1. Introduction
Despite significant technological progress, the aviation industry’s carbon footprint continues to grow as the result of current air traffic growth [
1]. Meanwhile, the Air Transport Action Group forecast for 2050 concludes that the flight demand could increase on average by 3.1% per year and that the CO
2 emissions would consequently climb to 2 Gt [
2] if no specific measures are put in place.
As for the entirety of air transportation, Vertical and Take Off aircrafts, which currently account for 1% of the total jet fuel consumption and CO
2 emissions [
3], it will rely on Sustainable Aviation Fuels (SAF) to lower their carbon footprint [
2]. SAF are sustainable if they are produced from renewable sources such as biomass (biofuels), and low carbon intensity electricity such as eFuels.
Since each energy carrier has its own conversion steps and losses and since each energy carrier has also a specific impact on the aircraft propulsive system and therefore its energy consumption, defining the cleanest and most affordable energy carrier might require a novel approach.
Air mobility is often recognized as a “hard to abate” sector, and several technologies are currently considered for lowering its CO
2 emissions. While biofuels will play an important role in the near and long-term, low carbon electricity is now considered. Either with direct electrification: rechargeable batteries using the electrical grid (BE) or using energy vectors such as hydrogen or Efuel. Hydrogen. While eFuel, which will use electricity for water electrolysis, CO
2 capture and Fischer-Tropsch process (H
2 + CO
2 + H
2O), require no modification to the carrier, hydrogen can be combined either with a fuel cell + battery hybrid system (FCH
2) or a gas turbine (GTH
2), in both cases requiring significant modification to the carrier. This comes with a significant mass impact. Other pathways such as NH
3 (ammonia) and CH
4 (methane) are also sometimes cited [
4], however these pathways are not considered in this study.
The mission profile and the mean of transportation could have an impact on the results, we therefore focus on vertical take-off and landing vehicle (VTOL) which is the most demanding in energy when expressed in payload/distance. VTOL and short-range aircrafts are often considered in studies analyzing the opportunity to switch from fossil jet fuel to more disruptive energy vectors such as battery and / or H
2 fuel cell [
4,
5,
6]. Since our study focuses on VTOL, the conclusions might not apply for large aircraft [
7]. H
2 is considered liquified and not compressed due to its volumetric density [
7].
Since the path to low carbon energy for air mobility induces low yield energy vectors and that limited resources already reveal some tensions on biomass supplies for biofuels [
8,
9], this study reviews a combination of the most cited energy vectors, based on electricity combined with the most studied propulsive energy concept for VTOL.
The energy required to fulfill the mission is first expressed in the unit of energy carrier before being translated into kWh at the well. The electricity grid and its carbon intensity are our central focus of analysis. Electricity is being used either for direct charging, or liquid hydrogen production through water electrolysis, or eFuel conversion using the Fischer-Tropsch process which requires hydrogen and carbon dioxide. Results are then finally converted in CO2 emissions and direct energy cost.
While results from this research could later be extended to fixed wing aircrafts, at present this study focuses on the VTOL aircraft due to vertical take-off and hovering being the most demanding maneuvers regarding energy requirements, thus magnifying the need for energy efficiency.
1.1. Previous work
A significant number of articles cover alternative aviation fuels and propulsion systems. Grahn et al in 2022 reviewed the eFuel cost and their environmental impact [
10] with no clear conclusions regarding the CO
2 impact. The Académie des Technologies report on the role SAF for air transport [
11] highlighted the needs and limits to the deployment of low carbon electricity to reach a viable production volume of eFuel. In Europe, the ReFuel EU regulation will impose 70% of sustainable aviation fuel by 2050, of which half should be eFuel [
12]. Rojas-Michaga et al [
13] reviewed the SAF production through power to liquid (eFuel) and concluded that the dominant factor for the eFuel CO
2 emissions is the electricity.
Dahal et al [
4] established a techno-economic review of alternative fuels and propulsion systems for the aviation sector. Using the available literature, the model is based on aircraft top level requirements applied to Airbus A321 and A350 models using the Pacelab APD design tool. The conclusions are expressed in US cent per passenger kilometers to allow a fair comparison between the different fuels evaluated and the biofuel appears to be the most competitive while H
2 and eFuel share very close figures. Compared to fossil jet fuel, the cost range is 15 to 500% higher.
2. Materials and Methods
2.1. Methodology
In this study, we follow the same approach as [
4] but applied to a VTOL with design principles based on the Froude-Rankin theory and the statistical design method for VTOL. We also introduce the electricity input from the well to the tank to allow a direct comparison in cost and CO
2 emissions.
Electricity, expressed here in kWh, is the common and main feedstock for all energy carriers considered: battery electrification (BE), H2 with fuel cells (FCH2), H2 with gas turbine (GTH2) and eFuels. Fossil jet fuel and SAF issued from biomass will only be considered in the conclusion and discussion section to compare the results.
The electricity requirements to produce H
2 and eFuels are important [
11,
13,
14,
15,
16,
17] and therefore the impacts associated with the production of these energy carriers shall be considered, cost and CO
2 in this study.
To compare the different energy vectors, we therefore combine the efficiency of the energy vector from the electricity grid to the tank “well to tank” for each pathway. We then introduce the adaptation required by the choice of the energy carrier and its associated propulsive system, considering the integration effects on the aircraft weight to determine the energy requirements, the “tank to rotor” efficiency.
We apply these calculations to a standard VTOL mission, which is to carry 4 passenger or an equivalent of 400 kg of payload, over 80 nautical miles (nm) with a reserve of 20 nm to ensure the safety. The mission profile is described below in
Figure 2.
As efficient as it can be, a VTOL aircraft need to continuously fight against gravity and will always consume more energy than a fixed wing aircraft with similar payload / range. The typical mission before refueling is approximately 45 minutes of flight as described in
Figure 2. While VTOL range are often above 300 nm and that typical missions often go beyond this range in between two refueling, the limit of 80 nm is here to reflect the opportunity to introduce battery electrification, as some potential air taxi missions are considered in the future with BE [
18]. The crew is limited to 1 pilot and the altitude to 4000 feet.
2.2. Design of VTOL
The properties of the energy carrier are extremely important when designing an aircraft. An excellent gravimetric energy density can be penalized by a too low volumetric energetic density which will lead to larger tanks, penalizing drag and aircraft empty weight, thus leading to structural reinforcement, thus more weight, thus higher power requirements and finally an increased energy consumption. The payload and the range also have major contributive effects [
18]. In our model the limited distance and payload limit these effects, allowing the comparison with battery electrification.
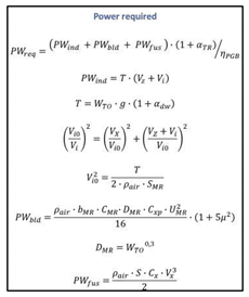
In our approach we have to determine the required power at the main gearbox input to calculate the aircraft performance and ability to perform the mission. No modification is assumed on the aircraft and a standard configuration including a large main rotor and tail rotor to counter the main rotor torque is used. The modelling is based on the two main known principles: the Froude-Rankin theory and the statistical design method for VTOL in the range of 1500 to 3000 kg as proposed by Arnaud Tremolet in “Modèles et méthodes numériques pour les études conceptuelles d'aéronefs à voilure tournante”, 2014 [
19].
Table 1.
Power required calculations formula.
Table 1.
Power required calculations formula.
Each propulsion system is designed to meet the power and energy requirements which are issued from the aircraft modelling with the weight breakdown being W
TO = WE
P + W
PS + W
CR + W
PL + W
FL when W
EP = α
EW.W
TO
| aDW |
Downwash coefficient (-) |
| aTR |
Tail rotor coefficient (-) |
| hPGB |
Gearbox efficiency (%) |
| m |
Advance ratio (-) |
| rair |
Air density (kg/m3) |
| bMR |
Number of blade of the main rotor (-) |
| CMR |
Main rotor chord (m) |
| DMR |
Main rotor diameter (m) |
| FC |
Fuel Cell |
|
| GT |
Gas Turbine |
| PWBLD |
Blade profile power (kW) |
| PWFUS |
Fuselage power (kW) |
| PWIND |
Induced power (kW) |
| SMR |
Main rotor surface (m2) |
| SCx |
Helicopter drag (m2) |
| T |
Rotor vertical thrust (N) |
| UMR |
End tip blade velocity (m/s) |
| Vi |
Induced velocity (m/s) |
| Vi0 |
Induced velocity in hover (m/s) |
| Vx |
Aircraft horizontal speed (m/s) |
| Vz |
Aircraft vertical speed (m/s) |
| WCR |
Crew Weight (kg) |
| WEP |
Empty Weight (kg) |
| WFL |
Fuel Weight (kg) |
| WPL |
PayLoad Weight (kg) |
| WPS |
Propulsion System Weight (kg) |
| WTO |
Take Off Weight (kg) |
The aircraft sizing method depending on the propulsion system is detailed hereafter so that the helicopter take-off weight (TOW) for a given mission is different from an energy source to another. This is explained by the properties of the energy, as shown in Table 2, and this is integrated in our model with the design steps for calculation (
Figure 3).
The hypothesis used in this study for the propulsive system design are summarized in
Table 3 below:
In our model, the LH2 gravimetric index, the full cell efficiency and the battery cell energy density have a significant impact in the VTOL design and hypothesis are detailed below:
LH
2 gravimetric index: The tanks to store hydrogen as cryogenic liquid result in added weight which will be carried during the entire mission, and which means a more robust airframe such as a more robust, so a heavier, landing system (in an aircraft the max landing weight is below the take-off weight to benefit from the fuel burned during the mission which makes the aircraft lighter). An important performance metric to assess the storage efficiency of a tank is gravimetric efficiency, defined as

where W
H2 is the weight of hydrogen the tank can hold and W
tank is the weight of the empty tank. The gravimetric efficiency is the fraction of the storage system weight taken up by fuel when it is full. While this tank metric does not represent the volumetric efficiency, it quantifies the weight penalty incurred by using a given hydrogen storage solution. The gravimetric efficiency of kerosene tanks is limited in a VTOL (approx. 20 kg). Evolutionary improvements are predicted to be 25%–40% [
7] and we have used a 30% value in our design model.
Fuel cell efficiency: This has a direct impact on the quantity of H
2 on board the VTOL, thus the size and weight of the H
2 tanks, thus the power requirements, thus the energy consumption. The proton exchange membrane (PEM) is preferred to the solid-oxide fuel cells (SOFC) as PEM can operate at low temperatures. Lower temperatures allow quick response times and SOFC, which operates at higher temperatures (600 to 1000 °C) require some time to start up and shut down “at least 10 min, and maybe an hour or more” as highlighted by Adler & Martins [
7], and therefore are inappropriate with most VTOL operations such as emergency medical services or search and rescue. The same article from Adler and Martins [
7] mention of 50% efficiency for the fuel cell, which is the value used in this study.
Battery Cell energy density: External energy is electrochemically stored. The Li-Ion battery is currently the main technology used in electric vehicles and still progressing. “Li-ions and electrons travel between cathode and anode during charge-discharge cycles repeatedly and the process goes on throughout the life cycle” [
20]. While the current cell energy density is close to 300 Whkg
-1, the target for 2030 is 500 Wh
-1/kg by 2030 [
21] and we have made the hypothesis of a further improvement to 600 Wh
-1/kg when associated with an integration factor of 1.35.
2.3. Energy carriers
In this study we focus on energy carriers based on electricity. However, sustainable aviation fuels issued from biomass (biofuel) will play a significant role in the decarbonization of aviation and therefore be used as a reference for comparing the CO
2 emissions and affordability of the energy for air mobility in the discussion and conclusions section. Since biofuels can have different cost and CO
2 emissions [
22,
23], we will compare the different energy carriers with the most available SAF in 2023, which is HEFA-UCO (hydro-esterification of fatty acids, using used cooking oil as raw material). This biofuel is certified according to the ASTM standard and already in operation in the air transport industry in blend up to 50% with fossil Jet Fuel.
Fossil Jet Fuel: used as a reference with CO
2 emissions of 94 gCO
2/MJ [
24] with a LHV of 44.1 GJ/t [
25]
Biofuel: HEFA-UCO used as a reference with CO
2 emissions of 20 gCO
2/MJ [
24] with a LHV of 44.1 GJ/t [
25]
-
Electricity: used for battery electrification (BE), the production of liquid H
2 and eFuels. Electricity is considered as the raw material for all the combination of energy carrier / propulsive systems studied here as described in
Figure 1 above. We assume that electricity is supplied by the grid with no consideration of load factor: electricity is always available either for charging a battery electrified VTOL or to produce H
2 and / or eFuel. The carbon intensity is expressed in gCO
2/kWh and costs in €/kWh.
- o
Electricity for BE: 10% charging losses are added to the energy required to fulfill the mission; a figure slightly above the best mean efficiency of 87% found by Reick et al in 2021 [
26] to reflect a 2030 state of the art.
- o
Electricity for liquid H
2: green LH
2 produced from water electrolysis will be either used in a gas turbine or in a fuel cell. Our hypothesis is that H
2 will be directly manufactured on site to avoid any long-distance transportation of LH
2 as carrying hydrogen significantly impacts the cost and CO
2 emissions [
16]. The value for electrolysis is 20 g / kWh or 50 kWh per kg of H
2 as proposed by Younas et al in An Overview of Hydrogen Production: Current Status, Potential, and Challenges [
15] while the energy cost for liquefaction adds 15 kWh per kg of H
2 as highlighted by Al Ghafri et al in Hydrogen liquefaction: a review of the fundamental physics, engineering practice and future opportunities [
27]. A total of 65 kWh of electricity per kg of LH
2 is considered in this study.
- o
Electricity for eFuel: as for LH
2, electricity is the dominant factor when producing eFuel [
11,
17,
28]. Low carbon eFuel will require an optimized unit of production as proposed in [
11,
17] using direct air captured or biogenic CO
2 [
28]. The H
2 shall be produced the same water electrolysis as above, but located in an integrated plant which will optimize the Fischer-Tropsch, Water Electrolysis and Direct Air Capture units as proposed by Peters et al in “a techno-economic assessment of Fischer-Trosch fuels based on syngas from co-electrolysis” [
17]. The efficiency ranges from 46 to 67% and we have used the value refined by the Académie des Technologies in 2023 of 22.2 kWh per kg of eFuel, an efficiency of 55% [
11]. This figure considers a selectivity of 60%, which means 40% of co-products such as diesel or naphtha [
11,
17].
2.4. Life Cycle Assessment
The energy used in operation represents more than 99% of the emissions of the aircraft and the impacts associated with the manufacturing are negligeable [
29,
30]. We therefore consider all VTOL architecture to be equal and do not take in consideration the environmental impact, nor the CAPEX, associated to the various aircraft configurations except for the battery pack as battery manufacturing have a significative impact over the lifetime costs and CO
2 emissions of a vehicle [
31]. The hypothesis for the battery manufacturing is a GHG of 72.9 kg CO
2 per kWh of battery, cell and battery management system included [
32]. With frequent high-speed charge, our hypothesis for battery replacement is 1350 cycles [
33] or 200.000 km while the battery cost hypothesis is 75
$ / kWh as proposed by Lutsey and Nicholas in Update on electric vehicle costs through 2030 [
34].
For the FCLH
2 configuration (fuel cell with LH
2), a battery pack of 100 kWh is required to accommodate the transient and voltage stabilization [
20,
35]. The above numbers, CO
2 emissions per kWh and battery cost per kWh will apply and be adapted to the battery pack size.
The LCA of the water electrolysis units and eFuels units are directly proportional to the carbon intensity (CI) of electricity as highlighted by Liu et al in A life cycle assessment of greenhouse gas emissions from direct air capture and Fischer–Tropsch fuel, Royal Society of Chemistry in 2020 [
36] : “the synthetic fuel CI is dictated by the electricity emission factor; the lower the electricity CI, the lower is the GHG impact of the fuel produced”. This is in accordance with [
11,
17] and the CO
2 emissions of LH
2 and eFuel will be calculated with Q
kWh . CI
kWh whereas Q is the quantity of electricity required (65 kWh / kg of LH
2 and 22.2 kWh / kg of eFuel) and CI being the carbon intensity of the electricity used to produce the above molecules.
3. Results
3.1. VTOL energy requirements per energy carrier
The analysis was conducted for each propulsion system, leading to different helicopter sizing’s, to perform the same design mission.
The results are presented in Table 4 below with the weight breakdown of each propulsion system and associated energy consumption to fulfill the mission.
The choice of the energy carrier has a significant impact on the take-off weight thus the energy required when applying the integration effects.
The lowest TOW, which is rounded at 1400 kg, apply for the liquid fuel at ambient temperature: eFuel, but also biofuel and the current Jet-A1 (fossil). This would require 63 kg of eFuel. The TOW and energy required which are calculated using methodology described in 2.2 are consistent with the current VTOL in operation [
3], which brings credibility to the model used for this study.
When using LH2, while the gravimetric density is favorable, the lower volumetric density and the need to accommodate wider and more robust tanks as explained in 2.2 leads to a heavier VTOL. TOW is almost doubled compared to liquid hydrocarbons, reaching 2500 kg (rounded value) for GTH2 and 2900 kg (rounded value) for FCH2.
The propulsive system based on fuel cell is penalized by the fuel cell weight and the associated balance of plant [
7], the need to dissipate the heat generated and the integration of a 100-kWh battery pack to cope with the transient and voltage stabilization [
35].
The gas turbine, while lighter, must accommodate a complex fuel system to allow the stored LH
2 @ 21°K to reach the combustion chamber without safety issues, leading to heavier pipes and additional monitoring and safety components [
36].
Heavier TOW requires greater amount of energy: respectively 36 and 41 kg of LH2 for GTH2 and FCH2.
To calculate the battery electrification VTOL take-off weight, the battery pack size was calculated. With the baseline requirement to fulfill the mission, to 360 kWh of electricity, the battery pack must grow to 625 kWh. This is explained by the integration of the safety reserve, 90 kWh for 20 nm, the minimum of 10% state of charge before charging [
37], and the aging of the battery before replacement, with an hypothesis of 80% before reaching the battery knee-point [
38].
3.2. Energy requirements “well to rotor” in kWh
To calculate the total electricity consumption, we apply the methodology explained in 2.3:
Battery electrification: charging losses are added, so 10% of 360 kWh: 400 kWh of electricity will be used from the grid.
eFuel: the electricity required for the Fischer-Tropsch process (H2+CO2+H2O) is 22.2 kWh per kg of eFuel. Since 63 kg of eFuel are required to fulfill the mission, this leads to 1399 kWh of electricity used from the grid.
-
LH2: 65 kWh of electricity are required to produce 1 kg of LH2:
- o
GTH2: 36 kg of LH2 are required to fulfill the mission, so 2340 kWh of electricity will be used from the grid.
- o
FCH2: 41 kg of LH2 are required to fulfill the mission, so 2665 kWh of electricity will be used from the grid.
The results are synthetized in Table 5 below:
One can notice that when expressed in kWh at the well, the electricity grid in our model, the consumptions are extremely different, which will significantly impact not only the affordability of the mission, but also the associated CO2 emissions: using clean energy shall come with efficiency.
3.3. CO2 emissions
The CO2 emissions are proportional to the carbon intensity of the electricity in gCO2/kWh multiplied by the quantity of electricity required to perform the mission: QkWh * CIkWh.
QkWh being the Quantity of kWh required and CIkWh being the carbon intensity of the electricity in gCO2 equivalent.
This is true for all energy vectors except for Battery Electrification and FCH2 as the battery manufacturing comes with significant CO2 emissions as described in section 2.4. The CI of the battery manufacturing shall therefore be added to the result of QkWh * CIkWh.
For battery electrification, the hypothesis for the battery manufacturing is a GHG of 72.9 kg CO
2 / kWh [
32], which means 45562 kg of CO
2 for the 625-kWh battery pack calculated in 3.1. Since the battery pack will be replaced every 200.000 km as detailed in 2.3, we therefore conclude that 0.228 kg of CO
2 should be added per km, or 33.7 kg of CO
2 per mission (80 nm being equivalent to 148 km: 0.228*148=33.7).
For FCH2, the 100-kWh battery pack, using the same approach, would add 5.4 kg of CO2 per mission.
For battery electrification and FCH2, the formula is BatCO2+ QkWh * CIkWh, BatCO2 being the fixed CO2 emissions associated to the battery pack manufacturing.
Since the CO
2 emissions are proportional to the CI of the electricity and while this could be infinite, we used the European Union carbon intensity of electricity which decreased from 641 gCO
2/kWh in 1990 to 334 gCO
2/kWh in 2019 [
39] to draw the first results as shown in Figure 4 below:
Calculations are based on QkWh * CIkWh for eFuel and GTH2, and BatCO2+ QkWh * CIkWh for FCH2 and BE.
CI in Figure 4 goes from 5 to 340 gCO2/kWh (x-axis) and the result for the mission is expressed in gCO2 in the y-axis.
One can notice that LH2 has higher CO2 emissions than eFuel whatever the carbon intensity of the electricity, the gap widening with the CI of electricity. This can be explained by the overall efficiency of the energy carrier when applied to air mobility as described in 3.2, with 1399 kWh for eFuel, 2340 kWh for GTH2 and 2665 kWh for FCH2.
Battery electrification shows the lowest CO2 emissions except when the carbon intensity is very low, which could be explained by the impact of the battery manufacturing.
While the results are clear when the CI of electricity is above 50 gCO2/kWh, this is not the case when the CI of electricity is below 50 gCO2/kWh.
These results should also be put in perspective of the recent pledges for low carbon energies in the transport sector. For instance, the European Union recently implemented dedicated regulations such as the European Regulation for Renewable and Low Carbon Fuels [
40]. This regulation defines what can be considered as a low carbon fuel, and the minimum reduction for RFNBOs compared to the fossil fuel reference shall be -70%. A potential definition of clean energy.
With a CI of 94gCO
2/MJ [
24] and a LHV of 44.1 GJ/ton [
25], so 4.15 kg of CO
2 per kg of fossil fuel, this means that eFuel CI shall remain below 1.25 kg of CO
2 per kg. Since the CI of eFuel is directly proportional to Q
kWh * CI
kWh, and Q being 22.2 kWh, the maximum CI of electricity is 56 gCO
2/kWh for the eFuel to be considered as a clean energy.
In Figure 5 we therefore focus on carbon intensity of the electricity from 0 to 50 g CO2/kWh. One can notice that when the carbon intensity of the electricity is very low, the choice of the energy carrier is less obvious.
When electricity CI is below 35 gCO2/kWh eFuel can show lower emissions than any other pathway, including battery electrification. This can be explained by the impact of the battery pack manufacturing associated CO2 emissions. However, it is difficult to conclude as battery recycling is expected to grow in the coming years, lowering the carbon footprint of the battery pack.
For the hydrogen and eFuel energy carriers, Figure 5 confirms that whatever the carbon intensity of the electricity, eFuel has lower CO2 emissions than any propulsive systems using H2 (FCH2 and GTH2). This is mainly explained by the VTOL design, which is significantly heavier, thus requiring more energy so more electricity from the grid.
3.4. Cost of electricity for the mission
The costs calculated here apply to the cost of the electricity required to perform the mission and the cost of the battery when necessary. CAPEX are not considered.
The cost of the mission is therefore proportional to the electricity required for the mission (MkWh) and the electricity price expressed in $/kWh: MkWh * $.kWh
This is true for all energy vectors except for Battery Electrification and FCH2 as the battery manufacturing implicates significant costs as described in section 2.4.
For battery electrification, the hypothesis for the battery manufacturing is a cost of 75
$/kWh [
34], which means 46875
$ for the 625 kWh battery pack which will be replaced every 1350 cycles [
33] or an equivalent of 200.000 km. This means 0.234
$ to be added per km, or 34.7
$ for the mission, 80 nm being equivalent to 148 km (0.234*148).
For FCH2, the 100 kWh battery pack, using the same formula, would add 5.5 $.
Since in our model the costs are proportional to the price of electricity, and while this could be infinite, we used the levelized full system costs of electricity applied to low carbon electricity plants with a load factor greater than 95%, so between 90 and 192
$ / MWh as proposed by Idel in “Levelized Full System Costs Of Electricity” (LFSCOE) [
41].
Results are shown in Figure 6 above with the cost of the mission expressed in $ in the y-axis while the LFSCOE is in the x-axis.
Whatever the price of electricity, battery electrification is always the cheapest option while a VTOL using LH2 either with a gas turbine or fuel cell is always the most expensive options.
4. Discussion and conclusions
In this study we compared the energy requirements of different energy vectors requiring electricity as a raw material when applied to a standard VTOL mission (4 passengers over 80 nm) using the well to rotor methodology.
While there are various solutions when considering the implementation of renewable energy [
42], flying requires much more energy than floating or rolling and the integration effects when considering new energy carriers such as eFuel, battery electrification or H
2, either coupled with a gas turbine or with fuel cells, shall be considered.
We found that energy carriers using electricity as a raw material can be directly compared, either to evaluate the CO2 emissions or the cost of energy when applied to a given mission.
Battery electrification should be the preferred option if the take-off weight is compatible with the payload and the range, which is in line with the conclusions of Zhang et al [
43]. However, battery electrification means heavier platforms and the opportunity of such a technology could remain limited to short distances and / or limited payload, thus in competition with public transportation and / or electric cars which are far more efficient [
18]. The impact on battery material could also be an issue as a medium and long-range aircraft often travel more than 2 million kilometers per year, consuming almost 1 battery pack per month as the average lifetime of a battery pack is 1350 cycles or 200.000 kilometers [
33].
In all scenarios, eFuel shows less CO2 emissions and lower costs than H2 based propulsive systems. We conclude that carrying the most efficient molecule in an aircraft pays the extra energy cost spent on the ground required by the Fischer-Tropsch process which combines H2+CO2+H2O. This will be further investigated in future works since the VTOL requirements, such as hovering, are extremely energy demanding thus probably magnifying the results.
A first limit in this study is that the boil-off rate of LH
2 is not considered as the model does not introduce turnaround time and durations between flights. This would further penalize the LH
2 option. Another limit in this study concerns the impacts on NOx, contrails and noise which are not considered here, and future works should be done to refine the FCH
2 potential for small fixed wing aircrafts which could perhaps accommodate more efficiently a fuel cell than a VTOL [
6,
7]. For larger aircrafts which would require a significant amount of power, thus switching from fuel cell to gas turbine to use the H
2, the eFuel option should be preferred as it is more affordable and comes with lower CO
2 emissions: clean energy should be placed in perspective of its associated consumption to measure its overall CO
2 impact.
As the aviation industry intends to decarbonize its energy, one shall consider that the H
2 option requires not only more electricity from the grid compared to eFuel, but that hydrogen also comes with the need to be produced at the point of use as it does not travel efficiently [
16]. H
2 should be produced locally, which could significantly harm the cost for airlines in countries where electricity prices are high as shown in Figure 7 below.
In Figure 7 we apply the price of electricity (€/kWh) of 3 European countries, using data from Statista [
44] for the second semester 2022, respectively 150, 260 and 440 € per MWh in France, Germany, and Denmark. We have introduced the cost of the fossil fuel and the cost of the most common biofuel (HEFA-UCO) [
4] for comparison.
One can notice that fossil fuel remains the cheapest option, but also that biofuel could almost compete with battery electrification. More interestingly, a country with high electricity prices such as Denmark could almost consider importing eFuel from France where electricity is much cheaper rather than charging a battery electrified VTOL within the country. While probably not an option, this highlight the disparities between future producers of low carbon energy carriers: the electricity shall not only be low carbon, but also affordable.
Finally, we found that the choice of the energy carrier needs to be carefully evaluated as the impacts on the electricity production are significant. Therefore, the impact on the electricity production should be considered at the nation and / or the continent level. In Europe, the European Union recently set the objective of 35% of RFNBO in its ReFuel EU regulation for 2050 [
45] and this will most probably be eFuel. Would Europe require 50 Mt of Jet Fuel by 2050, this would translate in 17.5 Mt of eFuel. With a selectivity of 60%, which means 60% of eFuel and 40% of co-products [
11], 37 TWh of electricity would be required per Mt of eFuel.
This means 650 TWh (17.5 Mt * 37 TWh/Mt) in an optimized scenario. In 2022 the European Union produced 2641 TWh of which 23.5% of wind and solar, or 607 TWh [
46]. The production of eFuel at scale would therefore require significant amount of low carbon electricity and this could lead to future conflict of use issues. These conclusions are in line with the ones of Becken et al in “Implications of preferential access to land and clean energy for Sustainable Aviation Fuels, Science of the Total Environment” [
9] and this aspect of the decarbonization of the energy for air mobility will be further investigated in future works.
Author Contributions
Conceptualization, JB Jarin; methodology, JB Jarin; software, S Beddok; validation, JB Jarin, S Beddok; formal analysis, JB Jarin, S Beddok; investigation, JB Jarin, S Beddok; resources, JB Jarin; data curation, JB Jarin, S Beddok; writing—original draft preparation, JB Jarin; writing—review and editing, JB Jarin, C Haritchabalet; visualization, JB Jarin; supervision, C Haritchabalet; project administration, JB Jarin, C Haritchabalet; funding acquisition, non-applicable. All authors have read and agreed to the published version of the manuscript.
Funding
This research received no external funding; the APC was paid by the University of Pau.
Acknowledgements
Jean-Baptiste Jarin would like to thank Fabien Mercier-Calvairac and Quentin Vincenzotto as they both supported the preliminary discussions and calculations. The authors would also like to express their gratitude to the reviewers for their valuable comments during the peer review rounds.
Conflicts of Interest
Jean-Baptiste Jarin has worked for Safran for 25 years and is now a PhD student and researcher at University of Pau UPPA-E2S, working on the conflict of use associated to the decarbonization of energy for air mobility. Stéphane Beddok is a Safran employee, in charge of propulsive system architecture. Safran is a leading aerospace company, involved in gas turbine, battery electrification, fuel cells and other aerospace components.
References
- Lee et al; The contribution of global aviation to anthropogenic climate forcing for 2000 to 2018, Atmospheric Environment, 2021. [CrossRef]
- ATAG Waypoint 2050 report, 2021, page 5 https://aviationbenefits.org/media/167418/w2050_v2021_27sept_summary.pdf.
- Tjandra et al, GHG reduction study for the rotorcraft industry, 76th Annual Forum & Technology Display Vertical Flight Society, 2020, page 7; https://hal.science/hal-03225084.
- Dahal et al, Techo-economic review of alternative fuels and propulsion systems for the aviation sector, Renewable and Sustainable Energy review, 2021. [CrossRef]
- Cazaurang et al, Introduction: UAVs and VTOL Mutli-Copter platforms, I.1., 2020.
- Brejle and Martins, Electric, hybrid, and turboelectric fixed-wing aircraft: A review of concepts, models, and design approaches, Progress in Aerospace Sciences, 2019. [CrossRef]
- Adler and Martins, Hydrogen-powered aircraft: Fundamental concepts, key technologies, and environmental impacts, Progress in Aerospace Sciences, 2023. [CrossRef]
- Lark et al, Environmental outcomes of the US Renewable Fuel Standard, National Academy of Science, PNAS, 2022 https://www.pnas.org/doi/full/10.1073/pnas.2101084119].
- Becken et al, Implications of preferential access to land and clean energy for Sustainable Aviation Fuels, Science of the Total Environment, 2023. [CrossRef]
- Grahn et al, Review of electrofuels feasibility, Progress in Energy 4 032010, 2022, https://iopscience.iop.org/article/10.1088/2516-1083/ac7937/meta.
- Rapport de l’Académie des Technologies, la décarbonation du secteur aérien par la production de carburants durables, 2023, pages 54-58 ; https://www.academie-technologies.fr/wp-content/uploads/2023/03/Rapport-decarbonation-secteur-aerien-production-carburants-durables-AT-Mars-2023.pdf.
- European Parliament, September 2023, available online https://www.europarl.europa.eu/news/en/press-room/20230911IPR04913/70-of-jet-fuels-at-eu-airports-will-have-to-be-green-by-2050.
- Rojas-Michaga et al, Sustainable aviation fuel production through power-to-liquid: a combined techno-economic and life cycle assessment, Energy Conversion and Management, 2023; https://doi.org/10.1016/j.enconman.2023.117427. [CrossRef]
- Schmidt et al, Power to Liquids as renewable fuel option for aviation, Chemie Ingenieur Technik, 2018. [CrossRef]
- Younas et al, An Overview of Hydrogen Production: Current Status, Potential, and Challenges, Fuel, 2022. [CrossRef]
- Galimova et al, Impact of international transportation chains on cost of green e-hydrogen: Global cost of hydrogen and consequences for Germany and Finland, Applied Energy, 2023. [CrossRef]
- Peters et al, a techno-economic assessment of Fischer-Tropsch fuels based on syngas from co-electrolysis, Process, 2022. [CrossRef]
- Liberacki et al, The Environmental Life Cycle Costs of Urban Air Mobility as an input for sustainable urban mobility, Journal of Cleaner Production, 2023. [CrossRef]
- Tremolet, Modèles et méthodes numériques les études conceptuelles d'aéronefs à voilure tournante within “the Concepts of Rotorcraft Enhanced Assessment Through Integrated Optimization Network project”, 2014, https://theses.hal.science/tel-00952559.
- Tian et al, A coordinated optimization method of energy management and trajectory optimization for hybrid electric UAVs with PV/Fuel Cell/Battery, International Journal of Hydrogen Energy, 2023. [CrossRef]
- Khan et al, Design and optimization of lithium-ion battery as an efficient energy storage device for electric vehicles: A comprehensive review, Journal of Energy Storage, 2023. [CrossRef]
- Seber et al, Uncertainty in life cycle greenhouse gas emissions of sustainable aviation fuels from vegetable oils, Renewable and Sustainable Energy reviews, 2022. [CrossRef]
- Shahriar, The current techno-economic, environmental, policy status and perspectives of sustainable aviation fuel (SAF), Fuel, 2022. [CrossRef]
- Commission delegated regulation, EC Europa, 2023, page 2 ; https://energy.ec.europa.eu/system/files/2023-02/C_2023_1086_1_EN_annexe_acte_autonome_part1_v4.pdf.
- Boehm et al, Lower heating value of jet fuel from hydrocarbon class concentration data and thermo-chemical reference data: An uncertainty quantification, Fuel, 2022. [CrossRef]
- Reick et al, Influence of Charging Losses on Energy Consumption and CO2 Emissions of Battery-Electric Vehicles, Special Issue Advanced Battery States Estimation and Charging Techniques for Electric Vehicles, 2021. [CrossRef]
- Al Ghafri et al, Hydrogen liquefaction: a review of the fundamental physics, engineering practice and future opportunities, Energy and Environmental Science, 2022. [CrossRef]
- HPio et al, Decarbonizing the aviation sector with Electro Sustainable Aviation Fuel (eSAF) from biogenic CO2 captured at pulp mills, Chemical Engineering Journal, 2023. [CrossRef]
- Howe et al, Environmental life cycle assessment of commercial passenger jet airliners, Transport and Environment, 2013. [CrossRef]
- Jakovljevic et al, Carbon dioxide emission during the life cycle of turbofan aircraft, Energy, 2018. [CrossRef]
- Ellingsen et al, Life cycle assessment of battery electric buses, Transport and Environment, 2022. [CrossRef]
- Dai et al, Life Cycle Analysis of Lithium-Ion Batteries for Automotive Applications, Batteries, 2019. [CrossRef]
- Su-Ungkavatin et al, Biofuels, electrofuels, electric or hydrogen: A review of current and emerging sustainable aviation systems, Progress in Energy and Combustion Science, 2023. [CrossRef]
- Lutsey and Nicholas, Update on electric vehicle costs through 2030, ICCT, 2019. [CrossRef]
- Graf et al, Low pressure influence on a direct fuel cell battery hybrid system for aviation, International Journal of Hydrogen Energy, 2023. [CrossRef]
- Manigandan et al, Role of hydrogen on aviation sector: A review on hydrogen storage, fuel flexibility, flame stability, and emissions reduction on gas turbines engines, Fuel, 2023. [CrossRef]
- Park et al, Techno-economic analysis for the electric vehicle battery aging management of charge point operator, Energy, 2023. [CrossRef]
- You et al, Nonlinear aging knee-point prediction for lithium-ion batteries faced with different application scenarios, eTransportation, 2023. [CrossRef]
- Scarlat et al, Quantification of the carbon intensity of electricity produced and used in Europe, Applied Energy, 2022. [CrossRef]
- Regulation of the European parliament and of the council on ensuring a level playing field for sustainable air transport https://eur-lex.europa.eu/resource.html?uri=cellar:00c59688-e577-11eb-a1a5-01aa75ed71a1.0001.02/DOC_1&format=PDF.
- Idel, Levelized Full System Costs of Electricity, Energy, 2022. [CrossRef]
- Connolly et al, A comparison between renewable transport fuels that can supplement or replace biofuels in a 100% renewable energy system, Energy, 2014; https://doi.org/10.1016/j.energy.2014.05.104. [CrossRef]
- Zhang et al, Techno-economic-environmental evaluation of aircraft propulsion electrification: Surrogate-based multi-mission optimal design approach, Renewable and Sustainable Energy Reviews, 2023; https://doi.org/10.1016/j.rser.2023.113168. [CrossRef]
- Statista, the price of electricity in most European countries, website accessed on November 12th 2023, https://fr.statista.com/infographie/30253/comparaison-prix-electricite-pour-les-industriels-entreprises-par-pays-en-europe/.
- European Union press release September 13th 2023, website accessed on November 12, 2023; https://www.europarl.europa.eu/news/en/press-room/20230911IPR04913/70-of-jet-fuels-at-eu-airports-will-have-to-be-green-by-2050.
- European Council, How is electricity produced and sold, website accessed on November 12, 2023; https://www.consilium.europa.eu/en/infographics/how-is-eu-electricity-produced-and-sold/. 12 November.
|
Disclaimer/Publisher’s Note: The statements, opinions and data contained in all publications are solely those of the individual author(s) and contributor(s) and not of MDPI and/or the editor(s). MDPI and/or the editor(s) disclaim responsibility for any injury to people or property resulting from any ideas, methods, instructions or products referred to in the content. |
© 2024 by the authors. Licensee MDPI, Basel, Switzerland. This article is an open access article distributed under the terms and conditions of the Creative Commons Attribution (CC BY) license (http://creativecommons.org/licenses/by/4.0/).