Preprint
Article

This version is not peer-reviewed.

Nanocellulose Coating Associated with Lemongrass Essential Oil at Postharvest of Blackberry Fruits

Submitted:

09 October 2019

Posted:

11 October 2019

You are already at the latest version

Abstract
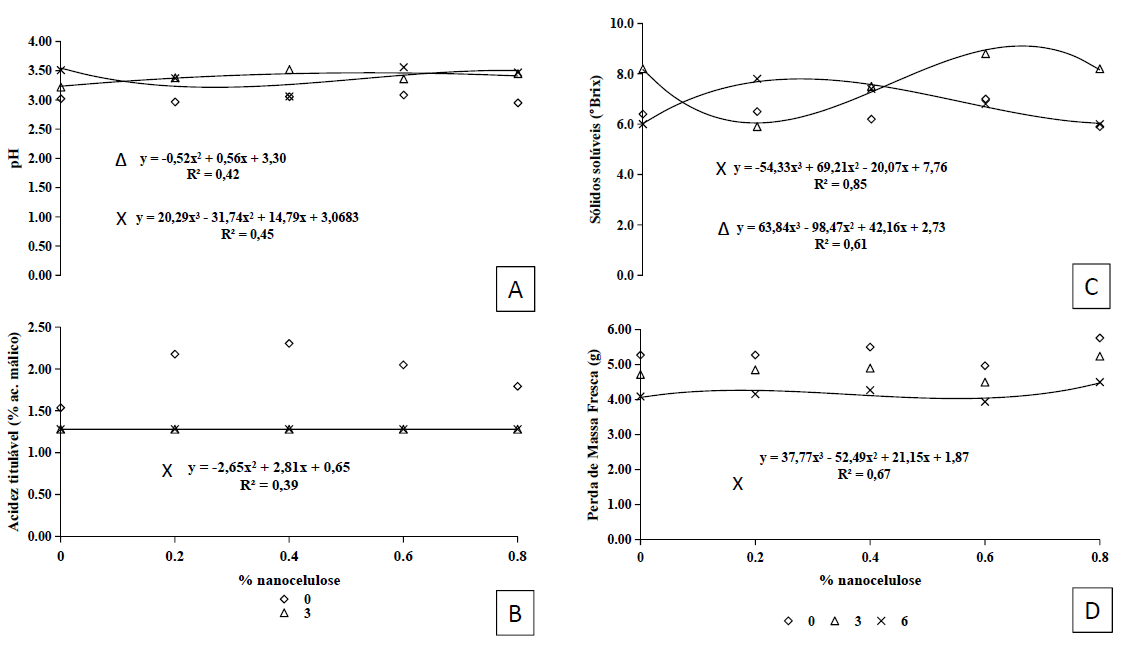
Blackberry is a fruit that has high nutritional value, a factor that has expanded its consumption worldwide. However, due to the fragility of the fruits and the high incidence of postharvest diseases, the fruits have a short shelf life. Thus, the objective of this study was to evaluate whether the application of coatings based on microfibrillated cellulose (NC) and lemongrass essential oil (EO) nanoparticles can prolong the shelf life of blackberry fruits after harvest. EO-coated blackberry fruits at nanocellulose concentrations were analyzed as follows: 0; 0.2; 0.4; 0.6 and 0.8%, in addition to the control treatment of which neither essential oil nor nanocellulose was used, for each treatment five repetitions were used. The fruits were analyzed soon after the application of the cover and at three and six days after storage. Fruit quality was assessed by soluble solids (SS), titratable acidity (TA), pH, fresh weight loss (FWL) and colorimetric parameters such as luminosity, hue angle and fruit peel chroma. Coating on EO (1000 ppm) blackberries combined with NC at concentrations of 0.2, 0.4 and 0.6% is promising in preserving blackberry fruits and reducing the process color reversal, up to six days of storage. The 0.4% NC + 1000 ppm EO conjugated coating showed no SS changes in blackberry fruits during the six days of storage.
Keywords: 
;  ;  ;  
Copyright: This open access article is published under a Creative Commons CC BY 4.0 license, which permit the free download, distribution, and reuse, provided that the author and preprint are cited in any reuse.
Prerpints.org logo

Preprints.org is a free preprint server supported by MDPI in Basel, Switzerland.

Subscribe

Disclaimer

Terms of Use

Privacy Policy

Privacy Settings

© 2026 MDPI (Basel, Switzerland) unless otherwise stated