Submitted:
27 October 2023
Posted:
31 October 2023
You are already at the latest version
Abstract
Keywords:
1. Introduction
2. Materials and Methods
2.1. Fruit Material
2.2. Chemicals
2.3. Preparation of Emulsions
2.4. Coating’s Characterization
2.5. Spraying Application Method
2.6. Dipping Application Method (D)
2.7. Quality Measurements
| List of Treatments | |
|---|---|
| 1 | Control |
| 2 | AL-S |
| 3 | AL-D |
| 4 | AL-Cit 0.15+Eug 0.1-N-S |
| 5 | AL-Cit 0.15+Eug 0.1-N-D |
| 6 | AL-Cit 0.15+Eug 0.1-C-S |
| 7 | AL-Cit 0.15+Eug 0.1-C-D |
| 8 | AL-Cit 0.3+Eug 0.2-N-S |
| 9 | AL-Cit 0.3+Eug 0.2-N-D |
| 10 | AL-Cit 0.3+Eug 0.2-C-S |
| 11 | AL-Cit 0.3+Eug 0.2-C-D |
2.8. Experimental Setup of VIS/NIR Measurements
2.9. Statistical Methods
3. Results and Discussion
3.1. Coating’s Characteristics
3.2. General Quality Parameters of Fruits
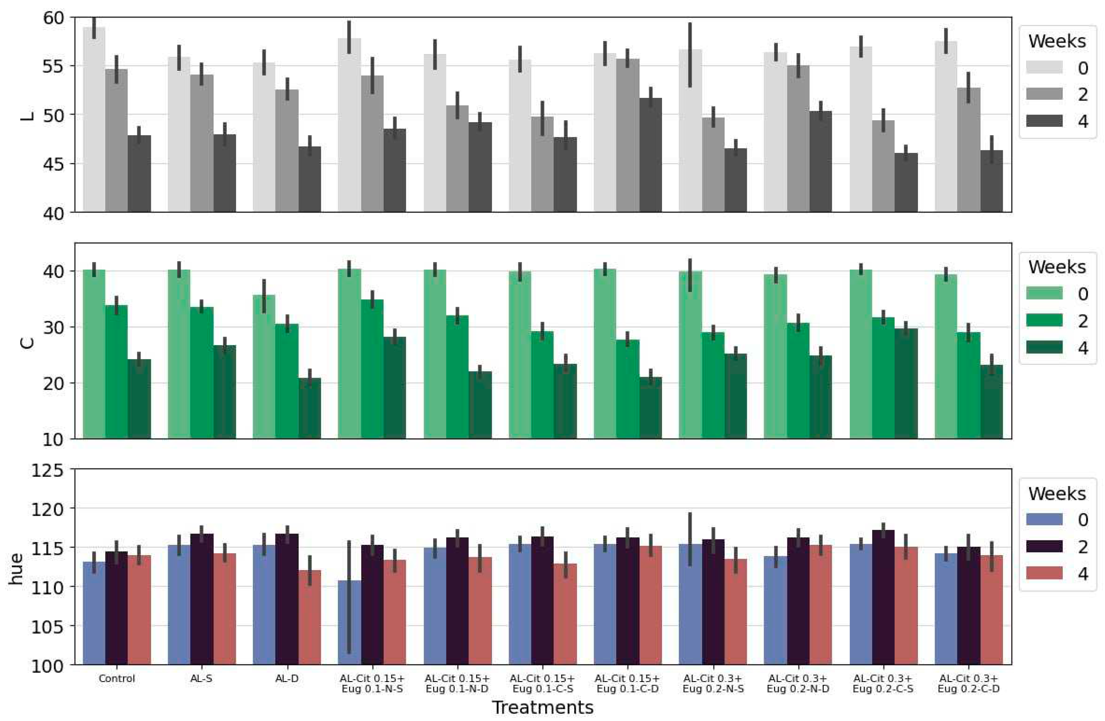
3.2.1. Colour

3.2.2. Firmness and SSC

3.2.3. Weight Loss and Dry Matter Content

3.3. Spectral Analysis


3.4. Statistical Analysis
| Discrimination Measures | |||
|---|---|---|---|
| Dimension | |||
| 1 | 2 | Mean | |
| L* | .595 | .404 | .499 |
| Hue | .055 | .252 | .154 |
| C* | .857 | .497 | .677 |
| DMC | .046 | .158 | .102 |
| Firmness | .927 | .195 | .561 |
| SSC | .923 | .207 | .565 |
| Weight Loss | .942 | .320 | .631 |
| Eigenvalue | 4.345 | 2.033 | 3.189 |
| Alpha de Cronbach | 0.898 | 0.593 | 0.801a |
| Percent of Variance | 62.068 | 29.050 | 45,559 |



4. Conclusions
Funding
Declaration of Competing Interest
Acknowledgments
References
- Pinto, D.; Delerue-Matos, C.; Rodrigues, F. Bioactivity, Phytochemical Profile and pro-Healthy Properties of Actinidia Arguta: A Review. Food Res. Int. 2020, 136, 109449. [Google Scholar] [CrossRef] [PubMed]
- Latocha, P. The Nutritional and Health Benefits of Kiwiberry (Actinidia Arguta)—a Review. Plant Foods Hum. Nutr. 2017, 72, 325–334. [Google Scholar] [CrossRef] [PubMed]
- Krupa, T.; Latocha, P.; Liwińska, A. Changes of Physicochemical Quality, Phenolics and Vitamin C Content in Hardy Kiwifruit (Actinidia Arguta and Its Hybrid) during Storage. Sci. Hortic. 2011, 130, 410–417. [Google Scholar] [CrossRef]
- Stefaniak, J.; Sawicka, M.; Krupa, T.; Latocha, P.; Łata, B. Effect of Kiwiberry Pre-Storage Treatments on the Fruit Quality during Cold Storage. Zemdirb. -Agric. 2017, 104, 235–242. [Google Scholar] [CrossRef]
- Wojdyło, A.; Figiel, A.; Legua, P.; Lech, K.; Carbonell-Barrachina, Á.A.; Hernández, F. Chemical Composition, Antioxidant Capacity, and Sensory Quality of Dried Jujube Fruits as Affected by Cultivar and Drying Method. Food Chem. 2016, 207, 170–179. [Google Scholar] [CrossRef]
- Lim, S.; Han, S.H.; Kim, J.; Lee, H.J.; Lee, J.G.; Lee, E.J. Inhibition of Hardy Kiwifruit (Actinidia Aruguta) Ripening by 1-Methylcyclopropene during Cold Storage and Anticancer Properties of the Fruit Extract. Food Chem. 2016, 190, 150–157. [Google Scholar] [CrossRef] [PubMed]
- Oh, S.B.; Muneer, S.; Kwack, Y.B.; Shin, M.H.; Kim, J.G. Characteristic of Fruit Development for Optimal Harvest Date and Postharvest Storability in ‘Skinny Green’ Baby Kiwifruit. Sci. Hortic. 2017, 222, 57–61. [Google Scholar] [CrossRef]
- Kim, A.N.; Kim, H.J.; Chun, J.; Heo, H.J.; Kerr, W.L.; Choi, S.G. Degradation Kinetics of Phenolic Content and Antioxidant Activity of Hardy Kiwifruit (Actinidia Arguta) Puree at Different Storage Temperatures. Lwt 2018, 89, 535–541. [Google Scholar] [CrossRef]
- Fisk, C.L.; McDaniel, M.R.; Strik, B.C.; Zhao, Y. Physicochemical, Sensory, and Nutritive Qualities of Hardy Kiwifruit (Actinidia Arguta ’Ananasnaya’) as Affected by Harvest Maturity and Storage. J. Food Sci. 2006, 71. [Google Scholar] [CrossRef]
- Latocha, P.; Krupa, T.; Jankowski, P.; Radzanowska, J. Changes in Postharvest Physicochemical and Sensory Characteristics of Hardy Kiwifruit (Actinidia Arguta and Its Hybrid) after Cold Storage under Normal versus Controlled Atmosphere. Postharvest Biol. Technol. 2014, 88, 21–33. [Google Scholar] [CrossRef]
- Jafarzadeh, S.; Mohammadi Nafchi, A.; Salehabadi, A.; Oladzad-abbasabadi, N.; Jafari, S.M. Application of Bio-Nanocomposite Films and Edible Coatings for Extending the Shelf Life of Fresh Fruits and Vegetables. Adv. Colloid Interface Sci. 2021, 291, 102405. [Google Scholar] [CrossRef]
- Maftoonazad, N.; Ramaswamy, H.S.; Moalemiyan, M.; Kushalappa, A.C. Effect of Pectin-Based Edible Emulsion Coating on Changes in Quality of Avocado Exposed to Lasiodiplodia Theobromae Infection. Carbohydr. Polym. 2007, 68, 341–349. [Google Scholar] [CrossRef]
- Velickova, E.; Winkelhausen, E.; Kuzmanova, S.; Alves, V.D.; Moldão-Martins, M. Impact of Chitosan-Beeswax Edible Coatings on the Quality of Fresh Strawberries (Fragaria Ananassa Cv Camarosa) under Commercial Storage Conditions. LWT - Food Sci. Technol. 2013, 52, 80–92. [Google Scholar] [CrossRef]
- Leceta, I.; Molinaro, S.; Guerrero, P.; Kerry, J.P.; Caba, K. De Postharvest Biology and Technology Quality Attributes of Map Packaged Ready-to-Eat Baby Carrots by Using Chitosan-Based Coatings. Postharvest Biol. Technol. 2015, 100, 142–150. [Google Scholar] [CrossRef]
- Guerreiro, A.; Gago, C.; Miguel, M.G.; Faleiro, M.L.; Antunes, M.D. Improving the Shelf-Life of Strawberry Fruit with Edible Coatings Enriched with Essential Oils. Acta Hortic. 2021, 1327, 597–606. [Google Scholar] [CrossRef]
- Gago, C.; Antão, R.; Dores, C.; Guerreiro, A.; Miguel, M.G.; Faleiro, M.L.; Figueiredo, A.C.; Antunes, M.D. The Effect of Nanocoatings Enriched with Essential Oils on “Rocha” Pear Long Storage. Foods 2020, 9, 240. [Google Scholar] [CrossRef]
- Rusková, M.; Opálková Šišková, A.; Mosnáčková, K.; Gago, C.; Guerreiro, A.; Bučková, M.; Puškárová, A.; Pangallo, D.; Antunes, M.D. Biodegradable Active Packaging Enriched with Essential Oils for Enhancing the Shelf Life of Strawberries. Antioxidants 2023, 12, 755. [Google Scholar] [CrossRef]
- Antunes, M.D.C.M.; Gago, C.; Cavaco, A.; Miguel, M.G. Edible Coatings Enriched with Essential Oils and Their Compounds for Fresh and Fresh-Cut Fruit. Recent Pat. Food. Nutr. Agric. 2012, 4, 114–122. [Google Scholar] [CrossRef]
- Lin, D.; Zhao, Y. Innovations in the Development and Application of Edible Coatings for Fresh and Minimally Processed Fruits and Vegetables. Compr. Rev. Food Sci. Food Saf. 2007, 6, 60–75. [Google Scholar] [CrossRef]
- Fisk, C.L.; Silver, A.M.; Strik, B.C.; Zhao, Y. Postharvest Quality of Hardy Kiwifruit (Actinidia Arguta ‘Ananasnaya’) Associated with Packaging and Storage Conditions. Postharvest Biol. Technol. 2008, 47, 338–345. [Google Scholar] [CrossRef]
- Gonzalez-Aguilar, G. a.; Celis, J.; Sotelo-Mundo, R.R.; de la Rosa, L. a.; Rodrigo-Garcia, J.; Alvarez-Parrilla, E. Physiological and Biochemical Changes of Different Fresh-Cut Mango Cultivars Stored at 5 °C. Int. J. Food Sci. Technol. 2008, 43, 91–101. [Google Scholar] [CrossRef]
- Salinas-Roca, B.; Guerreiro, A.; Welti-Chanes, J.; Antunes, M.D.C.; Martín-Belloso, O. Improving Quality of Fresh-Cut Mango Using Polysaccharide-Based Edible Coatings. Int. J. Food Sci. Technol. 2018, 53, 938–945. [Google Scholar] [CrossRef]
- Olivas, G.I.; Barbosa-Cánovas, G. V Edible Coatings for Fresh-Cut Fruits. Crit. Rev. Food Sci. Nutr. 2005, 45, 657–670. [Google Scholar] [CrossRef]
- Jiang, T. Effect of Alginate Coating on Physicochemical and Sensory Qualities of Button Mushrooms (Agaricus Bisporus) under a High Oxygen Modified Atmosphere. Postharvest Biol. Technol. 2013, 76, 91–97. [Google Scholar] [CrossRef]
- Antunes, M.M.D.C.; Cavaco, A.M.A. The Use of Essential Oils for Postharvest Decay Control. A Review. Flavour Fragr. J. 2010, 25, 351–366. [Google Scholar] [CrossRef]
- Azevedo, A.N.; Buarque, P.R.; Cruz, E.M.O.; Blank, A.F.; Alves, P.B.; Nunes, M.L.; Santana, L.C.L.D.A. Response Surface Methodology for Optimisation of Edible Chitosan Coating Formulations Incorporating Essential Oil against Several Foodborne Pathogenic Bacteria. Food Control 2014, 43, 1–9. [Google Scholar] [CrossRef]
- Miguel, M.G. Antioxidant Activity of Medicinal and Aromatic Plants. A Review. Flavour Fragr. J. 2010, 25, 291–312. [Google Scholar] [CrossRef]
- Andrade, R.D.; Skurtys, O.; Osorio, F.A. Atomizing Spray Systems for Application of Edible Coatings. Compr. Rev. Food Sci. Food Saf. 2012, 11, 323–337. [Google Scholar] [CrossRef]
- Martín-Belloso, O.; Rojas-Graü, M.A.; Soliva-Fortuny, R. Delivery of Flavor and Active Ingredients Using Edible Films and Coatings. In Edible Films and Coatings for Food Applications; Huber, K.C., Embuscado, M.E., Eds.; Springer New York: New York, NY, 2009; pp. 295–313. ISBN 978-0-387-92824-1. [Google Scholar]
- Pires, R.; Guerra, R.; Cruz, S.P.; Antunes, M.D.; Brázio, A.; Afonso, A.M.; Daniel, M.; Panagopoulos, T.; Gonçalves, I.; Cavaco, A.M. Ripening Assessment of ‘Ortanique’ (Citrus Reticulata Blanco x Citrus Sinensis (L) Osbeck) on Tree by SW-NIR Reflectance Spectroscopy-Based Calibration Models. Postharvest Biol. Technol. 2022, 183. [Google Scholar] [CrossRef]
- Cruz, S.; Guerra, R.; Brazio, A.; Cavaco, A.M.; Antunes, D.; Passos, D. Nondestructive Simultaneous Prediction of Internal Browning Disorder and Quality Attributes in ‘Rocha’ Pear (Pyrus Communis L.) Using VIS-NIR Spectroscopy. Postharvest Biol. Technol. 2021, 179. [Google Scholar] [CrossRef]
- Jamshidi, B.; Mohajerani, E.; Jamshidi, J. Developing a Vis/NIR Spectroscopic System for Fast and Non-Destructive Pesticide Residue Monitoring in Agricultural Product. Measurement 2016, 89, 1–6. [Google Scholar] [CrossRef]
- Guerreiro, A.C.; Gago, C.M.L.; Faleiro, M.L.; Miguel, M.G.C.; Antunes, M.D.C. The Effect of Alginate-Based Edible Coatings Enriched with Essential Oils Constituents on Arbutus Unedo L. Fresh Fruit Storage. Postharvest Biol. Technol. 2015, 100, 226–233. [Google Scholar] [CrossRef]
- Rojas-Graü, M.A.; Raybaudi-Massilia, R.M.; Soliva-Fortuny, R.C.; Avena-Bustillos, R.J.; McHugh, T.H.; Martín-Belloso, O. Apple Puree-Alginate Edible Coating as Carrier of Antimicrobial Agents to Prolong Shelf-Life of Fresh-Cut Apples. Postharvest Biol. Technol. 2007, 45, 254–264. [Google Scholar] [CrossRef]
- Guerreiro, A.C.; Gago, C.M.L.; Faleiro, M.L.; Miguel, M.G.C.; Antunes, M.D.C. Raspberry Fresh Fruit Quality as Affected by Pectin- and Alginate-Based Edible Coatings Enriched with Essential Oils. Sci. Hortic. (Amsterdam). 2015, 194, 138–146. [Google Scholar] [CrossRef]
- Artiga-Artigas, M.; Acevedo-Fani, A.; Martín-Belloso, O. Effect of Sodium Alginate Incorporation Procedure on the Physicochemical Properties of Nanoemulsions. Food Hydrocoll. 2017, 70, 191–200. [Google Scholar] [CrossRef]
- Comaposada, J.; Gou, P.; Marcos, B.; Arnau, J. Physical Properties of Sodium Alginate Solutions and Edible Wet Calcium Alginate Coatings. LWT - Food Sci. Technol. 2015, 64, 212–219. [Google Scholar] [CrossRef]
- Dores, C.S.; Vieira, A.I.; Guerreiro, A.C.; Gago, C.L.; Miguel, M.G.; Faleiro, M.L.; Dantuma, A.; Antunes, M.D. The Effect of Active Packaging on the Storage of Kiwifruit Snacks. In Proceedings of the Acta Horticulturae; International Society for Horticultural Science (ISHS), Leuven, Belgium, 31 October 2018; pp. 541–548. [Google Scholar]
- Sokal, R.R. Clustering and Classification: Background and Current Directions. In Classification and Clustering; Van Ryzin, J., Ed.; Academic Press, 1977; pp. 1–15. ISBN 978-0-12-714250-0. [Google Scholar]
- De Pelsmacker, P.; Van Kenhove, P.; Janssens, W.; Wijnen, K. Marketing Research with SPSS EBook; Pearson Education; ISBN 9780273732280.
- Borg, I.; Groenen, P.J.F. Modern Multidimensional Scaling; Springer Series in Statistics; Springer New York: New York, NY, 2005; ISBN 978-0-387-25150-9. [Google Scholar]
- Gago, C.M.L.; Artiga-Artigas, M.; Antunes, M.D.C.; Faleiro, M.L.; Miguel, M.G.; Martín-Belloso, O. Effectiveness of Nanoemulsions of Clove and Lemongrass Essential Oils and Their Major Components against Escherichia Coli and Botrytis Cinerea. J. Food Sci. Technol. 2019, 56, 2721–2736. [Google Scholar] [CrossRef] [PubMed]
- Salvia-Trujillo, L.; Rojas-Graü, A.; Soliva-Fortuny, R.; Martín-Belloso, O. Physicochemical Characterization and Antimicrobial Activity of Food-Grade Emulsions and Nanoemulsions Incorporating Essential Oils. Food Hydrocoll. 2015, 43, 547–556. [Google Scholar] [CrossRef]
- Yang, R.; Miao, J.; Shen, Y.; Cai, N.; Wan, C.; Zou, L.; Chen, C.; Chen, J. Antifungal Effect of Cinnamaldehyde, Eugenol and Carvacrol Nanoemulsion against Penicillium Digitatum and Application in Postharvest Preservation of Citrus Fruit. Lwt 2021, 141, 110924. [Google Scholar] [CrossRef]
- Salvia-Trujillo, L.; Rojas-Graü, M.A.; Soliva-Fortuny, R.; Martín-Belloso, O. Use of Antimicrobial Nanoemulsions as Edible Coatings: Impact on Safety and Quality Attributes of Fresh-Cut Fuji Apples. Postharvest Biol. Technol. 2015, 105, 8–16. [Google Scholar] [CrossRef]
- Heurtault, B.; Saulnier, P.; Pech, B.; Proust, J.E.; Benoit, J.P. Physico-Chemical Stability of Colloidal Lipid Particles. Biomaterials 2003, 24, 4283–4300. [Google Scholar] [CrossRef] [PubMed]
- Pathare, P.B.; Opara, U.L.; Al-Said, F.A.J. Colour Measurement and Analysis in Fresh and Processed Foods: A Review. Food Bioprocess Technol. 2013, 6, 36–60. [Google Scholar] [CrossRef]
- Mendes da Silva, T.; Briano, R.; Peano, C.; Giuggioli, N.R. The Use of a New Explanatory Methodology to Assess Maturity and Ripening Indices for Kiwiberry (Actinidia Arguta): Preliminary Results. Postharvest Biol. Technol. 2020, 163, 111122. [Google Scholar] [CrossRef]
- Han, N.; Park, H.; Kim, C.W.; Kim, M.S.; Lee, U. Physicochemical Quality of Hardy Kiwifruit (Actinidia Arguta L. Cv. Cheongsan) during Ripening Is Influenced by Harvest Maturity. Forest Sci. Technol. 2019, 15, 187–191. [Google Scholar] [CrossRef]
- Krupa, T.; Latocha, P.; Liwińska, A. Changes of Physicochemical Quality, Phenolics and Vitamin C Content in Hardy Kiwifruit (Actinidia Arguta and Its Hybrid) during Storage. Sci. Hortic. (Amsterdam). 2011, 130, 410–417. [Google Scholar] [CrossRef]
- Koukounaras, A.; Sfakiotakis, E. Effect of 1-MCP Prestorage Treatment on Ethylene and CO2 Production and Quality of ‘Hayward’ Kiwifruit during Shelf-Life after Short, Medium and Long Term Cold Storage. Postharvest Biol. Technol. 2007, 46, 174–180. [Google Scholar] [CrossRef]
- Hu, W.; Sun, D.-W.; Blasco, J. Rapid Monitoring 1-MCP-Induced Modulation of Sugars Accumulation in Ripening ‘Hayward’ Kiwifruit by Vis/NIR Hyperspectral Imaging. Postharvest Biol. Technol. 2017, 125, 168–180. [Google Scholar] [CrossRef]
- Burdon, J.; Pidakala, P.; Martin, P.; Billing, D. Softening of ‘Hayward’ Kiwifruit on the Vine and in Storage: The Effects of Temperature. Sci. Hortic. (Amsterdam). 2017, 220, 176–182. [Google Scholar] [CrossRef]
- Antunes, M.D.C.; Sfakiotakis, E. Ethylene Biosynthesis and Ripening Behaviour of ‘Hayward’ Kiwifruit Subjected to Some Controlled Atmospheres. Postharvest Biol. Technol. 2002, 26, 167–179. [Google Scholar] [CrossRef]
- Organization For Economic Co-operation and development. International Standardisation of Fruit and Vegetables (Kiwifruit); 2008; ISBN 92-64-009712-0. [Google Scholar]
- Nunes, M.C. do N. Correlations between Subjective Quality and Physicochemical Attributes of Fresh Fruits and Vegetables. Postharvest Biol. Technol. 2015, 107, 43–54. [Google Scholar] [CrossRef]
- Duan, J.; Wu, R.; Strik, B.C.; Zhao, Y. Effect of Edible Coatings on the Quality of Fresh Blueberries (Duke and Elliott) under Commercial Storage Conditions. Postharvest Biol. Technol. 2011, 59, 71–79. [Google Scholar] [CrossRef]
- Ayranci, E.; Tunc, S. A Method for the Measurement of the Oxygen Permeability and the Development of Edible Films to Reduce the Rate of Oxidative Reactions in Fresh Foods. Food Chem. 2003, 80, 423–431. [Google Scholar] [CrossRef]
- Hassimotto, N.M.A.; Pinto, M.D.S.; Lajolo, F.M. Antioxidant Status in Humans after Consumption of Blackberry (Rubus Fruticosus L.) Juices with and without Defatted Milk. J. Agric. Food Chem. 2008, 56, 11727–11733. [Google Scholar] [CrossRef] [PubMed]
- Díaz-Mula, H.M.; Serrano, M.; Valero, D. Alginate Coatings Preserve Fruit Quality and Bioactive Compounds during Storage of Sweet Cherry Fruit. Food Bioprocess Technol. 2012, 5, 2990–2997. [Google Scholar] [CrossRef]
- Vargas, M.; Pastor, C.; Chiralt, A.; McClements, D.J.; González-Martínez, C. Recent Advances in Edible Coatings for Fresh and Minimally Processed Fruits. Crit. Rev. Food Sci. Nutr. 2008, 48, 496–511. [Google Scholar] [CrossRef]
- Guerreiro, A.C.; Gago, C.M.L.; Miguel, M.G.C.; Faleiro, M.L.; Antunes, M.D.C. The Influence of Edible Coatings Enriched with Citral and Eugenol on the Raspberry Storage Ability, Nutritional and Sensory Quality. Food Packag. Shelf Life 2016, 9, 20–28. [Google Scholar] [CrossRef]
- Hastie, T.; Tibshirani, R.; Friedman, J. The Elements of Statistical Learning; Springer Series in Statistics; Springer New York: New York, NY, 2009; ISBN 978-0-387-84857-0. [Google Scholar]
| Emulsions | Droplet size(nm) | Polydispersity index(PDI) | ζ-potential (mv) | |
|---|---|---|---|---|
| AL-Cit 0.15 + Eug 0.1-N | 236.73± 93.34 | 0.72 ± 0.08 | -17.10 ± 2.40 | |
| AL-Cit 0.3 + Eug 0.2-N | 181.57 ± 58.42 | 0.62 ± 0.12 | -41.13 ± 0.51 | |
| AL-Cit 0.15 + Eug 0.1-C | 1706.67 ± 236.72 | 0.82 ± 0.12 | -80.97 ± 4.30 | |
| AL-Cit 0.3 + Eug 0.2-C | 1470.00 ± 101.36 | 0.72 ± 0.12 | -75.53 ± 0.24 | |
Disclaimer/Publisher’s Note: The statements, opinions and data contained in all publications are solely those of the individual author(s) and contributor(s) and not of MDPI and/or the editor(s). MDPI and/or the editor(s) disclaim responsibility for any injury to people or property resulting from any ideas, methods, instructions or products referred to in the content. |
© 2023 by the authors. Licensee MDPI, Basel, Switzerland. This article is an open access article distributed under the terms and conditions of the Creative Commons Attribution (CC BY) license (http://creativecommons.org/licenses/by/4.0/).