Preprint
Article

This version is not peer-reviewed.

Search for Novel Phases in Y-Ba-Cu-O Family

A peer-reviewed article of this preprint also exists.

Submitted:

15 December 2023

Posted:

19 December 2023

You are already at the latest version

Abstract
In order to search possible residual minor phases in Y-Ba-Cu-O family, powdered mixtures of Y2O3 + BaCO3 + CuO and, independently, superconducting compound YBa2Cu3O7-x have been treated in evacuated cells and elevated temperatures.YBa2Cu3O7-x was reduced to YBa2Cu3O5 by use of the special home designed Taconis-Knudsen vacuum device. A subsequent doping by oxygen converts produced insulator YBa2Cu3O5 to semiconductor or metal YBa2Cu3O5+x (0<x<0.3). In addition to YBa2Cu3O5, 0.05 volume percent of the minor delafossite phase Y2Cu2O4 was being spotted in the powder mixture 1/2 Y2O3 + 2BaCO3+6Cu2O, heated up to 818 °C in an inert gas atmosphere. An attempt to prepare the insulating bulk delafossite samples was successful, and subsequent doping by oxygen produces novel metallic phases.
Keywords: 
;  ;  ;  ;  

Introduction

The discovery of superconductivity (SC) by Chu and co-workers [1] 1987. in a mixed compound Y1.2Ba0.8CuO, and indicated by transition temperature Tc = 93 K, was followed by an announcement [2] suggesting a possible appearance of even higher SC transition temperatures, approaching the room temperature (RT). Cava and co-workers [3] promoted the formula of the novel superconductor YBa2Cu3O7-x (Y-123). The present author reported resistive transitions at 210 K indicated by small diamagnetism [4,5]. Common to worldwide appearances of superconductivity near RT was the poor reproducibility and stability of the evaluated data. The probable reason is very small fraction of the minor phases which must be traced and recognized in the preparation methodology. SC transition temperature of YBa2Cu3O7-X decreases by removal of oxygen until, for x >0.7, material becomes an insulator indicated by the tetragonal crystal lattice, and unit cell dimensions a = b = 0,38570 nm, c = 1,18194 nm [6].
Only scarce theoretical work was being put forward on possibility of very high SC transition temperatures. Little promoted an idea [7] how organic linear chains may obey superconductivity at temperatures higher than dreamed 30 K , and further concepts published in scientific literature operated with quasi-one-dimensional conductivity, since it is evident that Cooper coherence can’t be established at high temperature in 2D and 3D conducting systems.
The question arises here on the possibility of lower oxidation states in Y-123, say 1<x< 2, while the crystal structure could be isomorphic with the original tetragonal phase. In this paper it is described a preparation of the novel metal YBa2Cu3O5+X (Y-5). In addition to Y-5, it was found the next minor phase YCuO2 in Y-Ba-Cu-O mixtures, and its structural, resistive and magnetic properties are reviewed.

Experiments

In order to trace the low concentrated minor phases in Y-Ba-Cu-O family, the standard preparations of Y-123 in the flowing oxygen atmosphere at 935 °C, must be replaced by more unconventional methods, which include treatment in an evacuated cell and firing temperatures ranging from 500-1100 °C. The powders of prepared compounds were pressed into pellets 8 mm in diameter and 0.8-1 mm thick, and in order to measure electric resistance, four gold wires, 100 microns in diameter, we pressed together with the powder as shown in the inset of Figure 8a.

YBa2Cu3O5+x

Two oxygen atoms were removed from the Y-123 (x = 0.16) pellet by use of the vacuum sublimation device designed in this laboratory and schematically presented in Figure 1.
The thermo-acoustic engine resonates between Taconis thermo-acoustic duct [8] and Knudsen cell, the latter held at 645 °C, while buffer is at RT. Gas dynamics in a Taconis duct is governed by two parameters; dynamic gas viscosity ν = μ/ρ indicated by a viscous depth l =(2 ν/ω)1/2 and thermal diffusivity of the gas in the duct given by k = λ/ρ ·cp. λ, cp and ρ are thermal conductivity, specific heat and gas density respectively. The ratio of a dynamic viscosity and thermal diffusivity defines Prandtl number governing the sublimation efficiency from the sample. The Taconis gas density stacks are visualized in the duct.
The practical performance of the thermo-acoustic resonator is visualised in Figure 2. Sample is positioned in the cell 1 and the pumping was proceeded through screw thread 2, funnelled to a coaxial duct between sample holder 3 and outer tube 4. The diameters between outer 4 tube and inner sample holder 3 differ 0.14 mm and define the cross-section of the duct. The volume of the Knudsen cell is 0.8 cm3 and it resonates with Taconis oscillations, giving rise to the pressure fluctuations strong enough to drain oxygen from the sample. Obviously, molecular velocities v = (2δp/ρ)1/2, driven by pressure oscillations in a small density range δp, are in the supersonic regime indicating that the strong sublimation occurs. The pumping path in the coaxial duct terminates in a vacuum buffer and dynamic pressure ~ 0.15 mbar in the buffer was adjusted by a fine needle valve. The temperature was monitored by use of the type K thermocouple 5. An additional adjusting parameter is provided by the fraction of the Taconis coaxial duct exposed to the hot zone of the oven. The Knudsen cell was maintained at constant temperature 645 °C and enhanced pressure oscillations in the cavity favour strong reduction of oxides. For instance, copper oxide CuO was reduced to the pure copper already at 332 °C. The resonant frequency of 11,2 kHz was measured by use of a hot wire anemometer 6 assembled from the platinum wire 25 microns in diameter, and fixed in the buffer interior.
The reduction of Y-123 superconductor was monitored by weight, and XRD data are presented in Figure 3. Refinement gives the dimensions of the tetragonal cell a = b = 0,38605 nm and c = 1,18450 nm. The samples are indicated by yellow colour, and an additional evaluation of the oxygen content was performed by reduction in hydrogen atmosphere. The final result was YBa2Cu3O5±0.06. When exposed to free air atmosphere Y-5 absorbs the oxygen and, in the course of one month of the exposure, it converts to YBa2Cu3O5,14.
Doping of the pellet YBa2Cu3O5 by oxygen was proceeded in a calibrated alumina cell. In an independent heating stage cell was filled by argon gas, in order to evaluate an increase of the pressure by heating and to trace the possible degassing from the ceramic background. Oxygen pressure was measured by use of absolute capacitance gauge of sensitivity better than 0,1 mbar.
The oxygen doping is presented in Figure 4, and starting oxygen pressure at RT was 50 mbar (a).The attached straight line shows an increase of the pressure as a result of the cell heating, prior to absorption which starts at 292 °C. It is indicative that the slope of the temperature dependent pressure after absorption differs from the initial one and an additional absorption step is visible at 632 °C, appealing for second minor phase in Y-5.Release of adsorbed oxygen starts at 825 °C and additional pressure, above linear straight line results from the partial deterioration of the unit cell Y-5.Temperature dependence of the oxygen pressure by cooling to RT is shown in curve (b), while yellow pellet becomes black. Final oxygen content of 2,625 moles in the pellet was evaluated by weight and by reduction in 2 bar hydrogen atmosphere at 410 °C.
In the next preparation YBa2Cu3O5,32 was produced, and temperature dependence of the resistance, measured in 10 mA AC current 20 Hz by use of the lock-in amplifier is shown in Figure 5. It falls down at 41°C and magnified potion between –10 and +10 °C is shown in the inset. Amplification of the lock-in transformer is frequency dependent for very small resistances measured, and pellet of the silver, and similar size, was used as an etalon for calibration on frequency. Comparatively high measuring current lifts the sample resistivity to 10–5 Ωcm, while application of 1 mA results in the resistivity less than 10–6 Ωcm. Extrapolation to zero current gives 0,17·10–6 Ωcm at ice point.
The measurement of AC magnetic susceptibility of YB2Cu3O5.25 was performed by use of a high resolution CryoBIND Research susceptometer. Real (black) and imaginary (red) parts are shown in Figure 6. The mass of the sample was 57 mg. AC field was 0,75 Oe (RMS), frequency 231 Hz, and superimposed DC field 44 Oe. The data appeal for two diamagnetic phases.  One phase is indicated by temperature dependent susceptibility decreasing by cooling from +11 °C, and its volume fraction is estimated to be 0,05 percents. Second phase is YBa2Cu3O7-X remain after incomplete draining in the Knudsen cell, and its volume fraction is 0,25 percents.
An important achievement of these experiments is a fair reproducibility of the measured data. However, an appreciable increase of the diamagnetic fraction was not observed during the preparation, and this in turn calls an attention that yellow phase may not be a carrier of the diamagnetic susceptibility above 93 K. Moreover, although XRD stressed the iso-structural properties with YBa2Cu3O6, shown in Figure 3 several additional and indicative diffractions seem to appear.

Delafossite Y2Cu2O4+δ

Non reacted mixture Y-123 was heated and analyzed by simultaneous differential scanning calorimeter (DSC) and thermogravimetry (DTG) in an inert gas atmosphere. The measured data, shown in Figure 7, stress endothermic features at 818 °C, 926 °C (Y-123 phase), 1028 °C (green phase Y2BaCuO5), and 1175°C.The endothermic peak at 818 °C is indicated by absence of BaCO3 decomposition. Obviously, it is going on a reaction with no barium involved, which sounds for group of oxides YnCunOx refereed in the literature as delafossites. The lowest member ishexagonal YCuO2 firstly synthesized by Ishiguro and co-workers [9], and later examined by Aride and co-workers [10].
Starting powder components for preparation of Y2Cu2O4 are Y2O3+Cu2O, pressed in pellets and fired for 24 hours in vacuum at 818-820 °C. Pink coloured pellet becomes reddish-black and insulating, while XRD record confirms the presence of YCuO2,non reacted Y2O3 and elementary Cu. P reparations at 0,5 and 1 bar oxygen result in reddish and green/grey colours respectively, both species being insulators. Hexagonal cell lattice parameters are a = 0,35206 nm, and c = 1,1418 nm.
Next experiments were focused on the insulating samples Y2Cu2O4 doped by comparatively small oxygen pressures. Figure 8 shows a gradual decrease of the resistivity, measured in air, with increasing oxygen pressure in the reaction cell. The pronounced maxima of resistivites are observed at –21 °C and –53 °C for oxygen pressures 2,4 and 10,2 mbar respectively.
It was observed that annealing near 40-50 mbar oxygen results in the lowest resistivities, order of 10-4 Ωcm at ice point, and by further increase of the oxygen pressure, higher than 150 mbar, samples become gradually again insulators. In both extreme cases valency of copper is uniform; Cu+ in zero pressure annealing and Cu2+ in 1 bar. Mixed valency state Cu+/Cu2+, as precondition for a conductivity, is established for oxygen pressures between 0,01 and 0,5 bar. Depending on the annealing pressure, pellets are differently coloured, which appeals for more complex pressure-temperature phase diagram.
The next doping pressure, dependent on temperature, is shown in Figure 9. Starting pressure at RT was 100 mbar. In order to minimize the background increase of the pressure due to the heating, pressure cell was externally buffered. The absorption starts at 395 °C and finishes at 587 °C. In order to eliminate contribution of the oxygen adhered on the grain boundaries the pressure cell was evacuated prior to cooling to RT, and it is visible an increase of the released oxygen at temperatures approaching RT. The remaining oxygen pressure in air was 38 mbar, confirmed also by a weight control.
Figure 10 shows the temperature dependence of the electric resistivity measured in air, after annealing in oxygen pressures at temperatures up to 645 °C, as presented in Figure 9, and it decreases comparatively slow by cooling due to high measuring current 10 mA. Resistivity falls below 10-6 Ωcm at temperature less than -100 °C.
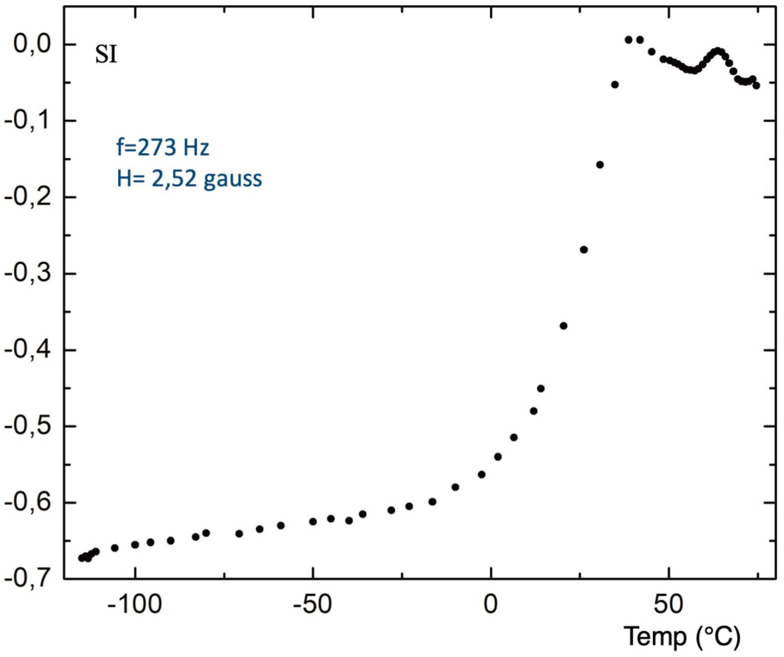
AC magnetic susceptibility of the pellet presented by resistivity, shown in Figure 11, was measured in air by use of primary and two secondary coaxial coils. The signal from two secondary coils was compensated, when both empty. Certified pellet of High Tc superconductor GdBa2Cu3O7-X, diameter 10 mm and thickness 1 mm, was used as an etalon. Etalon diamagnetism, at LN2 temperature 77 K, is SI = – 0.97.

Discussion

Two compounds YBa2Cu3O5 and Y2Cu2O4 are insulators containing only Cu+ cations embedded in mutually orthogonal Cu+–O–Cu+ chains. Absorption of oxygen converts partly Cu+ to Cu2+ creating mixed valency state indicated by good conductivity of electricity proceeded along the polarized chains, which is followed by transitions to low resistivity state near RT. The question arises, why diamagnetic contribution, in predominant mono-phase Y-5, presented in Figure 6, is still small. More like, it seems that it arises from Y2Cu2O2 as a minor phase in Y-5. However, the premature exclusion of resistive and magnetic transitions in Y-5 doesn’t seem to be productive, while relatively high amount of absorbed oxygen suggests the promising set of novel experiments.
In some aspects insulating Y2Cu2O4 is similar to La2CuO4 which becomes superconducting when doped by oxygen [11,12,13], and both oxides are very sensitive on doping δ. Even small exposure to oxygen reduces dramatically electric resistivity, as it is shown in Figure 8. A pronounced maximum of the temperature dependent resistivity reflects the competition of magnetic (spinon) and electric (holon) degrees of freedom expressed in t – J Hamiltonian involved in modern models of spin-charge separation. In classic theories of the superconductivity, like BCS, Cooper instability drives the electron pairing at temperature T*; ln(kT*/pFvs)= – pF·vs /J. pF and vS are Fermi surface momentum and spin velocity respectively. At higher doping densities, spinon and holon velocities are equal vh =vs = J/pF and maximum of temperature dependent resistivity occurs at kT*= J. J is linear dependent on small doping δ [14], and expression for the Cooper instability gives maxima in Figure 8.
Spin-charge separation was firstly observed in a one-dimensional compound SrCuO2 [15,16]. Cu-O distances in Y2Cu2O4 are 3,52 Á, which is considerably higher than those in insulating SrCuO2 (0,16 nm), and Y-5 (0,193 nm). Consequently, spinon and holon velocities will be higher in smaller Cu-O chain density [17], which is followed by smaller charge transfer gap. Spin-charge separation embodied in t-J Hamiltonian indicates strong competition between the superconductivity and insulating state. Competition is the usual guide, as a home recipe, for search of new superconductors presuming insulators as possible candidates. SrCuO2 is not superconducting, indicating that more complicated connection of the superconductivity and spin charge separation must be considered. In order to put forward further analyses it may be customary to reduce partly SrCuO2 by above described thermo-acoustic resonator and induce the mixed valency state.

Conclusions

Two insulating phases, YBa2Cu3O5 and Y2Cu2O4 which appear as minor components in the preparation of YBa2Cu3O7-x superconductor were focused and independently prepared. Doping by oxygen results in quasi-one-dimensional conductors indicating that some resistive and magnetic properties call attention for a novel superconductivity.

Acknowledgment

Author is grateful to Mladen Prester and Gjuro Drobac (CryoBIND Research d.o.o.) for a high resolution AC susceptibility measurement presented in Figure 6. Author profited from the discussions with Mr Matej Ercegović.

References

  1. M.K. Wu, J.R.Ashburn, C.J.Torng, P.H.Hor, R.L.Meng, L.Gao, Z.J.Huang, Y.Q. Wang and C.W. Chu, Superconductivity at 93 K in a new mixed-phase Y-Ba-Cu-O compound system at ambient pressure, Phys. Rev. Lett,1987, 58, 908-910. [CrossRef]
  2. C.W. Chu, New York Times (March 10,1987).
  3. R.J. Cava, B.Batlogg, R.B. van Dover, D.W. Murphy, S.Sunshine, T.Siegrist, J.P.Remeika, E.A.Rietman, S.Zahurak and G.P.Espinosa, Bulk Superconductivity at 91 K in Single-Phase Oxygen-Deficient Perovskite Ba2YCu3O9-δ .Phys. Rev. Lett,1987, 58,1676-1679. [CrossRef]
  4. D. Djurek, M.Prester, S.Knezović, Dj.Drobac and O.Milat, Low Resistance State up to 210 K in a Mixed Compound Y-Ba-Cu-O, Phys. Lett, 1987,A123, 481-484. [CrossRef]
  5. D.Djurek, M.Prester, S .Knezović, Dj.Drobac, O.Milat, E.Babić, N.Brničević, K.Furić, Z.Medunić and T.Vukelja, Possible Superconducting State up to 210 K in the New Composition of Y-Ba-Cu-O, Croat.Chem. Acta, 1987, 60, 351-352.
  6. S.Banerjee, Ch. Dasgupta, S.Mukerjee, T.V.Ramakrishnan and G.Sarkar, High temperature superconductivity in the cuprates: Materials, phenomena and a mechanism, AIP Conference Proceedings, 2005, 020001. [CrossRef]
  7. W.A. Little, Possibility of Synthesizing an Organic Superconductor, Phys. Rev, 1964, 134, A1416-1424. [CrossRef]
  8. Taconis, K.W, J.J. Beenakker, A.O.C. Nier and L.T.Aldrich, Measurements concerning the vapour-liquid equilibrium of solutions of He3 in He4 below 2,19 K, Physica, 15, 1949, 733-739. [CrossRef]
  9. T. Ishiguro, N. Ishizawa, N. Mizutani and M.Kato, A New Delafossite-Type Compound CuYO2, J. Solid State Chem, 1983, 49, 232-236. [CrossRef]
  10. J.Aride, S.Flandrois, M.Taibi, A.Boukhari, M.Drillon and J. L. Soubeyroux, New Investigations on Magnetic and Neutron Diffraction Properties of Y2Cu2O5, Solid State Comm, 1989,72 (5), 459-463. [CrossRef]
  11. C. Chaillout & M. Marezio, Structural and Physical Properties of Superconducting La2CuO4+δ , Materials and Chrystallographic Aspects of HTc-Superconductivity, NATO ASISeries,1994,263, 129-144. [CrossRef]
  12. J.Beille, R. Cabanel, C.Chaillout, B. Chevalier, G.Demazeau, F.Deslandes, J.Ettourmeau, P.Leja, C.Michel, J.Provost, B.Raveau, A.Sulpice, J.L.Tholence, R.Tournier, Superconductivity of La2CuxO4-y, C.R. Acad .Sc. Paris, 1987, t.304, serie II no 18,1097-1112. [CrossRef]
  13. P.M. Grant, S.S.P. Parkin, V.Y.Lee. E.M.Engler, M.L.Ramirez, J.E.Vazquez, G.Lim, R.D.Jakowitz and R.L. Greene, Evidence for superconductivity in La2CuO4, Phys.Rev.Lett,1987, 58,2482-2487.
  14. P. W Anderson, Experimental Constraints on the Theory of High-Tc Superconductivity, Science, 1992, 256, 1526-1531. [CrossRef]
  15. C.Kim, A.Y.Matsuura,Z.-X.Shen, N.Motoyama,H.Eisaki, S.Uchida. T.Tohuyama and S.Maekava, Observation of Spin-Charge Separation in One-Dimensional SrCuO2, Phys.Rev.Lett, 1996, 77, 4054-4057. [CrossRef]
  16. B.J.Kim, H.Koh, E. Rotenberg, S-J. Oh, H. Eisaki, N. Motoyama, S. Uchida, T. Tohoyama, S. Maekava. Z.-K. Shen and C. Kim, Distinct spinon and holon dispersions in photoemission spectral functions from one-dimensional SrCuO2, Nature Physics ,2006, 2, 397-401. [CrossRef]
  17. R. Senaratne, D. Cavazos-Cavazos, S. Wang, F. He, Ya-Tiang Chang, A. Kafle, H. P. Xi-WenGuanand R.G. Hulet, Science, Spin-Charge separationin a one-dimensional Fermi gas with tunable interactions, 2022, 376, 1305-1332. [CrossRef]
Figure 1. Schematic principle of a thermo-acoustic resonator which resonates between Taconis thermo-acoustic duct and Knudsen cell.
Figure 1. Schematic principle of a thermo-acoustic resonator which resonates between Taconis thermo-acoustic duct and Knudsen cell.
Preprints 93420 g001
Figure 2. Technical performance of the thermo-acoustic resonator.
Figure 2. Technical performance of the thermo-acoustic resonator.
Preprints 93420 g002
Figure 3. X-ray diffractograms: (a) the superconducting sample Y-123, (b) YBa2Cu3O5 (Y-5) obtained by removal of two oxygen atoms from the same sample Y-123, (c) Y-5 structure refinement.
Figure 3. X-ray diffractograms: (a) the superconducting sample Y-123, (b) YBa2Cu3O5 (Y-5) obtained by removal of two oxygen atoms from the same sample Y-123, (c) Y-5 structure refinement.
Preprints 93420 g003
Figure 4. Temperature dependence of the oxygen pressure in the cell containing the pellet of YBa2Cu3O5.
Figure 4. Temperature dependence of the oxygen pressure in the cell containing the pellet of YBa2Cu3O5.
Preprints 93420 g004
Figure 5. Temperature dependence of the electric resistance of YBa2Cu3O5,32 measured at 20 Hz and 10 mA by lock-in amplifier. Inset shows the magnified data in the temperature range –10 °C + 10 °C.
Figure 5. Temperature dependence of the electric resistance of YBa2Cu3O5,32 measured at 20 Hz and 10 mA by lock-in amplifier. Inset shows the magnified data in the temperature range –10 °C + 10 °C.
Preprints 93420 g005
Figure 6. Temperature dependence of the real (black) and imaginary (red) part of the AC susceptibility of the oxygen doped YBa2Cu3O5,25. Left to the black curve, it is visible 0,25 volume percent of superconducting Y-123, remained after thermo-acoustic reduction.
Figure 6. Temperature dependence of the real (black) and imaginary (red) part of the AC susceptibility of the oxygen doped YBa2Cu3O5,25. Left to the black curve, it is visible 0,25 volume percent of superconducting Y-123, remained after thermo-acoustic reduction.
Preprints 93420 g006
Figure 7. DSC-DTG record of the previously unfired mixture 1/2Y2O3+2BaCO3+Cu2O in argon atmosphere. Endothermic feature at 926 °C corresponds to formation of the tetragonal Y-123 phase.
Figure 7. DSC-DTG record of the previously unfired mixture 1/2Y2O3+2BaCO3+Cu2O in argon atmosphere. Endothermic feature at 926 °C corresponds to formation of the tetragonal Y-123 phase.
Preprints 93420 g007
Figure 8. Temperature dependence of the resistivity of Y2Cu2O4 , measured in air, after annealing in oxygen atmosphere: (a) 2,4 mbar, and inset shows the sample pellet with impressed 100 microns gold wires, (b) 10,2 mbar, and inset presents the hexagonal structure of Y2Cu2O4 as reported by Ishiguro and co-workers.
Figure 8. Temperature dependence of the resistivity of Y2Cu2O4 , measured in air, after annealing in oxygen atmosphere: (a) 2,4 mbar, and inset shows the sample pellet with impressed 100 microns gold wires, (b) 10,2 mbar, and inset presents the hexagonal structure of Y2Cu2O4 as reported by Ishiguro and co-workers.
Preprints 93420 g008
Figure 9. Doping of Y2Cu2O4 by oxygen, and cooling to RT after evacuation.
Figure 9. Doping of Y2Cu2O4 by oxygen, and cooling to RT after evacuation.
Preprints 93420 g009
Figure 10. Temperature dependence of the resistivity, measured in air, of the sample Y2Cu2O4 after annealing in 38 mbar oxygen atmosphere at 645 °C.
Figure 10. Temperature dependence of the resistivity, measured in air, of the sample Y2Cu2O4 after annealing in 38 mbar oxygen atmosphere at 645 °C.
Preprints 93420 g010
Figure 11. Temperature dependence of magnetic AC susceptibility of the pellet Y2Cu2O4+δ used in electric resistance measurement and shown in Figure 10. Pellet was fixed in a secondary coil balanced with other identical coil in secondary circuit.
Figure 11. Temperature dependence of magnetic AC susceptibility of the pellet Y2Cu2O4+δ used in electric resistance measurement and shown in Figure 10. Pellet was fixed in a secondary coil balanced with other identical coil in secondary circuit.
Preprints 93420 g011
Disclaimer/Publisher’s Note: The statements, opinions and data contained in all publications are solely those of the individual author(s) and contributor(s) and not of MDPI and/or the editor(s). MDPI and/or the editor(s) disclaim responsibility for any injury to people or property resulting from any ideas, methods, instructions or products referred to in the content.
Copyright: This open access article is published under a Creative Commons CC BY 4.0 license, which permit the free download, distribution, and reuse, provided that the author and preprint are cited in any reuse.
Prerpints.org logo

Preprints.org is a free preprint server supported by MDPI in Basel, Switzerland.

Subscribe

Disclaimer

Terms of Use

Privacy Policy

Privacy Settings

© 2026 MDPI (Basel, Switzerland) unless otherwise stated