Submitted:
22 November 2023
Posted:
23 November 2023
You are already at the latest version
Abstract
Keywords:
1. Introduction
2. Materials and Methods
2.1. Patients and Tissue Samples
2.2. Analysis of Telomere Length and Telomerase Activity
2.3. Statistical Analysis
3. Results
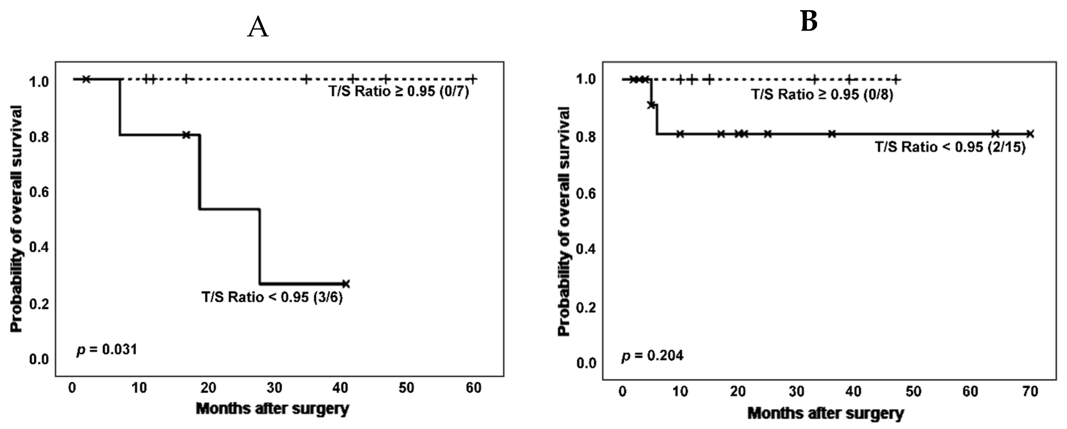
3.1. Survival Analysis Based on Clinic-Pathological Variables and T/S Ratio
3.2. Cox Regression Analysis
3.3. Inflammatory Parameters in Patients with IPF and RD.
4. Discussion
5. Conclusions
Supplementary Materials
Author Contributions
Funding
Data Availability Statement
Conflict of Interest
Ethics Approval and Consent to Participate
References
- Cottin V, Hirani NA, Hotchkin DL, Nambiar AM, Ogura T, Otaola M, et al. Presentation, diagnosis and clinical course of the spectrum of progressive-fibrosing interstitial lung diseases. Eur Respir Rev. 21 de diciembre de 2018;27(150):180076. [CrossRef]
- Mueller-Mang C, Ringl H, Herold C. Interstitial Lung Diseases. Multislice CT. 24 de agosto de 2017;261-88. [CrossRef]
- Griese M. Etiologic Classification of Diffuse Parenchymal (Interstitial) Lung Diseases. J Clin Med. 21 de marzo de 2022;11(6):1747. [CrossRef]
- Wijsenbeek M, Suzuki A, Maher TM. Interstitial lung diseases. Lancet Lond Engl. 3 de septiembre de 2022;400(10354):769-86. [CrossRef]
- Podolanczuk AJ, Thomson CC, Remy-Jardin M, Richeldi L, Martinez FJ, Kolb M, et al. Idiopathic pulmonary fibrosis: state of the art for 2023. Eur Respir J. abril de 2023;61(4):2200957. [CrossRef]
- American Thoracic Society. Idiopathic pulmonary fibrosis: diagnosis and treatment. International consensus statement. American Thoracic Society (ATS), and the European Respiratory Society (ERS). Am J Respir Crit Care Med. febrero de 2000;161(2 Pt 1):646-64.
- Cottin V, Martinez FJ, Smith V, Walsh SLF. Multidisciplinary teams in the clinical care of fibrotic interstitial lung disease: current perspectives. Eur Respir Rev. 7 de septiembre de 2022;31(165):220003. [CrossRef]
- Gupta RS, Koteci A, Morgan A, George PM, Quint JK. Incidence and prevalence of interstitial lung diseases worldwide: a systematic literature review. BMJ Open Respir Res. 1 de junio de 2023;10(1):e001291. [CrossRef]
- Raghu G, Remy-Jardin M, Richeldi L, Thomson CC, Inoue Y, Johkoh T, et al. Idiopathic Pulmonary Fibrosis (an Update) and Progressive Pulmonary Fibrosis in Adults: An Official ATS/ERS/JRS/ALAT Clinical Practice Guideline. Am J Respir Crit Care Med. 1 de mayo de 2022;205(9):e18-47. [CrossRef]
- Riha RL, Duhig EE, Clarke BE, Steele RH, Slaughter RE, Zimmerman PV. Survival of patients with biopsy-proven usual interstitial pneumonia and nonspecific interstitial pneumonia. Eur Respir J. 1 de junio de 2002;19(6):1114-8. [CrossRef]
- Yıldırım F, Türk M, Bitik B, Erbaş G, Köktürk N, Haznedaroğlu Ş, et al. Comparison of clinical courses and mortality of connective tissue disease-associated interstitial pneumonias and chronic fibrosing idiopathic interstitial pneumonias. Kaohsiung J Med Sci. 2019;35(6):365-72. [CrossRef]
- Zhang Y, Wang J. Cellular and Molecular Mechanisms in Idiopathic Pulmonary Fibrosis. Adv Respir Med. febrero de 2023;91(1):26. [CrossRef]
- Shay JW, Wright WE. Telomeres and telomerase: three decades of progress. Nat Rev Genet. mayo de 2019;20(5):299-309. [CrossRef]
- Hao LY, Armanios M, Strong MA, Karim B, Feldser DM, Huso D, et al. Short telomeres, even in the presence of telomerase, limit tissue renewal capacity. Cell. 16 de diciembre de 2005;123(6):1121-31. [CrossRef]
- Alder JK, Barkauskas CE, Limjunyawong N, Stanley SE, Kembou F, Tuder RM, et al. Telomere dysfunction causes alveolar stem cell failure. Proc Natl Acad Sci. 21 de abril de 2015;112(16):5099-104. [CrossRef]
- Blin N, Stafford DW. A general method for isolation of high molecular weight DNA from eukaryotes. Nucleic Acids Res. septiembre de 1976;3(9):2303-8. [CrossRef]
- Cawthon RM. Telomere measurement by quantitative PCR. Nucleic Acids Res. 15 de mayo de 2002;30(10):e47. [CrossRef]
- Ksiazek K, Passos JF, Olijslagers S, Saretzki G, Martin-Ruiz C, von Zglinicki T. Premature senescence of mesothelial cells is associated with non-telomeric DNA damage. Biochem Biophys Res Commun. 26 de octubre de 2007;362(3):707-11. [CrossRef]
- Pfaffl MW. A new mathematical model for relative quantification in real-time RT–PCR. Nucleic Acids Res. 1 de mayo de 2001;29(9):e45. [CrossRef]
- Budczies J, Klauschen F, Sinn BV, Győrffy B, Schmitt WD, Darb-Esfahani S, et al. Cutoff Finder: a comprehensive and straightforward Web application enabling rapid biomarker cutoff optimization. PloS One. 2012;7(12):e51862. [CrossRef]
- Thompson ML. Selection of Variables in Multiple Regression: Part I. A Review and Evaluation. Int Stat Rev Rev Int Stat. 1978;46(1):1-19. [CrossRef]
- Alder JK, Chen JJL, Lancaster L, Danoff S, Su S chih, Cogan JD, et al. Short telomeres are a risk factor for idiopathic pulmonary fibrosis. Proc Natl Acad Sci U S A. 2 de septiembre de 2008;105(35):13051-6. [CrossRef]
- Molina-Molina M, Borie R. Clinical implications of telomere dysfunction in lung fibrosis. Curr Opin Pulm Med. septiembre de 2018;24(5):440-4. [CrossRef]
- Tomos I, Karakatsani A, Manali ED, Kottaridi C, Spathis A, Argentos S, et al. Telomere length across different UIP fibrotic-Interstitial Lung Diseases: a prospective Greek case-control study. Pulmonology. 1 de julio de 2022;28(4):254-61. [CrossRef]
- Stuart BD, Lee JS, Kozlitina J, Noth I, Devine MS, Glazer CS, et al. Effect of telomere length on survival in patients with idiopathic pulmonary fibrosis: an observational cohort study with independent validation. Lancet Respir Med. julio de 2014;2(7):557-65. [CrossRef]
- Dai J, Cai H, Li H, Zhuang Y, Min H, Wen Y, et al. Association between telomere length and survival in patients with idiopathic pulmonary fibrosis. Respirol Carlton Vic. agosto de 2015;20(6):947-52. [CrossRef]
- Adegunsoye A, Newton CA, Oldham JM, Ley B, Lee CT, Linderholm AL, et al. Telomere length associates with chronological age and mortality across racially diverse pulmonary fibrosis cohorts. Nat Commun. 17 de marzo de 2023;14(1):1489. [CrossRef]
- Schneider CV, Schneider KM, Teumer A, Rudolph KL, Hartmann D, Rader DJ, et al. Association of Telomere Length With Risk of Disease and Mortality. JAMA Intern Med. 1 de marzo de 2022;182(3):291-300. [CrossRef]
- Parra ER, Kairalla RA, Ribeiro de Carvalho CR, Eher E, Capelozzi VL. Inflammatory cell phenotyping of the pulmonary interstitium in idiopathic interstitial pneumonia. Respir Int Rev Thorac Dis. 2007;74(2):159-69. [CrossRef]
- Khalil N, O’Connor R. Idiopathic pulmonary fibrosis: current understanding of the pathogenesis and the status of treatment. CMAJ Can Med Assoc J. 7 de julio de 2004;171(2):153. [CrossRef]
- Pathology of Usual Interstitial Pneumonia: Definition, Epidemiology, Etiology. 17 de octubre de 2021 [citado 18 de octubre de 2023]; Disponible en: https://emedicine.medscape.com/article/2078722-overview?&icd=login_success_email_match_fpf#showall.
- Armanios M. Telomerase and idiopathic pulmonary fibrosis. Mutat Res. 1 de febrero de 2012;730(1-2):52-8. [CrossRef]
- Daniil ZD, Papageorgiou E, Koutsokera A, Kostikas K, Kiropoulos T, Papaioannou AI, et al. Serum levels of oxidative stress as a marker of disease severity in idiopathic pulmonary fibrosis. Pulm Pharmacol Ther. 2008;21(1):26-31. [CrossRef]
- Zhang K, Xu L, Cong YS. Telomere Dysfunction in Idiopathic Pulmonary Fibrosis. Front Med. 11 de noviembre de 2021;8:739810. [CrossRef]
- McDonough JE, Martens DS, Tanabe N, Ahangari F, Verleden SE, Maes K, et al. A role for telomere length and chromosomal damage in idiopathic pulmonary fibrosis. Respir Res. 2018;19:132. [CrossRef]
- Cronkhite JT, Xing C, Raghu G, Chin KM, Torres F, Rosenblatt RL, et al. Telomere Shortening in Familial and Sporadic Pulmonary Fibrosis. Am J Respir Crit Care Med. 1 de octubre de 2008;178(7):729-37. [CrossRef]
- Newton CA, Batra K, Torrealba J, Kozlitina J, Glazer CS, Aravena C, et al. Telomere-related lung fibrosis is diagnostically heterogeneous but uniformly progressive. Eur Respir J. 1 de diciembre de 2016;48(6):1710-20. [CrossRef]
- Courtwright AM, El-Chemaly S. Telomeres in Interstitial Lung Disease: The Short and the Long of It. Ann Am Thorac Soc. febrero de 2019;16(2):175-81. [CrossRef]
- McCarthy C, Keane MP. Contemporary Concise Review 2021: Interstitial lung disease. Respirol Carlton Vic. julio de 2022;27(7):539-48. [CrossRef]
- Bowman WS, Echt GA, Oldham JM. Biomarkers in Progressive Fibrosing Interstitial Lung Disease: Optimizing Diagnosis, Prognosis, and Treatment Response. Front Med. 10 de mayo de 2021;8:680997. [CrossRef]
- Karampitsakos T, Juan-Guardela BM, Tzouvelekis A, Herazo-Maya JD. Precision medicine advances in idiopathic pulmonary fibrosis. eBioMedicine. 1 de septiembre de 2023;95:104766. [CrossRef]
- Kim EJ, Elicker BM, Maldonado F, Webb WR, Ryu JH, Uden JHV, et al. Usual interstitial pneumonia in rheumatoid arthritis-associated interstitial lung disease. Eur Respir J. 1 de junio de 2010;35(6):1322-8. [CrossRef]
- Kocheril SV, Appleton BE, Somers EC, Kazerooni EA, Flaherty KR, Martinez FJ, et al. Comparison of disease progression and mortality of connective tissue disease-related interstitial lung disease and idiopathic interstitial pneumonia. Arthritis Rheum. 15 de agosto de 2005;53(4):549-57. [CrossRef]
- Utz JP, Ryu JH, Douglas WW, Hartman TE, Tazelaar HD, Myers JL, et al. High short-term mortality following lung biopsy for usual interstitial pneumonia. Eur Respir J. 1 de febrero de 2001;17(2):175-9. [CrossRef]
- Liu S, Nong W, Ji L, Zhuge X, Wei H, Luo M, et al. The regulatory feedback of inflammatory signaling and telomere/telomerase complex dysfunction in chronic inflammatory diseases. Exp Gerontol. 1 de abril de 2023;174:112132. [CrossRef]
- Wong JYY, Vivo ID, Lin X, Fang SC, Christiani DC. The Relationship between Inflammatory Biomarkers and Telomere Length in an Occupational Prospective Cohort Study. PLOS ONE. 27 de enero de 2014;9(1):e87348. [CrossRef]
- Jurk D, Wilson C, Passos JF, Oakley F, Correia-Melo C, Greaves L, et al. Chronic inflammation induces telomere dysfunction and accelerates ageing in mice. Nat Commun. 24 de junio de 2014;5(1):4172. [CrossRef]
- Newton CA, Zhang D, Oldham JM, Kozlitina J, Ma SF, Martinez FJ, et al. Telomere Length and Use of Immunosuppressive Medications in Idiopathic Pulmonary Fibrosis. Am J Respir Crit Care Med. 1 de agosto de 2019;200(3):336-47. [CrossRef]






| Variable | Total ILD (n = 61) |
IPF (n = 28) |
Other ILDs (n = 33) |
p Value1 |
|---|---|---|---|---|
| Median follow-up, months (IQR) | 16.6 (7.4 – 36.4) | 16.9 (5.8 – 35.2) | 16.6 (9.3 – 38.9) | 0.5872 |
| Gender Males, n (%) Females, n (%) |
46 (75.4) 15 (24.6) |
21 (75.0) 7 (25.0) |
25 (75.8) 8 (24.2) |
0.9453 |
| Age, median (IQR) | 68.0 (57.5 – 73.0) | 70.0 (65.0 – 74.0)* | 63.0 (55.0 – 71.0) | 0.0084,* |
| Cancer, n (%) | 21 (34.4) | 8 (28.6) | 13 (39.4) | 0.3753 |
| Rheumatologic disease, n (%) | 24 (39.3) | 10 (35.7) | 14 (42.4) | 0.5933 |
| Tobacco exposure, n (%) | 43 (70.5) | 24 (85.7)* | 19 (57.6) | 0.0163,* |
| Drug exposure, n (%) | 11 (18) | 5 (17.9) | 6 (18.2) | 0.9743 |
| Dust exposure, n (%) | 16 (26.2) | 8 (28.6) | 8 (24.2) | 0.7023 |
| Occupational exposure, n (%) | 24 (39.3) | 10 (35.7) | 14 (42.4) | 0.5933 |
| COVID-19 exposure, n (%) | 11 (18) | 6 (21.4) | 5 (15.2) | 0.5253 |
| Variable | Non-Adjusted HR (95% CI) |
Unadjusted p Value |
Adjusted HR (95% CI) |
Adjusted p Value |
|
|---|---|---|---|---|---|
| Age | 1.06 (1.00 to 1.12) |
0.044* | 1.08 (0.996 a 1.17) |
0.063 | |
| IPF | Absent | 1.0 (reference) | - | 1.0 (reference) | - |
| Present | 3.49 (1.09 to 11.2) |
0.035* | 4.43 (1.23 to 15.9) |
0.023* | |
| RD | Absent | 1.0 (reference) | - | 1.0 (reference) | - |
| Present | 2.67 (0.87 to 8.18) |
0.085 | 608.8 (5.71 to 64885.0) |
0.007* | |
| T/S ratio | 0.58 (0.07 to 4.68) |
0.607 | 3.53 (0.08 to 2.03) |
0.350 | |
| T/S ratio RD | 0.016 (0.00 to 2.19) |
0.099 | 0.002 (0.00001 to 0.54) |
0.029* | |
| Inflammatory Parameter |
IPF & RD n = 6 |
IPF n = 14 |
p Value1 |
|---|---|---|---|
| T/S ratio, mean (SD) | 0.739 (0.45) | 0.744 (0.37) | 0.853 |
| Fibrinogen (mg/L), mean (SD) | 413.5 (79.84) | 458.1 (96.1) | 0.599 |
| CRP (mg/L), mean (SD) | 3.30 (3.78) | 9.51 (12.74) | 0.335 |
| ESR (mm/h), mean (SD) | 59.5 (71.4) | 23.6 (29.15) | 0.439 |
| Ferritin (mg/L), mean (SD) | 5143.5 (6708.32) | 169.2 (101.31) | 0.032* |
Disclaimer/Publisher’s Note: The statements, opinions and data contained in all publications are solely those of the individual author(s) and contributor(s) and not of MDPI and/or the editor(s). MDPI and/or the editor(s) disclaim responsibility for any injury to people or property resulting from any ideas, methods, instructions or products referred to in the content. |
© 2023 by the authors. Licensee MDPI, Basel, Switzerland. This article is an open access article distributed under the terms and conditions of the Creative Commons Attribution (CC BY) license (http://creativecommons.org/licenses/by/4.0/).