Submitted:
03 November 2023
Posted:
06 November 2023
You are already at the latest version
Abstract
Keywords:
1. Introduction
2. Materials and Methods
2.1. Plant Material
2.2. Photographic Environment and Data Acquisition Methods
2.3. Color Information Collection Methods
2.4. Modeling with Random Forests
3. Results
3.1. Modeling Results
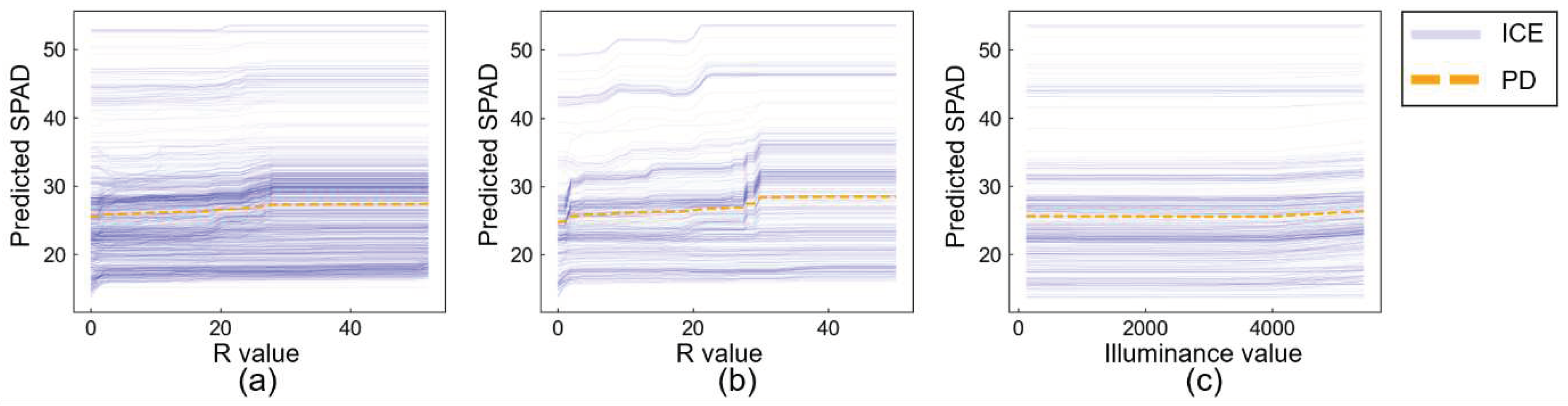
3.2. Variable Importance
4. Discussion
5. Conclusions
Author Contributions
Funding
Conflicts of Interest
Appendix A

References
- Wang, Y.; Wang, D.; Shi, P.; Omasa, K. Estimating rice chlorophyll content and leaf nitrogen concentration with a digital still color camera under natural light. Plant Methods 2014, 10, 36. [Google Scholar] [CrossRef] [PubMed]
- Alena, T.N.; Eliemar, C.; Jurandi, G.O.; Ricardo, E.B.S. Photosynthetic pigments, nitrogen, chlorophyll a fluorescence and SPAD-502 readings in coffee leaves. Scientia Horticulturae 2005, 104, 199–209. [Google Scholar] [CrossRef]
- Guo, Y.; Chen, S.; Li, X.; Cunha, M.; Jayavelu, S.; Cammarano, D.; Fu, Y. Machine Learning-Based Approaches for Predicting SPAD Values of Maize Using Multi-Spectral Images. Remote Sensing 2022, 14, 1337. [Google Scholar] [CrossRef]
- Sakamoto, M.; Komatsu, Y.; Suzuki, T. Nutrient Deficiency Affects the Growth and Nitrate Concentration of Hydroponic Radish. Horticulturae 2021, 7, 525. [Google Scholar] [CrossRef]
- Stagnari, F.; Galieni, A.; D'Egidio, S.; Pagnani, G.; Pisante, M. Responses of radish (Raphanus sativus) to drought stress. Annals of Applied Biology 2018, 172, 170–186. [Google Scholar] [CrossRef]
- Liu, Y.; Hatou, K.; Aihara, T.; Kurose, S.; Akiyama, T.; Kohno, Y.; Lu, S.; Omasa, K. A Robust Vegetation Index Based on Different UAV RGB Images to Estimate SPAD Values of Naked Barley Leaves. Remote Sensing 2021, 13, 686. [Google Scholar] [CrossRef]
- Liu, Y.; Hatou, K.; Aihara, T.; Kurose, S.; Akiyama, T.; Kohno, Y.; Lu, S.; Omasa, K. Assessment of naked barley leaf SPAD values using RGB values under different growth stages at both the leaf and canopy levels. Eco-Engineering 2021, 33, 31–38. [Google Scholar] [CrossRef]
- Kandel, B.P. Spad value varies with age and leaf of maize plant and its relationship with grain yield. BMC Research Notes 2020, 13, 475. [Google Scholar] [CrossRef] [PubMed]
- Sumesh, K.C.; Ninsawat, S.; Somard, J. Integration of RGB-based vegetation index, crop surface model and object-based image analysis approach for sugarcane yield estimation using unmanned aerial vehicle. Computers and Electronics in Agriculture 2021, 180, 105903. [Google Scholar] [CrossRef]
- Iwata, H.; Niikura, S.; Matsuura, S.; Takano, Y.; Ukai, Y. Evaluation of variation of root shape of Japanese radish (Raphanus sativus L.) based on image analysis using elliptic Fourier descriptors. Euphytica 1998, 102, 143–149. [Google Scholar] [CrossRef]
- Lu, J.; Cheng, D.; Geng, C.; Zhang, Z.; Xiang, Y.; Hu, T. Combining plant height, canopy coverage and vegetation index from UAV-based RGB images to estimate leaf nitrogen concentration of summer maize. Biosystems Engineering 2021, 202, 42–54. [Google Scholar] [CrossRef]
- Waldamichael, F.G.; Debelee, T.G.; Ayano, Y.M. Coffee disease detection using a robust HSV color-based segmentation and transfer learning for use on smartphones. International J. of Intelligent Systems 2022, 37, 4967–4993. [Google Scholar] [CrossRef]
- Motonaga, Y.; Kameoka, T.; Hashimoto, A. Constructing Color Image Processing System for Managing the Surface Color of Agricultural Products. J. of the Japanese Society of Agricultural Machinery 1997, 59, 13–22. [Google Scholar] [CrossRef] [PubMed]
- Cao, Y.; Li, G.L.; Luo, Y.K.; Pan, Q.; Zhang, S.Y. Monitoring of sugar beet growth indicators using wide-dynamic-range vegetation index (WDRVI) derived from UAV multispectral images. Computers and Electronics in Agriculture 2020, 171, 105331. [Google Scholar] [CrossRef]
- Sulemane, S.; Matos-Carvalho, J.P.; Pedro, D.; Moutinho, F.; Correia, S.D. Vineyard Gap Detection by Convolutional Neural Networks Fed by Multi-Spectral Images. Algorithms 2022, 15, 440. [Google Scholar] [CrossRef]
- Kanning, M.; Kühling, I.; Trautz, D.; Jarmer, T. High-Resolution UAV-Based Hyperspectral Imagery for LAI and Chlorophyll Estimations from Wheat for Yield Prediction. Remote Sensing 2018, 10, 2000. [Google Scholar] [CrossRef]
- Pourdarbani, R.; Sabzi, S.; Dehghankar, M.; Rohban, M.H.; Arribas, J.I. Examination of Lemon Bruising Using Different CNN-Based Classifiers and Local Spectral-Spatial Hyperspectral Imaging. Algorithms 2023, 16, 113. [Google Scholar] [CrossRef]
- Tan, L.; Zhou, L.; Zhao, N.; He, Y.; Qiu, Z. Development of a low-cost portable device for pixel-wise leaf SPAD estimation and blade-level SPAD distribution visualization using color sensing. Computers and Electronics in Agriculture 2021, 190, 106487. [Google Scholar] [CrossRef]
- Breiman, L. Random Forests. Machine Learning 2001, 45, 5–32. [Google Scholar] [CrossRef]
- Cutler, D.R.; Edwards, T.C. Jr.; Beard, K.H.; Cutler, A.; Hess, K.T.; Gibson, J.; Lawler, J.J. Random Forests for Classification in Ecology. Ecology 2007, 88, 2783–2792. [Google Scholar] [CrossRef] [PubMed]
- Pedregosa, F.; et al. Scikit-learn: Machine Learning in Python. Journal of Machine Learning Research 2021, 12, 2825–2830. [Google Scholar] [CrossRef]
- Nash, J.E.; Sutcliffe, J.V. River flow forecasting through conceptual models part I-A discussion of principles. J. of Hydrology 1970, 10, 282–290. [Google Scholar] [CrossRef]
- Scott, M.L.; Lee, S.I. A unified approach to interpreting model predictions. In Proceedings of the 31st International Conference on Neural Information Processing Systems (NIPS'17), New York, United States, 4-9 December 2017; pp. 4768–4777. [Google Scholar]
- Jagan, M.P.; Dutta, G.S. Intelligent image analysis for retrieval of leaf chlorophyll content of rice from digital images of smartphone under natural light. Photosynthetica 2019, 57, 388–398. [Google Scholar] [CrossRef]
- Guo, Y.; Yin, G.; Sun, H.; Wang, H.; Chen, S.; Senthilnath, J.; Wang, J.; Fu, Y. Scaling Effects on Chlorophyll Content Estimations with RGB Camera Mounted on a UAV Platform Using Machine-Learning Methods. Sensors 2020, 20, 5130. [Google Scholar] [CrossRef]
- Yang, H.; Hu, Y.; Zheng, Z.; Qiao, Y.; Hou, B.; Chen, J. A New Approach for Nitrogen Status Monitoring in Potato Plants by Combining RGB Images and SPAD Measurements. Remote Sensing 2022, 14, 4814. [Google Scholar] [CrossRef]
- Putra, B.T.W.; Soni, P. Improving nitrogen assessment with an RGB camera across uncertain natural light from above-canopy measurements. Precision Agriculture 2020, 21, 147–159. [Google Scholar] [CrossRef]
- Yuan, Y.; Wang, X.; Shi, M.; Wang, P. Performance comparison of RGB and multispectral vegetation indices based on machine learning for estimating Hopea hainanensis SPAD values under different shade conditions. Frontiers in Plant Science 2022, 13, 928953. [Google Scholar] [CrossRef] [PubMed]
- Sudu, B.; Rong, G.; Guga, S.; Li, K.; Zhi, F.; Guo, Y.; Zhang, J.; Bao, Y. Retrieving SPAD Values of Summer Maize Using UAV Hyperspectral Data Based on Multiple Machine Learning Algorithm. Remote Sensing 2022, 14, 5407. [Google Scholar] [CrossRef]




| Light Type | Input Variables | COR | NSE | RMSE |
| HAL+LED | RGB | 0.9255±0.01676 | 0.8538±0.03042 | 3.375±0.2837 |
| RGB + LCT + ILL | 0.9291±0.01452 | 0.8601±0.02635 | 3.305±0.2437 | |
| HSL | 0.9212±0.01534 | 0.8434±0.02726 | 3.503±0.2786 | |
| HSL + LCT + ILL | 0.9215±0.01519 | 0.8438±0.02693 | 3.498±0.2740 | |
| HSV | 0.9174±0.01735 | 0.8359±0.03125 | 3.583±0.3117 | |
| HSV + LCT+ ILL | 0.9185±0.01708 | 0.8378±0.03077 | 3.562±0.3083 | |
| GB | 0.9114±0.02031 | 0.8283±0.03695 | 3.656±0.3073 | |
| GB+ LCT + ILL | 0.9186±0.01622 | 0.8411±0.02949 | 3.522±0.2502 | |
| HAL | RGB + ILL | 0.8954±0.02725 | 0.7951±0.04803 | 3.964±0.4723 |
| HSL + ILL | 0.8759±0.03248 | 0.7557±0.05531 | 4.326±0.4892 | |
| GB + ILL | 0.8946±0.02776 | 0.7937±0.04906 | 3.977±0.4744 | |
| LED | RGB + ILL | 0.9536±0.01416 | 0.9057±0.02690 | 2.675±0.3240 |
| HSL + ILL | 0.9722±0.008233 | 0.9436±0.01634 | 2.065±0.2258 | |
| GB + ILL | 0.9317±0.01837 | 0.8644±0.03491 | 3.209±0.3273 | |
| LED_RES | RGB+ILL | 0.9143±0.002475 | 0.8272±0.004129 | 3.715±0.04429 |
| HSL+ILL | 0.9452±0.002044 | 0.8871±0.002044 | 3.002±0.05471 | |
| GB+ILL | 0.8899±0.002079 | 0.7902±0.002079 | 4.093±0.03818 |
Disclaimer/Publisher’s Note: The statements, opinions and data contained in all publications are solely those of the individual author(s) and contributor(s) and not of MDPI and/or the editor(s). MDPI and/or the editor(s) disclaim responsibility for any injury to people or property resulting from any ideas, methods, instructions or products referred to in the content. |
© 2023 by the authors. Licensee MDPI, Basel, Switzerland. This article is an open access article distributed under the terms and conditions of the Creative Commons Attribution (CC BY) license (http://creativecommons.org/licenses/by/4.0/).