecules as a function of the temperature.
The results on Figures 3 showed different behaviors of the various solid surfaces in interaction with the polar molecules. One gave the classification of these solid materials in increasing order of their polar free energies with the different polar solvents:
  • o with CCl4: alumina < untreated carbon fibers < oxidized carbon fibers < silica
  • o with CH2Cl2, Monogal-Zn < ZnO < TiO2 < MgO < untreated carbon fibers < alumina < oxidized carbon fibers < silica
  • o with CHCl3, ZnO < MgO < oxidized carbon fibers < untreated carbon fibers < Monogal-Zn < silica < alumina
  • o with diethyl ether, untreated carbon fibers < oxidized carbon fibers < ZnO < MgO < Monogal-Zn < alumina < silica
  • o with tetrahydrofuran, TiO2 < untreated carbon fibers < ZnO < oxidized carbon fibers < MgO < Monogal-Zn < silica < alumina
  • o with ethyl acetate, TiO2 < ZnO < silica < MgO < untreated carbon fibers < alumina < monogal-Zn < oxidized carbon fibers
  • o with acetone, TiO2 < silica < untreated carbon fibers < MgO < oxidized carbon fibers
These results proved that alumina, silica and oxidized carbon fibers exhibited stronger interactions with the acidic and basic molecules then showing their higher amphoteric character than the other solid substrates.

4.4. Lewis’s ethalpic and entropic acid base parameters

By using the results of Δ G a s p T given on Table 11 and Figures 3, one determined from equation (11), the different values of the polar enthalpy ( Δ H a s p ) and entropy ( Δ S a s p ) of adsorption of the various polar molecules on the solid surfaces. The results were presented on Table 12.
Table 12 also showed a difference in the behavior of the various solid surfaces in interaction with acidic, basic and amphoteric polar solvents. In order to qunatify the acid-base constants of the solid materials, one used equations (13) and (23). The obtained values of Lewis enthalpic acid base constants K A and K D   and Lewis entropic acid base constants ω A and ω D   of the different solid particles were presented on Table 13. The comparison of the acid-base behavior of the different solid materials allowed to classify them in decreasing order of acidity and basicity.
For the acidity, one obtained the following classification:
Silica > alumina > Monogal-Zn > TiO2 > ZnO > oxidized carbon fibers > untreated carbon fibers > MgO
Whereas, the comparison between their basicity led to give the following order:
Oxidized carbon fibers > alumina > untreated carbon fibers > ZnO > Monogal-Zn > Silica > MgO > TiO2
By comparing the various solids in decreasing order of their ratio K D / K A , on found the following classification:
Oxidized carbon fibers > untreated carbon fibers > MgO > ZnO > TiO2 > alumina > Monogal-Zn > Silica
The last classification seems to be very interesting, because the oxidization of carbon fibers will increase the polar surface groups and therefore their basicity, in contrary to the behavior of silica that exhibits higher acidity than the other solid surfaces.
However, when we observed the linear regression coeffcients given on Table 13, one found that the liearity of equations (13) and (23) are not satisfied for most of the solid surfaces. In such case, a correction has to be executed. To do that, one used equation (17) and resolved the linear system with three unkown numbers. The solution was perofrmed for all solids except for titanium dioxide that presented an excellent linear regression coefficient. The more results were given on Table 14.
Table 14 gave the corrected values of the acid-base constants with an additional constant called coupling constant reflecting the amphoteric character of materials.
One obsrved that the classification of acidity of different solid materials was conserved after correction, however it was changed for the basicity. One found the following classification of solid surfaces in decreasing basicity:
Oxidized carbon fibers > silica > monogal-Zn > untreated carbon fibers > alumina > ZnO > TiO2 > MgO
It was proved that the oxidized carbon fibers exhibited the strongest basicity, whereas, silica had the highest acidity. It was also showed the MgO presented more neutral surface with small basic tendency.

4.5. Consequences of the application of the new method

The first scientific result of the application of the new parameter P S X = ε S   ε X ε S + ε X α 0 X relative to the interaction between solids and organic molecule was the separation between the London dispersive energy and the polar free energy of the adsorption of polar organic molecules and solid surfaces. It is the first time that we were able to calculate exactly the two contributions of the free surface energy of interaction. Equation (6) was perfectly applied for all solids and solvents with an excellent linear regression coefficient approaching 1.000 and the determination of the slope A of the straight line given by equation (6) in the case of n-alkanes adsorbed on solid surfaces conducted to calcule the London dipersive energy of interaction not only for n-alkanes, but also for polar organic solvents by using the following relation
  Δ G a d T = A 3 N   2 4 π ε 0 2 P S X
With this new approach, one characterized all studied solids by giving on Tables S1 to S16, the two London dispersive and polar free energies of interaction between solids and organic molecules. This also allowed to obtain the total free surface energy of adsorption without calculating the surface specific area of the considered solid materials.
The second consequence was to clearly verify the insufficiency of the approach proposed by Donnet et al. [5]. Indeed, if we applied their method on silica particles, one obtained the values of ( Δ G a s p T ) of polar solvents adsorbed on silica surfaces. These results compared to our new findings were presented on Table 15.
The results on Table 15 clearly showed a large difference between the values obtained by the two above methods. The calculation of the ratios ( Δ G a s p D o n n e t   e t   a l . Δ G a s p H a m i e h , ( Δ S a s p D o n n e t   e t   a l . Δ S a s p H a m i e h and ( Δ H a s p D o n n e t   e t   a l . Δ H a s p H a m i e h given on Table 16 showed a surestimation of the values of ( Δ G a s p T obtained by Donnet et al. method varying from 1.3 to 7.7 times the values obtained by our new method. Whereas, in the calculation of the specific entropy and enthalpy, Table 16 showed ratios varying from 3.1 to 23.7 strongly depending on the adsorbed polar molecule. However, one globaly found a ratio approaching 2 for most of polar molecules.
These large variations of the values obtained by applying Donnet et al. method is certainly due to the fact that this method omitted the variation of the harmonic mean ε S X ¯ of the ionization energies of the solid and the adsorbed polar solvent given by relation (25).
  ε S X ¯ = ε S   ε X ε S + ε X
Donnet et al. used the concept α 0 ν 0 or α 0 X ε X . The variations of ε S X ¯ is not identical to those of ε X of the interaction solid-polar molecule as it was shown by Table 17.
It was observed on Table 17 that the harmonic mean ε S X ¯ strongly depend on the interaction between the solid and the polar solvent and cannot be considered as constant for all studied materials as was supposed by the method proposed by Donnet et al.
The third consequence of our new approach was the determination of the average separation distance H between the solid particle and the organic moolecule as a function of the temperature when the deformation polarizability of the solid is known. By using equation (7) and the experimental results, one gave on Table 18 the values of the average separation distance H at different temperatures for the various solid substrates.
Table 18 showed that the average separation distance H is comprised between 4.45 Å and 5.56 Å for the various solid particles. A slight increasing effect of the temperature on the separation distance was observed in all studied solid substrates. Furthermore, one observed that the separation distance between a solid and an organic molecule is an intrinsic parameter of the solid. Table 18 allowed to classify the various solid materials in increasing order of the separation distance for all temperatures:
Untreated carbon fibers Oxidized carbon fibers > ZnO > alumina > Monogal-Zn > Silica > MgO > TiO2
This classification is very close to that obtained with the basicity of solid materials. It seems that when the basicity or the ratio K D / K A decreases, the separation distance slightly increases to reach a maximum value with TiO2 equal to 5.50 Å.
The fourth consequence of this new method was to be able to give with more accuracy the values of the acid-base surface energy of the various solid materials. Indeed, by applying Van Oss et al. relation [29] that gave the specific enthalpy of adsorption as a function of the Lewis acid surface energy of the solid surface γ s + and the solvent γ l + ; and the corresponding Lewis base surface energy ( γ s for the surface and γ l for the solvent) by equation (26)
Δ G a s p T = 2 N a   γ l γ s + + γ l + γ s
By choosing two monopolar solvents such as ethyl acetate (EA) and dichloromethane characterized by:
γ C H 2 C l 2 + = 5.2   m J / m 2   ,   γ C H 2 C l 2 = 0 γ E A + = 0   ,                         γ E A = 19.2   m J / m 2
The Lewis’s acid and base surface energies of a solid surface γ s + and γ s can be obtained from relations (26) and (27):
γ s + = Δ G a s p T   E A 2 4 N 2 a E A 2 γ E A                               γ s = Δ G a s p T   C H 2 C l 2 2 4 N 2 a C H 2 C l 2 2 γ C H 2 C l 2 +  
The experimental values of free specific energy of ethyl acetate Δ G a s p T   E A and dichloromethane Δ G a s p T   C H 2 C l 2 given in Table 19, one determined the values of the specific acid and base surface energy contributions γ s + , γ s as well as the acid-base surface energy γ s A B given by relation (29):
γ s A B = 2 γ s + γ s
By using the values given on tables 10 and 19, and relation (29), one presented on Table 20 the Lewis’s acid and base surface energies of solid particles γ s + , γ s , γ s A B and the total surface energy γ s t o t . of the various solid materials. The total surface energy γ s t o t . of the solid surfaces was obtained by using relation (30):
γ s t o t . = γ s d + γ s A B
The values of the dispersive surface energy of the different solid materials were taken from table 10.
The values of the different acid-base surface energies of the various solid substrates given on Table 20 showed that the oxidized carbon fibers and the silica particles gave the highest values of γ s , γ s A B and γ s t o t . followed by alumina particles and monogal-Zn surfaces, whereas, the oxidized carbon fibers and alumina surfaces gave larger values of γ s + again confirming the highest acid-base properties of these materials. The determination of the ratio γ s A B / γ s d of the solid materials showed that this ratio varies from 12% for ZnO particles to reach 70% for the oxidized carbon fibers and about 50% for silica and alumina surfaces. This clearly proved the strong contribution of acid-base surface energy relative to the corresponding London dispersive energy.

5. Conclusions

A new method of separation of London dispersive and polar surface energy was proposed by using the inverse gas chromatography technique (IGC) at infinite dilution. The parameter of polarizability of organic molecules adsorbed on eight different solid materials was used to propose a new parameter taking into account all terms involved in the expression of London dispersive energy of interaction. The originality of this new method concerned the full determination and use of a new intrinsic thermodynamic parameter P S X = ε S   ε X ε S + ε X α 0 X reflecting the London dispersive energy of interaction between solid materials and organicmolecules. One calculated the parameter P S X for different materials and organic molecules. Experimental results obtained by IGC allowed to determine the average separation distance solid-organic solvents at different temperatures. The dispersive free energy and the polar energy of n-alkanes and polar probes were determined by this method. The thermal model was used to quantify the London dispersive surface energy γ s d T of the various solid materials at different temperatures and allowed to determine the different components γ s + , γ s and γ s A B of acid-base surface energies of solid particles as well as their total surface energy γ s t o t . . Results showed the highest acid-base surface energy was obtained by the oxidized carbon fibers followed by silica particles and alumina surfaces.
The determination of the polar interaction energy Δ G a s p T of the different polar molecules adsorbed on the solid materials allowed to obtain the polar enthalpy and entropy of interaction and therefore the enthalpic and entropic Lewis’s acid-base constants. The results showed that all studied solid surfaces exhibited amphoteric behavior with stronger Lewis’s basicity. The oxidized and untreated carbon fibers, ZnO and silica particles showed an important basic force, whereas, silica, alumina, monogal-Zn presented the highest Lewis’s acidity.
The application of the classic equation (12) allowing the determination of the acid-base constants showed poor linear regression coefficients. It was corrected by using Hamieh model that added a coupling constant reflecting the amphoteric character of solid materials.
It was proved that the method proposed by Donnet et al. neglected the values of harmonic mean ε S X ¯ of ionization energies of solids and solvents and this conducted to a surestimation of the specific or polar free energy of interaction reaching in several cases 5 times the corrected value. By taking into account the different values of harmonic mean and the deformation polarizability of n-alkanes and polar organic molecules, one obtained more accurate values of the London dispersive energy, the polar energy, the acid-base constants and the acid-base surface energies of the various solids in interaction with several polar molecules.

Supplementary Materials

The following supporting information can be downloaded at: www.mdpi.com/xxx/s1, Table S1. Values (in kJ/mol) of London dispersive energy ( Δ G a d T ) of n-alkanes and polar solvents adsorbed on silica particles at different temperatures. Table S2. Values (in kJ/mol) of London dispersive energy ( Δ G a s p T ) of polar solvents adsorbed on silica particles at different temperatures. Table S3. Values (in kJ/mol) of London dispersive energy ( Δ G a d T ) of n-alkanes and polar solvents adsorbed on MgO particles at different temperatures. Table S4. Values (in kJ/mol) of London dispersive energy ( Δ G a s p T ) of polar solvents adsorbed on MgO particles at different temperatures. Table S5. Values (in kJ/mol) of London dispersive energy ( Δ G a d T ) of n-alkanes and polar solvents adsorbed on ZnO particles at different temperatures. Table S6. Values (in kJ/mol) of London dispersive energy ( Δ G a s p T ) of polar solvents adsorbed on ZnO particles at different temperatures. Table S7. Values (in kJ/mol) of London dispersive energy ( Δ G a d T ) of n-alkanes and polar solvents adsorbed on monogal-Zn particles at different temperatures. Table S8. Values (in kJ/mol) of London dispersive energy ( Δ G a s p T ) of polar solvents adsorbed on monogal-Zn particles at different temperatures. Table S9. Values (in kJ/mol) of London dispersive energy ( Δ G a d T ) of n-alkanes and polar solvents adsorbed on alumina particles at different temperatures. Table S10. Values (in kJ/mol) of London dispersive energy ( Δ G a s p T ) of polar solvents adsorbed on alumina particles at different temperatures. Table S11. Values (in kJ/mol) of London dispersive energy ( Δ G a d T ) of n-alkanes and polar solvents adsorbed on TiO2 particles at different temperatures. Table S12. Values (in kJ/mol) of London dispersive energy ( Δ G a s p T ) of polar solvents adsorbed on TiO2 particles at different temperatures. Table S13. Values (in kJ/mol) of London dispersive energy ( Δ G a d T ) of n-alkanes and polar solvents adsorbed on untreated carbon fibers particles at different temperatures. Table S14. Values (in kJ/mol) of London dispersive energy ( Δ G a s p T ) of polar solvents adsorbed on untreated carbon fibers particles at different temperatures. Table S15. Values (in kJ/mol) of London dispersive energy ( Δ G a d T ) of n-alkanes and polar solvents adsorbed on oxidized carbon fibers at different temperatures. Table S16. Values (in kJ/mol) of London dispersive energy ( Δ G a s p T ) of polar solvents adsorbed on oxidized carbon fibers at different temperatures.

Conflicts of Interest

“The author declares no conflict of interest.”

References

  1. C. Saint-Flour, E. C. Saint-Flour, E. Papirer, Gas-solid chromatography. A method of measuring surface free energy characteristics of short carbon fibers. 1. Through adsorption isotherms, Ind. Eng. Chem. Prod. Res. Dev. 21 (1982) 337-341, . [CrossRef]
  2. C. Saint-Flour, E. C. Saint-Flour, E. Papirer, Gas-solid chromatography: method of measuring surface free energy characteristics of short fibers. 2. Through retention volumes measured near zero surface coverage, Ind. Eng. Chem. Prod. Res. Dev. 21 (1982) 666-669. [CrossRef]
  3. C. Saint-Flour and E. Papirer, “Gas-solid chromatography: a quick method of estimating surface free energy variations induced by the treatment of short glass fibers.” Journal of Colloid and Interface Science 91 (1983): 69-75.
  4. J. Schultz, L. J. Schultz, L. Lavielle, C. Martin, The role of the interface in carbon fibre-epoxy composites. J. Adhes. 23 (1987) 45–60.
  5. J.-B. Donnet, S. J.-B. Donnet, S. Park, H. Balard, Evaluation of specific interactions of solid surfaces by inverse gas chromatography, Chromatographia, 31 (1991) 434–440.
  6. E. Brendlé, E. E. Brendlé, E. Papirer, A new topological index for molecular probes used in inverse gas chromatography for the surface nanorugosity evaluation, 2. Application for the Evaluation of the Solid Surface Specific Interaction Potential, J. Colloid Interface Sci., 194 (1997) 217–2224.
  7. E. Brendlé, E. E. Brendlé, E. Papirer, A new topological index for molecular probes used in inverse gas chromatography for the surface nanorugosity evaluation, 1. Method of Evaluation, J. Colloid Interface Sci., 194 (1997) 207–216.
  8. D. T. Sawyer, D.J. Brookman. Thermodynamically based gas chromatographic retention index for organic molecules using salt-modified aluminas and porous silica beads, Anal. Chem. 1968, 40, 1847–1850. [CrossRef]
  9. M.M. Chehimi, E. M.M. Chehimi, E. Pigois-Landureau, Determination of acid–base properties of solid materials by inverse gas chromatography at infinite dilution. A novel empirical method based on the dispersive contribution to the heat of vaporization of probes, J. Mater. Chem., 4 (1994) 741–745.
  10. T Hamieh, Study of the temperature effect on the surface area of model organic molecules, the dispersive surface energy and the surface properties of solids by inverse gas chromatography, J. Chromatogr. A, 1627 (2020) 461372.
  11. T Hamieh, AA Ahmad, T Roques-Carmes, J Toufaily, New approach to determine the surface and interface thermodynamic properties of H-β-zeolite/rhodium catalysts by inverse gas chromatography at infinite dilution, Scientific Reports, 10 (1) (2020) 1-27.
  12. T Hamieh, New methodology to study the dispersive component of the surface energy and acid–base properties of silica particles by inverse gas chromatography at infinite dilution, Journal of Chromatographic Science 60 (2) (2022) 126-142. [CrossRef]
  13. T. Hamieh, New Physicochemical Methodology for the Determination of the Surface Thermodynamic Properties of Solid Particles. AppliedChem 2023, 3(2), 229–255. [Google Scholar] [CrossRef]
  14. Hamieh, T.; Schultz, J. Study of the adsorption of n-alkanes on polyethylene surface - State equations, molecule areas and covered surface fraction. Comptes Rendus de l'Académie des Sciences, Série II, 1996; 323 (4), 281-289. [Google Scholar]
  15. F. London, The general theory of molecular forces, Trans. Faraday. Soc. 33; (1937), pp. 8-26.
  16. Conder, J.R.; Locke, D.C.; Purnell, J.H. Concurrent solution and adsorption phenomena in chromatography. I. J. Phys. Chem. 1969, 73, 700–8. [Google Scholar] [CrossRef]
  17. Conder, J.R.; Purnell, J.H. Gas chromatography at finite concentrations. Part 2.—A generalized retention theory. Trans Faraday Soc. 1968; 64, 3100–11. [Google Scholar]
  18. Conder, J.R.; Purnell, J.H. Gas chromatography at finite concentrations. Part 3.—Theory of frontal and elution techniques of thermodynamic measurement. Trans Faraday Soc. 1969, 65, 824-38. [CrossRef]
  19. Conder, J.R.; Purnell, J.H. Gas chromatography at finite concentrations. Part 4.—Experimental evaluation ofmethods for thermodynamic study of solutions. Trans Faraday Soc. 1969, 65, 839-48. [CrossRef]
  20. Conder, J.R.; Purnell, J.H. Gas chromatography at finite concentrations. Part 1.—Effect of gas imperfection on calculation of the activity coefficient in solution from experimental data. Trans Faraday Soc. 1968, 64, 1505-12. [CrossRef]
  21. Vidal, A.; Papirer, E.; Jiao, W.M.; Donnet, J.B. Modification of silica surfaces by grafting of alkyl chains. I-Characterization of silica surfaces by inverse gas–solid chromatography at zero surface coverage. Chromatographia, 1968, 64, 1505-12. [CrossRef]
  22. Papirer, E.; Balard, H.; Vidal, A. Inverse gas chromatography: a valuable method for the surface characterization of fillers for polymers (glass fibres and silicas). Eur Polym J. 1988, 24, 783–90. [Google Scholar] [CrossRef]
  23. Voelkel, A. Inverse gas chromatography: characterization of polymers, fibers, modified silicas, and surfactants. Crit Rev Anal Chem. 1991, 22, 411–39. [Google Scholar] [CrossRef]
  24. Guillet, J. E.; Romansky, M.; Price, G.J.; Van der Mark, R. Studies of polymer structure and interactions by automated inverse gas chromatography. Inverse gas chromatography. 1989, Washington, DC: Characterization of Polymers and Other Materials, American Chemical Society 20–32. Eng. Asp. 1968, 64, 1505-12.
  25. V. Gutmann, The Donor-acceptor Approach to Molecular Interactions, Plenum. New York, 1978.
  26. Riddle, F. L.; Fowkes, F. M. Spectral shifts in acid-base chemistry. Van der Waals contributions to acceptor numbers, Spectral shifts in acid-base chemistry. 1. van der Waals contributions to acceptor numbers. 1990, J. Am. Chem. Soc., 112 (9), 3259-3264. Chem. [CrossRef]
  27. T. Hamieh, M. T. Hamieh, M. Rageul-Lescouet, M. Nardin, H. Haidara et J. Schultz, Study of acid-base interactions between some metallic oxides and model organic molecules", Colloids and Surfaces A: Physicochemical and Engineering Aspects, 125, 1997, 155-161.
  28. David, R. Lide, ed., CRC Handbook of Chemistry and Physics, Internet Version 2007, (87th Edition), http:/www.hbcpnetbase.com, Taylor and Francis, Boca Raton, FL, 2007.
  29. C.J. Van Oss, R.J. C.J. Van Oss, R.J. Good, M.K. Chaudhury, Additive and nonadditive surface tension components and the interpretation of contact angles, Langmuir, 1988, 4 (4) 884, http:// dx.doi.org/10.1021/la00082a018.
Figure 1. Variations of R T l n V n of n-alkanes and toluene adsorbed on the silica particles as a function of 3 N   2 4 π ε 0 2 P S X at T=323.15K.
Figure 1. Variations of R T l n V n of n-alkanes and toluene adsorbed on the silica particles as a function of 3 N   2 4 π ε 0 2 P S X at T=323.15K.
Preprints 95671 g001
Figure 2. Dispersive component of the surface energy γ s d   m J / m 2 of solid materials as a function of the temperature T (K).
Figure 2. Dispersive component of the surface energy γ s d   m J / m 2 of solid materials as a function of the temperature T (K).
Preprints 95671 g002
Figure 3. Evolution of the specific free surface energy ( Δ G a s p T ) of the various solid materials in interactions with the different polar molecules Such as CCl4 (a), CH2Cl2 (b), CHCl3 (c), diethyl ether (d), tetrahydrofuran (e), ethyl acetate (f), and acetone (g) as function of the temperature.
Figure 3. Evolution of the specific free surface energy ( Δ G a s p T ) of the various solid materials in interactions with the different polar molecules Such as CCl4 (a), CH2Cl2 (b), CHCl3 (c), diethyl ether (d), tetrahydrofuran (e), ethyl acetate (f), and acetone (g) as function of the temperature.
Preprints 95671 g003
Table 1. Values of deformation polarizability (in 10-30 m3) and (in 10-40 C m2/V) and ionization energy (in eV) of the various organic molecules and solid materials.
Table 1. Values of deformation polarizability (in 10-30 m3) and (in 10-40 C m2/V) and ionization energy (in eV) of the various organic molecules and solid materials.
Molecule ε X   or   ε X (eV) α 0 X   or   α 0 S
(in 10-30 m3)
α 0 X   or   α 0 S

(in 10-40 C m2/V)
n-pentane 10.28 9.99 11.12
n-hexane 10.13 11.90 13.24
n-heptane 9.93 13.61 15.14
n-octane 9.80 15.90 17.69
n-nonane 9.71 17.36 19.32
n-decane 9.65 19.10 21.25
CCl4 11.47 10.85 12.07
Nitromethane 11.08 7.37 8.20
CH2Cl2 11.32 7.21 8.02
CHCl3 11.37 8.87 9.86
Diethyl ether 9.51 9.47 10.54
Tetrahydrofuran 9.38 8.22 9.15
Ethyl acetate 10.01 9.16 10.19
Acetone 9.70 6.37 7.09
Acetonitrile 12.20 4.44 4.94
Toluene 8.83 11.80 13.13
Benzene 9.24 10.35 11.52
Methanol 10.85 3.28 3.65
SiO2 8.15 5.42 6.04
MgO 7.65 5.47 6.09
ZnO 4.35 5.27 5.86
Zn 9.39 5.82 6.47
Al2O3 5.99 5.36 5.96
TiO2 9.50 7.12 7.92
Carbon 11.26 1.76 1.96
Table 2. Values of the harmonic mean of the ionization energies of SiO2 particles and organic solvents (in 10-19 J) and the parameter 3 N   2 4 π ε 0 2 P S i O 2 X (in 10-15 SI unit) for the various organic molecules.
Table 2. Values of the harmonic mean of the ionization energies of SiO2 particles and organic solvents (in 10-19 J) and the parameter 3 N   2 4 π ε 0 2 P S i O 2 X (in 10-15 SI unit) for the various organic molecules.
Molecule   ε S i O 2   ε X ε S i O 2 + ε X
(in 10-19J)
  3 N   2 4 π ε 0 2 P S i O 2 X
(in 10-15 SI)
n-pentane 7.274 58.992
n-hexane 7.226 69.814
n-heptane 7.162 79.135
n-octane 7.119 91.901
n-nonane 7.089 99.919
n-decane 7.069 109.623
CCl4 7.623 67.151
Nitromethane 7.513 44.956
CH2Cl2 7.582 44.379
CHCl3 7.596 54.666
Diethyl ether 7.022 53.988
Tetrahydrofuran 6.977 46.564
Ethyl acetate 7.188 53.453
Acetone 7.087 36.652
Acetonitrile 7.818 28.180
Toluene 6.780 64.955
Benzene 6.930 58.231
Methanol 7.447 19.829
Table 3. Values of the harmonic mean of the ionization energies of MgO particles and organic solvents (in 10-19 J) and the parameter 3 N   2 4 π ε 0 2 P M g O X (in 10-15 SI unit) for the various organic molecules.
Table 3. Values of the harmonic mean of the ionization energies of MgO particles and organic solvents (in 10-19 J) and the parameter 3 N   2 4 π ε 0 2 P M g O X (in 10-15 SI unit) for the various organic molecules.
Molecule   ε M g O   ε X ε M g O + ε X
(in 10-19J)
  3 N   2 4 π ε 0 2 P M g O X
(in 10-15 SI)
n-pentane 7.018 56.917
n-hexane 6.974 67.374
n-heptane 6.914 76.393
n-octane 6.874 88.735
n-nonane 6.846 96.490
n-decane 6.828 105.872
CCl4 7.343 64.680
Nitromethane 7.241 43.325
CH2Cl2 7.304 42.754
CHCl3 7.317 52.662
Diethyl ether 6.783 52.153
Tetrahydrofuran 6.742 44.991
Ethyl acetate 6.938 51.595
Acetone 6.844 35.395
Acetonitrile 7.523 27.117
Toluene 6.557 62.820
Benzene 6.697 56.277
Methanol 7.179 19.116
Table 4. Values of the harmonic mean of the ionization energies of ZnO particles and organic solvents (in 10-19 J) and the parameter 3 N   2 4 π ε 0 2 P Z n O X (in 10-15 SI unit) for the various organic molecules.
Table 4. Values of the harmonic mean of the ionization energies of ZnO particles and organic solvents (in 10-19 J) and the parameter 3 N   2 4 π ε 0 2 P Z n O X (in 10-15 SI unit) for the various organic molecules.
Molecule   ε Z n O   ε X ε Z n O + ε X
(in 10-19J)
  3 N   2 4 π ε 0 2 P Z n O X
(in 10-15 SI)
n-pentane 4.891 39.665
n-hexane 4.869 47.041
n-heptane 4.840 53.478
n-octane 4.820 62.224
n-nonane 4.807 67.745
n-decane 4.797 74.392
CCl4 5.046 44.451
Nitromethane 4.998 29.904
CH2Cl2 5.028 29.431
CHCl3 5.034 36.231
Diethyl ether 4.776 36.716
Tetrahydrofuran 4.755 31.732
Ethyl acetate 4.852 36.080
Acetone 4.806 24.852
Acetonitrile 5.131 18.494
Toluene 4.662 44.666
Benzene 4.733 39.769
Methanol 4.968 13.230
Table 5. Values of the harmonic mean of the ionization energies of Monogal-Zn and organic solvents (in 10-19 J) and the parameter 3 N   2 4 π ε 0 2 P Z n X (in 10-15 SI unit) for the various organic molecules.
Table 5. Values of the harmonic mean of the ionization energies of Monogal-Zn and organic solvents (in 10-19 J) and the parameter 3 N   2 4 π ε 0 2 P Z n X (in 10-15 SI unit) for the various organic molecules.
Molecule   ε Z n   ε X ε Z n + ε X
(in 10-19J)
  3 N   2 4 π ε 0 2 P Z n X
(in 10-15 SI)
n-pentane 7.852 63.683
n-hexane 7.797 75.326
n-heptane 7.722 85.324
n-octane 7.672 99.042
n-nonane 7.638 107.648
n-decane 7.615 118.076
CCl4 8.261 72.769
Nitromethane 8.132 48.658
CH2Cl2 8.212 48.070
CHCl3 8.228 59.222
Diethyl ether 7.560 58.122
Tetrahydrofuran 7.508 50.105
Ethyl acetate 7.752 57.650
Acetone 7.635 39.486
Acetonitrile 8.490 30.603
Toluene 7.280 69.743
Benzene 7.453 62.627
Methanol 8.054 21.447
Table 6. Values of the harmonic mean of the ionization energies of A l 2 O 3 and organic solvents (in 10-19 J) and the parameter 3 N   2 4 π ε 0 2 P A l 2 O 3 X (in 10-15 SI unit) for the various organic molecules.
Table 6. Values of the harmonic mean of the ionization energies of A l 2 O 3 and organic solvents (in 10-19 J) and the parameter 3 N   2 4 π ε 0 2 P A l 2 O 3 X (in 10-15 SI unit) for the various organic molecules.
Molecule   ε A l 2 O 3   ε X ε A l 2 O 3 + ε X
(in 10-19J)
  3 N   2 4 π ε 0 2 P A l 2 O 3 X
(in 10-15 SI)
n-pentane 6.056 49.114
n-hexane 6.023 58.186
n-heptane 5.978 66.053
n-octane 5.948 76.784
n-nonane 5.927 83.541
n-decane 5.913 91.697
CCl4 6.296 55.460
Nitromethane 6.221 37.222
CH2Cl2 6.268 36.687
CHCl3 6.277 45.177
Diethyl ether 5.880 45.209
Tetrahydrofuran 5.849 39.033
Ethyl acetate 5.996 44.590
Acetone 5.926 30.646
Acetonitrile 6.428 23.171
Toluene 5.710 54.699
Benzene 5.816 48.867
Methanol 6.175 16.443
Table 7. Values of the harmonic mean of the ionization energies of T i O 2 (in 10-15 SI unit) for the various organic molecules.
Table 7. Values of the harmonic mean of the ionization energies of T i O 2 (in 10-15 SI unit) for the various organic molecules.
Molecule   ε T i O 2   ε X ε T i O 2 + ε X
(in 10-19J)
  3 N   2 4 π ε 0 2 P T i O 2 X
(in 10-15 SI)
n-pentane 7.900 64.071
n-hexane 7.844 75.781
n-heptane 7.768 85.834
n-octane 7.718 99.631
n-nonane 7.683 108.285
n-decane 7.660 118.773
CCl4 8.314 73.236
Nitromethane 8.183 48.965
CH2Cl2 8.264 48.376
CHCl3 8.281 59.600
Diethyl ether 7.604 58.462
Tetrahydrofuran 7.552 50.396
Ethyl acetate 7.799 57.996
Acetone 7.680 39.719
Acetonitrile 8.546 30.804
Toluene 7.321 70.137
Benzene 7.496 62.988
Methanol 8.104 21.581
Table 8. Values of the harmonic mean of the ionization energies of carbon fibers and organic solvents (in 10-19 J) and the parameter 3 N   2 4 π ε 0 2 P C a r b o n X (in 10-15 SI unit) for the various organic molecules.
Table 8. Values of the harmonic mean of the ionization energies of carbon fibers and organic solvents (in 10-19 J) and the parameter 3 N   2 4 π ε 0 2 P C a r b o n X (in 10-15 SI unit) for the various organic molecules.
Molecule   ε C a r b o n   ε X ε C a r b o n + ε X
(in 10-19J)
  3 N   2 4 π ε 0 2 P C a r b o n X
(in 10-15 SI)
n-pentane 8.598 69.736
n-hexane 8.532 82.430
n-heptane 8.443 93.286
n-octane 8.384 108.220
n-nonane 8.342 117.574
n-decane 8.314 128.928
CCl4 9.091 80.082
Nitromethane 8.935 53.465
CH2Cl2 9.032 52.869
CHCl3 9.052 65.147
Diethyl ether 8.249 63.421
Tetrahydrofuran 8.188 54.640
Ethyl acetate 8.479 63.053
Acetone 8.339 43.125
Acetonitrile 9.369 33.772
Toluene 7.917 75.847
Benzene 8.122 68.249
Methanol 8.841 23.543
Table 9. Values of deformation polarizability (in 10-40 C m2/V) compared to those proposed by Donnet et al. of the various organic molecules, with the calculated relative error.
Table 9. Values of deformation polarizability (in 10-40 C m2/V) compared to those proposed by Donnet et al. of the various organic molecules, with the calculated relative error.
Molecule α 0 X   or   α 0 S
(in 10-40 C m2/V)
(Donnet values)
α 0 X   or   α 0 S
(in 10-40 C m2/V)
(Our values)
Relative error (in %)
n-nonane 19.75 19.32 2.2
n-decane - 21.25 -
CCl4 11.68 12.07 3.2
CH2Cl2 - 8.02 -
CHCl3 10.57 9.86 7.2
Diethyl ether 9.71 10.54 8.0
Tetrahydrofuran 8.77 9.15 4.2
Ethyl acetate 10.79 10.19 5.9
Acetone 7.12 7.09 0.4
Acetonitrile 5.43 4.94 10.0
Toluene 13.68 13.13 4.2
Benzene 11.95 11.52 3.7
Methanol - 3.65 -
SiO2 - 6.04 -
MgO - 6.09 -
ZnO - 5.86 -
Zn - 6.47 -
Al2O3 - 5.96 -
TiO2 - 7.92 -
Carbon - 1.96 -
Table 10. Values of the London dispersive surface energy γ s d   T (in mJ/m2) of the various solid materials
Table 10. Values of the London dispersive surface energy γ s d   T (in mJ/m2) of the various solid materials
Temperature T(K) 323.15 343.15 363.15 383.15 Equation of γ s d   T
Oxidized carbon fibers 51.59 43.42 35.25 27.08 γ s d   T = -0.408 T + 183.6
Untreated carbon fibers 52.96 47.06 41.16 35.27 γ s d   T = -0.295 T + 148.2
MgO 54.35 47.92 41.71 35.71 γ s d   T = -0.311 T + 154.6
MgO 58.37 53.12 47.87 42.62 γ s d   T = -0.262 T + 143.2
ZnO 59.25 55.07 50.12 44.16 γ s d   T = -0.251 T + 140.8
Al2O3 60.98 51.03 41.08 31.13 γ s d   T = -0.497 T + 221.7
Monogal-Zn 81.90 68.84 52.26 37.03 γ s d   T = -0.756 T + 327.0
SiO2 85.34 67.75 52.86 39.23 γ s d   T = -0.766 T + 331.8
Table 11. Values of ( Δ G a s p T ) (in kJ/mol) of the various polar molecules adsorbed on the different used solid materials
Table 11. Values of ( Δ G a s p T ) (in kJ/mol) of the various polar molecules adsorbed on the different used solid materials
Silica
T(K) 323.15 343.15 363.15 383.15
CCl4 6.752 6.810 6.881 6.968
Nitromethane 13.573 12.367 11.273 10.191
CH2Cl2 22.490 21.846 21.269 20.716
CHCl3 19.752 19.304 18.925 18.546
Diethyl ether 26.838 25.462 23.802 22.314
THF 35.506 32.787 30.435 27.908
Ethyl Acetate 4.566 4.015 3.530 3.079
Acetone 10.612 9.608 8.703 7.816
Acetonitrile 16.734 15.304 14.016 12.738
Toluene 17.330 16.724 16.168 15.598
Benzene 5.640 5.170 4.745 4.328
MgO
T(K) 323.1500 343.1500 363.1500 383.15
CH2Cl2 3.3120 3.7860 4.5320 5.211
CHCl3 5.833 2.693 1.560 2.176
Diethyl ether 14.415 16.559 18.671 20.721
THF 23.053 25.004 26.928 28.797
Acetone 15.723 20.520 25.354 30.243
Ethyl acetate 6.224 7.620 9.112 10.523
ZnO
T(K) 323.15 343.15 363.15 383.15
CH2Cl2 2.4490 1.9151 1.2231 0.6320
CHCl3 1.1506 1.0611 0.9988 0.9325
Diethyl ether 7.7211 7.0452 6.5940 6.0373
THF 13.5961 12.9006 12.2948 11.5175
Ethyl acetate 3.9554 2.7149 1.8004 1.0420
Benzene 0.8696 0.6900 0.5367 0.3535
Monogal-Zn
T(K) 323.15 343.15 363.15 383.15
CH2Cl2 2.354 1.965 1.426 0.854
CHCl3 15.001 11.698 7.938 6.927
Diethyl ether 17.481 15.950 14.408 12.982
THF 23.786 21.503 19.298 17.285
Acetone 22.779 20.603 18.500 16.582
Ethyl acetate 12.287 9.154 5.642 4.895
Alumina
T(K) 323.15 343.15 363.15 383.15
CCl4 0.334 0.163 0.084 -
CH2Cl2 6.751 6.654 6.575 6.648
CHCl3 38.808 36.648 34.670 32.613
Ether 18.559 16.226 14.028 12.322
THF 41.085 39.144 37.268 35.790
Ethyl acetate 11.624 9.452 7.875 6.125
Toluene 40.532 38.377 36.371 34.878
TiO2
T(K) 313.15 333.15 353.15 373.15
CH2Cl2 2.546 1.924 1.254 0.723
CHCl3 3.146 2.019 0.893 -
THF 7.620 6.620 5.620 4.620
Ethyl Acetate 3.979 2.417 0.857 -
Acetone 5.776 4.068 2.362 0.651
Benzene 5.564 4.199 2.834 1.463
Nitromethane 10.394 9.024 7.657 6.283
Acetonitrile 4.615 2.524 0.433 -1.661
Untreated Carbon fibers
T(K) 323.15 343.15 363.15 383.15
CCl4 1.723 1.956 2.203 2.518
CH2Cl2 4.096 3.645 3.129 2.548
CHCl3 14.829 13.537 11.761 8.193
Ether 2.112 1.633 1.131 0.546
THF 11.852 11.079 10.310 9.748
C6H6 8.577 8.315 8.055 8.011
Ethyl acetate 9.500 9.251 9.019 8.975
Acetone 10.723 10.282 9.865 9.647
Oxidized Carbon fibers
T(K) 323.15 343.15 363.15 383.15
CCl4 2.785 2.843 2.911 2.974
CH2Cl2 10.546 9.952 9.379 8.800
CHCl3 12.788 12.228 11.685 11.134
Ether 7.399 6.965 6.548 6.124
THF 17.020 15.878 14.753 13.623
C6H6 10.429 9.943 9.473 8.995
Ethyl acetate 13.212 12.718 12.242 11.758
Acetone 17.928 16.999 16.094 15.183
Table 12. Values of polar enthalpy ( Δ H a s p   i n   k J   m o l 1 ) and entropy ( Δ S a s p i n   J   K 1 m o l 1 ) of the various polar solvents adsorbed on the various solid surfaces by using our new method.
Table 12. Values of polar enthalpy ( Δ H a s p   i n   k J   m o l 1 ) and entropy ( Δ S a s p i n   J   K 1 m o l 1 ) of the various polar solvents adsorbed on the various solid surfaces by using our new method.
Silica
Polar solvent ( Δ S a s p i n   J   K 1 m o l 1 ) ( Δ H a s p   i n   k J   m o l 1 )
CCl4 -4.6 5.2514
Nitromethane 52.8 30.543
CH2Cl2 27.7 31.377
CHCl3 18.8 25.788
Diethyl ether 77.4 51.914
THF 123.5 75.304
Ethyl acetate 23 11.944
Acetone 43.6 24.624
Acetonitrile 62.2 36.719
Toluene 27.1 26.027
Benzene 20.4 12.173
MgO
CH2Cl2 32.2 7.1665
CHCl3 -60.5 -24.435
Diethyl ether 105.1 19.543
Ethyl acetate 71.9 17.038
THF 95.8 7.8791
Acetone 242 62.489
Acetonitrile 81.6 2.0138
Toluene -13.8 15.211
ZnO
CH2Cl2 20.9 8.9949
CHCl3 -11.4 1.0743
Diethyl ether 18.5 18.218
THF 23.8 26.647
Ethyl acetate 38.2 17.176
Benzene -1.0 6.7082
Monogal
CH2Cl2 25.2 10.547
CHCl3 139.9 59.803
Diethyl ether 75.2 41.760
THF 108.5 58.796
Ethyl acetate 44.2 21.674
Acetone 103.5 56.155
Acetonitrile 110.8 54.921
Toluene 99.9 54.474
Alumina
CCl4 6.2 2.314
CH2Cl2 1.9 7.3421
CHCl3 102.8 71.989
Diethyl ether 104.6 52.207
THF 88.8 69.683
Ethyl acetate 90.4 40.683
Toluene 94.9 71.036
Titanium dioxide
CH2Cl2 30.7 12.146
CHCl3 56.4 20.818
THF 10.0 23.277
Ethyl Acetate 78.1 28.448
Acetone 85.4 32.518
Benzene 68.3 26.965
Nitromethane 68.5 31.846
Acetonitrile 104.6 37.370
Untreated carbon fibers
CCl4 -13.2 -2.4181
CH2Cl2 25.8 12.209
CHCl3 108.4 49.284
Benzene 9.8 11.602
Diethyl ether 26 10.275
THF 35.4 22.895
Ethyl acetate 9 12.289
Acetone 18.2 16.380
Oxidized carbon fibers
CCl4 3.2 1.7876
CH2Cl2 29.1 19.639
CHCl3 27.5 21.406
Benzene 23.9 17.897
Diethyl ether 21.2 14.038
THF 56.6 34.733
Ethyl acetate 24.2 20.782
Acetone 45.7 32.230
Table 13. Values of the enthalpic acid base constants K A and K D   (unitless) and the entropic acid base constants ω A and ω D   (unitless) of the various solid surfaces and the corresponding acid base ratios.
Table 13. Values of the enthalpic acid base constants K A and K D   (unitless) and the entropic acid base constants ω A and ω D   (unitless) of the various solid surfaces and the corresponding acid base ratios.
Solid surfaces K A K D K D / K A R 2 10 3 . ω A 10 3 . ω D ω D   /   ω A R 2
Silica 0.73 1.45 2.0 0.6509 1.23 1.45 1.2 0.651
MgO 0.08 1.13 14.0 0.1722 1.16 0.57 0.5 0.8126
ZnO 0.22 1.63 7.4 0.422 0.29 0.08 0.3 0.8761
Monogal-Zn 0.59 1.49 2.5 0.7296 1.07 3.08 2.9 0.7295
Alumina 0.71 2.21 3.1 0.7301 0.92 4.21 4.6 0.7739
Titanium dioxide 0.25 0.87 3.5 0.9874 0.86 1.80 2.1 0.9804
Untreated Carbon fibers 0.13 2.19 16.8 0.0799 0.30 1.56 5.2 0.3195
Oxidized Carbon fibers 0.20 3.41 17.4 0.0779 0.37 4.32 11.6 0.141
Table 14. Corrected values of Lewis’s acid-base constants K A , K D   and K of the various solid surfaces and the corresponding acid base ratios.
Table 14. Corrected values of Lewis’s acid-base constants K A , K D   and K of the various solid surfaces and the corresponding acid base ratios.
Solid surfaces K A K D K K D / K A
Silica 1.105 3.572 0.186 3.23
MgO 0.005 0.336 -0.045 71.66
ZnO 0.401 2.418 0.089 6.03
Monogal-Zn 0.782 3.477 0.113 4.45
Alumina 0.988 3.291 0.136 3.33
Untreated Carbon fibers 0.359 3.339 0.110 9.29
Oxidized Carbon fibers 0.529 5.085 0.161 9.61
Table 15. Values of ( Δ G a s p T   i n   k J   m o l 1 ), ( Δ S a s p i n   J   K 1 m o l 1 ) and ( Δ H a s p   i n   k J   m o l 1 ) of polar molecules adsorbed on silica surfaces by comparing Donnet et al.’s method and our new method .
Table 15. Values of ( Δ G a s p T   i n   k J   m o l 1 ), ( Δ S a s p i n   J   K 1 m o l 1 ) and ( Δ H a s p   i n   k J   m o l 1 ) of polar molecules adsorbed on silica surfaces by comparing Donnet et al.’s method and our new method .
Results by using Donnet et al.’s method
T(K) 323.15 343.15 363.15 383.15 403.15 ( Δ S a s p i n   J   K 1 m o l 1 ) ( Δ H a s p   i n   k J   m o l 1 )
CCl4 34.616 31.401 28.904 26.818 24.489 124.2 74.643
Nitromethane 34.014 30.151 27.038 24.328 21.424 155 83.687
CH2Cl2 53.122 48.974 45.622 42.692 39.626 166.4 106.43
CHCl3 48.598 44.795 41.775 39.150 36.312 151.1 96.995
Diethyl ether 53.703 49.136 44.982 41.394 37.319 202.5 118.86
THF 57.922 52.382 47.865 43.564 39.053 232.8 132.69
Ethyl Acetate 33.315 29.418 26.298 23.608 20.724 155 82.944
Acetone 25.935 22.701 20.154 18.016 15.527 127.5 66.771
Acetonitrile 25.145 22.059 19.641 17.621 15.228 121.4 64.011
Toluene 55.833 51.069 47.157 43.631 40.161 193.9 117.99
Benzene 38.564 34.399 31.032 28.069 25.006 167.2 92.143
Results by using our new method
T(K) 323.15 343.15 363.15 383.15 403.15 ( Δ S a s p i n   J   K 1 m o l 1 ) ( Δ H a s p   i n   k J   m o l 1 )
CCl4 6.752 6.810 6.881 6.968 7.129 5.2514 6.752
Nitromethane 13.573 12.367 11.273 10.191 9.378 30.543 13.573
CH2Cl2 22.490 21.846 21.269 20.716 20.287 31.377 22.490
CHCl3 19.752 19.304 18.925 18.546 18.250 25.788 19.752
Diethyl ether 26.838 25.462 23.802 22.314 20.676 51.914 26.838
THF 35.506 32.787 30.435 27.908 25.593 75.304 35.506
Ethyl Acetate 4.566 4.015 3.530 3.079 2.732 11.944 4.566
Acetone 10.612 9.608 8.703 7.816 7.144 24.624 10.612
Acetonitrile 16.734 15.304 14.016 12.738 11.793 36.719 16.734
Toluene 17.330 16.724 16.168 15.598 15.187 26.027 17.330
Benzene 5.640 5.170 4.745 4.328 4.026 12.173 5.640
Table 16. Values of the ratios ( Δ G a s p D o n n e t   e t   a l . Δ G a s p H a m i e h at different temperatures, and ( Δ S a s p D o n n e t   e t   a l . Δ S a s p H a m i e h and ( Δ H a s p D o n n e t   e t   a l . Δ H a s p H a m i e h of the various polar organic molecules
Table 16. Values of the ratios ( Δ G a s p D o n n e t   e t   a l . Δ G a s p H a m i e h at different temperatures, and ( Δ S a s p D o n n e t   e t   a l . Δ S a s p H a m i e h and ( Δ H a s p D o n n e t   e t   a l . Δ H a s p H a m i e h of the various polar organic molecules
T(K) 323.15 343.15 363.15 383.15 403.15 ( Δ S a s p i n   J   K 1 m o l 1 ) ( Δ H a s p   i n   k J   m o l 1 )
CCl4 5.1 4.6 4.2 3.8 3.4 23.7 11.1
Nitromethane 2.5 2.4 2.4 2.4 2.3 5.1 6.2
CH2Cl2 2.4 2.2 2.1 2.1 2.0 5.3 4.7
CHCl3 2.5 2.3 2.2 2.1 2.0 5.9 4.9
Diethyl ether 2.0 1.9 1.9 1.9 1.8 3.9 4.4
THF 1.6 1.6 1.6 1.6 1.5 3.1 3.7
Ethyl Acetate 7.3 7.3 7.5 7.7 7.6 13.0 18.2
Acetone 2.4 2.4 2.3 2.3 2.2 5.2 6.3
Acetonitrile 1.5 1.4 1.4 1.4 1.3 3.3 3.8
Toluene 3.2 3.1 2.9 2.8 2.6 7.4 6.8
Benzene 6.8 6.7 6.5 6.5 6.2 13.7 16.3
Table 17. Harmonic mean ε S X ¯ (in 10-19J) values of the ionization energies of the various materials and the adsorbed polar solvents found in our new approach, and values of ε X (in 10-10J1/2) used by Donnet et al. method.
Table 17. Harmonic mean ε S X ¯ (in 10-19J) values of the ionization energies of the various materials and the adsorbed polar solvents found in our new approach, and values of ε X (in 10-10J1/2) used by Donnet et al. method.
Molecule   ε S i O 2 X ¯
(in 10-19J)
  ε M g O X ¯
(in 10-19J)
  ε Z n O X ¯
(in 10-19J)
  ε Z n X ¯
(in 10-19J)
  ε A l 2 O 3 X ¯
(in 10-19J)
  ε T i O 2 X ¯
(in 10-19J)
  ε C X ¯
(in 10-19J)
  ε X
(in 10-10J1/2)
n-pentane 7.27 7.02 4.89 7.85 6.06 7.90 8.60 12.83
n-hexane 7.23 6.97 4.87 7.80 6.02 7.84 8.53 12.73
n-heptane 7.16 6.91 4.84 7.72 5.98 7.77 8.44 12.61
n-octane 7.12 6.87 4.82 7.67 5.95 7.72 8.38 12.52
n-nonane 7.09 6.85 4.81 7.64 5.93 7.68 8.34 12.46
n-decane 7.07 6.83 4.80 7.62 5.91 7.66 8.31 12.43
CCl4 7.62 7.34 5.05 8.26 6.30 8.31 9.09 13.55
Nitromethane 7.51 7.24 5.00 8.13 6.22 8.18 8.94 13.32
CH2Cl2 7.58 7.30 5.03 8.21 6.27 8.26 9.03 13.46
CHCl3 7.60 7.32 5.03 8.23 6.28 8.28 9.05 13.49
Diethyl ether 7.02 6.78 4.78 7.56 5.88 7.60 8.25 12.34
Tetrahydrofuran 6.98 6.74 4.76 7.51 5.85 7.55 8.19 12.25
Ethyl acetate 7.19 6.94 4.85 7.75 6.00 7.80 8.48 12.66
Acetone 7.09 6.84 4.81 7.64 5.93 7.68 8.34 12.46
Acetonitrile 7.82 7.52 5.13 8.49 6.43 8.55 8.60 13.97
Toluene 6.78 6.56 4.66 7.28 5.71 7.32 8.53 11.89
Benzene 6.93 7.02 4.73 7.45 5.82 7.50 8.44 12.16
Methanol 7.45 6.97 4.97 8.05 6.18 8.10 8.38 13.18
Table 18. Values of the average separation distance H (in Å) btween the various solid substrates and the organic molecules at different temperatures.
Table 18. Values of the average separation distance H (in Å) btween the various solid substrates and the organic molecules at different temperatures.
T(K) 323.15 343.15 363.15 383.15
SiO2 5.05 5.12 5.19 5.27
MgO 5.23 5.27 5.31 5.35
ZnO 4.87 4.88 4.89 4.90
Monogal 5.18 5.24 5.33 5.44
Al2O3 5.03 5.08 5.13 5.16
TiO2 5.51 5.53 5.54 5.56
Untreated carbon fibers 4.45 4.48 4.50 4.52
Oxidized carbon fibers 4.49 4.54 4.59 4.64
Table 19. Values of ( Δ G a s p T   i n   k J / m o l ) of the dichloromethane and the ethyl acetate adsorbed on the different solid materials at various temperatures.
Table 19. Values of ( Δ G a s p T   i n   k J / m o l ) of the dichloromethane and the ethyl acetate adsorbed on the different solid materials at various temperatures.
( Δ G a s p T   i n   k J / m o l ) of dichloromethane
T(K) 323.15 343.15 363.15 383.15
SiO2 22.49 21.846 21.269 20.716
MgO 3.312 3.786 4.532 5.211
ZnO 2.449 1.9151 1.2231 0.632
Monogal 2.354 1.965 1.426 0.854
Al2O3 6.751 6.654 6.575 6.648
TiO2 2.546 1.924 1.254 0.723
Untreated carbon fibers 4.096 3.645 3.129 2.548
Oxidized carbon fibers 10.546 9.952 9.379 8.8
( Δ G a s p T   i n   k J / m o l ) of ethyl acetate
T(K) 323.15 343.15 363.15 383.15
SiO2 4.566 4.015 3.53 3.079
MgO 6.224 7.62 9.112 10.523
ZnO 3.9554 2.7149 1.8004 1.042
Monogal 12.287 9.154 5.642 4.895
Al2O3 11.624 9.452 7.875 6.125
TiO2 3.979 2.417 0.857 -
Untreated carbon fibers 9.500 9.251 9.019 8.975
Oxidized carbon fibers 13.212 12.718 12.242 11.758
Table 20. Values of the specific acid and base surface energy contributions γ s + , γ s , γ s A B and γ s t o t . (in mJ/m2) of the different solid surfaces.
Table 20. Values of the specific acid and base surface energy contributions γ s + , γ s , γ s A B and γ s t o t . (in mJ/m2) of the different solid surfaces.
Values of γ s + (in mJ/m2)
T(K) 323.15 343.15 363.15 383.15
SiO2 8.11 6.15 4.66 3.47
MgO 15.07 22.14 31.03 40.57
ZnO 6.08 2.81 1.21 0.40
Monogal 58.72 31.95 11.90 8.78
Al2O3 52.55 34.06 23.18 13.75
TiO2 6.16 2.23 0.27 0.03
Untreated carbon fibers 33.54 31.08 28.63 26.18
Oxidized carbon fibers 64.04 57.33 50.62 43.91
Values of γ s (in mJ/m2)
T(K) 323.15 343.15 363.15 383.15
SiO2 275.18 254.53 236.49 219.94
MgO 5.97 7.64 10.74 13.92
ZnO 3.26 1.96 0.78 0.20
Monogal 3.01 2.06 1.06 0.37
Al2O3 24.80 23.61 22.60 22.65
TiO2 3.53 1.97 0.82 0.27
Untreated carbon fibers 8.01 5.99 3.98 1.96
Oxidized carbon fibers 55.89 48.21 40.53 32.85
Values of γ s A B (in mJ/m2)
T(K) 323.15 343.15 363.15 383.15
SiO2 94.46 79.11 66.37 55.27
MgO 18.96 26.02 36.51 47.52
ZnO 8.91 4.69 1.95 0.57
Monogal 26.61 16.22 7.11 3.62
Al2O3 65.95 56.00 46.05 36.11
TiO2 9.32 4.19 0.95 0.17
Untreated carbon fibers 32.75 27.04 21.32 15.61
Oxidized carbon fibers 119.64 105.11 90.58 76.04
Values of γ s t o t . (in mJ/m2)
T(K) 323.15 343.15 363.15 383.15
SiO2 179.80 146.86 119.23 94.50
MgO 76.31 77.15 81.42 86.23
ZnO 71.12 61.88 54.11 47.71
Monogal 116.87 91.36 67.14 48.53
Al2O3 128.31 106.07 86.64 67.71
TiO2 70.06 60.18 51.74 45.15
Untreated carbon fibers 85.71 74.10 62.49 50.87
Oxidized carbon fibers 171.23 148.53 125.83 103.13
Disclaimer/Publisher’s Note: The statements, opinions and data contained in all publications are solely those of the individual author(s) and contributor(s) and not of MDPI and/or the editor(s). MDPI and/or the editor(s) disclaim responsibility for any injury to people or property resulting from any ideas, methods, instructions or products referred to in the content.
Copyright: This open access article is published under a Creative Commons CC BY 4.0 license, which permit the free download, distribution, and reuse, provided that the author and preprint are cited in any reuse.
Prerpints.org logo

Preprints.org is a free preprint server supported by MDPI in Basel, Switzerland.

Subscribe

Disclaimer

Terms of Use

Privacy Policy

Privacy Settings

© 2026 MDPI (Basel, Switzerland) unless otherwise stated