Submitted:
16 October 2023
Posted:
18 October 2023
You are already at the latest version
Abstract
Keywords:
1. Introduction
2. Materials and Methods
2.1. Experimental Site Description
2.2. Experimental Treatments and Design
2.3. Sampling and Measurement
2.4. Potential Maximum Leaching Rate of Fertilizer
2.5. Grain Yield
2.6. Statistical Analysis
3. Result
3.1. Total N Leaching
3.2. NH4+-N Leaching
3.3. NO3--N Leaching
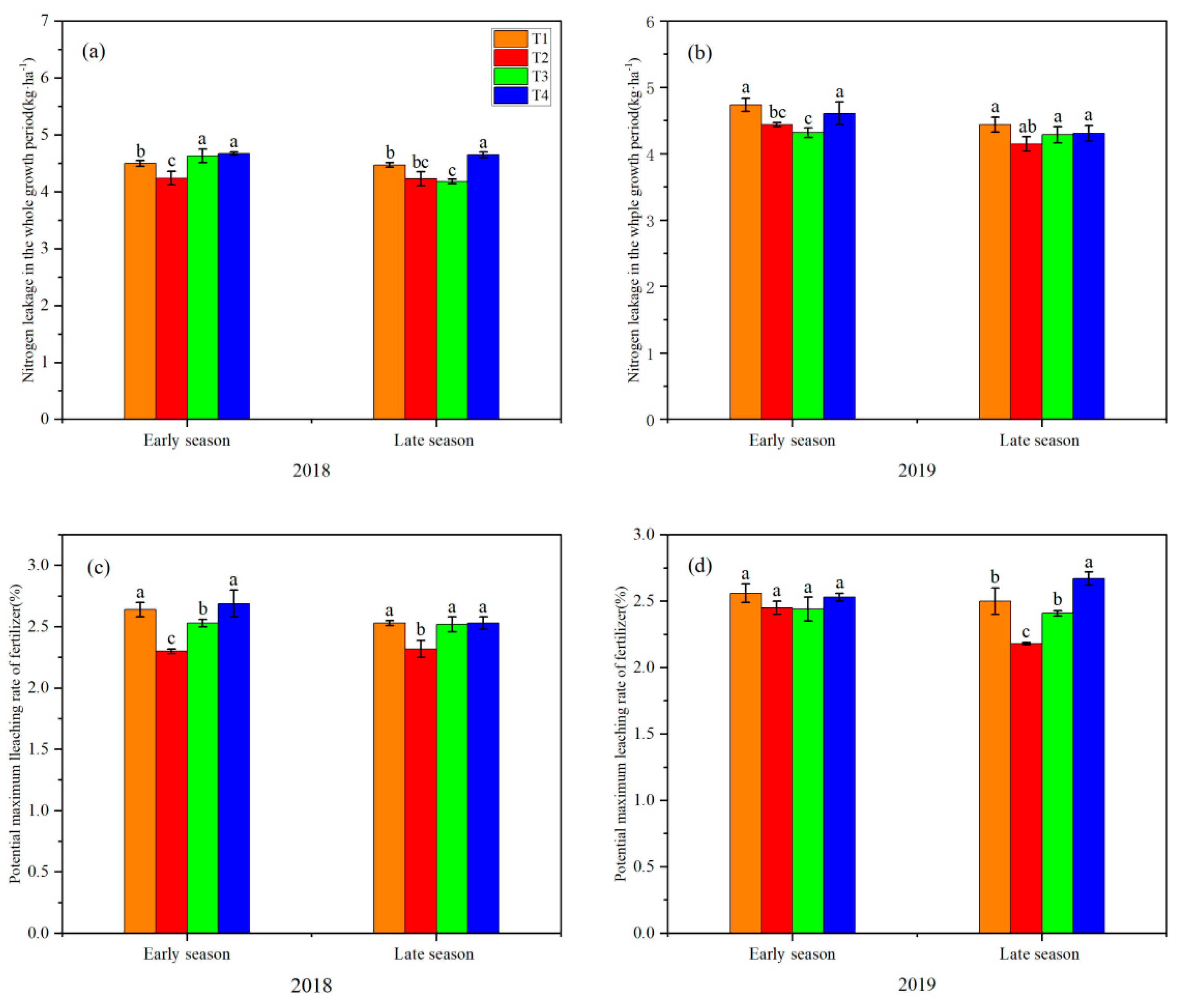
3.4. Nitrogen Leakage in the Whole Growth Period and Potential Maximum Leaching Rate of Fertilizer
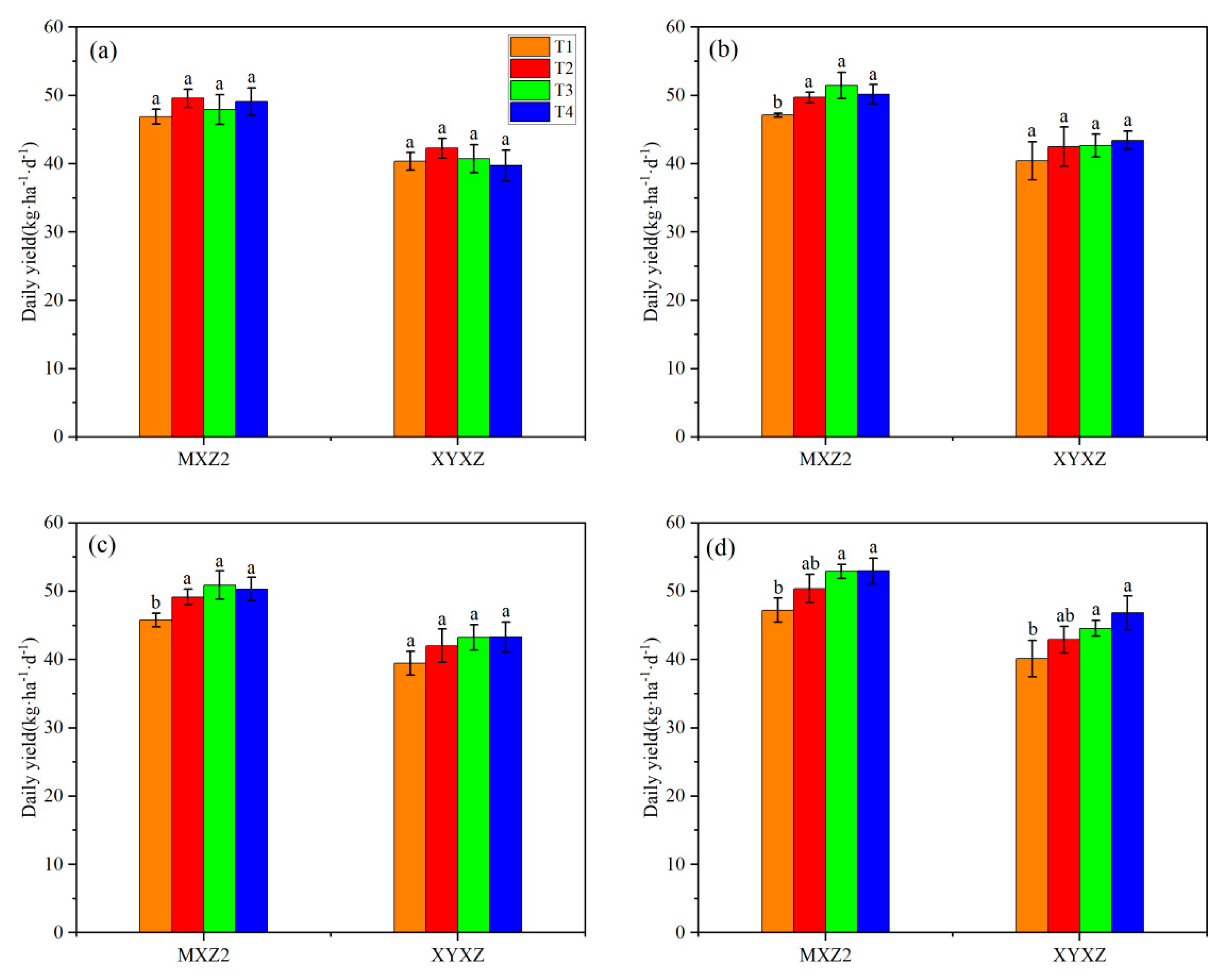
3.5. Daily Yield
3.6. Daily Yield and Annual Yield
3.7. Correlation Analysis and Principal Component Analysis (PCA)

4. Discussion
5. Conclusion
Author Contributions
Funding
Data Availability Statement
Conflicts of Interest
References
- He, G.; Liu, X.; Cui, Z. Achieving global food security by focusing on nitrogen efficiency potentials and local production. Glob. Food Secur. 2021, 29, 100536. [Google Scholar] [CrossRef]
- Zeifman L, Hertog S, Kantorova V, et al. A world of 8 billion. 2022.
- Elferink M, Schierhorn F. Global demand for food is rising. Can we meet it. Harvard Business Review. 2016, 7, 2016.
- Elser, J.J.; Fagan, W.F.; Kerkhoff, A.J.; Swenson, N.G.; Enquist, B.J. Biological stoichiometry of plant production: metabolism, scaling and ecological response to global change. New Phytol. 2010, 186, 593–608. [Google Scholar] [CrossRef]
- Harrison J, A. The Nitrogen Cycle[Z]. Visionlearning, 2010.
- Coskun, D.; Britto, D.T.; Shi, W.; Kronzucker, H.J. Nitrogen transformations in modern agriculture and the role of biological nitrification inhibition. Nat. Plants 2017, 3, 17074. [Google Scholar] [CrossRef]
- Follett R F, Delgado J A. Nitrogen fate and transport in agricultural systems. Journal of Soil and Water Conservation. 2002, 57, 402–408.
- Singh, B.; Craswell, E. Fertilizers and nitrate pollution of surface and ground water: an increasingly pervasive global problem. SN Appl. Sci. 2021, 3, 1–24. [Google Scholar] [CrossRef]
- Bryan N S, van Grinsven H. The role of nitrate in human health. Advances in agronomy. 2013, 119, 153–182.
- Rouse J D, Bishop C A, Struger J. Nitrogen pollution: an assessment of its threat to amphibian survival.. Environmental health perspectives. 1999, 107, 799–803.
- Jiang, Z.; Yang, S.; Chen, X.; Pang, Q.; Xu, Y.; Qi, S.; Yu, W.; Dai, H. Controlled release urea improves rice production and reduces environmental pollution: a research based on meta-analysis and machine learning. Environ. Sci. Pollut. Res. 2021, 29, 3587–3599. [Google Scholar] [CrossRef]
- Qi, D.; Zhu, J.; Wang, X. Nitrogen loss via runoff and leaching from paddy fields with the proportion of controlled-release urea and conventional urea rates under alternate wetting and drying irrigation. Environ. Sci. Pollut. Res. 2023, 30, 61741–61752. [Google Scholar] [CrossRef]
- Long, G.; Li, L.; Wang, D.; Zhao, P.; Tang, L.; Zhou, Y.; Yin, X. Nitrogen levels regulate intercropping-related mitigation of potential nitrate leaching. Agric. Ecosyst. Environ. 2021, 319, 107540. [Google Scholar] [CrossRef]
- Lal, R. Restoring Soil Quality to Mitigate Soil Degradation. Sustainability 2015, 7, 5875–5895. [Google Scholar] [CrossRef]
- Gómez-Rey, M.; Couto-Vázquez, A.; González-Prieto, S. Nitrogen transformation rates and nutrient availability under conventional plough and conservation tillage. Soil Tillage Res. 2012, 124, 144–152. [Google Scholar] [CrossRef]
- Tillage effects on soil nitrification and the dynamic changes in nitrifying microorganisms in a subtropical rice-based ecosystem: A long-term field study.
- Huang, M.; Liang, T.; Wang, L.; Zhou, C. No-tillage and fertilization management on crop yields and nitrate leaching in North China Plain. Ecol. Evol. 2015, 5, 1143–1155. [Google Scholar] [CrossRef] [PubMed]
- Spiess, E.; Humphrys, C.; Richner, W.; Schneider, M.K.; Piepho, H.-P.; Chervet, A.; Prasuhn, V. Does no-tillage decrease nitrate leaching compared to ploughing under a long-term crop rotation in Switzerland? Soil Tillage Res. 2020, 199, 104590. [Google Scholar] [CrossRef]
- Zhang, Y.; Xie, D.; Ni, J.; Zeng, X. Conservation tillage practices reduce nitrogen losses in the sloping upland of the Three Gorges Reservoir area: No-till is better than mulch-till. Agric. Ecosyst. Environ. 2020, 300, 107003. [Google Scholar] [CrossRef]
- Meisinger, J.J.; Palmer, R.E.; Timlin, D.J. Effects of tillage practices on drainage and nitrate leaching from winter wheat in the Northern Atlantic Coastal-Plain USA. Soil Tillage Res. 2015, 151, 18–27. [Google Scholar] [CrossRef]
- Gruhn P, Goletti F, Yudelman M. Integrated nutrient management, soil fertility, and sustainable agriculture: current issues and future challenges[M]. Intl Food Policy Res Inst, 2000.
- Terman G, L. Volatilization losses of nitrogen as ammonia from surface-applied fertilizers, organic amendments, and crop residues. Advances in agronomy. 1980, 31, 189–223. [Google Scholar]
- Zhang, A.-P.; Gao, J.; Liu, R.-L.; Zhang, Q.-W.; Chen, Z.; Yang, S.-Q.; Yang, Z.-L. Using side-dressing technique to reduce nitrogen leaching and improve nitrogen recovery efficiency under an irrigated rice system in the upper reaches of Yellow River Basin, Northwest China. J. Integr. Agric. 2016, 15, 220–231. [Google Scholar] [CrossRef]
- Rahman K A, Zhang D. Effects of fertilizer broadcasting on the excessive use of inorganic fertilizers and environmental sustainability. Sustainability. 2018, 10, 759.
- Ke, J.; He, R.; Hou, P.; Ding, C.; Ding, Y.; Wang, S.; Liu, Z.; Tang, S.; Ding, C.; Chen, L.; et al. Combined controlled-released nitrogen fertilizers and deep placement effects of N leaching, rice yield and N recovery in machine-transplanted rice. Agric. Ecosyst. Environ. 2018, 265, 402–412. [Google Scholar] [CrossRef]
- Zhu, C.; Xiang, J.; Zhang, Y.; Zhang, Y.; Zhu, D.; Chen, H. Mechanized transplanting with side deep fertilization increases yield and nitrogen use efficiency of rice in Eastern China. Sci. Rep. 2019, 9, 5653. [Google Scholar] [CrossRef]
- Singh, B.; Sekhon, G. Nitrate pollution of groundwater from farm use of nitrogen fertilizers — A review. Agric. Environ. 1979, 4, 207–225. [Google Scholar] [CrossRef]
- Cameron K C, Di H J, Moir J L. Nitrogen losses from the soil/plant system: a review. Annals of applied biology. 2013, 162, 145–173.
- Huang, M.; Liang, T.; Ou-Yang, Z.; Wang, L.; Zhang, C.; Zhou, C. Leaching losses of nitrate nitrogen and dissolved organic nitrogen from a yearly two crops system, wheat-maize, under monsoon situations. Nutr. Cycl. Agroecosystems 2011, 91, 77–89. [Google Scholar] [CrossRef]
- Ju, X.-T.; Xing, G.-X.; Chen, X.-P.; Zhang, S.-L.; Zhang, L.-J.; Liu, X.-J.; Cui, Z.-L.; Yin, B.; Christie, P.; Zhu, Z.-L.; et al. Reducing environmental risk by improving N management in intensive Chinese agricultural systems. Proc. Natl. Acad. Sci. USA 2009, 106, 3041–3046. [Google Scholar] [CrossRef] [PubMed]
- van Kessel, C.; Clough, T.; van Groenigen, J.W. Dissolved Organic Nitrogen: An Overlooked Pathway of Nitrogen Loss from Agricultural Systems? J. Environ. Qual. 2009, 38, 393–401. [Google Scholar] [CrossRef] [PubMed]
- Li, Z.; Reichel, R.; Xu, Z.; Vereecken, H.; Brüggemann, N. Return of crop residues to arable land stimulates N2O emission but mitigates NO3− leaching: a meta-analysis. Agron. Sustain. Dev. 2021, 41, 1–17. [Google Scholar] [CrossRef]
- Liu B, Li H, Li H, et al. Long-term biochar application promotes rice productivity by regulating root dynamic development and reducing nitrogen leaching. GCB Bioenergy. 2021, 13, 257–268.
- Chen, K.; Yu, S.; Ma, T.; Ding, J.; He, P.; Li, Y.; Dai, Y.; Zeng, G. Modeling the Water and Nitrogen Management Practices in Paddy Fields with HYDRUS-1D. Agriculture 2022, 12, 924. [Google Scholar] [CrossRef]
- Yu, Y.; Jiao, Y.; Yang, W.; Song, C.; Zhang, J.; Liu, Y. Mechanisms underlying nitrous oxide emissions and nitrogen leaching from potato fields under drip irrigation and furrow irrigation. Agric. Water Manag. 2021, 260, 107270. [Google Scholar] [CrossRef]
- He, T.; Yuan, J.; Xiang, J.; Lin, Y.; Luo, J.; Lindsey, S.; Liao, X.; Liu, D.; Ding, W. Combined biochar and double inhibitor application offsets NH3 and N2O emissions and mitigates N leaching in paddy fields. Environ. Pollut. 2021, 292, 118344. [Google Scholar] [CrossRef]
- Zhao, J.; Pullens, J.W.; Sørensen, P.; Blicher-Mathiesen, G.; Olesen, J.E.; Børgesen, C.D. Agronomic and environmental factors influencing the marginal increase in nitrate leaching by adding extra mineral nitrogen fertilizer. Agric. Ecosyst. Environ. 2021, 327, 107808. [Google Scholar] [CrossRef]
- Long, G.; Li, L.; Wang, D.; Zhao, P.; Tang, L.; Zhou, Y.; Yin, X. Nitrogen levels regulate intercropping-related mitigation of potential nitrate leaching. Agric. Ecosyst. Environ. 2021, 319, 107540. [Google Scholar] [CrossRef]
- Azeem, B.; KuShaari, K.; Man, Z.B.; Basit, A.; Thanh, T.H. Review on materials & methods to produce controlled release coated urea fertilizer. J. Control. Release 2014, 181, 11–21. [Google Scholar] [CrossRef]
- Huang, M.; Liang, T.; Wang, L.; Zhou, C. No-tillage and fertilization management on crop yields and nitrate leaching in North China Plain. Ecol. Evol. 2015, 5, 1143–1155. [Google Scholar] [CrossRef] [PubMed]
- Cassman K G, Dobermann A, Walters D T. Agroecosystems, nitrogen-use efficiency, and nitrogen management. AMBIO: A Journal of the Human Environment. 2002, 31, 132–140.
- Jian-She, Z.; Fu-Ping, Z.; Jin-Hua, Y.; Jin-Ping, W.; Ming-Li, C.; Li, C.-F.; Cao, C.-G. Emissions of N2O and NH3, and nitrogen leaching from direct seeded rice under different tillage practices in central China. Agric. Ecosyst. Environ. 2010, 140, 164–173. [Google Scholar] [CrossRef]
- Zhao, J.; Pullens, J.W.; Sørensen, P.; Blicher-Mathiesen, G.; Olesen, J.E.; Børgesen, C.D. Agronomic and environmental factors influencing the marginal increase in nitrate leaching by adding extra mineral nitrogen fertilizer. Agric. Ecosyst. Environ. 2021, 327, 107808. [Google Scholar] [CrossRef]
- Li J, Hu W, Chau H W, et al. Response of nitrate leaching to no-tillage is dependent on soil, climate, and management factors: A global meta-analysis. Global change biology. 2023, 29, 2172–2187.
- Liu, W.-X.; Wei, Y.-X.; Li, R.-C.; Chen, Z.; Wang, H.-D.; Virk, A.L.; Lal, R.; Zhao, X.; Zhang, H.-L. Improving soil aggregates stability and soil organic carbon sequestration by no-till and legume-based crop rotations in the North China Plain. Sci. Total. Environ. 2022, 847, 157518. [Google Scholar] [CrossRef] [PubMed]
- Liu T Q, Li S H, Guo L G, et al. Advantages of nitrogen fertilizer deep placement in greenhouse gas emissions and net ecosystem economic benefits from no-tillage paddy fields. Journal of Cleaner Production. 2020, 263, 121322.
- Fan D J, Liu T Q, Sheng F, et al. Nitrogen deep placement mitigates methane emissions by regulating methanogens and methanotrophs in no-tillage paddy fields. Biology and fertility of soils. 2020, 56, 711–727.
- Yang, S.; Wang, Y.; Liu, R.; Xing, L.; Yang, Z. Improved crop yield and reduced nitrate nitrogen leaching with straw return in a rice-wheat rotation of Ningxia irrigation district. Sci. Rep. 2018, 8, 1–8. [Google Scholar] [CrossRef]






| S | Y | T | S×Y | S×T | Y×T | S×Y×T | |
| Total N Leaching | ** | ** | ** | ** | ns | ** | ** |
| NO3--N Leaching | ** | ** | ** | * | ** | ** | ** |
| NH4+-N Leaching | ** | ** | ** | * | ns | ** | ** |
| Nitrogen leakage in the whole growth period | ** | ns | ** | ns | ns | ** | ** |
| Potential maximum leaching rate of fertilizer | ** | * | ** | ns | ns | ns | ** |
| yield | ** | ** | ** | ns | ns | * | ns |
Disclaimer/Publisher’s Note: The statements, opinions and data contained in all publications are solely those of the individual author(s) and contributor(s) and not of MDPI and/or the editor(s). MDPI and/or the editor(s) disclaim responsibility for any injury to people or property resulting from any ideas, methods, instructions or products referred to in the content. |
© 2023 by the authors. Licensee MDPI, Basel, Switzerland. This article is an open access article distributed under the terms and conditions of the Creative Commons Attribution (CC BY) license (http://creativecommons.org/licenses/by/4.0/).