Preprint
Article

This version is not peer-reviewed.

Saw Log Recovery in Birch, Black Alder and Aspen Stands of Hemiboreal Forests in Latvia

A peer-reviewed article of this preprint also exists.

Submitted:

10 December 2023

Posted:

12 December 2023

You are already at the latest version

Abstract
In any forest stand, the theoretically modelled output of sawlogs (the most valuable roundwood assortments) will differ from what is actually obtained. The aim of this study was to assess whether it is possible to characterize this difference by site properties or inventory parameters of forest element for birch, black alder and as-pen. The differences in yield of sawlogs varied among soil types, and was increasing with age and average diameter of the forest element. The theoretical model for assortment grading predicted a lower yield of saw-logs compared to actually obtained yield at a lower age and at a lower average diameter, but overestimated output of sawlogs as age and diameter increase. The results highlight necessity to consider decreasing wood quality with increasing age to account for damage, such as stem rot, in assortment tables.
Keywords: 
;  ;  

1. Introduction

The importance of sawnwood in the circular bioeconomy lies in its potential to serve as a sustainable, renewable, and environmentally friendly high-value building material that aligns with the principles of circularity, resource efficiency, and climate change mitigation [1,2,3]. As wood products like sawnwood are utilized in construction, they effectively sequester carbon over the long term [4], hence contribute to mitigating climate change by reducing atmospheric carbon dioxide levels [5]. Sawnwood has the potential to substitute fossil-based materials in various applications, contributing to the reduction of dependence on non-renewable resources [6]. The production of sawnwood generally requires less energy compared to alternative building materials like steel or concrete. On average, one kilogram of carbon in wood products reduces ca. 1.2 kg of carbon, when substituting non-wood products [7]. This characteristic aligns with the principles of the circular bioeconomy by promoting energy-efficient and sustainable manufacturing processes [5].
Therefore, the ability to accurately estimate the proportion of high-quality assortments, particularly those suitable for sawnwood, is important in determining the potential for long-term carbon storage, in addition to optimized harvesting process and enhanced wood chains [8]. Birch, aspen, and black alder, as commercially valuable species in the Baltic region, contribute significantly to the timber industry. Silver birch (Betula pendula Roth) is a dominant broadleaved species in the region in the context of wood production, playing the key role in the highly developed plywood industry [9,10]. Meanwhile aspen and black alder are used in mixed-species products, having potential to be combined with birch in plywood manufacturing [11]. Traditional predictions of roundwood assortments, however, often rely on theoretical models with dimensional sorting that assume a consistent quality distribution over the tree's lifespan, rarely accounting for quality [12]. This approach may overestimate assortments, especially with increasing age, as it neglects various stem defects such as false heartwood, decay, and damage caused by browsing, among other factors [13,14,15,16]. Such damage may often affect the bottom log the most of all, which is the most valuable section for sawn wood. Often, such damage predominantly affects the bottom log, which represents the most valuable section for the production of sawn wood [17]. In Norway, butt rot in Norway spruce (Picea abies L. Karst) is estimated to cause reduction in saw log volume by 48 %, resulting in ca. €18.5 million economic losses annually [18]. For broadleaf species, comprehensive assessment of the impact of internal decay (e.g. stem rot) on merchantable volume and carbon stocks is still lacking [15,19,20]. Besides, disturbances by various pathogens are predicted to intensify with expected warmer and wetter conditions, likely to amply disturbances as they interact [21].
Understanding and addressing these deviations between theoretical predictions and actual harvested assortments are crucial for optimizing management activities as well as carbon sequestration strategies. This study aims to estimate the difference between theoretical predictions and actual harvested assortments for birch, aspen, and black alder in Latvia.

2. Materials and Methods

A comparison was made between the theoretically modelled output of saw logs and the volume of saw logs actually obtained in final felling. This comparison has been made for birch (Betula spp.), black alder (Alnus glutinosa L.) and Europeans aspen (Populus tremula L.). Actual assortment outcomes were obtained from JSC “Latvian State Forests”, using data from final fellings in years 2017 -2020. Only stands with area of at least 0.5 ha and not more than 5.0 ha were included in the study. We assumed that in smaller felling areas, some atypical trees may cause bias in the outcome of the prepared assortments, while in larger fellings, due to the heterogeneity of the forest, the mean values of the field inventory data of the forest element and the type of soil may not objectively describe the different conditions in the felling area. In order to avoid the impact of certain atypical trees, the analysis only uses data from the felled forest elements where the volume of prepared assortments is at least 30 m3. The study used data from 4,745 forest elements from 3,543 final fellings: birch 3,042, black alder 684 and aspen 1,019.
Data from final fellings were combined with forest inventory data from the State Forest Register (Table 1). The analysis used data from stands with only one element of the corresponding species, so there are no forest elements of two different ages of the same species or forest elements of the same species from two different storeys. We excluded such stands from the analysis because the felling did not list separately the assortments by forest element, but only by tree species.
From the inventory data, theoretical outcome of the tree assortments has been calculated using assortment model developed by Latvian State Forest Research institute “Silava”, which is the stem assortment model developed by Ozolins [22] and modified by Donis (unpublished). This model estimates the outcome of assortments of healthy trees (assumes no decay, no wood defects, no damage, etc.). The study used the dimensions of the assortments of saw logs used in practice (Table 2).
The soil type, the average diameter and the age of the forest element have been tested to characterise the difference in the output of the actual and theoretical sawn logs. The study divided the soil type into five groups: mineral soil, wet mineral soil, wet peat soil, drained mineral soil and drained peat soil.
The statistical analysis was performed using the Generalized Linear Model tool in SPSS for Windows. A linear model was employed with the maximum likelihood estimate for the scale parameter method. The analysis type was set to Type III, and Chi-square statistics were computed using the Wald method. Confidence intervals were determined using the Wald method with a confidence level of 95%. The log-likelihood function utilized was the Full method.

3. Results

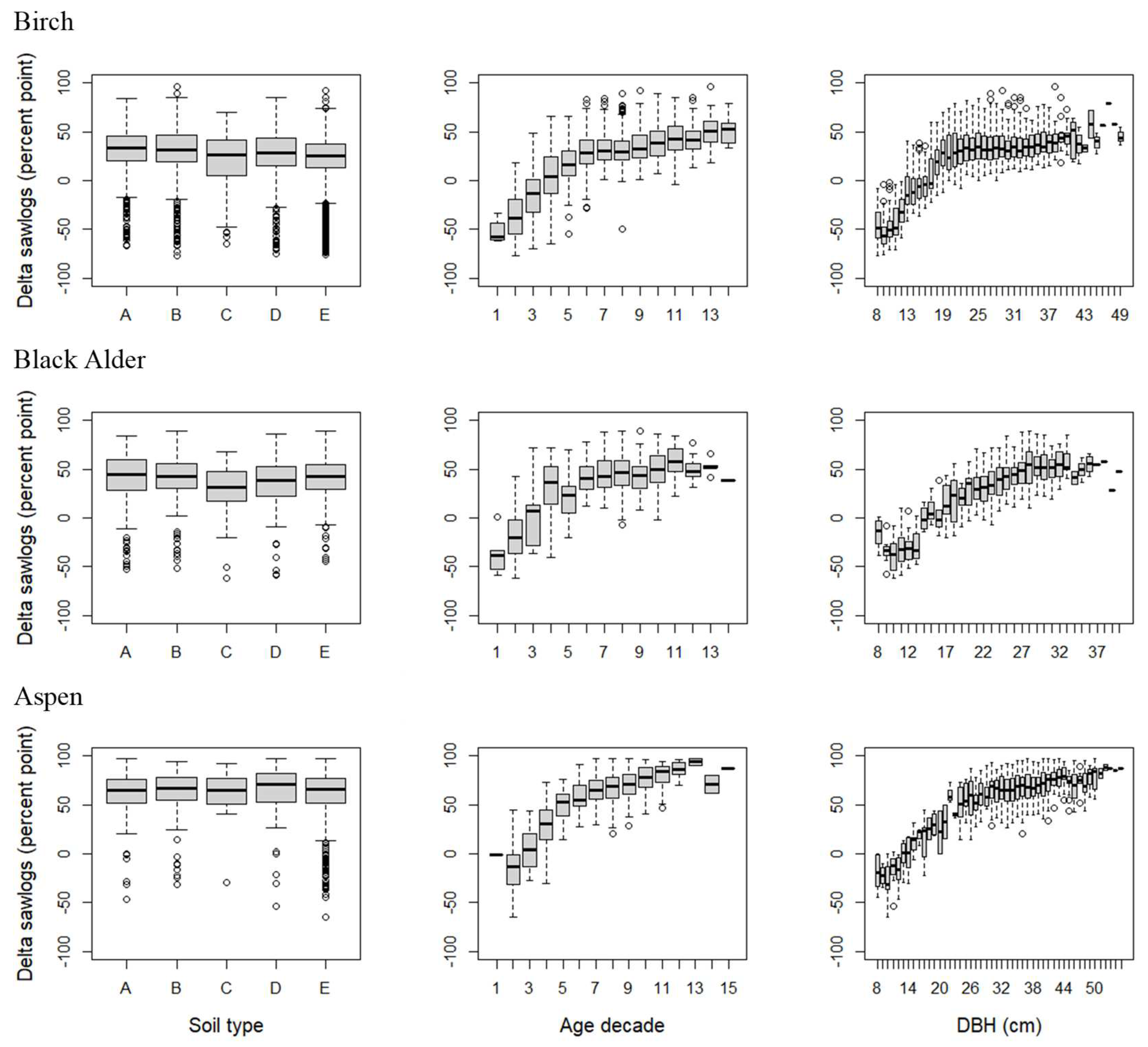
On average, the difference between theoretically modelled and practically obtained saw log outcome was –24.32 ± 0.52 percentage points for birch, –37.85 ± 1.05 percentage points for black alder and –60.96 ± 0.82 percentage points for aspen. Our results show that the difference in yield of sawn logs is not the same for all soil types, and it also varies depending on the average age and average diameter of the forest element. Namely, the theoretical model predicts a lower yield of sawlogs compared to the practically obtained yield at a lower age and at a lower average diameter, but as age and diameter increase, it predicts a higher output of sawlogs (Figure 1). Moreover, for both age and diameter, this relationship is non-linear. Consequently, the analysis includes the logarithmic values of those inventory parameters.
The difference in yield between the theoretical model and the actual assortments is significantly influenced by the soil type, age and average diameter of the forest element for birch, and by the age and average diameter of the forest element for black alder and aspen (Table 3).
Values for linear model coefficients have also been calculated to better characterise the impact of each factor (Table 4).

4. Discussion

In the study, we initially hypothesized that quality and the output of the sawlogs' assortments relative to the potentially possible is decreasing over time. It should be stressed here that we are not analysing the absolute or relative volume of the assortments, but the reduction in percentage points relative to the potential. The hypothesis was confirmed - the age and average diameter of the forest element has a significant impact on the reduction of the assortments of sawlogs relative to the potentially predicted. In addition, all species tend to see an increasing reduction in the assortments of sawn logs relative to potentially modelled yield over time with increasing diameter and, in particular, at a higher age (Figure 1). Thus, the longer birch, black alder and aspen stands are grown, the greater the reduction in sawlog assortments relative to what is potentially possible. In the Baltic sea region, middle-aged stands (usually up to 60 years old) could be characterized with fast growth and high carbon uptake [3], yet still without intensive development of wood damage [16]. For instance, notable reduction in wood quality due to heart rot in black alders appears at the age of 60 to 70 years [23], while birch faces decreased vitality and increasing susceptibility to decay and other defects after the age of 50 years [24]. The highest difference between theoretically modelled and actually obtained saw log outcome was observed for aspen (–60.96 ± 0.82 percentage points), likely due to relatively short lifespan of the species [25], hence higher proportion of roundwood with damage caused by, for instance, large poplar borer and subsequent spread of rot into the tree [26].
Impact of numerous environmental factors on assortment structure may be highly variable. The linear equation developed in the study was not intended to calculate the reduction in the yield of the assortments of sawlogs due to different wood defects (e.g. decay, stem curvature, stem cracks, branchiness, etc.). Nevertheless, soil type and age worked as reasonable proxy in the analytical model for cumulative effect of number of unknown factors, which certainly have an impact on the stem quality and its reduction (e.g. the deer population in a particular location, the genetics of the trees, the historical forestry regime of the stand, etc.). Often wounds from damage by ungulates (e.g. bark stripping) serve as entrance for fungi causing decay [14,27]. In Norway spruce, butt rot reported to reduce saw log volume of 48 % [18]. Similarly, diverse exogenous damaging agents can trigger formation of false heartwood in birch, considered as defect when grading [13]. Spanish studies in pedunculate oak revealed that sawn wood for planks of structural dimensions decreased from 43.4% to only 8.4% of log volume due to wane and biotic damage (including insect damage) [28,29]. Meanwhile, negligible value loss is expected from fire-caused injuries in oaks if the damage is not exceeding 50 cm height and 20 % of basal circumference [30].
Meanwhile theoretical models (including our model) for traditional assortment tables are based on sorting by dimensions, without accounting for quality characteristics. Thus, increasing reduction of obtained sawn wood assortments relative to theoretically modelled highlights disregarded damage by various agents with increasing age and diameter, especially for the most valuable bottom logs of large dimensions [18]. There have been only occasional attempts to include criteria of wood quality in assortment predictions, for instance, considering age and combining models of assortment tables and wood quality and damage for poplar clones in Slovakia [12]. For birch, height of the lowest dry branch was found to be significant predictor for grade distribution in Norway [31]. In Canada, tree age, quality and presence of fungi were among the factors used to predict the proportion of decayed volume in trembling aspen (Populus tremuloides Michx.) assortments [15].
For smaller and younger forest elements, the yield of the assortment of sawn logs relative to the potential was negative (Figure 1). This means that the assortment model predicts the outcome of fewer assortments of sawlogs as realistically achievable in nature. This may be explained by stand structure, when individual trees or groups of trees can grow in the vicinity of different types of openings or edges, and their dimensions may be larger than the tree distribution models used in our assortment model can predict [32]. If the effects of internal edges of gaps or skid trails in not accounted, estimates of stand yields may be underestimated [33].
Soil type as proxy for different forest types [34] did not show statistically significant effect on difference in modelled and realized saw log assortments (Table 3) for aspen and black alder, hence estimation bias regardless growing conditions. For birch, soil type was a statistically significant factor (p < 0.001) affecting the studied differences – underestimations of sawn wood assortments tended to be the highest on drained peat soil, followed by drained mineral soil and wet mineral soil compared to dry mineral soil (Table 4). Although both birch species were not separated in the study, the differences might be somewhat explained by higher abundance of downy birch on peat soils and in wet sites, since this species generally could be characterized with lower wood quality, for instance, more severely crocked stems, compared to silver birch [24,35]. For both birch species, the recovery of the veneer logs observed to be higher in stands on dry mineral soils than on drained mineral and peat soils [36], likely associated with also higher stem rot incidence in wetter conditions.

5. Conclusions

Our findings indicate that the theoretical model tends to underestimate saw log yield at lower ages and smaller diameters but predicts higher yields as age and diameter increase. The difference in yield between the theoretical model and actual assortments is significantly influenced by soil type, age, and average diameter for birch. For black alder and aspen, the difference is primarily impacted by age and average diameter. These insights highlight the complexity of predicting saw log yield and underscore the importance of considering factors such as soil type, age, along with commonly used diameter in refining theoretical models for more accurate assessments. Further studies should attempt to build models for predicting quality reduction associated to various damage.

Author Contributions

Conceptualization, J.D., J.J. and P.Z. ; methodology, G.S. , J.D. and A.J.; formal analysis, G.S.; resources, A.J.; writing—original draft preparation, P.Z., J.D. and G.S.; writing—review and editing, Ā.J.; funding acquisition, A.J. All authors have read and agreed to the published version of the manuscript.

Funding

This research was funded by European Regional Development Fund projects “Tool for assessment of carbon turnover and greenhouse gas fluxes in broadleaved tree stands with consideration of internal stem decay” No 1.1.1.1/21/A/063.

Data Availability Statement

Data sharing is not applicable to this article.

Acknowledgments

Harvesting data is a property of JSC “Latvian State Forests”.

Conflicts of Interest

The authors declare no conflict of interest.

References

  1. Sharma, R.; Malaviya, P. Ecosystem services and climate action from a circular bioeconomy perspective. Renew. Sustain. Energy Rev. 2023, 175, 113164. [Google Scholar] [CrossRef]
  2. D’Amato, D.; Korhonen-Kurki, K.; Lyytikainen, V.; Matthies, B.D.; Horcea-Milcu, A.I. Circular bioeconomy: Actors and dynamics of knowledge co-production in Finland. For. Policy Econ. 2022, 144, 102820. [Google Scholar] [CrossRef]
  3. Högbom, L.; Abbas, D.; Armolaitis, K.; Baders, E.; Futter, M.; Jansons, A.; Jõgiste, K.; Lazdins, A.; Lukminė, D.; Mustonen, M.; et al. Trilemma of nordic–baltic forestry—how to implement un sustainable development goals. Sustain. 2021, 13, 5643. [Google Scholar] [CrossRef]
  4. Brunet-Navarro, P.; Jochheim, H.; Cardellini, G.; Richter, K.; Muys, B. Climate mitigation by energy and material substitution of wood products has an expiry date. J. Clean. Prod. 2021, 303, 127026. [Google Scholar] [CrossRef]
  5. Jonsson, R.; Rinaldi, F.; Pilli, R.; Fiorese, G.; Hurmekoski, E.; Cazzaniga, N.; Robert, N.; Camia, A. Boosting the EU forest-based bioeconomy: Market, climate, and employment impacts. Technol. Forecast. Soc. Change 2021, 163, 120478. [Google Scholar] [CrossRef]
  6. Howard, C.; Dymond, C.C.; Griess, V.C.; Tolkien-Spurr, D.; van Kooten, G.C. Wood product carbon substitution benefits: a critical review of assumptions. Carbon Balance Manag. 2021, 16, 1–11. [Google Scholar] [CrossRef] [PubMed]
  7. Leskinen, P.; Cardellini, G.; González-García, S.; Hurmekoski, E.; Sathre, R.; Seppälä, J.; Smyth, C.; Stern, T.; Verkerk, P.J. Substitution effects of wood-based products in climate change mitigation. From Science to Policy 7, European Forest Institute. From Sci. to Policy 7 2018, 27. [Google Scholar] [CrossRef]
  8. Alvites, C.; Marchetti, M.; Lasserre, B.; Santopuoli, G. LiDAR as a Tool for Assessing Timber Assortments: A Systematic Literature Review. Remote Sens. 2022, 14, 4466. [Google Scholar] [CrossRef]
  9. Klauss, K. The forest sector in the Baltic States: A united, growth-oriented economic ecosystem. In The forest industry around the Baltic Sea region: Future challenges and opportunities; Liuhto, K., Ed.; Centrum Balticum Foundation: Turku, Finland, 2020; pp. 59–68. [Google Scholar]
  10. Girdziušas, S.; Löf, M.; Hanssen, K.H.; Lazdiņa, D.; Madsen, P.; Saksa, T.; Liepiņš, K.; Fløistad, I.S.; Metslaid, M. Forest regeneration management and policy in the Nordic–Baltic region since 1900. Scand. J. For. Res. 2021, 36, 513–523. [Google Scholar] [CrossRef]
  11. Akkurt, T.; Kallakas, H.; Rohumaa, A.; Hunt, C.G.; Kers, J. Impact of Aspen and Black Alder Substitution in Birch Plywood. Forests 2022, 13, 142. [Google Scholar] [CrossRef]
  12. Petráš, R.; Mecko, J.; Nociar, V. Models of assortment yield tables for poplar clones. J. For. Sci. 2008, 54, 227–233. [Google Scholar] [CrossRef]
  13. Hörnfeldt, R.; Drouin, M.; Woxblom, L. False heartwood in beech Fagus sylvatica, birch Betula pendula, B. papyrifera and ash Fraxinus excelsior - an overview. Ecol. Bull. 2010, 61–76. [Google Scholar]
  14. Vacek, Z.; Cukor, J.; Linda, R.; Vacek, S.; Šimůnek, V.; Brichta, J.; Gallo, J.; Prokůpková, A. Bark stripping, the crucial factor affecting stem rot development and timber production of Norway spruce forests in Central Europe. For. Ecol. Manage. 2020, 474, 118360. [Google Scholar] [CrossRef]
  15. Schneider, R.; Riopel, M.; Pothier, D.; Côté, L. Predicting decay and round-wood end use volume in trembling aspen (Populus tremuloides Michx.). Ann. For. Sci. 2008, 65, 608–608. [Google Scholar] [CrossRef]
  16. Karaszewski, Z.; Mederski, P.S.; Bembenek, M.; Giefing, D.F.; Sawicka, K.; Gierszewska, M. Factors affecting the timber quality of black alder (Alnus glutinosa (L.) Gaertn.). Ann. Warsaw Agric. Univ. -SGGW For. Wood Technol. 2015, 89, 70–75. [Google Scholar]
  17. Harkonen, S.; Pulkkinen, A.; Herajarvi, H. Wood quality of birch (Betula spp.) trees damaged by moose. Alces 2009, 45, 67–72. [Google Scholar]
  18. Noordermeer, L.; Korpunen, H.; Berg, S.; Gobakken, T.; Astrup, R. Economic losses caused by butt rot in Norway spruce trees in Norway. Scand. J. For. Res. 2023. [Google Scholar] [CrossRef]
  19. Liepiņš, J.; Jaunslaviete, I.; Liepiņš, K.; Jansone, L.; Matisons, R.; Lazdiņš, A.; Jansons, Ā. Effect of stem rot on wood basic density, carbon, and nitrogen content of living deciduous trees in hemiboreal forests. Silva Fenn. 2023, 57. [Google Scholar] [CrossRef]
  20. Marra, R.E.; Brazee, N.J.; Fraver, S. Estimating carbon loss due to internal decay in living trees using tomography: Implications for forest carbon budgets. Environ. Res. Lett. 2018, 13, 105004. [Google Scholar] [CrossRef]
  21. Seidl, R.; Thom, D.; Kautz, M.; Martin-Benito, D.; Peltoniemi, M.; Vacchiano, G.; Wild, J.; Ascoli, D.; Petr, M.; Honkaniemi, J.; et al. Forest disturbances under climate change. Nat. Clim. Chang. 2017, 7, 395–402. [Google Scholar] [CrossRef]
  22. Ozolins, R. Forest stand assortment structure analysis using mathematical modelling. For. Stud. Uurim. 2002, 37, 33–42. [Google Scholar]
  23. Claessens, H.; Oosterbaan, A.; Savill, P.; Rondeux, J. A review of the characteristics of black alder (Alnus glutinosa (L.) Gaertn.) and their implications for silvicultural practices. Forestry 2010, 83, 163–175. [Google Scholar] [CrossRef]
  24. Hynynen, J.; Niemisto, P.; Vihera-Aarnio, A.; Brunner, A.; Hein, S.; Velling, P. Silviculture of birch (Betula pendula Roth and Betula pubescens Ehrh.) in northern Europe. Forestry 2010, 83, 103–119. [Google Scholar] [CrossRef]
  25. Worrell, R. European aspen (Populus tremula L.): A review with particular reference to Scotland I. Distribution, ecology and genetic variation. Forestry 1995, 68, 93–105. [Google Scholar] [CrossRef]
  26. Zeps, M.; Senhofa, S.; Zadina, M.; Neimane, U.; Jansons, A. Stem damages caused by heart rot and large poplar borer on hybrid and European aspen. For. Stud. 2017, 66, 21–26. [Google Scholar] [CrossRef]
  27. Ward, A.I.; White, P.C.L.; Smith, A.; Critchley, C.H. Modelling the cost of roe deer browsing damage to forestry. For. Ecol. Manage. 2004, 191, 301–310. [Google Scholar] [CrossRef]
  28. Riesco Muñoz, G.; Remacha Gete, A.; Gasalla Regueiro, M. Variation in log quality and prediction of sawing yield in oak wood (Quercus robur). Ann. For. Sci. 2013, 70, 695–706. [Google Scholar] [CrossRef]
  29. Riesco Muñoz, G.; Remacha Gete, A.; Gasalla Regueiro, M. Sawing yield in oak (Quercus robur) wood affected by insect damage. Int. Biodeterior. Biodegrad. 2014, 86, 102–107. [Google Scholar] [CrossRef]
  30. Marschall, J.M.; Guyette, R.P.; Stambaugh, M.C.; Stevenson, A.P. Fire damage effects on red oak timber product value. For. Ecol. Manage. 2014, 320, 182–189. [Google Scholar] [CrossRef]
  31. Gobakken, T. Models for Assessing Timber Grade Distribution and Economic Value of Standing Birch Trees. Scand. J. For. Res. 2000, 15, 570–578. [Google Scholar] [CrossRef]
  32. McDonald, R.I.; Urban, D.L. Forest edges and tree growth rates in the North Carolina Piedmont. Ecology 2004, 85, 2258–2266. [Google Scholar] [CrossRef]
  33. Roberts, S.D.; Harrington, C.A. Individual tree growth response to variable-density thinning in coastal Pacific Northwest forests. For. Ecol. Manage. 2008, 255, 2771–2781. [Google Scholar] [CrossRef]
  34. Buss, K. Forest ecosystem classification in Latvia. Proc. Latv. Acad. Sci. Sect. B 1997, 51, 204–218. [Google Scholar]
  35. Hytönen, J.; Saramäki, J.; Niemistö, P. Growth, stem quality and nutritional status of Betula pendula and Betula pubescens in pure stands and mixtures. Scand. J. For. Res. 2014, 29, 1–11. [Google Scholar] [CrossRef]
  36. Zalitis, T. The Analysis of Silver Birch (Betula Pendula Roth.) Stands in State and Private Forests in Latvia. In Proceedings of the Forest Sciences; Latvia University of Agriculture: Jelgava, 2008; pp. 146–150. [Google Scholar]
Figure 1. Changes in assortments of sawlogs depending on soil type, mean age and diameter of the forest element. Delta sawlogs (percent point) = theoretical sawlogs (%) – practical sawlogs (%). Soil types: A –dry mineral soil, B – wet mineral soil, C – peat soil, D – drained mineral soil, E – drained peat soil. Age decade is mean ages group of forest element (1 – 1-10 age, 2 – 11-20 age, …15 – 141-150 age), DBH is the mean diameter of the forest element at a height of 1.3 m, rounded into 1 cm groups.
Figure 1. Changes in assortments of sawlogs depending on soil type, mean age and diameter of the forest element. Delta sawlogs (percent point) = theoretical sawlogs (%) – practical sawlogs (%). Soil types: A –dry mineral soil, B – wet mineral soil, C – peat soil, D – drained mineral soil, E – drained peat soil. Age decade is mean ages group of forest element (1 – 1-10 age, 2 – 11-20 age, …15 – 141-150 age), DBH is the mean diameter of the forest element at a height of 1.3 m, rounded into 1 cm groups.
Preprints 92880 g001
Table 1. Characteristics of data by species. Number of observations for categorical variables, range and mean ± standard deviation (SD) for continuous variables.
Table 1. Characteristics of data by species. Number of observations for categorical variables, range and mean ± standard deviation (SD) for continuous variables.
Stand Element Characteristics Description Classes / Parameter Birch Black Alder Aspen
Age, years Average age of trees belonging to one forest element Range 10 - 141 10 - 134 10 - 144
Mean ± SD 69.4 ± 26.5 69.2 ± 23.7 71.6 ± 20.9
Height, m Average height of trees belonging to one forest element Range 8 - 36 8 - 35 8 - 35
Mean ± SD 23.9 ± 5.5 22.8 ± 4.7 27.8 ± 4.8
DBH, cm Average DBH of trees belonging to one forest element Range 8 - 49 8 - 42 8 - 60
Mean ± SD 25.1 ± 7.3 25 ± 5.7 33.9 ± 8.4
Volume, m3 the volume of assortments prepared in the felling Range 30 - 1015 30 - 753 30 - 1567
Mean ± SD 145 ± 110 116 ± 91 195 ± 200
Area, ha Felling area Range 0.5 - 5.0 0.5 - 5.0 0.5 - 5.0
Mean ± SD 1.7 ± 0.9 1.7 ± 0.7 1.9 ± 1.0
Site type Site type groups, based on the depth of the peat layer and moisture regime Dry mineral soil 1229 158 555
Wet mineral soil 369 109 119
Peat soil 137 40 22
Drained mineral soil 816 194 252
Drained peat soil 491 183 71
Birch—Betula pendula Roth. and B. pubescens Ehrh., Black Alder—Alnus glutinosa (L.) Gaertn., Aspen—Populus tremula L.
Table 2. Assortment dimensions used in final fellings of birch, black alder and aspen stands.
Table 2. Assortment dimensions used in final fellings of birch, black alder and aspen stands.
Type of assortment Species Assortment length, m Minimum diameter of the assortment, cm
Thick saw logs Birch 2.8 18.0
Black alder 2.5 24.0
Aspen 2.5 24.0
Thin saw logs Birch 2.4 12.0
Black alder 2.4 12.0
Aspen 2.4 12.0
Birch—Betula pendula Roth. and B. pubescens Ehrh., Alder—Alnus glutinosa (L.) Gaertn., Aspen—Populus tremula L.
Table 3. Test of generalized linear model effects. Dependent variable Delta sawlogs percent point (theoretical sawn logs (%) – practical sawn logs (%).
Table 3. Test of generalized linear model effects. Dependent variable Delta sawlogs percent point (theoretical sawn logs (%) – practical sawn logs (%).
Species Type III
Wald Chi-Square df Sig.
Birch Intercept 3749.430 1 <0.001
Soil Type 113.935 4 <0.001
ln(Age) 345.079 1 <0.001
ln(DBH) 227.568 1 <0.001
Black Alder Intercept 592.336 1 <0.001
Soil Type 7.174 4 0.127
ln(Age) 6.424 1 0.011
ln(DBH) 162.596 1 <0.001
Aspen Intercept 1123.854 1 <0.001
Soil Type 5.385 4 0.250
ln(Age) 139.033 1 <0.001
ln(DBH) 79.407 1 <0.001
Birch—Betula pendula Roth. and B. pubescens Ehrh., Black Alder—Alnus glutinosa (L.) Gaertn., Aspen—Populus tremula L.
Table 4. Generalized linear model parameter estimates. Dependent variable Delta sawlogs perecentage point (theoretical sawn logs (%) – practical sawn logs (%).
Table 4. Generalized linear model parameter estimates. Dependent variable Delta sawlogs perecentage point (theoretical sawn logs (%) – practical sawn logs (%).
Species Variable Estimate Standard Error 95% Wald Confidence Interval Sig.
Lower Upper
Birch Intercept -174.119 2.8368 -179.679 -168.559 <0.001
DrainedPeatSoil 8.238 0.9136 6.447 10.028 <0.001
DrainedMineralSoil 6.161 0.7700 4.652 7.670 <0.001
PeatSoil 4.571 1.5711 1.492 7.650 0.004
WetMineralSoil 6.062 1.0179 4.067 8.057 <0.001
DryMineralSoil - - - - -
ln(Age) 24.237 1.3047 21.680 26.794 <0.001
ln(DBH) 29.791 1.9748 25.920 33.661 <0.001
Black Alder Intercept -195.027 8.2000 -211.098 -178.955 <0.001
DrainedPeatSoil 4.714 1.8675 1.054 8.374 0.012
DrainedMineralSoil 2.186 1.8406 -1.422 5.793 0.235
PeatSoil 2.062 3.0761 -3.967 8.091 0.503
WetMineralSoil 0.861 2.1506 -3.354 5.076 0.689
DryMineralSoil - - - - -
ln(Age) 6.804 2.6847 1.543 12.066 0.011
ln(DBH) 63.606 4.9882 53.829 73.383 <0.001
Aspen Intercept -160.370 4.7425 -169.665 -151.075 <0.001
DrainedPeatSoil -3.540 1.8369 -7.141 0.060 0.054
DrainedMineralSoil -1.145 1.1144 -3.329 1.040 0.304
PeatSoil -4.020 3.1718 -10.236 2.197 0.205
WetMineralSoil -0.398 1.4762 -3.292 2.495 0.787
DryMineralSoil - - - - -
ln(Age) 29.344 2.4887 24.467 34.222 <0.001
ln(DBH) 28.382 3.1851 22.140 34.625 <0.001
Birch—Betula pendula Roth. and B. pubescens Ehrh., Black Alder—Alnus glutinosa (L.) Gaertn., Aspen—Populus tremula L.
Disclaimer/Publisher’s Note: The statements, opinions and data contained in all publications are solely those of the individual author(s) and contributor(s) and not of MDPI and/or the editor(s). MDPI and/or the editor(s) disclaim responsibility for any injury to people or property resulting from any ideas, methods, instructions or products referred to in the content.
Copyright: This open access article is published under a Creative Commons CC BY 4.0 license, which permit the free download, distribution, and reuse, provided that the author and preprint are cited in any reuse.
Prerpints.org logo

Preprints.org is a free preprint server supported by MDPI in Basel, Switzerland.

Subscribe

Disclaimer

Terms of Use

Privacy Policy

Privacy Settings

© 2026 MDPI (Basel, Switzerland) unless otherwise stated