Submitted:
25 April 2023
Posted:
25 April 2023
You are already at the latest version
Abstract
Keywords:
1. Introduction
1.1. EV Charging Infrastructure
1.2. Nuclear Reactor as Load Following Source
1.3. Nuclear-Renewable Hybrid Energy System
1.4. Hydrogen System
2. Hybrid Energy System for Charging Station
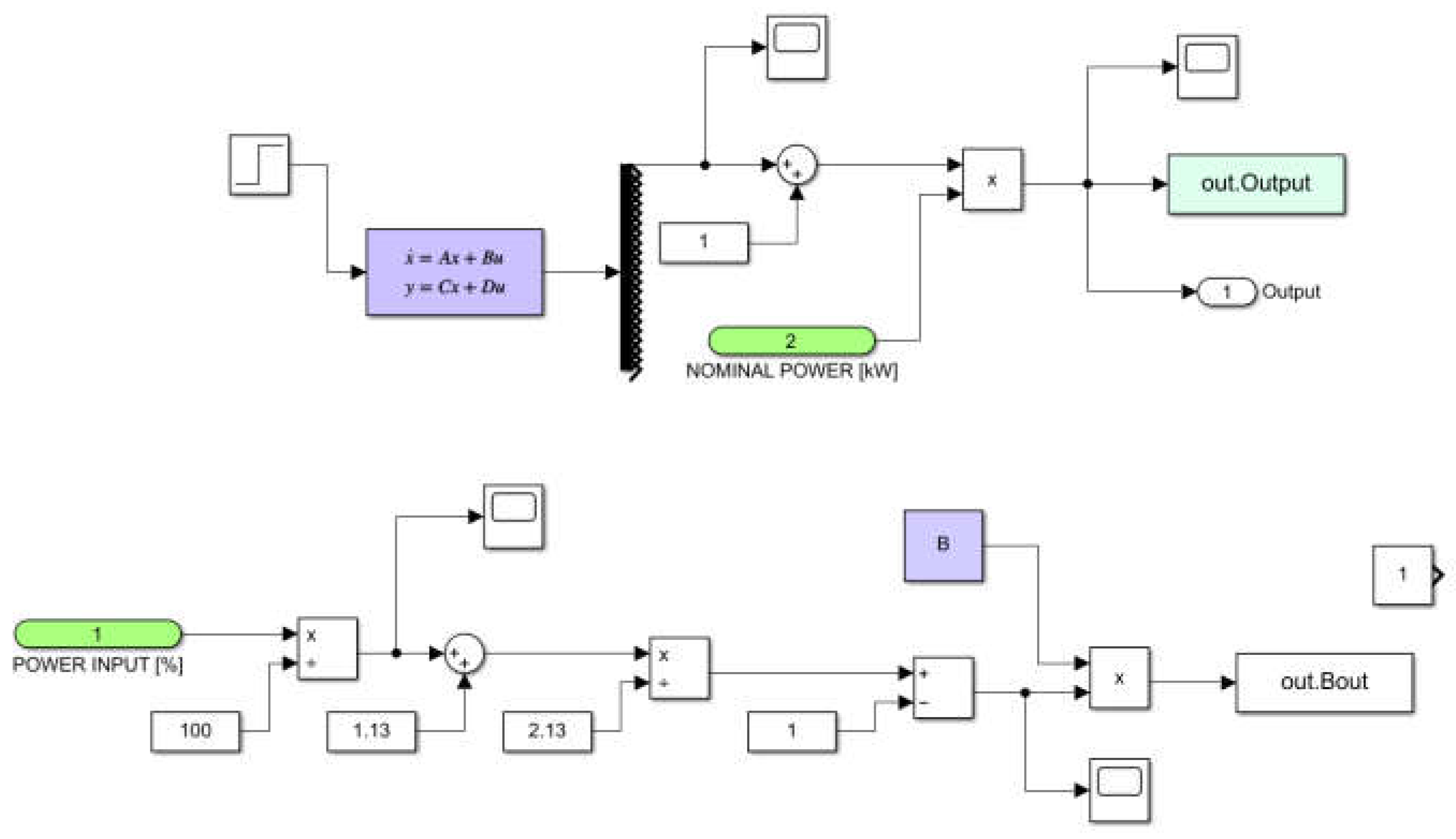
2.1. Modeling Nuclear Reactor with Load Following
- Neutronics: The model utilized point kinetics that involved six delayed neutron groups. Reactivity inputs were obtained from fuel temperature, coolant temperature, and average temperature control. Nonlinear terms, which consisted of products of reactivity and reactor power in the point kinetics equation, were included.
- Core thermal-hydraulics: The core thermal-hydraulic model was composed of three axial sections, each formulated using Mann’s model approach [x]. Each axial section consisted of one fuel node adjacent to two coolant nodes. This led to the formulation of nine differential equations for the core thermal hydraulics.
- T-average controller: The model contained a representation of the average temperature controller, which used the average coolant temperature as the input to the controller that actuated reactivity introduced by control rods.
- Piping and plenums: This work considered two piping systems for the hot and cold leg, four plenums for the steam generator input and output, and the reactor upper and lower. The piping and plenum system was also assumed to have mixed volumes.
- Pressurizer and its controller: The representation of the pressurizer was given by determining the energy and volume balance, as well as the mass in the pressurizer, which was reflected by the expansion of the water in the coolant nodes in the primary loop.
- U-tube steam generator modelling and control: The modeling proposed in this work used a simple steam generator schematic, which was represented by three different subsystems: the primary fluid, the secondary fluid, and the tube metal. The paper also considered the steam generator without control action, assuming that the design proposed would only be applied for small perturbations so that the controller dead-band could avoid variation in the feedwater flow.
2.2. Modeling Fast Charging Station
2.2.1. System Parameters
2.2.2. System Simulation
3. Simulation
3.1. Natural Resource Availability
3.2. Components Parameters
| Solar PV | Wind Farm | ||||
|---|---|---|---|---|---|
| Description | Value | Unit | Description | Value | Unit |
| Upper Limit Size | 2000 | kW | Upper Limit Size | 2000 | kW |
| Investment Cost | 550 | $/kW | Investment* | 1130 | $/kW |
| Replacement | 550 | $/kW | Replacement | 1130 | $/kW |
| O&M Cost | 9 | $/kW/year | O&M Cost* | 48 | $/kW/year |
| Lifetime | 30 | Years | Lifetime* | 30 | Years |
| Upper Limit Size | 2000 | kW | Upper Limit Size | 2000 | kW |
3.3. Economic Analysis
- Net Present Cost (NPC): NPC represents the installation cost and the operating cost of the system throughout its lifetime. It is calculated according to (1).
- Cost of Energy (COE): COE represents the average cost/kWh of useful electrical energy produced by the system. It is calculated according to (2).
- Capital Recovery Factor (CRF): It is a ration which is used to calculate the present value of a series of equal annual cash flows. It is calculated according to (3).
- Annual Real Interest Rate: It is a function of the nominal interest rate, and it is calculated according to (4).
4. Results and Discussion
5. Conclusions
References
- International Energy Agency. (2021). Global EV Outlook 2021: Scaling up the transition to electric mobility. 2021. Available online: https://www.iea.org/reports/global-ev-outlook-2021.
- Sioshansi, R. Electric vehicle charging infrastructure: Where should we be headed? The Electricity Journal 2018, 31, 16–23. [Google Scholar]
- Walawalkar, R. , Bates, R. Impact of EVs on power distribution systems. IEEE Power and Energy Society General Meeting 2011, 1–7. [Google Scholar]
- Lopes, J. A. , Hatziargyriou, N. , Mutale, J., Djapic, P., Jenkins, N., Strbac, G., & Engler, A. Integrating distributed generation into electric power systems: A review of drivers, challenges and opportunities. Electric power systems research 2007, 77, 1189–1203. [Google Scholar] [CrossRef]
- Zhang, J. , Li, Z. , Li, Y., Wang, J., Wang, L., Zhang, Y., & Xu, B. Predicting electric vehicle charging load based on spatiotemporal correlation analysis and an improved ARIMA model. Applied Energy 2021, 297, 117155. [Google Scholar]
- Liu, X. , Guo, S. , Xiong, L., & Liu, J. A review of electric vehicle charging load prediction methods considering user behavior. Energy Conversion and Management 2021, 243, 114398. [Google Scholar]
- Chen, X. , Zhang, X. , Cui, B., & Ma, Z. A comprehensive review of electric vehicle charging load forecasting. Applied Energy 2020, 267, 114817. [Google Scholar]
- Xia, Q. , Lin, Y., Li, X., Li, H., & Liu, Y. A review of electric vehicle charging load forecasting: Methods, modeling, and optimization. Renewable and Sustainable Energy Reviews 2020, 124, 109783. [Google Scholar]
- Guo, S. , Liu, X., & Wang, H. Electric vehicle charging load forecasting: A comprehensive review of the state-of-the-art methods, models, and datasets. Applied Energy 2020, 276, 115421. [Google Scholar]
- Wang, P. , Huang, Y., Li, J., & Zhuang, Q. A review of nuclear-renewable hybrid energy systems for decarbonized electricity and heat supply. Applied Energy 2020, 279, 115798. [Google Scholar]
- Zhang, X. , Li, Y., & Zhang, B. Energy management strategy for a microgrid with nuclear-renewable hybrid energy systems considering uncertainty. Applied Energy 2020, 261, 114422. [Google Scholar]
- J.R. Dehoff et al., Nuclear Renewable Hybrid Energy Systems: Opportunities and Challenges. Energy Policy 2014, 69, 44–53.
- Akbari, Development of Nuclear Renewable Hybrid Energy Systems for Hydrogen Production. International Journal of Hydrogen Energy 2019, 44, . 2945–2962.
- H. Chang et al., “Nuclear-Renewable Hybrid Energy System for Hydrogen Production,” Journal of Energy Engineering, vol. 146, no. 2, 2020.
- D. R. Shende et al., “Hydrogen Production from Nuclear-Renewable Hybrid Energy System: An Overview,” Renewable and Sustainable Energy Reviews, vol. 127, 2020.
- U.S. Department of Energy. (2021). Electric Vehicle Charging Station Basics. Available online: https://www.energy.gov/eere/electricvehicles/electric-vehicle-charging-station-basics.
- SAE International. (2021). Charging Levels & Standards. Available online: https://www.sae.org/standards/content/j3068_202103/.
- European Commission. (2019). Electric vehicle charging stations. Available online: https://ec.europa.eu/transport/themes/urban/cpt_en.htm.
- “Nuclear Power in a Clean Energy System,” International Energy Agency, May 2019. Available online: https://www.iea.org/reports/nuclear-power-in-a-clean-energy-system.
- “Load-following operation of nuclear power plants,” International Atomic Energy Agency, September 2009. Available online: https://www-pub.iaea.org/MTCD/Publications/PDF/te_1616_web.pdf.
- “Load-Following Nuclear Power Plants,” U.S. Nuclear Regulatory Commission, October 2016. Available online: https://www.nrc.gov/docs/ML1629/ML16293A209.pdf.
- “Flexible Nuclear Energy for a Low-Carbon Future,” World Nuclear Association, October 2020. Available online: https://www.world-nuclear.org/getmedia/fe93c54d-d8d6-44a1-aef1-11c7dcdf8a67/201007-flexible-nuclear-energy-for-a-low-carbon-future.pdf.aspx.
- International Atomic Energy Agency, “Load-Following Operation of Nuclear Power Plants,” 2009. Available online: https://www-pub.iaea.org/MTCD/Publications/PDF/te_1616_web.pdf.
- World Nuclear Association, “Load-Following Nuclear Power Plants,” 2019. Available online: https://www.world-nuclear.org/information-library/nuclear-fuel-cycle/nuclear-power-reactors/load-following-nuclear-power-plants.aspx.
- Nuclear Energy Institute, “Load Following and Nuclear Energy,” 2018. Available online: https://www.nei.org/resources/fact-sheets/load-following-and-nuclear-energy.
- International Atomic Energy Agency, “Nuclear Power Reactors,” 2022. https://www.iaea.org/topics/nuclear-power-reactors.
- R.L. Faidy, S. Park, J. H. Park, H. Y. Jang, S. Y. Hong, S. H. Park, and S. H. Lee, Nuclear-Renewable Hybrid Energy Systems: A Review. Energies, 2020, 13, 1529. [CrossRef]
- D. Hejzlar, M. T. Yilmaz, F. Carta, and G. Caralis, “Nuclear renewable energy hybrid systems: A review of challenges and opportunities,” Progress in Nuclear. Energy 2018, 102, 28–42. [Google Scholar] [CrossRef]
- M. T. Yilmaz, D. Hejzlar, and G. Caralis, “Multi-objective optimization of nuclear-renewable hybrid energy systems. Applied Energy 2019, 235, 1322–1336. [Google Scholar] [CrossRef]
- N. A. Mohd Saad, M. T. Yilmaz, G. Caralis, and D. Hejzlar, “Stochastic optimization of nuclear-renewable hybrid energy systems considering demand-side management. Energy Conversion and Management 2020, 211, 112785. [Google Scholar] [CrossRef]
- International Energy Agency. (2021). The Future of Hydrogen: Seizing Today’s Opportunities. Available online: https://www.iea.org/reports/the-future-of-hydrogen.
- U.S. Department of Energy. (2021). Hydrogen Production. Available online: https://www.energy.gov/eere/fuelcells/hydrogen-production.
- European Commission. (2021). Clean hydrogen: a low-carbon energy source for industry. Available online: https://ec.europa.eu/growth/sectors/energy/policy/clean-energy-hydrogen_en.
- Japan Ministry of Economy, Trade and Industry. (2021). Japan’s Green Growth Strategy - Towards a Decarbonized Society. Available online: https://www.meti.go.jp/english/press/2020/1204_002.html.
- Kim, J. , Kim, I, & Kim, Y. Predictive and Adaptive Control Strategy for Nuclear Renewable-Hybrid Energy Systems Considering Fast Charging Stations. IEEE Transactions on Smart Grid 2021, 12, 2373–2383. [Google Scholar]






















| EVSE Type | Power Supply | Charger Power | Charging Time (approximate for a 24-kWh battery) |
|---|---|---|---|
| AC charging station: L1 residential | 120/230Vac and 12A to 16A (single phase) | Approximately 1.44kW to 1.92kW | Approximately 17 hours |
| AC charging station: L2 commercial | 208-240Vac and 15A to approximately 80A (single phase) | Approximately 3.1kW to 19.2kW | Approximately 8 hours |
| DC charging station: L3 fast charges | 300 to 600Vdc and max 400A (poly phase) | From 120kW up to 240kW | Approximately 30 minutes |
| Unit | Type | Model | Max Charge | Capacity [kWh] | Proportion |
|---|---|---|---|---|---|
| 1 | EV | Tesla Model X | 250 | 113.2 | 25% |
| 2 | EV | Tesla Model 3 | 250 | 82 | 25% |
| 3 | eBUS | Volvo 7900 Electric | 450 | 565 | 15% |
| 4 | eBUS | eBusco 2.2 | 300 | 350 | 10% |
| 5 | eTruck | Scania Take Charge Rigid Truck | 375 | 468 | 15% |
| 6 | eTruck | Volvo VNR Electric 6x4 Tractor | 250 | 565 | 10% |
| Description | Value | Unit |
|---|---|---|
| Fuel Type | Uranium | |
| Capacity | 1000 | kW |
| Capital Cost* | 4000 | $/kWe |
| Refurbishment Cost* | 2500 | $/kWe |
| O&M Cost* | 16 | $/MWh |
| Fuel Cost* | 1390 | $/kg |
| Fuel Cell System | Converter DC | ||||
|---|---|---|---|---|---|
| Description | Value | Unit | Description | Value | Unit |
| Upper Limit Size | 2000 | kW | Upper Limit Size | 1600 | kW |
| Investment | 2500 | $/kW | Investment | 300 | $/kW |
| Replacement | 2500 | $/kW | Replacement | 300 | $/kW |
| O&M Cost* | 3.65 | $/kW/year | Efficiency | 95 | % |
| Lifetime | 6 | Years | Lifetime | 15 | Years |
| Upper Limit Size | 2000 | kW | Upper Limit Size | 1600 | kW |
Disclaimer/Publisher’s Note: The statements, opinions and data contained in all publications are solely those of the individual author(s) and contributor(s) and not of MDPI and/or the editor(s). MDPI and/or the editor(s) disclaim responsibility for any injury to people or property resulting from any ideas, methods, instructions or products referred to in the content. |
© 2023 by the authors. Licensee MDPI, Basel, Switzerland. This article is an open access article distributed under the terms and conditions of the Creative Commons Attribution (CC BY) license (http://creativecommons.org/licenses/by/4.0/).