Submitted:
20 November 2023
Posted:
21 November 2023
You are already at the latest version
Abstract

Keywords:
1. Introduction
2. Materials and Methods
3. Results
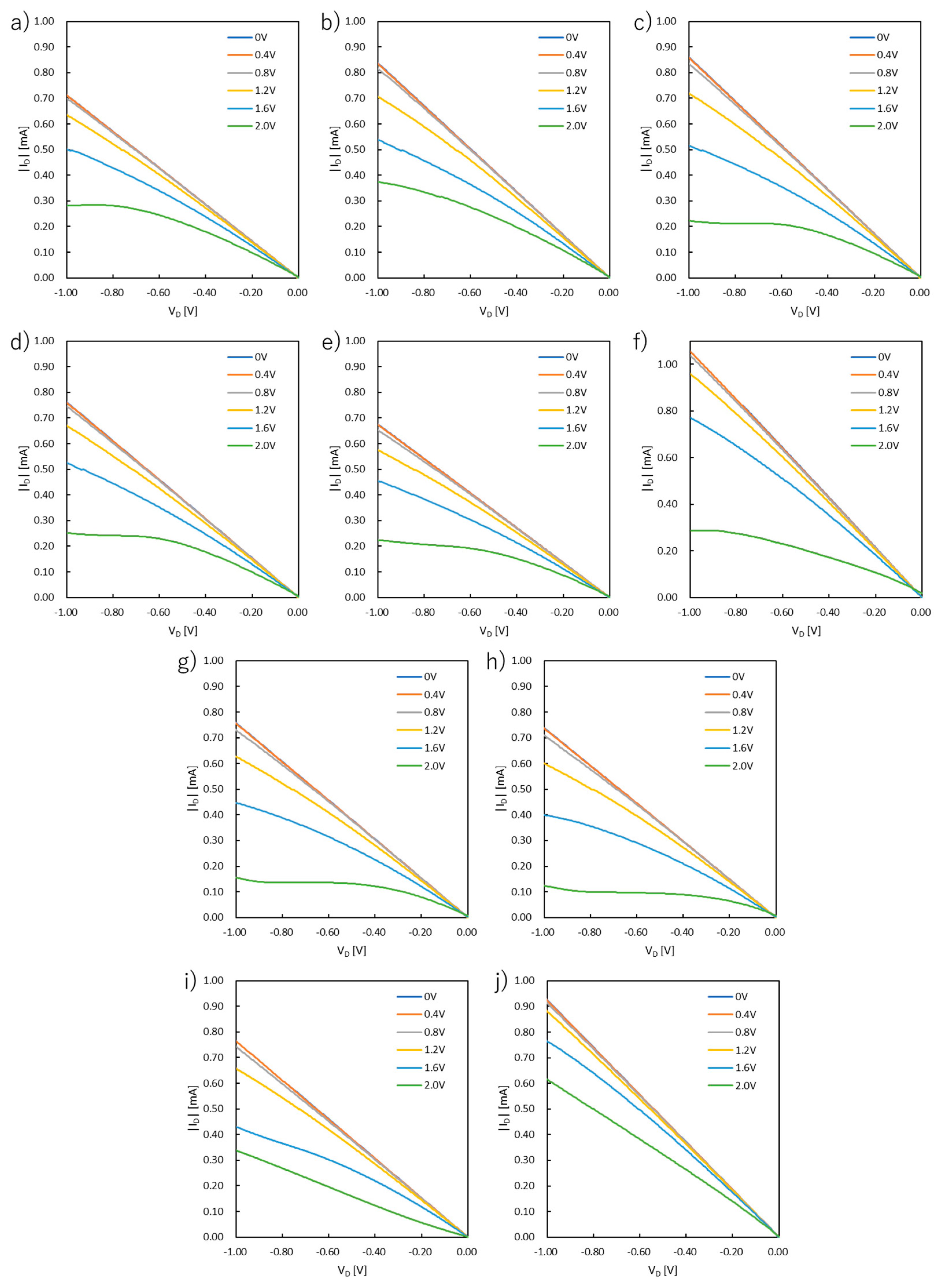
3.1. Output characteristics
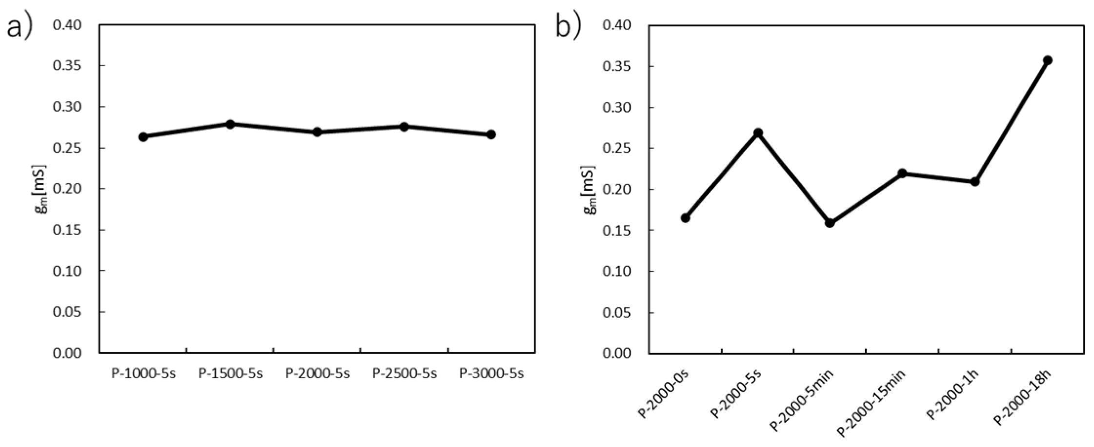
3.2. Transfer characteristics
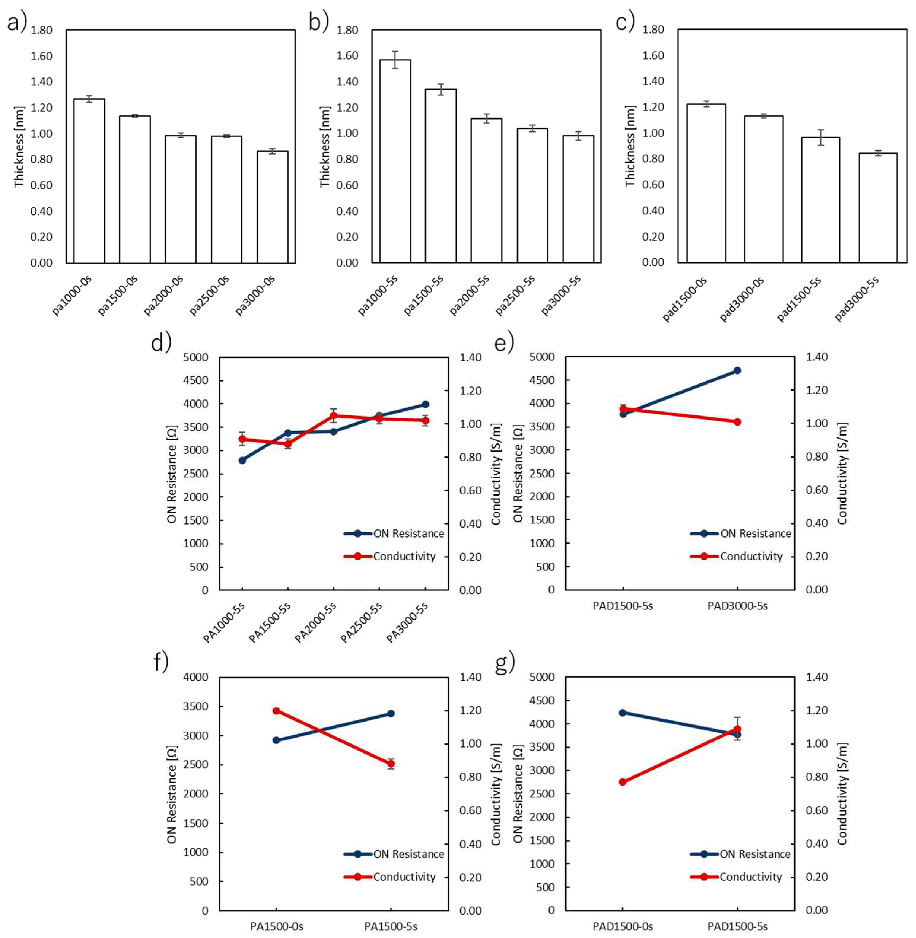
3.3. Surface morphology

4. Discussion
5. Conclusions
Supplementary Materials
Author Contributions
Data Availability Statement
Acknowledgments
Conflicts of Interest
References
- Naveen, M. H; Gurudatt, N, G: Shim, Y.-B. Applications of conducting polymer composites to electrochemical sensors: A review. Appl. Mater. Today 2017, 9, 419–433. [Google Scholar] [CrossRef]
- Kimpel, J.; Michinobu, T. Conjugated Polymers for Functional Applications: Lifetime and Performance of Polymeric Organic Semiconductors in OFETs. Polym. Int. 2021, 70, 367–373. [Google Scholar] [CrossRef]
- Scheiblin, G.; Coppard, R.; Owens, R. M.; Mailley, P.; Malliaras, G. G. Referenceless pH Sensor using Organic Electrochemical Transistors. Adv. Mater. Technol. 2017, 2, 1600141. [Google Scholar] [CrossRef]
- Tang, H.; Yan, F.; Lin, P.; Xu, J.; Chan, H. L. W. Highly Sensitive Glucose Biosensors Based on Organic Electrochemical Transistors Using Platinum Gate Electrodes Modified with Enzyme and Nanomaterials. Adv. Funct. Mater. 2011, 21, 2264–2272. [Google Scholar] [CrossRef]
- Wustoni, S.; Savva, A.; Sun, R.; Bihar, E.; Inal, S. Enzyme-Free Detection of Glucose with a Hybrid Conductive Gel Electrode. Adv. Mater. Interfaces 2019, 6, 1800928. [Google Scholar] [CrossRef]
- Kenry; Yeo, J. C.; Lim, C. T. Emerging flexible and wearable physical sensing platforms for healthcare and biomedical applications. Microsyst. Nanoeng. 2016, 2, 16043. [Google Scholar] [CrossRef] [PubMed]
- Ouyang, J.; Chu, C.-W.; Chen, F.-C.; Xu, Q.; Yang, Y. High-Conductivity Poly(3,4-ethylenedioxythiophene):Poly(styrene sulfonate) Film and Its Application in Polymer Optoelectronic Devices. Adv. Funct. Mater. 2005, 15, 203–208. [Google Scholar] [CrossRef]
- ElMahmoudy, M.; Inal, S.; Charrier, A.; Uguz, I.; Malliaras, G. G. Tailoring the Electrochemical and Mechanical Properties of PEDOT:PSS Films for Bioelectronics. Macromol. Mater. Eng. 2017, 302, 1600497. [Google Scholar] [CrossRef]
- Amer, K.; Elshaer, A. M.; Anas, M.; Ebrahim, S. Fabrication, characterization, and electrical measurements of gas ammonia sensor based on organic field effect transistor. J. Mater. Sci. 2019, 30, 391–400. [Google Scholar] [CrossRef]
- Zeglio, E.; Inganäs, O. Active Materials for Organic Electrochemical Transistors. Adv. Mater. 2018, 30, 1800941. [Google Scholar] [CrossRef]
- Nawaz, A.; Liu, Q.; Leong, W. L.; Fairfull-Smith, K. E.; Sonar, P. Organic Electrochemical Transistors for In Vivo Bioelectronics. Adv. Mater. 2021, 33, 2101874. [Google Scholar] [CrossRef]
- Liang, Y.; Offenhausser, A.; Ingebrandt, S.; Mayer, D. PEDOT:PSS-Based Bioelectronic Devices for Recording and Modulation of Electrophysiological and Biochemical Cell Signals. Adv. Healthcare Mater. 2021, 10, 2100061. [Google Scholar] [CrossRef] [PubMed]
- Rashid, R. B.; Ji, X.; Rivnay, J. Organic electrochemical transistors in bioelectronic circuits. Biosens. Bioelectron. 2021, 190, 113461. [Google Scholar] [CrossRef] [PubMed]
- Paudel, P. R.; Tropp, J.; Kaphle, V.; Azoulay, J. D.; Lüssem, B. Organic electrochemical transistors – from device models to a targeted design of materials. J. Mater. Chem. C 2021, 9, 9761–9790. [Google Scholar] [CrossRef]
- Kukhta, N. A.; Marks, A.; Luscombe, C. K. Molecular Design Strategies toward Improvement of Charge Injection and Ionic Conduction in Organic Mixed Ionic-Electronic Conductors for Organic Electrochemical Transistors. Chem. Rev. 2022, 122, 4325–4355. [Google Scholar] [CrossRef]
- Kousseff, C. J.; Halaksa, R.; Parr, Z. S.; Nielsen, C. Mixed Ionic and Electronic Conduction in Small-Molecule Semiconductors. Chem. Rev. 2022, 122, 4397–4419. [Google Scholar] [CrossRef] [PubMed]
- Marks, A.; Griggs, S.; Gasparini, N.; Moser, M. Organic Electrochemical Transistors: An Emerging Technology for Biosensing. Adv. Mater. Interfaces 2022, 9, 2102039. [Google Scholar] [CrossRef]
- He, Y.; Kukhta, N. A.; Marks, A.; Luscombe, C. K. The effect of side chain engineering on conjugated polymers in organic electrochemical transistors for bioelectronic applications. J. Mater. Chem. C 2022, 10, 2314–2332. [Google Scholar] [CrossRef]
- Li, P.; Lei, T. Molecular design strategies for high-performance organic electrochemical transistors. J. Polym. Sci. 2022, 60, 366–392. [Google Scholar] [CrossRef]
- Fang, B.; Yan, J.; Chang, D.; Piao, J.; Ma, K. M.; Gu, Q.; Gao, P.; Chai, Y.; Tao, X. Scalable production of ultrafine polyaniline fibres for tactile organic electrochemical transistors. Nat. Commun. 2022, 13, 2101. [Google Scholar] [CrossRef]
- Mello, H. J. N. P. D.; Faleiros, M. C.; Mulato, M. Electrochem. Sci. Adv. 2022, 2, e2100176. [Google Scholar] [CrossRef]
- Long, Y.; Chen, Z.; Wang, N.; Li, J.; Wang, M. Electronic transport in PANI-CSA/PANI-DBSA polyblends. Physica B: Condensed Matter. 2004, 344, 82–87. [Google Scholar] [CrossRef]










| Sample | Spin-coating rate (rpm)a | Immersion timeb |
|---|---|---|
| P1000-5s | 1000 | 5s |
| P1500-5s | 1500 | 5s |
| P2000-5s | 2000 | 5s |
| P2500-5s | 2500 | 5s |
| P3000-5s | 3000 | 5s |
| P2000-0s | 2000 | 0s |
| P2000-5min | 2000 | 5min |
| P2000-15min | 2000 | 15min |
| P2000-1h | 2000 | 1h |
| P2000-18h | 2000 | 18h |
| Sample | Spin-coating rate (rpm)a | Immersion timeb |
|---|---|---|
| PA1000-5s | 1000 | 5s |
| PA1500-5s | 1500 | 5s |
| PA2000-5s | 2000 | 5s |
| PA2500-5s | 2500 | 5s |
| PA3000-5s | 3000 | 5s |
| PA1500-0s | 1500 | 0s |
| PAD1500-5s | 1500 | 5s |
| PAD3000-5s | 3000 | 5s |
| PAD1500-0s | 1500 | 0s |
Disclaimer/Publisher’s Note: The statements, opinions and data contained in all publications are solely those of the individual author(s) and contributor(s) and not of MDPI and/or the editor(s). MDPI and/or the editor(s) disclaim responsibility for any injury to people or property resulting from any ideas, methods, instructions or products referred to in the content. |
© 2023 by the authors. Licensee MDPI, Basel, Switzerland. This article is an open access article distributed under the terms and conditions of the Creative Commons Attribution (CC BY) license (http://creativecommons.org/licenses/by/4.0/).