Submitted:
04 July 2023
Posted:
06 July 2023
You are already at the latest version
Abstract
Keywords:
1. Introduction
2. Materials and Methods
2.1. Preparation of massive pyrite electrode
2.2. Electrochemical device and supporting electrolyte
2.3. Electrochemical tests
2.4. X-ray photoelectron spectroscopy (XPS) analysis
3. Results
3.1. SEM analysis of original pyrite electrodes
3.2. Open circuit potential (Eocp) measurement
3.3. Cyclic voltammetry (CV) measurement
3.4. Linear sweep voltammetric curve (LSV) measurements
3.5. i-t curve measurements
3.6. Electrochemical impedance spectroscopy analysis
3.7. XPS analysis
3.8. SEM and EDS analysis
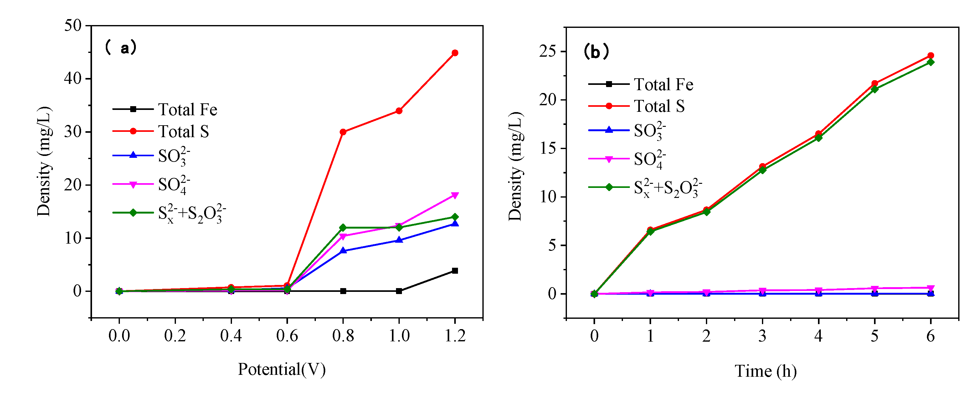
3.9. Ion content change pattern in electrolyte
4. Conclusions
Author Contributions
Funding
Data Availability Statement
Conflicts of Interest
References
- LEI Z, XUEYI G, QINGHUA T, et al. Research progress and industrial application of pretreatment methods for refractory gold ores. Gold 2021, 42, 60–8.
- CIMINELLI, V. Oxidation of pyrite in alkaline solutions and heterogeneous equilibria of sulfur-and arsenic-containing minerals in cyanide solutions. Colloids and Surfaces A: Physicochemical and Engineering Aspects 1987.
- CIMINELLI V, OSSEO-ASARE K. Kinetics of Pyrite Oxidation in Sodium Carbonate Solutions. Metallurgical and Materials Transactions 1995, 26B, 209–18.
- KHOSO S A, HU Y-H, LU F, et al. Xanthate interaction and flotation separation of H2O2-treated chalcopyrite and pyrite. Transactions of Nonferrous Metals Society of China 2019, 29, 2604–14. [CrossRef]
- TAO D P, LI Y Q, RICHARDSON P E, et al. The incipient oxidation of pyrite. Colloids and Surfaces A Physicochemical and Engineering Aspects 1994, 93, 229–39. [CrossRef]
- WENRUI J, ZHIHONG T, SHU Z, et al. A Brief Overview on the Mechanism and Kinetic Influencing Factors of the Pyrite Surface Oxidation. METAL MINE 2021, 88–102.
- XU G, DENG F, FAN W, et al. Pre-oxidation of refractory gold concentrate by electrochemical methods in alkaline electrolyte. Materials Today Communications 2022, 31.
- NAVEAU A, MONTEIL-RIVERA F, GUILLON E, et al. XPS and XAS studies of copper (II) sorbed onto a synthetic pyrite surface. Journal of Colloid and Interface Science 2006, 303, 25–31. [CrossRef] [PubMed]
- NESBITT H W, BANCROFT G M, PRATT A R, et al. Sulfur and iron surface states on fractured pyrite surfaces. American Mineralogist 1998, 83, 1067–76. [CrossRef]
- WITTSTOCK G, KARTIO I, HIRSCH D, et al. Oxidation of galena in acetate buffer investigated by atomic force microscopy and photoelectron spectroscopy. Langmuir 1996, 12, 5709–21. [CrossRef]
- EJTEMAEI M, NGUYEN A V. Characterisation of sphalerite and pyrite surfaces activated by copper sulphate. Minerals Engineering 2017, 100, 223–32. [CrossRef]
- YANG X, MU Y, PENG Y. Comparing lead and copper activation on pyrite with different degrees of surface oxidation. Minerals Engineering 2021, 168.
- ZHANG T, WANG Y, HU Y, et al. HO center dot selective cleavage Fe-S bond for FeS2 electrolysis in alkaline solution. Electrochimica Acta 2019, 306, 327–38. [CrossRef]
- TU Z, WAN J, GUO C, et al. Electrochemical oxidation of pyrite in pH 2 electrolyte. Electrochimica Acta 2017, 239, 25–35. [CrossRef]
- DERYCKE V, KONGOLO M, BENZAAZOUA M, et al. Surface chemical characterization of different pyrite size fractions for flotation purposes. International Journal of Mineral Processing 2013, 118, 1–14. [CrossRef]
- BUCKLEY A N, WOODS R. THE SURFACE OXIDATION OF PYRITE. Applied Surface Science 1987, 27, 437–52. [CrossRef]
- HAMPTON M A, PLACKOWSKI C, NGUYEN A V. Physical and Chemical Analysis of Elemental Sulfur Formation during Galena Surface Oxidation. Langmuir 2011, 27, 4190–201. [CrossRef] [PubMed]
- NIU X, CHEN J, LI Y, et al. Correlation of surface oxidation with xanthate adsorption and pyrite flotation. Applied Surface Science 2019, 495.
- CAI Y F, PAAN Y G, XUE J Y, et al. Comparative XPS study between experimentally and naturally weathered pyrites. Geochimica Et Cosmochimica Acta 2009, 73, A184–A.
Disclaimer/Publisher’s Note: The statements, opinions and data contained in all publications are solely those of the individual author (s) and contributor (s) and not of MDPI and/or the editor (s). MDPI and/or the editor (s) disclaim responsibility for any injury to people or property resulting from any ideas, methods, instructions or products referred to in the content. |












| U (V) | 0.2 (V) | 0.4 (V) | 0.6 (V) | 0.8 (V) |
| R1 (Ω cm-2) | 10.02 | 10.12 | 10.32 | 10.16 |
| R2 (Ω cm-2) | 12.07 | 8.49 | 21.35 | 25.56 |
| R3 (Ω cm-2) | 82.04 | 34.34 | 17.48 | 9.163 |
| CPE1-T (F cm-2) | 0.0021609 | 0.0014452 | 0.001271 | 0.0089737 |
| CPE1-P (F cm-2) | 0.67268 | 0.72403 | 0.78395 | 0.89019 |
| CPE2-T (F cm-2) | 0.00016282 | 0.00016892 | 0.00023613 | 0.00031208 |
| CPE2-P (F cm-2) | 0.69829 | 0.69665 | 0.66611 | 0.64281 |
| Spectrum | Original mineral | 0.4V | 0.6V | 0.8V | 1.0V | Interpretation |
| Fe2p3/2 | 706.30 | 706.34 | 706.38 | 706.40 | 706.50 | FeS2 |
| 707.82 | 707.88 | 707.90 | 707.91 | 707.93 | FeXO | |
| 710.0 | 709.10 | 709.51 | 709.80 | 709.82 | FeO/ Fe(OH)2 | |
| 710.8 | 710.84 | 710.85 | 710.90 | Fe2O3/FeOOH | ||
| 713.12 | 713.25 | Fe2(SO4)3 | ||||
| S2p3/2 | 162.20 | 162.23 | 162.35 | 162.24 | 162.35 | FeS2 |
| 163.80 | 163.72 | 163.42 | 163.70 | 164.05 | S0/Sn2- | |
| 168.48 | 168.25 | 168.40 | 168.52 | SO42- |
Disclaimer/Publisher’s Note: The statements, opinions and data contained in all publications are solely those of the individual author(s) and contributor(s) and not of MDPI and/or the editor(s). MDPI and/or the editor(s) disclaim responsibility for any injury to people or property resulting from any ideas, methods, instructions or products referred to in the content. |
© 2023 by the authors. Licensee MDPI, Basel, Switzerland. This article is an open access article distributed under the terms and conditions of the Creative Commons Attribution (CC BY) license (http://creativecommons.org/licenses/by/4.0/).