Preprint
Article

This version is not peer-reviewed.

Effects of Seed Ageing on Germination and Oil Content in Ethiopian Black Cumin Varieties

Submitted:

11 August 2023

Posted:

11 August 2023

You are already at the latest version

Abstract
Seed quality is crucial for the success of crop production, as it affects germination capacity, emergence potential, and seedling growth. This study investigated the impact of extended stor-age on the germination capacity, oleoresin and essential oil contents of black cumin seeds from three black cumin varieties in Ethiopia: "Aden", "Dershaye", and "Darbera". Seeds were stored for up to three years, and germination studies were conducted using a Completely Randomized De-sign. Results showed that storage period significantly affected various germination parameters, with a decrease in germination percentage observed with increasing storage period. However, variety and the interaction between storage period and variety had no statistically significant effect on germination percentage. The study also provides valuable insights into the correlations between different germination indices. Additionally, as black cumin seeds age, their oleoresin and essential oil contents decrease across all three varieties. Proper seed storage practices are essential in maintaining the germination potential of black cumin seeds, particularly over ex-tended storage periods. Overall, this study provides insights into the impact of extended seed storage on black cumin seed quality and germination potential, highlighting the importance of proper seed management practices to support sustainable crop production.
Keywords: 
;  ;  ;  ;  

1. Introduction

Black cumin (Nigella sativa L.) is an important medicinal plant that has been used for centuries in traditional medicine to treat various ailments (Ahmad et al., 2013). The plant is native to the Mediterranean region and is now widely cultivated in different parts of the world, including Ethiopia (Kahaliw et al., 2021). Black cumin seeds have been reported to possess various biological activities, such as antibacterial, antifungal, antioxidant, anticancer, and anti-inflammatory properties (Ahmad et al., 2013; Kahaliw et al., 2021). The seeds are also a rich source of essential oils, which have diverse applications in the food, cosmetics, and pharmaceutical industries (Kahaliw et al., 2021).
Black cumin is a highly valued medicinal plant that is widely used in Ethiopia and other countries. However, due to the fluctuating demand for black cumin seeds, production can be inconsistent, and seeds may be stored for extended periods, which can affect their germinability and associated oil yield and quality attributes. Seed quality is crucial for successful crop production, and seed ageing can lead to a decline in seed quality, resulting in reduced germination capacity and vigour (Meena et al., 2018). The primary purpose of storing seeds is to preserve seed stocks for sowing in the following season, and extended storage may be necessary for various reasons (FAO, 2018). However, regardless of the specific reasons for storage, the goal remains the same - to maintain the seed's capacity for germination and field emergence. During storage, seed must be regularly tested, particularly for germination capacity. Most oil seeds are vulnerable to rapid deterioration due to high concentrations of polyunsaturated fatty acids, which can cause lipid autoxidation and fungal activity during storage, ultimately leading to limited longevity (Balešević et al., 2007; Genes and Nyomora 2018).
Seed quality is a critical factor for successful crop production, as it affects germination capacity, emergence potential, field stand and uniformity, seedling growth, and ultimately crop productivity (Kibinza et al., 2011). Seed ageing is a natural process that occurs during seed storage, and it can lead to a decline in seed quality, resulting in reduced germination capacity and vigour (Kibinza et al., 2011; Khan et al., 2016). The effect of seed ageing on seed quality and germination potential has been extensively studied in various crops, including cereals, legumes, and vegetables (Kibinza et al., 2011).
Currently, there is limited information on the effect of extended storage on seed viability and oil qualities of black cumin varieties in Ethiopia. Therefore, it is essential to determine the longevity of black cumin seed in storage to plan for any production, storage, or marketing activities after harvest. The study aimed to investigate the effect of extended storage on the germination, oleoresin, and essential oil content of black cumin seeds under ambient conditions and determine the optimal storage duration for maximum retention of seed viability and oil contents.

2. Materials and Methods

2.1. Description of Experimental sites

The study was conducted at Kulumsa Agricultural Research Center (KARC) in Tiyo district, located in the Arsi Administrative Zone of the Oromia Regional State, Ethiopia. KARC is situated at an elevation of 2210 m. a. s. l. in an area with a gently undulating topography and a gradient ranging from 0 to 10% slope (Abayneh et al., 2003). The region has a wet agro-climatic condition with a mean annual rainfall of 832 mm and a uni-modal rainfall pattern from March to September, with peak rainfall in July and August. The mean annual maximum and minimum temperatures are 23.2 and 10 0C, respectively. KARC has three major soil types: Eutric Vertisol, Vertic Luvisol, and Vertic Cambisol (Abayneh et al., 2003).

2.2. Experimental Material, Design and Treatment

The study consisted of two experiments: a seed germination test and oleoresin content quantification. Seed lots from three black cumin varieties in Ethiopia - Aden, Dershaye, and Darbera (Table 1) - from four consecutive years of production (2016, 2017, 2018, and 2019) were used for the study. The twelve treatment combinations of the three black cumin varieties and four storage periods were arranged in a 3x4 factorial experiment with Completely Randomized Design (CRD).
For the seed germination experiment, 100 seeds were sown on sterilized petri dishes bottomed with filter paper to maintain moisture for germination. The petri dishes were kept in a room with access to partial light and kept at room temperature. Seeds of each treatment combination were sown in triplicates and irrigated uniformly until germination count was over.

2.3. Determination of oleoresin and essential oil content

Oleoresin was extracted from the seeds using a Soxhlet extractor. The seeds of the three varieties were coarsely ground to 30g each with 300 mL of hexane solvent for 12 hr and stored in an amber glass screw cap bottle at room temperature until use (Singh et al., 2014; Dinagaran et al., 2017). The ground seeds are then placed in a distillation chamber and steam is passed through them. The steam causes the essential oil to vaporize and rise up into a condenser, where it is cooled and condensed back into a liquid form (Salem et al., 2013). The resulting liquid is a concentrated form of essential oil, which can be further processed to remove any remaining water or impurities. Each sample was replicated three times. The solvent was removed using a rotary evaporator operated at 45°C, and the final traces of solvent were removed under a stream of nitrogen (Rao et al., 2007).

2.4. Germination count and measurement

The study evaluated seed germination using various indices, including final germination percentage (GRP) (Scott et al., 1984; ISTA 2015), mean germination time (MGT) (Ranal and Santana, 2006), first day germination (FDG), last day germination (LDG), time spread of germination (TSG) (Kader, 2005), germination rate index (GRI) (Wardle et al., 1991; Esechie, 1994), germination index (GI) (Bench et al., 1991), MGR (mean germination rate) (ISTA, 2019); germination speed (GSP) (ISTA, 2019); variance of germination time (VGT); and standard deviation of the germination time (SDG). Cumulative germination was used to develop time-germination curves, as described by Ellis and Roberts (1981) and Ruan and Xue (2002).
GRP measured the germination capacity of seeds in percentage, calculated as Ng/Nt X100, where Ng is the number of final seeds germinated and Nt is the total number of seeds sown. MGT estimated the average time required for maximum germination, calculated as MGT = (∑(NiTi))/(∑Ni), where Ni is the number of seeds germinated at the ith time, Ti is the time from the start of the experiment to the ith observation, and k is the last time of germination. FDG and LDG determined the first and last day of germination, respectively. TSG estimated the time between the first and last germination events, calculated as the difference between LDG and FDG. GRI estimated the average percentage of germination on each day, calculated as G1/T1 + G2/T2 + ... + Gi/Ti, where G1, G2, G3, ..., Gi are the number of germinated seeds observed at time (days) T1, T2, T3, ..., Ti after sowing. GI estimated both the percentage and speed of germination, calculated as GI = GI=(t_f*n1)+(t_(f-1)*n2)+(t_(f-2)*n3)+(t_(f-3)*n4)+…(t_i*nf), where t is the time in days from sowing to the ith germination event and n is the cumulative number of seeds germinated up to that time. Mean germination rate (MGR) is related to the mean germination percentage (MGP) but different measures of seed viability. The germination percentage is simply the percentage of seeds that have germinated in a particular test, whereas the mean germination rate is the average rate at which the seeds in a particular lot germinate over multiple tests. Germination speed (GSP) is the rate of germination in terms of the total number of seeds that germinate in a time interval. Higher values indicate greater and faster germination. GSP can be used interchangeably with MGR and both are the reciprocal of germination time (MGT).
The germination percentage is simply the percentage of seeds that have germinated in a particular test, whereas the mean germination rate is the average rate at which the seeds in a particular lot germinate over multiple tests. Besides, VGT (variance of germination time) was used as measure of the variability of the germination times. It is calculated by taking the average of the squared differences between each germination time and the mean germination time. SDG (standard deviation of germination time) is another measure of the spread of the germination times. It is calculated as the square root of the variance. The standard deviation is often used instead of the variance because it has the same units as the data (in this case, time) and is therefore more interpretable (Bewley and Black, 1994; McDonald ,1999).

2.5. Correlation analysis

The relationships between germination indices, including MGT, GRP, MGR, GSP, VGT and SDG were estimated using Pearson correlation (Pearson, 1895).

2.6. Data analysis

The data for the aforementioned parameters were subjected to analysis of variance (ANOVA) using R statistical software (http://www.R-project.org/; accessed online on June 5, 2020), and means were separated using the least significant difference (LSD) test at the 5% probability level. Curves were developed to show the cumulative germination over time intervals (days) for storage periods and varieties. Bar graphs were also produced to show the differences in germination percentages, germination speed, and mean germination time among the storage periods and varieties.

3. Results

3.1. Germination indices

The results showed that seed ageing had a significant effect on the final germination percentage of black cumin varieties (p < 0.001) (Table 2). Specifically, there was a decrease in germination percentage as the storage period increased. However, the variety of black cumin and the interaction between storage period and variety did not have a statistically significant effect on the final germination percentage. In addition, both seed variety and storage period had a significant effect on mean germination time, last day of germination, time spread of germination, germination rate index, and germination index (p < 0.05) (Table 2). The interaction between these factors was also found to be statistically significant (p < 0.05) (Table 2).
The mean separation tests showed that storage period had a significant effect on the final germination percentages of black cumin seed, but there was no significant difference between varieties (Table 3). The highest mean germination percentage (96.22%) was obtained from fresh seed (2019 harvest), and this percentage decreased significantly to 93.77%, 90.44%, and 74.88% when the seed was stored for one year (2018), two years (2017), and three years (2016) in ambient conditions, respectively. In other words, regardless of the variety used in the present study, the results showed that a three-year storage period reduced black cumin seed germination by 21.34%, which was much higher than the reductions of 5.78% and 2.45% observed after two years and one year of storage, respectively. These findings suggest that proper storage conditions and appropriate storage periods are crucial for maintaining the germination potential of black cumin seeds, and that long-term storage can significantly reduce their germination percentage.
However, there was no statistically significant difference in germination percentage between the one-year and two-year storage periods. Additionally, the germination percentage of one-year-old seeds (93.77%) was not significantly different from that of fresh seeds (96.22%) (Table 3). These findings suggest that the effect of seed ageing on germination percentage may be more pronounced after a longer storage period. Nonetheless, even a one-year storage period can result in a significant reduction in germination percentage, highlighting the importance of proper seed storage practices.
Means with the same letter are not statistically different; LSD=Least significant difference at 5% probability. FGP= Final germination percent, MGT=Mean germination time, LDG= Last day of germination, TSG=Time spread of germination, GRI=Germination rate index, GI= Germination index, PGL=Percent germination loss from the control, Significance=statistical significance at p<0.05. Under treatment column, storage period the years (2019-2016) signify season (year) of production, while numbers in brackets are number of years stored after harvest.
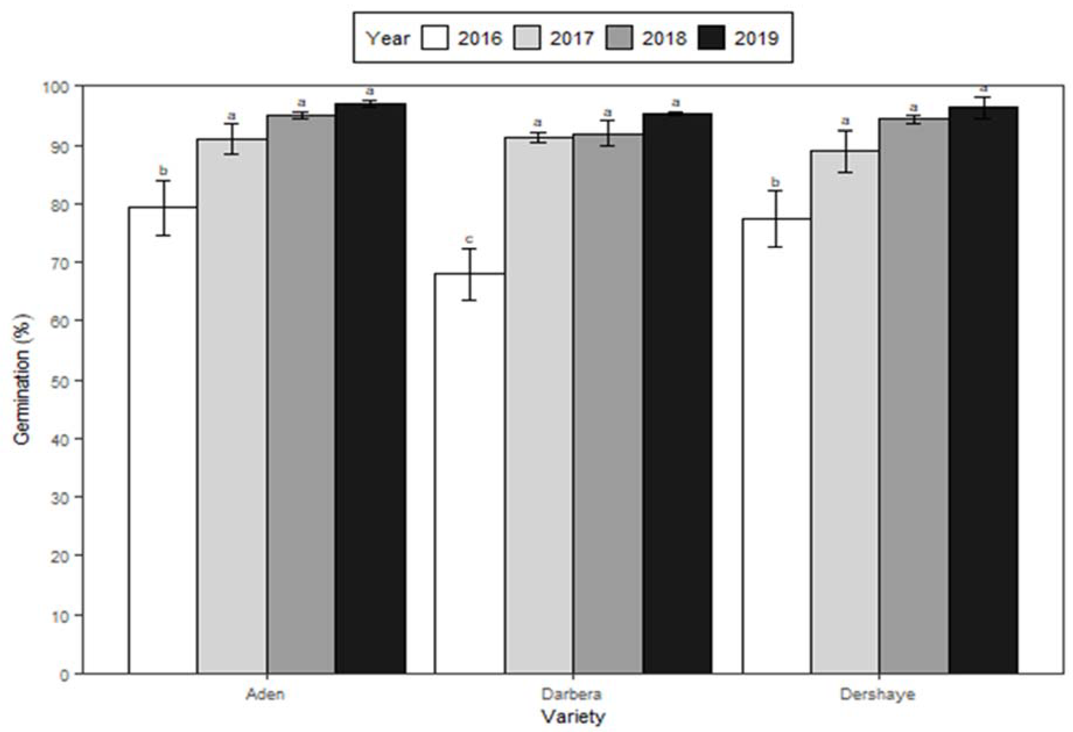
The results of the germination percentage were also presented in bar graphs, which illustrated significant differences between storage periods as well as non-significant differences among the varieties (Figure 1). The graphs showed significant differences in germination percentage among the four storage periods for each variety. Specifically, significant differences were observed in germination percentage between fresh seed (2019) and three-year-old seed (2016), indicating that black cumin seed could be stored for up to two years without significant loss of germinability under ambient storage conditions. The bar graphs also depicted non-significant differences in germination percentage between the three varieties, regardless of the storage periods (Figure 1). These findings suggest that the differences in germination percentage observed in the present study were mainly due to seed ageing rather than to differences in seed varieties.
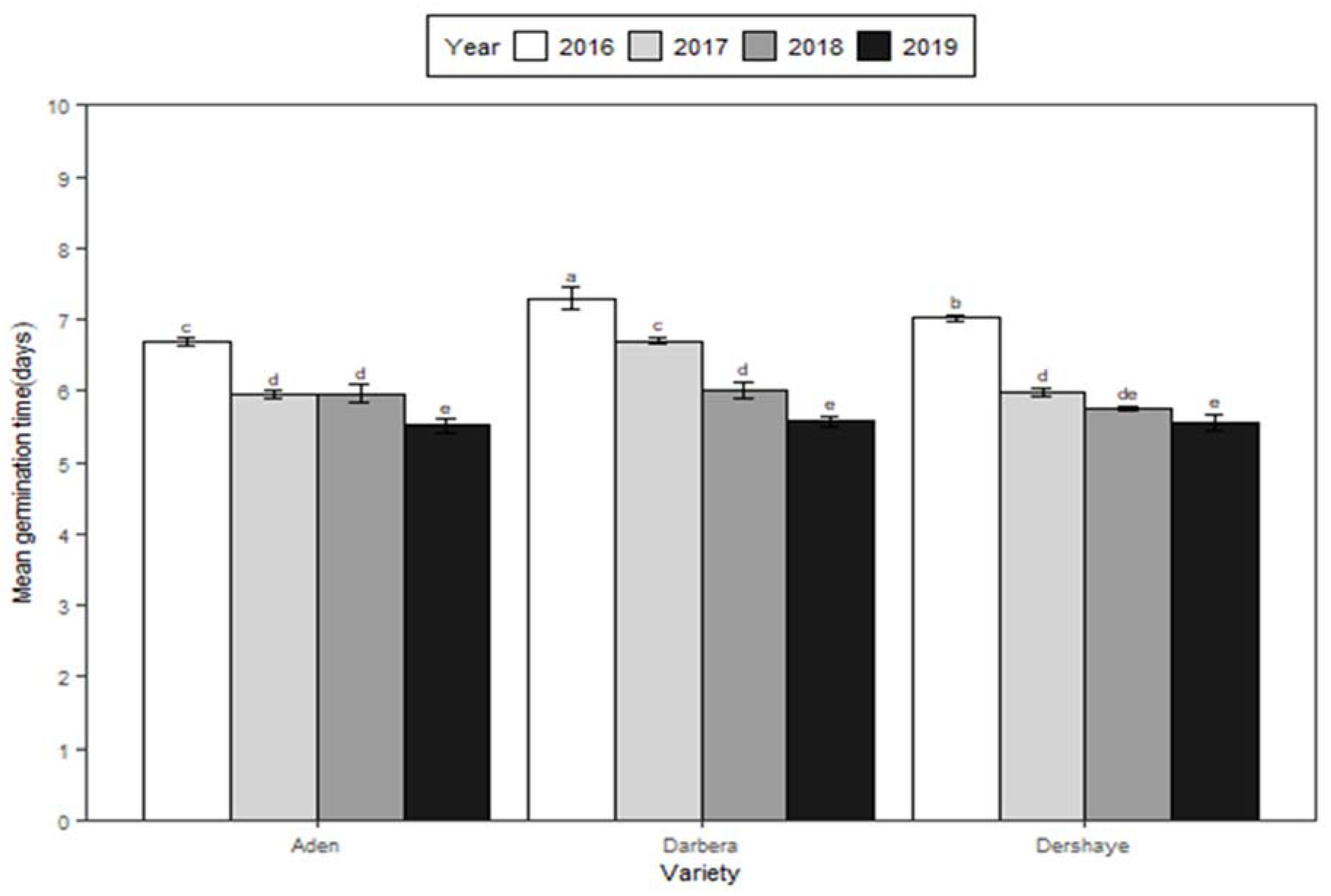
In addition to the final germination percentage, the storage period also had a significant effect on other germination indices, including mean germination time, last day of germination, time spread of germination, germination rate index, and germination index (Table 3). Although differences were observed among the varieties for these germination indices, except for the final germination percentage, the focus of the study was on the effect of storage period. Mean germination time was significantly affected by the storage period, and it increased significantly as the storage period was extended from 0 to three years (Table 3). Mean germination time represents the average amount of time (in days) needed for the seed lot to reach maximum germination percentage. The fresh seed (2019) attained its maximum germination percentage in the shortest period (5.5 days), whereas the one-year (5.91 days), two-year (6.21 days), and three-year (7.01 days) old seeds required longer periods (Table 3). The bar graphs depicted significant differences between the four storage periods and decreasing trends in mean germination time from old (2016) to fresh seed (2019) in each variety studied (Figure 2). The older seed required more time to attain its maximum germination, while the fresh seed germinated much faster (in a shorter period). These findings suggest that seed ageing can significantly increase the mean germination time, and that fresh seed has a shorter time to reach maximum germination percentage compared to aged seed.
To complement the mean germination time, germination peaks were developed using a germination-time graph to show the maximum number of seeds germinated during the germination process for each storage period (Figure 3). The fresh seed lot (2019) had the highest maximum number of seeds germinated (49.78), followed by the one-year-old (43.33), two-year-old (40.78), and three-year-old seeds (41.33). It is important to note that this comparison is not meant to show differences in the maximum number of seeds germinated between storage periods, but rather to graphically illustrate the differences in time (in days) required to reach the maximum germination peak for black cumin seeds of different ages. Regardless of the number of seeds germinated, the fresh seed (2019) reached its peak germination percentage faster than the older seeds (2018, 2017, and 2016). These findings suggest that fresh seed has a shorter time to reach maximum germination percentage compared to aged seed, and that seed ageing can delay the time required to reach the maximum germination peak.
The cumulative germination data, presented in an in-time germination graph (Figure 4), clearly showed differences between the storage periods in the amount of seed germinated over time. No significant differences were observed in the cumulative seed germination percentage between the storage periods until the fifth day after sowing. At the fifth day of observation, over 50% of the seeds from the 2019 seed lot had germinated, followed by 30-40% for the 2018 seed lot, 10-20% for the 2017 seed lot, and 0-10% for the 2016 seed lot. This trend was maintained for the subsequent days of observation until the final germination count on day 10. Notably, the lowest germination percentage for the 2016 seed lot, as described earlier, was clearly depicted on the cumulative in-time germination curve, which was consistently lower than the curves for the other storage periods (Figure 4, red line). These findings suggest that seed ageing can significantly affect the rate of cumulative germination over time, and that fresh seed has a higher rate of germination compared to aged seed.
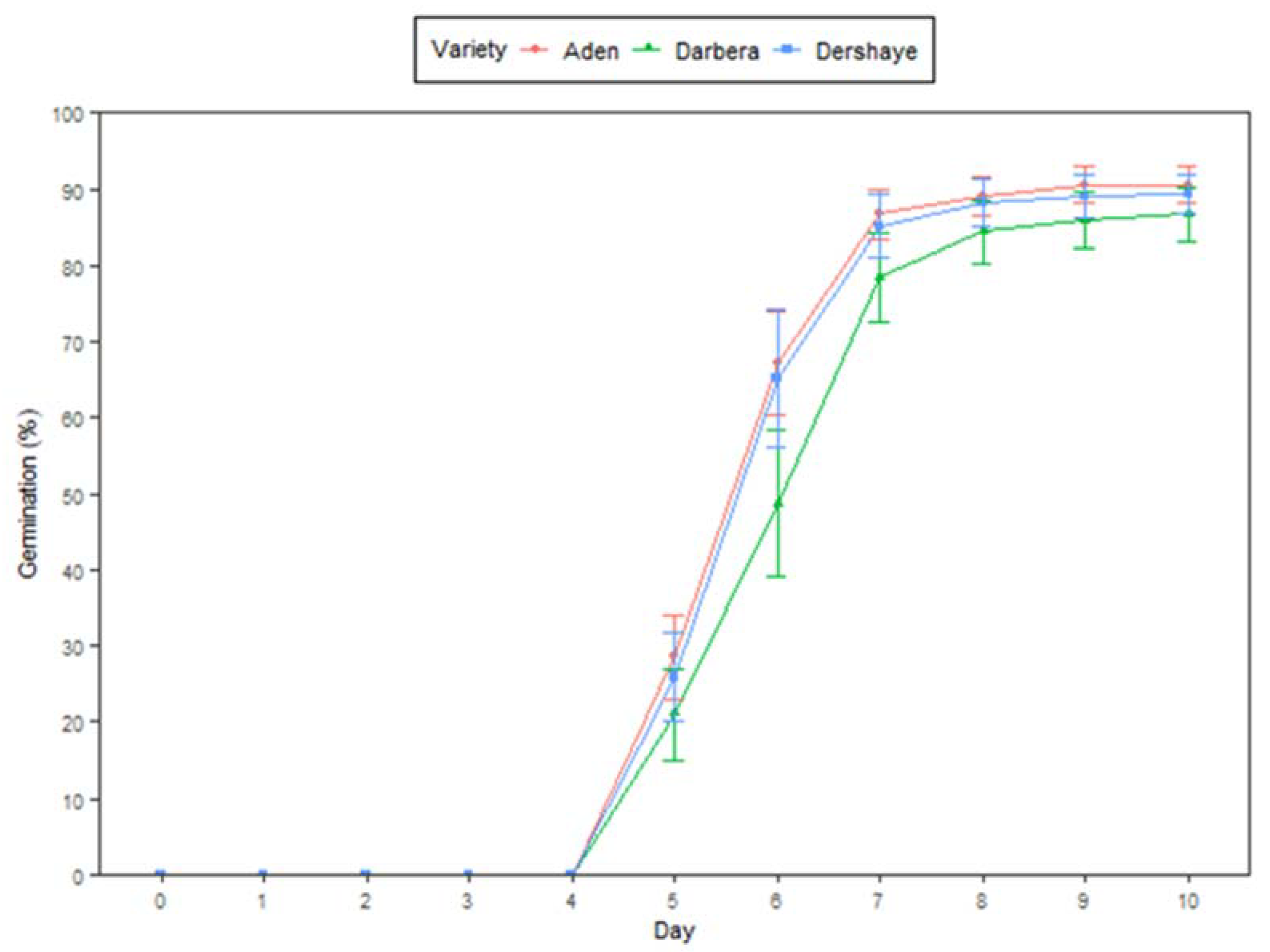
In contrast to the storage period, significant differences were not observed between the varieties for the cumulative germination percentage, as was also observed for the final germination percentages. The cumulative percentage of seeds germinated on each corresponding day of observation was not statistically different between the varieties (Figure 5). These findings suggest that differences in seed varieties do not significantly affect the rate of cumulative germination over time for black cumin seeds. The focus of the study on the effect of storage period on germination percentage and related indices highlights the importance of appropriate seed storage practices to maintain the germination potential of black cumin seeds.

3.2. Correlations between germination indices

Table 4 shows the correlation between different germination indices, and it provides valuable information about the relationships between these indices. One notable finding is that mean germination time (MGT) is strongly negatively correlated with final germination percentage (GRP), germination speed (GSP), mean germination rate (MGR), and the time between the start of germination and the variance of germination time (VGT) and standard deviation of the germination time (SDG). This suggests that as mean germination time increases, final germination percentage, germination speed, and other germination indices tend to decrease.
Another notable finding is that GSP and MGR are perfectly positively correlated, which means that as one index increases, the other always increases. This result means GSP and MGR are often used interchangeably to measure germination rate. However, from the correlation results, it was conferred that both GSP and MGR are perfectly negatively correlated with MGT and they are the reciprocal of MGT (Table 4).
The other findings is that VGT and SDG are strongly positively correlated, indicating that as the variance increases the standard deviation of germination time also increased and vice versa measuring the spread or variability of germination times within a group of seeds. The variance of germination time is a statistical measure of the variability of the germination times. Both indices are used interchangeably; however a high standard deviation indicates that the germination times are widely spread out, while a low standard deviation indicates that the germination times are tightly clustered around the mean.

3.3. Oleoresin and essential oil content

Table 4 reveals that as black cumin seeds age, their oleoresin and essential oil contents decrease across all three varieties. Fresh seed lot exhibited the highest oleoresin and essential oil content for all the three varieties and tended to decrease as seed ageing progressed from one to three years. This suggests that seed ageing can significantly impact the chemical composition and quality of seeds, including their essential oil and oleoresin content. Such changes are known to occur as seeds lose moisture and undergo biochemical alterations over time.
Table 5. Seed oleoresin and essential oil content of the three black cumin varieties under different storage periods.
Table 5. Seed oleoresin and essential oil content of the three black cumin varieties under different storage periods.
Variety Year
(storage period)
Oleoresin
Content (%)
Essential oil
Content (%)
Aden 2016 (3 years) 31.14 3.5
2017 (2 years) 35.64 4.0
2018 (1 year) 37.50 4.3
2019 (fresh seed) 38.76 4.8
Darbera 2016 (3 years) 30.04 3.1
2017 (2 years) 31.65 3.5
2018 (1 year) 39.00 3.9
2019 (fresh seed) 40.93 4.3
Dershaye 2016 (3 years) 35.83 3.5
2017 (2 years) 36.95 4.4
2018 (1 year) 38.15 4.4
2019 (fresh seed) 39.13 4.7

4. Discussion

The present study found that seed ageing had a significant effect on the final germination percentage of black cumin seeds. This is consistent with previous research on the effect of seed ageing on germination of various crops, including black cumin. For example, a study on the effect of seed ageing on germination of black cumin seeds found that the germination percentage decreased significantly with increasing storage duration (Chauhan and Singh, 2014). Similarly, a study on the effect of seed ageing on germination of vegetable seeds found that the germination percentage decreased significantly with increasing storage duration in all tested species (Kumar et al., 2016).
While the present study did not find a statistically significant effect of seed variety or the interaction between storage period and variety on the final germination percentage, previous research has reported varying responses of different varieties to seed ageing. For instance, a study on the effect of seed ageing on germination of tomato seeds found that different varieties exhibited different responses to seed ageing, with some varieties showing greater reductions in germination percentage with increased storage duration than others (Oyedeji et al., 2012). Similarly, a study on the effect of seed ageing on germination of mung bean seeds found that different varieties had varying responses to seed ageing, with some varieties showing better seed longevity than others (Rao and Venkateswarlu, 2008).
The present study also found that both seed variety and storage period had a significant effect on mean germination time, last day of germination, time spread of germination, germination rate index, and germination index. These findings are consistent with previous research on the effect of seed ageing on germination indices. For example, a study on the effect of seed ageing on germination of wheat seeds found that longer storage periods resulted in longer mean germination times and lower germination rates (Baskin and Baskin, 2014). Similarly, a study on the effect of seed ageing on germination of soybean seeds found that longer storage periods resulted in decreased germination rates, germination index, and vigor index (Wang et al., 2019).
The findings from the correlation results showed the relationships between different germination indices. The findings are generally consistent with previous research, but there are a few surprising results that warrant further investigation. The strong negative correlation between MGT and other germination indices is consistent with previous research, which has shown that longer germination times are associated with lower germination rates and lower final germination percentages (Kucera et al., 2005; Bewley and Black, 1994). The perfect positive correlation between GSP and MGR shows, as these indices are often used interchangeably to measure germination rate (Ellis and Roberts, 1981). However, GSP and MGR are perfectly negatively correlated with that of MGT (Table 4) as it depicts GSP and MGR are the reciprocal of MGT (Basra, 2012; ISTA, 2019). The high correlation between VGT and SDG indicates that both measures are closely related and provide similar information about the variability of germination times within a population of seeds. A high correlation between VGT and SDG suggests that the distribution of germination times is relatively consistent and predictable. Conversely, a low correlation between these measures would suggest that the distribution of germination times is more irregular or unpredictable (Bewley and Black, 1994; McDonald, 1999). Overall, the correlation table provides a useful starting point for researchers interested in studying the germination process and its underlying factors.
Seed ageing can also have a significant impact on the quality and chemical composition of seeds, including their oleoresin and essential oil content. As seeds age, they naturally lose moisture and undergo biochemical changes that can affect their chemical composition and overall quality. Black cumin seeds are known to contain a variety of bioactive compounds, including essential oils and oleoresins that have potential health benefits. These compounds are responsible for the characteristic aroma and flavor of black cumin seeds, and are also believed to have medicinal properties ((McDonald, 1999; Nelson and Paris, 2015; Powell and Matthews, 2018). Several studies have investigated the impact of seed ageing on the chemical composition of black cumin seeds. A study published in the Journal of Essential Oil Research found that the essential oil content of black cumin seeds decreased significantly with seed ageing, while the oleoresin content remained relatively stable (Akhila et al., 2012). Another study published in the Journal of Food Science and Technology found that the oleoresin content of black cumin seeds decreased significantly with increasing seed age, while the essential oil content remained relatively stable (Kumar et al., 2015). These findings suggest that seed ageing can have a variable impact on the chemical composition of black cumin seeds, depending on the specific compounds being measured. Further research is needed to understand the underlying biochemical mechanisms that contribute to these changes, and to determine the optimal storage conditions for preserving the quality and chemical composition of black cumin seeds over time.
Conclusion and recommendation
In summary, the findings of the present study suggest that proper seed storage practices are important for maintaining the germination potential of black cumin seeds and its oleoresin and essential oil contents, as seed ageing can have a significant effect on germination percentage and related indices. While the present study did not find significant differences in the response of different varieties to seed ageing, further research may be necessary to elucidate the optimal storage conditions for different black cumin varieties. Moreover, the findings of this study may have important implications for the seed industry, emphasizing the need for appropriate seed storage and management practices to ensure seed quality and germination potential.
The findings of this study recommend that future research could investigate the optimal storage conditions for different black cumin varieties, as well as the effect of storage period on other seed quality parameters such as oleoresin content. Additionally, seed storage studies could be conducted under varying environmental conditions to determine the impact of temperature, humidity, and other factors on seed quality. Overall, this study provides valuable insights into the effects of seed storage on black cumin seed quality and highlights the need for further research in this area.

Funding

The study was fully financed by Ethiopian Institute of Agricultural Research under the project ‘Development and promotion of Garlic and Shallot technologies; 21-45’.

Institutional Review Board Statement

Not applicable

Informed Consent Statement

Not applicable

Data Availability Statement

The data presented in this study are available on request from the corresponding author. The data are not publicly available due to privacy reasons

Acknowledgments

The authors acknowledge the lab technicians at Kulumsa Agricultural Research Center who were handling the research activities and data collection. Soil lab of the center is also acknowledged for supplying the necessary equipment to materialize the study

Conflicts of Interest

The authors declare no conflict of interest

References

  1. Abayneh, E.; Demeke, T.; Gebeyehu, B.; Kebede, A. (2003). Soil of Kulumsa Agricultural Research Center. National Soil Research Center (NSRC), Soil survey and land evaluation, Technical Paper No.76.
  2. Ahmad, A.; Husain, A.; Mujeeb, M.; Khan, S.A.; Najmi, A.K.; Siddique, N.A. , … Anwar, F. A review on therapeutic potential of Nigella sativa: A miracle herb. Asian Pacific Journal of Tropical Biomedicine 2013, 3, 337–352. [Google Scholar] [CrossRef] [PubMed]
  3. Akhila, A.; Sarada, B.; Rani, P.U. Study on the effect of aging on the essential oil content of black cumin (Nigella sativa L.) seeds. Journal of Essential Oil Research 2012, 24, 195–199. [Google Scholar]
  4. Alemaw, G.; Adam, A.; Daniel, B.; Asmamaw, Y.; Dereje, R.; Fekadu, G. Black cumin (Nigella sativa L. ) varieties 'Aden' and 'Dershaye'. Ethiopian Journal of Agricultural Sciences 2010, 20, 179–194. [Google Scholar]
  5. Balešević-Tubić, S; Djordjevic, V. ; Marinković; R; Balešević; M. Changes of oil quality during storage of soybean seed. Journal of Agricultural Sciences 2007, 52, 163–171. [Google Scholar]
  6. Baskin, C.C.; Baskin, J.M. Seeds: Ecology, biogeography, and evolution of dormancy and germination; Academic Press, 2014. [Google Scholar]
  7. Basra, S.M.A. Handbook of seed science and technology; Haworth Press, 2012. [Google Scholar]
  8. Bench, S.W.; Tolley-Henry, L.; Crowe, J.H. Measurements of the kinetics of water uptake by seeds using differential scanning calorimetry. Plant Physiology 1991, 96, 938–945. [Google Scholar]
  9. Bewley, J.D.; Black, M. Seeds: Physiology of development and germination (), 2nd ed.; Plenum Press: New York, NY, 1994. [Google Scholar]
  10. Chauhan, G.; Singh, R. Effect of seed ageing on germination and seedling growth in black cumin (Nigella sativa L. ). Journal of Applied and Natural Science 2014, 6, 124–127. [Google Scholar]
  11. Dinagaran, S.; Krishnasamy, V.; Johnpaul, M. Phytochemical screening and GC-MS analysis of Nigella sativa seed extracts. World Journal of Pharmacy and Pharmaceutical Sciences 2017, 6, 1562–1572. [Google Scholar]
  12. Ellis, R.H.; Roberts, E.H. The quantification of ageing and survival in orthodox seeds. Seed Science and Technology 1981, 9, 373–409. [Google Scholar]
  13. Esechie, H.A. Germination characteristics and seedling growth of some wild legume species. Plant Foods for Human Nutrition 1994, 46, 283–290. [Google Scholar]
  14. FAO. Genebank Standards for Plant Genetic Resources for Food and Agriculture; Food and Agriculture Organization of the United Nations: Rome, Italy, 2018. [Google Scholar]
  15. Genes, F.; Nyomora, A. Effect of storage on germination and vigour of maize seeds. International Journal of Agriculture and Biology 2018, 20, 1933–1938. [Google Scholar]
  16. International Seed Testing Association (ISTA). International rules for seed testing; International Seed Testing Association: Bassersdorf, Switzerland, 2015. [Google Scholar]
  17. International Seed Testing Association (ISTA). International rules for seed testing; International Seed Testing Association: Bassersdorf, Switzerland, 2019. [Google Scholar]
  18. ISTA. International rules for seed testing; International Seed Testing Association, 2019. [Google Scholar]
  19. Kader, M.A. A comparison of methods for the analysis of seed germination data. Journal of Agricultural Technology 2005, 1, 109–130. [Google Scholar]
  20. Kahaliw, W.; Yimer, M.; Tesfaye, B. A review on Nigella sativa (black cumin) as functional food for health benefits. International Journal of Food Science 2021, 2021, 1–11. [Google Scholar] [CrossRef]
  21. Khan, H.A.; Pervez, M.A.; Ayub, C.M.; Ziaf, K.; Baloch, M.S. Effect of seed ageing on germination and seedling growth of sunflower (Helianthus annuus L.). Pure and Applied Biology 2016, 5, 989–996. [Google Scholar]
  22. Kibinza, S.; Bazira, J.; Cramer, M.D.; Baillo, E.S.; Farrant, J.M.; Van den Borne, J. Using hydrotime analysis to investigate the osmopriming window and ageing effects on seed germination of three vegetable species. Journal of Horticultural Science and Biotechnology 2011, 86, 115–120. [Google Scholar] [CrossRef]
  23. Kucera, B.; Cohn, M.A.; Leubner-Metzger, G. Plant hormone interactions during seed dormancy release and germination. Seed Science Research 2005, 15, 281–307. [Google Scholar]
  24. Kumar, A.; Singh, R.; Varshneya, C. Influence of seed aging on chemical composition of black cumin (Nigella sativa L. ) seed. Journal of Food Science and Technology 2015, 52, 4167–4173. [Google Scholar]
  25. Kumar, S.; Singh, A.; Singh, S.K. Effect of seed ageing on seed germination and seedling vigour in vegetable crops. Journal of Pharmacognosy and Phytochemistry 2016, 5, 143–147. [Google Scholar]
  26. McDonald, M.B. Seed deterioration: Physiology, repair and assessment. Seed Science and Technology 1999, 27, 177–237. [Google Scholar]
  27. Meena, M.K.; Chetti, M.B.; Nawalagatti, C.M. Seed storability and quality of oil seed crops during storage: A review. International Journal of Pure and Applied Bioscience 2018, 6, 114–122. [Google Scholar]
  28. Nelson, L.; Paris, M. Essential oils in food preservation, flavor and safety; Academic Press, 2015. [Google Scholar]
  29. Oyedeji, S.; Aboaba, S.; Olugbemi, L. Effect of seed aging on germination, seedling growth and some physiological parameters of three tomato cultivars. American Journal of Experimental Agriculture 2012, 2, 252–264. [Google Scholar]
  30. Pearson, K. Note on regression and inheritance in the case of two parents. Proceedings of the Royal Society of London 1895, 58, 240–242. [Google Scholar]
  31. Powell, M.J.; Matthews, S. Vinegars of the world; Springer, 2018. [Google Scholar]
  32. Ranal, M.A.; Santana, D.G. How and why to measure the germination process? Revista Brasileira de Botânica 2006, 29, 1–11. [Google Scholar] [CrossRef]
  33. Rao, N.K.; Venkateswarlu, B. In vitro assessment of seed viability loss in mungbean (Vigna radiata L. Wilczek) due to accelerated ageing. Seed Science and Technology 2008, 36, 356–363. [Google Scholar]
  34. Rao, S.R.; Ravishankar, G.A.; Venkataraman, L.V. In vitro methods of assay of oleoresins from black pepper. Food Chemistry 2007, 102, 385–390. [Google Scholar] [CrossRef]
  35. Ruan, C.J.; Xue, Q.Z. Relationship between seed vigor and field performance of maize (Zea mays L.) seed under different storage conditions. Seed Science and Technology 2002, 30, 523–529. [Google Scholar]
  36. Salem, M.Z.; Zidan, Y.E.; Mansour, M.M.; El Hadidi, N.M.; El-Senousy, W.M. Essential oil, physicochemical and antioxidant characteristics of Egyptian black cumin seed obtained by different organic solvents. Industrial Crops and Products 2013, 44, 755–762. [Google Scholar] [CrossRef]
  37. Scott, S.J.; Jones, R.A.; Williams, W.A. Review of data analysis methods for seed germination. Crop Science 1984, 24, 1192–1199. [Google Scholar] [CrossRef]
  38. Singh, P.; Shukla, R.; Prakash, B.; Kumar, A.; Singh, S.; Mishra, P.K. In vitro antibacterial activity and GC-MS analysis of essential oil from seeds of Nigella sativa Linn. Indian Journal of Natural Products and Resources 2014, 5, 230–235. [Google Scholar]
  39. Wang, X.; Han, L.; Zhang, S.; Li, Y. Effects of seed-aging on germination, vigor, and physiological and biochemical characteristics of soybean seeds. Journal of Northeast Agricultural University 2019, 26, 1–10. [Google Scholar]
  40. Wardle, D.A.; Nicholson, K.S.; Ahmed, M.; Rahman, A. The use of germination rate indices in assessing seed lot quality in lentil. Seed Science and Technology 1991, 19, 163–174. [Google Scholar]
Figure 1. Final germination percentages (%) of the four storage periods (2019, 2018, 2017 and 2016) for the three varieties (Aden, Dershaye and Darbera).
Figure 1. Final germination percentages (%) of the four storage periods (2019, 2018, 2017 and 2016) for the three varieties (Aden, Dershaye and Darbera).
Preprints 82177 g001
Figure 2. Mean germination time (days) of four storage periods (2019, 2018, 2017, 2016) for the three varieties (Aden, Dershaye and Darbera).
Figure 2. Mean germination time (days) of four storage periods (2019, 2018, 2017, 2016) for the three varieties (Aden, Dershaye and Darbera).
Preprints 82177 g002
Figure 3. Number of seeds germinated along average time (days) of germination. The peaks show the maximum average number of seeds germinated corresponding to the average number of days on the x-axis.
Figure 3. Number of seeds germinated along average time (days) of germination. The peaks show the maximum average number of seeds germinated corresponding to the average number of days on the x-axis.
Preprints 82177 g003
Figure 4. In-time cumulative germination curves for the four storage periods.
Figure 4. In-time cumulative germination curves for the four storage periods.
Preprints 82177 g004
Figure 5. In-time cumulative germination curves for the four varieties.
Figure 5. In-time cumulative germination curves for the four varieties.
Preprints 82177 g005
Table 1. Description of the three black cumin varieties used in the present study.
Table 1. Description of the three black cumin varieties used in the present study.
Variety name Release Altitude (m.a.s.l) Maturity
(days)
Productivity
(t ha-1)
Oleoresin (%) Essential
Oil (%)
Year *Breeder Research Farmer
Aden 2009 MARC/EIAR 1500-2400 134-150 0.9-1.6 0.8-1.2 27.2-32.4 0.6-1.2
Dershaye 2009 MARC/EIAR 1500-2400 134-150 0.9-1.6 0.8-1.1 30.8 0.7-1.3
Darbera 2006 SARC/OARI 1650-2004 155-173 1.5-1.9 0.7-1.1 28.31 0.56
*MARC: Melkasa Agricultural Research Center, EIAR: Ethiopian Institute of Agricultural Research, SARI: Sinana Agricultural Research Institute, OARI: Oromia Agricultural Research Institute. Source: (Alemaw et al., 2010).
Table 2. Analysis of variance for germination percentage, mean germination time, germination speed and mean germination rate. The numbers with asterisk are mean squares.
Table 2. Analysis of variance for germination percentage, mean germination time, germination speed and mean germination rate. The numbers with asterisk are mean squares.
Source of variation Df GRP
(%)
MGT
(days)
LDG
(days)
TSG
(days)
GRI
(%/day)
GI
Storage period(Y) 3 828.3*** 3.448*** 5.361*** 5.361*** 47.62*** 83627***
Variety(V) 2 47.6ns 0.465*** 2.111* 2.111* 3.75** 7506***
V x Y 6 25.5ns 0.134*** 1.222ns 1.222ns 0.55ns 1149ns
Error 24 23.1 0.022 0.556 0.556 0.58 781ns
CV (%) 5.40 2.40 7.82 21.12 5.99 6.44
***Very highly significant at p<0.001, highly significant at p<0.01, significant at p<0.05, ns: non-significant. FGP= Final germination percent, MGT=Mean germination time, LDG= Last day of germination, TSG=Time spread of germination, GRI=Germination rate index, GI= Germination index.
Table 3. Mean separation for germination indices as affected by storage period and variety.
Table 3. Mean separation for germination indices as affected by storage period and variety.
Treatments* GRP MGT LDG TSG GRI GI PGL
Storage period
2019 (fresh seed)) 96.22 a 5.55 d 9.00b 3.00b 14.81a 524.11a -
2018 (1 year) 93.77 ab 5.91 c 9.33b 3.33b 13.74b 477.11b 2.45
2017 (2 years) 90.44 b 6.21 b 9.11b 3.11b 12.70c 432.77c 5.78
2016 (3 years) 74.88 c 7.01 a 10.66a 4.66a 9.49d 300.22d 21.34
LSD (5%) 4.67 0.14 0.725 0.628 0.641 27.182
Variety
Aden 90.58 6.03b 9.58ab 3.58ab 13.13a 452.66a
Dershaye 89.25 6.08b 9.08b 3.08b 12.86a 442.75a
Darbera 86.66 6.39a 9.91a 3.91a 12.06b 405.25b
LSD (5%) 4.05 0.12 0.63 0.63 0.64 23.54
Table 4. Pearson correlation matrix showing correlation coefficients between germination indices.
Table 4. Pearson correlation matrix showing correlation coefficients between germination indices.
MGT GRP MGR GSP VGT SDG
MGT
GRP -0.84****
MGR -1.00**** 0.82****
GSP -1.00**** 0.82**** 1.00****
VGT 0.63**** -0.51** -0.64**** -0.64****
SDG 0.64**** -0.51** -0.65**** -0.65**** 1.00****
Disclaimer/Publisher’s Note: The statements, opinions and data contained in all publications are solely those of the individual author(s) and contributor(s) and not of MDPI and/or the editor(s). MDPI and/or the editor(s) disclaim responsibility for any injury to people or property resulting from any ideas, methods, instructions or products referred to in the content.
Copyright: This open access article is published under a Creative Commons CC BY 4.0 license, which permit the free download, distribution, and reuse, provided that the author and preprint are cited in any reuse.
Prerpints.org logo

Preprints.org is a free preprint server supported by MDPI in Basel, Switzerland.

Subscribe

Disclaimer

Terms of Use

Privacy Policy

Privacy Settings

© 2026 MDPI (Basel, Switzerland) unless otherwise stated