Preprint
Article

This version is not peer-reviewed.

High-Field Magnetoresistance and Hall Effect of a Nanocrystalline Ni Metal at 3 K and 300 K

Submitted:

12 March 2026

Posted:

13 March 2026

You are already at the latest version

Abstract
In a previous work [Bakonyi et al., Eur. Phys. J. Plus 137, 871 (2022)], in-plane magnetoresistance results were reported on a thin strip-shaped foil sample of nanocrys-talline (nc) Ni metal. These studies have been by now complemented with the measure-ment of the temperature dependence of the resistivity as well as the field dependence of the resistivity and the Hall effect on the same sample at 3 K and 300 K in polar magnetic fields up to 140 kOe, i.e., with the magnetic field perpendicular to the strip plane. Due to the strong contribution of the grain-boundary scattering in the nc state, the residual re-sistivity was about 11 % of the room-temperature value. The polar magnetoresistance (PMR) showed a similar behavior to the previously reported transverse magnetoresistance (TMR), yielding an anisotropic magnetoresistance (AMR) value in good agreement with the AMR previously deduced from the in-plane MR data. As to the Hall effect, the results for the ordinary (Ro) and the anomalous (Rs) Hall coefficient fitted rather well into the rather dispersed reported data of bulk Ni at both temperatures. However, a closer look of the Rs values for nc-Ni revealed that at 300 K it is larger and at 3 K it is smaller than the corresponding bulk Ni values obtained on samples with the same zero-field resistivity as our nc-Ni foil. It will be discussed briefly that these deviations may be attributed to the nanocrystalline state containing a large density of grain boundaries.
Keywords: 
;  ;  ;  

1. Introduction

In a previous work [1], magnetoresistance (MR) results were reported on a thin strip-shaped foil sample of nanocrystalline (nc) Ni metal up to H = 140 kOe magnetic field at 3 K and 300 K. In that study, both the longitudinal MR (LMR) and transverse MR (TMR) components were measured by using an in-plane magnetic field oriented either parallel (LMR) or perpendicular (TMR) to the measuring current flow direction.
These results will now be complemented with MR data on the same sample obtained with a magnetic field perpendicular to the strip plane (polar magnetoresistance, PMR). We also report on the temperature dependence of the zero-field resistivity between 3 K and 300 K.
As an extension of these studies, the Hall effect was also measured now on this nc-Ni foil. This was considered to be of interest since although the Hall effect has been intensively investigated on Ni metal both experimentally and theoretically (for some references see the reviews by Jan [2] and Nagaosa et al. [3]), these studies were mainly performed either on bulk Ni samples in a well-annealed state, i.e., with large grain sizes or on thin films. The latter films were probably nanocrystalline, but at the same time, due to their small thickness, their transport properties certainly were also influenced by surface scattering effects. On the other hand, from the viewpoint of the electronic transport, the present nc-Ni sample is of macroscopic size with a thickness of 9 μm and, thus, the electron transport processes are not affected by surface scattering effects. In this manner, the influence of a significant contribution from grain-boundary scattering due to the small grain size on the Hall effect can be studied. As a surprising result, it was obtained that although the residual resistivity of this nc-Ni was 11% of the room-temperature value, the anomalous Hall effect was found to be negligibly small at T = 3 K in comparison with the room-temperature value.
The paper is organized as follows. In Section 2, the investigated Ni sample and the measurement techniques will be presented. The experimental results for the temperature dependence of the resistivity, for the polar MR (PMR) behavior and for the Hall effect of the sample studied are described and discussed in Section 3, Section 4 and Section 5, respectively. A summary of the present results will be given in Section 6. In an Appendix A, the available Hall effect data on Ni metal are tabulated.

2. Materials and Methods

The results of resistivity and magnetotransport measurements presented here were obtained on a strip-shaped thin foil sample. For this purpose, a Ni foil (sample #B2 of Refs. 1 and 4) with 9 μm thickness was produced by electrodeposition according to the method as described in Ref. 5. Deposition was performed on a polished Ti sheet from which the Ni foil could be mechanically peeled off. A detailed structural characterization of this sample was described in Ref. 4 according to which the microstructure was a nanocrystalline state with an average crystallite size of about 75 nm.
A strip of about 1 mm wide and about 5 mm long was cut from the Ni foil and for the transport measurements with a four-point probe, spot-welded contacts were attached to the strip-shaped sample. About a dozen contact wires at both ends of the strip served for providing a homogeneous current flow along the strip length. Contact wires were attached at both long edges of the strip to measure the voltage drop along the strip length. By measuring the positions of the voltage wires along the strip, the resistivity of the measured section could also be determined.
By measuring the voltage drop across the strip, i.e., between contacts at both edges of the strip which were positioned at the same length position, the Hall voltage was obtained.
For the resistance measurements, a d.c. current with alternating sign was applied and the resulting d.c. voltage was recorded with a nanovoltmeter. The resistance probe could be inserted into the cryostat of a superconducting magnet with magnetic fields up to 140 kOe. In the cryostat, the sample temperature could be varied from 3 K to 300 K.

3. Temperature Dependence of the Resistivity

Recently, we have reported [4] that the room-temperature resistivity of this nc-Ni foil (sample #B2) was found to be ρ = 8.78 μΩcm. This is larger than the standard value of coarse-grained bulk Ni (ρ = 7.24 μΩcm [6,7]).
The temperature dependence of the resistivity of nc-Ni measured from 3 K to 300 K in zero magnetic field and normalized to the room-temperature value is displayed in Figure 1.
According to the data in Figure 1, the residual resistivity of the nc-Ni foil with a crystallite size of 75 nm is about 11% of the room temperature resistivity. For other electrodeposited Ni foils with estimated crystallite sizes of about 30 to 50 nm, we have previously reported [8] residual resistivities of about 40% of the room temperature values. Since in nanocrystalline metals an excess scattering at grain boundaries contributes to the resistivity [8] and since this contribution increases with decreasing crystallite size, the difference between the normalized residual resistivities for the two cases is understandable. The excess grain boundary scattering is also responsible for the higher room-temperature resistivity of the nc-Ni foil in comparison with the bulk value.

4. Magnetoresistance in Out-of-Plane Magnetic Fields at T = 3 K and 300 K

Since in both the transverse (TMR) and polar (PMR) configurations the current flow is in the plane of the foil strip, and the magnetic field is in both cases perpendicular to the measuring current (TMR: in-plane (IP) magnetic field; PMR: out-of-plane (OP) magnetic field), it is reasonable to present the PMR(H) data in comparison with the TMR(H) data.
Figure 2a,b show the field dependence of the resistivity for the nc-Ni foil in the PMR and TMR configurations at T = 3 K and T = 300 K, respectively. The overall behavior of the PMR(H) curves is rather similar to the corresponding TMR(H) curves at both temperatures which latter were presented in Ref. 1. The major difference between the PMR(H) and TMR(H) curves is that the saturation field (Hs) which is approximately marked by the minimum at T = 3 K and by the break at T = 300 K in the field evolution of the resistivity is larger for PMR than for TMR. The saturation field is influenced by the magnetic anisotropies present and by the demagnetizing effects. Since the latter is much stronger in the polar direction, the saturation field is much larger for the PMR component. On the other hand, the magnetic anisotropies and the demagnetizing effects, the latter scaling with the magnetization, usually do not depend strongly on temperature, therefore the saturation fields do not change significantly between 3 K and 300 K.
In order to better illustrate the different field dependence of the resistivity with magnetic field in the saturation region between 3 K and 300 K, Figure 2c shows the MR ratio for the PMR component at both temperatures (the qualitative behavior would be very similar also for the TMR component). One can see a resistivity increase at low temperatures due to the ordinary magnetoresistance (OMR) contribution and a decrease of the resistivity at room temperature due the magnon-suppression contribution [1].
In Ref. 1, the in-plane magnetoresistance data were evaluated with the help of the Kohler plots from which the zero-induction resistivities ρL(B=0) and ρT(B=0) could be derived. We applied here the same analysis for the PMR data to obtain ρP(B=0). (The subscripts ‘L’, ‘T’ and ‘P’ correspond to LMR, TMR and PMR, respectively.)
In the case of the in-plane magnetic field configurations (LMR and TMR), one can safely neglect the fairly small in-plane demagnetizing fields when constructing the Kohler plots and, therefore, we could use the relation B = H + 4πMs [1]. However, in the PMR configuration, we have to take into account the large out-of-plane demagnetizing field Hd = NcMs where Nc is the demagnetizing factor in the direction perpendicular to the foil plane. Therefore, we have B = H + 4πMs – Hd [9,10]. By substituting for Hd, we get B = H + 4πMs – NcMs which can be written in the form B = H + 4πMs (1 – Nc/4π) For sufficiently thin foil samples, we first assume that Nc/4π = 1[11] which leads to B = H (we will examine later the case when Nc/4π < 1).
From the zero-induction resistivities, the AMR parameters can be derived as follows. An in-plane AMR ratio is defined as AMRIP = Δρ(AMRIP)/ρis where the in-plane resistivity anisotropy splitting Δρ(AMRIP) is given by the difference [ρL(B=0) – ρT(B=0)] and the isotropic resistivity ρis is defined as ρis = [ρL(B=0) + 2 ρT(B=0)]/3. In Ref. 1, we obtained the following in-plane AMR parameters for the nc-Ni foil from the Kohler plot analysis:
T = 3 K: AMRIP = 1.62%, Δρ(AMRIP) = 0.0157 μΩ·cm and ρis = 0.9692 μΩ·cm;
T = 300 K: AMRIP = 1.91%, Δρ(AMRIP) = 0.168 μΩ·cm and ρis = 8.78 μΩ·cm.
Since the magnetic field is perpendicular to the measuring current in both the TMR and PMR configurations, we can define another AMR ratio as was done also for the Co-Ni alloys [12]. An out-of-plane AMR ratio (AMROP) is defined analogously to AMRIP by using the ρL(B=0) and ρP(B=0) values (and, likewise, an out-of-plane resistivity anisotropy splitting Δρ(AMROP)). These derived out-of-plane parameters for the nc-Ni foil were as follows:
T = 3 K: AMROP = 1.64%, Δρ(AMROP) = 0.0159 μΩ·cm and ρis = 0.9691 μΩ·cm;
T = 300 K: AMROP = 1.89%, Δρ(AMROP) = 0.166 μΩ·cm and ρis = 8.78 μΩ·cm.
A comparison of the corresponding data of the in-plane and out-of-plane results reveal a good agreement of the two datasets. For a polycrystalline macroscopic (bulk) foil-shaped sample, the magnetoresistance should be the same if the magnetic field is oriented in any direction in a plane perpendicular to the current flow direction. As a consequence, an agreement of the AMR parameters for the IP and OP configurations is expected for the nc-Ni foil. This is because the investigated strip-shaped foil (with its physical dimensions of 5 mm x 1 mm x 9 μm) of the nc-Ni sample can be considered as a macroscopic specimen and, therefore, surface scattering effects do not contribute to the electrical transport parameters. Therefore, the fairly good agreement of the AMR parameters for the two configurations corresponds to expectation as was obtained also for the Co-Ni alloys previously [12]. It should be noted that Rijks et al. [13] demonstrated for Ni80Fe20 thin films that below about 100 nm thickness the out-of-plane AMR parameters show a deviation from the bulk values due to the non-negligible surface scattering effects on the electrical transport parameters in this thickness range.
At this point, we should make a note on the possible influence of demagnetizing effect on the evaluation of the magnetoresistance results in the PMR configuration in which the magnetic field is oriented perpendicular to the foil plane. Namely, for a finite size ferromagnetic slab such as the foil specimen used for the present magnetoresistance measurements which has the physical dimensions given in the previous paragraph, substantial demagnetizing effects may arise which can have an influence on the field evolution of the resistivity as discussed in a previous paper [14]. Since the demagnetizing effect is especially large in the PMR configuration, we have estimated the demagnetization factors Na, Nb and Nc for a slab with the axis lengths a = 5 mm, b = 1 mm and c = 9 μm which parameters correspond to the physical dimensions of our sample. By using the graphs in Ref. 11, in the general ellipsoid approximation the result was Na/4π = 0.001, Nb/4π = 0.009 and Nc/4π = 0.99.
In preparing the Kohler plots above for the PMR configuration, we have made the assumption that B = H, i.e., we have neglected the in-plane demagnetizing effects by taking Nc/4π = 1. On the other hand, we could see in the previous paragraph that the actual value of Nc/4π for our sample is 0.99 and, therefore, we have created the Kohler plots also by using this Nc/4π value. It turned out that the ρP(B=0) value from the experimental ρP(B) vs B data with the help of the Kohler plot for both temperatures agreed well within experimental error with the value deduced for the case Nc/4π = 1. Thus, the AMR parameters and the isotropic resistivity determined for the PMR configuration are not influenced by neglecting the very small in-plane demagnetizing effects for such a thin nc-Ni foil.

5. Hall Effect Measurements

5.1. Experimental Results

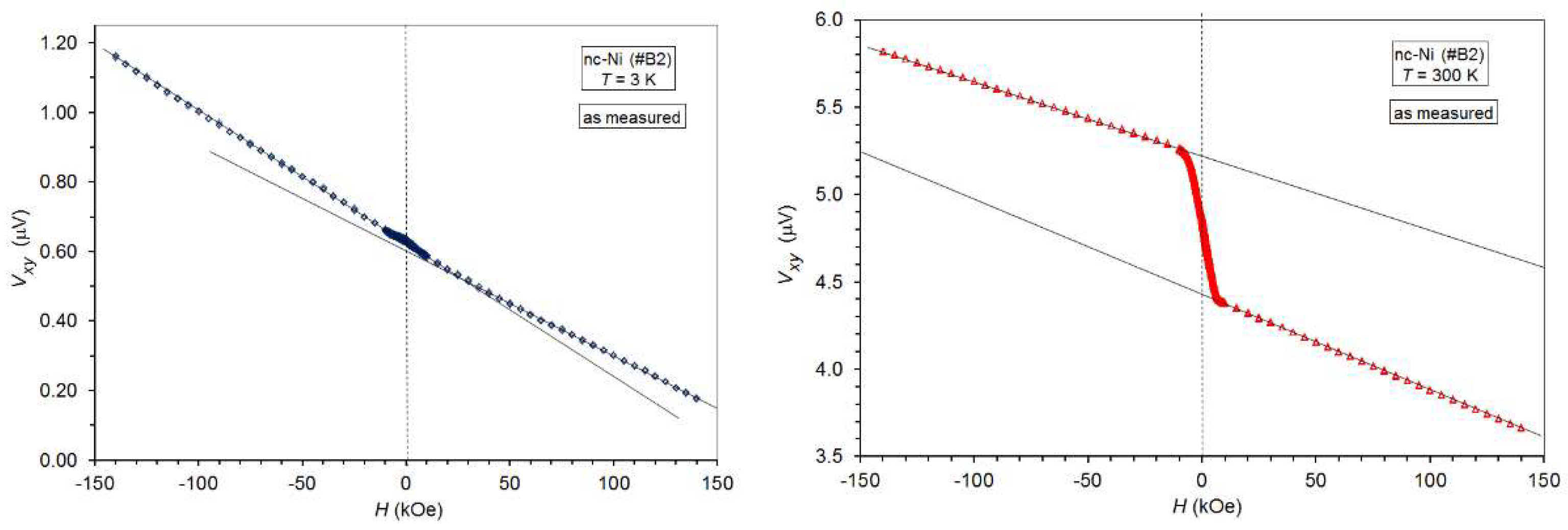
In the measurement of the Hall effect, the magnetic field H is oriented perpendicular to the plane of the thin foil sample and the voltage drop across the sample width is measured while using a current I along the long axis of the strip (see Figure 1 of Ref. 9 or Figure 1a of Ref. 10). In this configuration, the current direction is along the x-axis, the voltage drop is measured along the y-axis and the magnetic field is oriented along the z-axis. This experimentally measured voltage is denoted as Vxy where the indices refer to the current direction and to the direction along which the voltage drop is measured, respectively.
The field evolution of the measured voltage Vxy for the nc-Ni foil at both temperatures is displayed in Figure 3. At room temperature, Vxy sharply increases with magnetic field in both field directions and beyond a given magnetic field value a nicely linear behavior can be observed with different slopes in the H < 0 and H > 0 field ranges. Some hysteretic behavior can also be observed at high resolution around H = 0 (not shown). At low temperature, the low-field strong rise and the hysteresis can hardly be observed even at high resolution, but the high-field data exhibit a similarly linear behavior as observed at room temperature, even including the different slopes in the H < 0 and H > 0 field ranges.
One can also observe that there is a fairly large background voltage (i.e., Vxy(H=0) is not zero) and it is even strongly temperature dependent. This background voltage and also the difference in the high-field slopes for the H < 0 and H > 0 field ranges do not have anything to do with the Hall effect. Therefore, they should be eliminated from the measured data before we can analyze the field dependence of the true Hall voltage and Hall resistivity from which the Hall coefficients can be deduced.
The major source of the observed background voltage in our measurements is certainly due to a small misalignment of the positions of the two Hall contacts along the length of the foil strip which are placed at the opposite strip edges. Such a misalignment is hardly avoidable except for lithographically prepared Hall contacts which was not the case here. Due to the misalignment, there will be a small voltage Vxx(H) present even at zero magnetic field. As we will see later, the true Hall resistivity ρHall(H) = ρxy(H) is much smaller than the zero-field resistivity ρxx(H=0) measured along the current flow direction. Therefore, the true Hall voltage VHall is also very small and the relatively large Vxx(H) voltage due to the misalignment effect appears superimposed on the true Hall effect as a background voltage.
Furthermore, since Ni is a ferromagnetic metal, its resistivity ρxx changes in a magnetic field [9], thus we definitely have a field dependent voltage contribution Vxx(H) as well which can be made responsible for the difference in the high-field slopes of the measured Vxy(H) curves for the H < 0 and H > 0 field ranges. Therefore, the measured Vxy(H) voltage will consist of two contributions:
Vxy(H) = VHall(H) + Vxx(H)
where VHall(H) is the true Hall voltage of interest. For eliminating the unwanted Vxx(H) term from the measured signal, we will invoke the Onsager relations for conductivity [9,15]. Adapting these symmetry relations for our context, we arrive at the following expressions:
Vxx(–H) = Vxx(H),
VHall(–H) = –VHall(H).
The first expression tells us that the resistance voltage Vxx(H) is an even function of the magnetic field whereas according to the second expression, the true Hall voltage VHall(H) is an odd function of the magnetic field. Although one may have concerns about the applicability of the Onsager relations for some specific cases, they are definitely valid for the high-field Hall effect data, i.e., for the magnetically saturated state and, as we will see later, our evaluation will rely on the high-field data only.
Since we have measured Vxy(H) data for both H < 0 and H > 0, we can effectively eliminate the unwanted Vxx(H) term by combining the above three equations. We can easily arrive in this manner at an expression for the true Hall voltage for H ≥ 0 field values as
VHall(H) = [Vxy(H) – Vxy(–H)]/2.
The Hall voltage VHall(H) obtained will have no background voltage anymore and also the slope of the high-field data will correspond to the average of the slopes of the original measured Vxy(H) data for the H < 0 and H > 0 field ranges. However, we will not show the true VHall(H) data, but rather convert these Hall voltage values directly into Hall resistivity data ρHall(H) = ρxy(H) to make the derivation of the Hall coefficients of interest more straightforward.

5.2. Data Evaluation: Derivation of the Hall Coefficients

According to Figure 1 of Ref. 9, the Hall resistivity ρHall can be obtained from the Hall voltage VHall as
ρHall = VHall t/I.
In this expression, t is the sample foil thickness and I is the current along the x direction. For the investigated nc-Ni sample (#B2), we have t = 9 μm and the measuring current was I = 10 mA. By using these values, we have converted the VHall(H) data into ρHall(H) data and the results are shown in Figure 4 for both temperatures. It should be noted that, actually, we have displayed here the Hall resistivity as a function of the magnetic induction B. The reason for this is that, from the viewpoint of electrical transport, the effective field acting on the electron trajectories in a metallic ferromagnet is B [9]. On the other hand, as discussed in Section 4, due to the large demagnetizing field in a thin foil such as our nc-Ni specimen, when measuring the Hall effect with the magnetic field perpendicular to the foil plane beyond magnetic saturation, the relation B = H holds to a great accuracy (later, when evaluating the Hall coefficients, we will return to this point again).
For the evaluation of the Hall effect data presented in Figure 4, we should recall that it is customary to partition the Hall resistivity in two terms [9,16]:
ρHall(B) = Ro B + 4πMs Rs.
The first term is the ordinary Hall effect present in any conductor and arises due to the Lorentz force acting on the trajectories of electrons moving in a magnetic field [9]. It is usually linear in B and the quantity Ro is the ordinary Hall coefficient from which the effective current carrier density of the conductor can be estimated [17,18]. The second term occurs in any metallic ferromagnet and is proportional to the saturation magnetization Ms with the proportionality constant Rs. This term is called with various names such as extraordinary or anomalous or spontaneous Hall effect. We will adhere to the currently most frequently used term “anomalous Hall effect” [3]. The quantity Rs is the anomalous Hall constant where the subscript s is used to denote that this effect is connected with the presence of a spontaneous magnetization.
A brief glance at Figure 4 reveals that, indeed, our experimental results in the high-field region can be well described with eq. (5). Namely, above a critical magnetic field/induction, the Hall resistivity increases linearly with B as typical for pure Ni metal (see, e.g., Figure 1 of Ref. 3). The critical induction is achieved when the magnetization is fully saturated perpendicular to the foil plane, i.e., along the magnetic induction vector. This saturation induction value is just 4πMs indicated for 300 K with the vertical line. It corresponds approximately to the induction value beyond which the resistivity increases linearly with induction as in any conductor since the magnetization is already fully saturated for high fields (apart from a weak paraprocess discussed later). The saturation magnetization at 3 K is 5% higher than the room-temperature value and, therefore, the saturation induction at 3 K is only slightly higher than at room temperature so it is not indicated separately.
From the fit parameter values given in Figure 4, with the help of eq. (5) we can derive the following Hall coefficient values:
T = 3 K: Ro = -0.308(15)·10-12 Ω cm/G Rs = -0.144(22)·10-12 Ω cm/G
T = 300 K: Ro = -0.439(22)·10-12 Ω cm/G Rs = - 5.87(30)·10-12 Ω cm/G
The figures in the brackets refer to the error in the last digit of the parameter values and were obtained by taking into account that the thickness determination of our nc-Ni has an accuracy of ±5% for each parameter value which comes in when converting the measured VHall voltages to Hall resistivities according to eq. (4). The errors of the fit parameters as indicated in the textboxes in Figure 4 are much smaller than 5% except for the value of Rs(3K) where the fit error of about 10% was also included in the above specified error for this parameter.
As we can see in Figure 4, Ro changes only slightly with temperature whereas Rs exhibits a strong temperature dependence. These features correspond well to the known behavior of the ferromagnetic metals [16]. In Section 5.3, we will discuss in more detail our results for the nc-Ni sample in comparison with all available results for pure Ni metal. Before doing that, we make some comments on two issues which have relevance for the accuracy of the value of our data.
As already noted in Section 4. the relation B = H is valid for a magnetic field perpendicular to the plane of the investigated ferromagnetic foil, which is just the case for the Hall effect measurement, only if the demagnetizing factor of the specimen along the field direction (Nc/4π) is equal to 1. It was shown in Section 4 that for the particular specimen used for the Hall effect measurement Nc/4π = 0.99. We have checked that this slight deviation of Nc/4π from unity has a minor influence only on the Hall coefficient Rs (the coefficient Ro is independent of the demagnetizing factor). Namely, the difference of the Rs values for the Nc/4π = 0.99 and 1 cases is of the order of 0.1% only, which is much less than the other possible errors.
The other issue is connected with the so-called paraprocess, i.e., the slight increase of Ms in high magnetic fields, which is present also in Ni metal. This increase is linear and can be characterized with a high-field susceptibility χHF. For Ni metal, χHF(300K) = 52.1·10-6 emu/cm3 [19]. Furthermore, at 300 K we have 4πMs(B=0) = 6080 G and the increase of the magnetization due to the paraprocess from B = 0 to B = 140 kG amounts to 91.6 G, i.e., the relative increase is about 1.5% only. This means that at 300 K the measured slope of the ρHall(B) vs B curve is by this amount larger due to the paraprocess than the true slope. Consequently, the extrapolated ρHall(B=0) = 4πMs Rs value obtained in Figure 4 according to eq. (5) and from which Rs is derived is smaller by 1.5% than the true value. All this means that the error due to neglecting the paraprocess influence in Figure 4 causes an error of about 1.5% only in the derived Ro and Rs values at 300 K which is fairly small. Since χHF(4.2.K) = 16.9·10-6 emu/cm3 for Ni metal [19], the error of the Hall coefficients due to the paraprocess is even smaller by a factor of 3 than at 300 K.

5.3. Discussion and Comparison with Literature Results on Ni Metal

The available experimental data [20,21,22,23,24,25,26,27,28,29,30,31,32,33,34,35,36,37,38,39,40,41] of the Hall coefficients of Ni metal are summarized in Table A1Table inTable theTable A1 in the Appendix A. Some important characterization of the investigated samples (e.g., purity and room-temperature resistivity) are also included in the table in case such details were specified in the reports. In the two subsequent subsections, the ordinary and the anomalous Hall coefficients will be separately discussed and our present data will be evaluated in the light of previous corresponding results.

5.3.1. Ordinary Hall Coefficient of Ni Metal

For non-magnetic metals, the ordinary Hall effect can be expressed as Ro = -1/(ne) in the free-electron model of Drude [17,18] where n is the number of electrons in a unit volume and e is the electronic charge (here, e > 0). Actual values of the experimental Ro values show evidently deviations from this expression in as much the metal electronic band structure cannot be described by the free-electron approximation. This is clearly demonstrated by Table 1.4 of Ashcroft and Mermin [17] and Table 11.4 of Mizutani [18].
The situation is rather similar for magnetic metals and alloys since their electronic band structure clearly deviates from the free-electron model. Nevertheless, their Ro values are comparable with those of the non-magnetic metals.
For metallic ferromagnets, the electrical transport processes are usually discussed in the light of the two-band model by dividing the charge carriers into a spin-up (majority electrons, ↑) and a spin-down (minority electrons, ↓) conduction channel. Campbell [42] extended this model also for the ordinary Hall coefficient. In particular, he pointed out that for very pure metals at low temperatures, i.e., for long electron mean-free paths, the resulting value of Ro will lie somewhere between the individual Ro↑ and Ro↓ values, depending on the ratio α = ρo↓/ρo↑ of the dominant residual impurity where ρo↓ and ρo↑ are the residual resistivities of the spin-down and spin-up conduction channels, respectively. This explains the large scatter of experimental Ro values of various studies of sufficiently pure metals at low temperatures as we will see also for the case of Ni below.
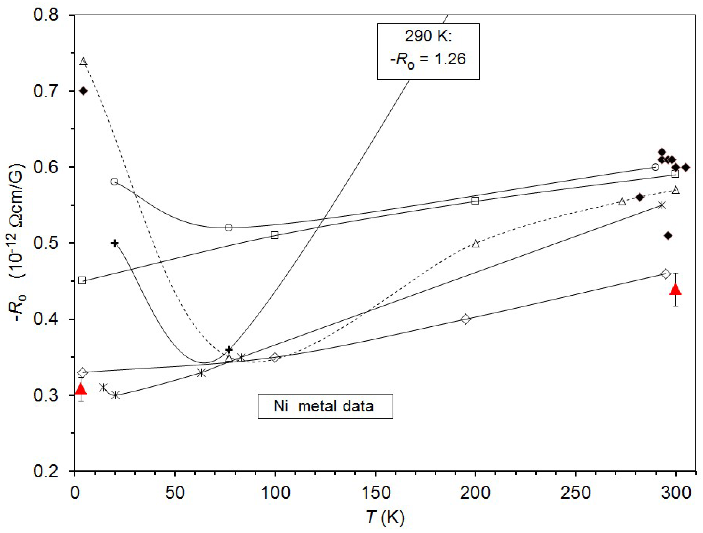
The value of Ro in metals is usually weakly temperature dependent only. According to Figure 5, this is also the case for Ni metal. In most studies, a weak reduction of Ro was observed from room temperature to the liquid-helium range. The only exception is the series by Smit [25] on carbonyl Ni (crosses in Figure 5) where a strong temperature dependence was obtained due to the very high room-temperature value. This latter result is rather strange and unexplainable especially that in the same study the other, commercial Ni sample (circles in Figure 5) of definitely lower purity exhibited a room-temperature Ro value which fitted well into the other data.
Our data for the nc-Ni metal sample (red filled triangles) fit well onto the literature data both for the magnitude and the temperature evolution. This also implies that the nanocrystalline state does not have a significant influence on the ordinary Hall coefficient in Ni metal. This is actually expected since neither the electron density nor the electronic band structure differs for the nanocrystalline and the bulk states at the grain size range of our sample.
The strong low temperature upturn of Ro for two series (open triangles and crosses) may be ascribed to the effect described above by Campbell [42] since in these two reports [22,25] very high-purity Ni was used. Above this temperature range, we could not identify specific sample details in the reports which could unambiguously explain the scatter of the Ro data at a given temperature. This scatter can be in general attributed to slight differences in sample purity and heat treatment, both factors influencing the room-temperature and residual resistivity.
A source of error can also be the uncertainty of the sample thickness determination since this parameter is involved in the conversion of the measured true Hall voltages into Hall resistivities (see eq. (4) in Section 5.2). Furthermore, the value of Ro can also be underestimated if the Hall contacts are not exactly on the edge of the sample, but eventually cover also a small part of the upper strip surface. If that is the case, the measured voltage is smaller than the true Hall voltage which then results in a smaller slope of the VHall(H) and ρHall(H) curves.
Also, we could see in Section 5.1 that the slopes of the high-field region of the Vxy vs H curves are different in the H < 0 and H > 0 field ranges. If this difference has not been eliminated because the Vxy voltages were measured with one field direction only, this can clearly influence the value of Ro which parameter is just the slope of the ρHall vs H curves. Unfortunately, in the reports on Ni Hall effect, no mention is made about this issue.
Summarizing the above considerations about the Hall effect data, one can conclude that according to the available reliable data collected in Figure 5, the average values for the ordinary Hall coefficient of pure Ni metal can be taken as Ro(300 K) = -0.5(1)·10-12 Ω cm/G and Ro(0 K) = -0.4(1)·10-12 Ω cm/G.
We will now make a brief note on the temperature dependence of the ordinary Hall coefficient. As we could see in Figure 5 in the results of several reports, Ro decreases approximately linearly from 300 K down to about 100 K. The lattice parameter and the volume of metals also exhibits a nearly linear reduction in the same temperature range (see, e.g., the lattice parameter results of Eastman et al. [43] on Pd). Since in the free-electron model of Drude Ro depends on the number of electrons in a unit volume, it may be interesting to compare the temperature coefficients of the thermal expansion and Ro. In the Drude model, we have Ro = 1/(ne) with n = Ne/V where Ne is the number of electrons in the sample and V is the sample volume. Therefore, after substituting we have Ro = 1/(ne) = (V/Ne)/e. It follows from this that Ro ∝ V. This proportionality means that the temperature coefficient of these two quantities are equal: (1/Ro)(∂Ro/∂T) = (1/V)(∂V/∂T). If we take now the results of Volkenshtein and Fedorov [20] (see open circles in Figure 5) as representative data for the temperature dependence of Ro between 100 K and 300 K, we obtain αRo = (1/Ro)(∂Ro/∂T) = 1000 ppm/K. At the same time, the average linear thermal expansion coefficient of Ni metal in the temperature range between 100 K and 300 K is αl = (1/l)(∂l/∂T) = 10(3) ppm/K [44] where l is the length. On the other hand, the relation αV = 3 αl also holds, so finally we end up with αV = (1/V)(∂V/∂T) = 30 ppm/K. It follows from these data that αRo = 33 αV, i.e., the temperature coefficient of the ordinary Hall coefficient is larger by more than an order of magnitude than the thermal coefficient of the volume expansion. This result emphasizes again that the simple free-electron picture in which Ro depends only on density of charge carriers can by far not properly account for the ordinary Hall coefficient of transition metals, including the ferromagnetic ones, which exhibit both s- and d-conductions bands. Therefore, the explanation of Ro should invoke a model based on the electronic band structure of the metal [42,45].

5.3.2. Anomalous Hall Coefficient of Ni Metal

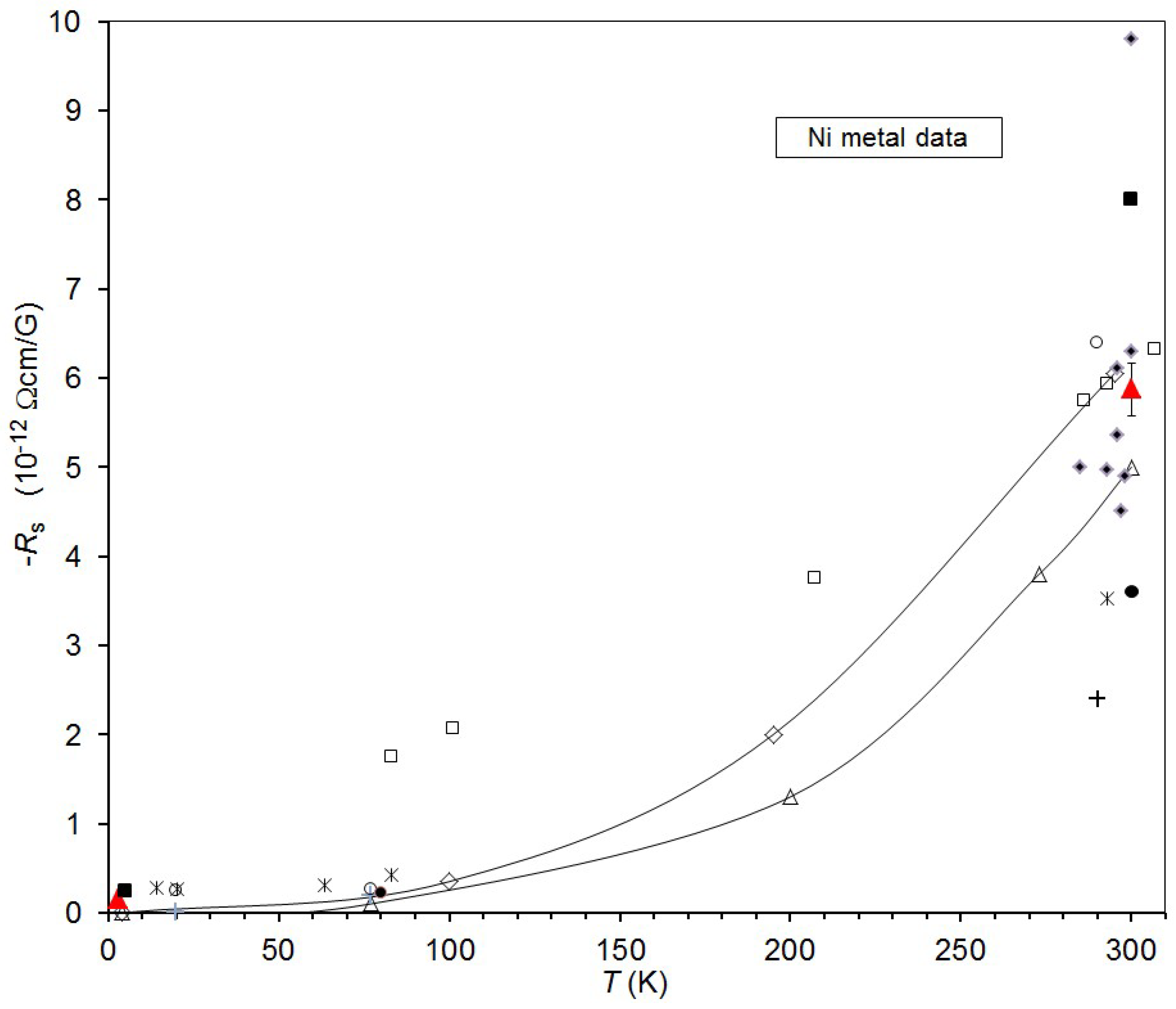
In contrast to the ordinary Hall coefficient, the anomalous Hall coefficient Rs has a strong temperature dependence as shown in Figure 6. In spite of the large scatter of the data around room temperature, the trend is clear in that Rs continuously decreases towards lower temperatures as indicated by two data series (diamond and open triangle symbols connected with solid lines). Actually, the results of Refs. 26, 37 and 39 not shown in detail in Figure 6 strongly confirm this trend. According to most of the reports, Rs takes an at least 10 times smaller value below about 100 K than the room-temperature value for any of the samples studied and it rapidly approaches to zero towards T = 0 K.
It should be noted that in addition to the error sources listed for Ro in Section 5.3.1, if the specimen demagnetization factor along the magnetic field direction for the Hall effect measurement was not equal to that of a very thin plate (i.e., Nc/4π = 1) and this fact was not properly taken into account, an error due to this in the actual Rs value may have also contributed to the large scatter of the anomalous Hall coefficient at a given temperature. As to the average room-temperature Rs value, in view of the data of Figure 6 it can only be estimated to lie at about Rs(300K) = -5·10-12 Ω cm/G with a fairly large uncertainty of at least ±20%.
Since the observed temperature dependence of Rs strongly resembles the evolution of the resistivity of Ni with temperature [6,7], it was early recognized that the anomalous Hall coefficient should scale with the zero-field resistivity ρxx. This can be well observed also for the collected Rs data on Ni metal which are displayed in Figure 7 where the Rs vs. ρxx correlation is shown with the temperature as internal parameter. It should be noted that in both Figure 6 and Figure 7, we have omitted the Rs(294K)= -19.7·10-12 Ω cm/G value of Gerber et al. [40] on a Ni thin film since the room temperature resistivity of this film was also extremely large ρxx = 17.5 μΩ cm.
The experiments in a given report have usually been evaluated by describing the data assuming a relation of the form Rs ∝ (ρxx)β. Various theoretical models have also been elaborated yielding an exponent β = 1 or β = 2 depending on the type of contribution to Rs. The experimental β value was either 1 or 2 if one of the assumed contributions was only present, but very often intermediate values have also been obtained which may have indicated the presence of both types of contributions. However, it was pointed out by Kaul [22] that the intermediate β values may have also resulted from the fact that in different temperature intervals different contributions can be present or can be the dominant one.
This is clearly seen in Figure 7 where, in spite of the significant diversity of the experimental results, the data points of several studies connected by solid lines strongly suggest that at least in the low-resistivity range (roughly below 300 K) the relation Rs ∝ ρxx, i.e., β = 1 holds here which speaks for a dominance of so-called skew scattering mechanism (to be discussed below in more detail). Furthermore, in this temperature range the trend is clear that as ρxx ⟶ 0 also Rs ⟶ 0. Unfortunately, the magnitude of the proportionality factor of the relation Rs ∝ ρxx varies from study to study.
The scatter of Rs data is even higher for the resistivity range ρxx >7.24 μΩ cm. Nevertheless, the data suggest that the relation Rs ∝ ρxx changes with the increase of ρxx into a relation Rs ∝ (ρxx)β with β > 1. Actually, Kaul [26] demonstrated that for higher resistivities (higher temperatures) the behavior can be best described for Ni with the relation Rs = a ρxx + b ρxx. In view of the large scatter of the data in Figure 7, it would be highly desirable to carry out another study similar to that of Kaul [26] on a structurally well-characterized, sufficiently pure bulk Ni sample. It could be attempted only after this to establish in detail which possible mechanism in which temperature range gives the dominant contribution to the anomalous Hall effect (AHE) in Ni metal. Here we only briefly summarize the evaluation framework in the light of the current level of theoretical understanding of the AHE [3].
In this framework, the total measured AHE conductivity can be decomposed into three contributions:
σxy(AH) = σxy(AH)intr + σxy(AH)skew + σxy(AH)sj.
The mechanism by which these three terms cause a current perpendicular to the longitudinal current yielding ρxx is illustrated in an illuminating manner in Figure 3 of Ref. 3. The first term is the intrinsic contribution which depends only on the electronic band structure of the perfect crystal and this is the reason to call it as intrinsic. Since it derives from interband coherence effects, it causes a deflection of electrons without involving scattering effects. It can be usually calculated by band structure methods (see, e.g., the work of Ködderitzsch et al. [46]) and it can be derived experimentally as well (see, e.g.,. Ref. 39). The other two mechanisms involve electron scattering events. The second term, the so-called skew mechanism arises from asymmetric scattering due to the effective spin-orbit coupling of the electron or the impurity. The last term, the so-called side-jump mechanism arises because the electron velocity is deflected in the opposite directions by the opposite electric fields experienced when an electron approaches and leaves an impurity. This term can be best obtained by subtracting the intrinsic and skew terms from total measured AHE conductivity. More details about the three mechanisms can be found in the extended review by Nagaosa et al. [3].
We make some notes on the results on our nc-Ni sample in comparison with data for bulk Ni metal. According to Figure 6, our data both at T = 3 K and 300 K for nc-Ni (red filled triangles) fit apparently well into the overall literature results. On the other hand, the situation is somewhat different on the basis of the data displayed in Figure 7. The most probable trend of the Rs vs. ρxx correlation for bulk Ni is indicated by the solid lines. One can see from this that the overall trend is best described by a relation Rs ∝ (ρxx)β with β being around 1 for low temperatures (low resistivities) indicating the dominance of the skew scattering mechanism here and β becoming somewhat larger than 1 for higher temperatures (higher resistivities). Our nc-Ni data point for T = 300 K (ρxx = 8.78 μΩ·cm) is definitely well above the trend line. This is even more so if we take into account that the larger room-temperature resistivity of our nc-Ni sample with respect to the room-temperature resistivity (ρxx = 7.24 μΩ·cm [6,7]) of bulk Ni is due to the large density of grain boundaries in the nanocrystalline state. Thus, we should conclude that whereas Figure 7 suggests us that at room temperature the bulk Ni anomalous Hall coefficient is about Rs = -3·10-12 Ω cm/G, in the nanocrystalline state with a crystallite size of about 75 nm, it is by almost a factor of two larger, namely Rs = -5.87·10-12 Ω cm/G. It means that, in addition to impurities, the large density of grain boundaries may also have a large influence on the value of Rs at least around room temperature.
Our low-temperature AHE result on the nc-Ni sample is also striking, but in another sense. We can namely see in Figure 7 that our Rs value at T = 3 K (with a resistivity of ρxx = 0.975 μΩ·cm) is already almost zero, i.e., it does not follow the trend for bulk Ni in that Rs should go to zero when ρxx goes to zero. More quantitatively, we have obtained for our nc-Ni AHE data that whereas the resistivity ratio is ρxx(3K)/ρxx(300K) = 0.11, the anomalous Hall coefficient ratio is Rs(3K)/Rs(300K) = 0.0245. Evidently, this anomaly should also be connected with the nanocrystalline state of our Ni sample. Although it is not clear what can be microscopic mechanism causing this difference in the induced Hall current, nevertheless it should have to do something with the fact that in pure bulk Ni the electron mean-free path at 3 K is typically well in the micrometer range whereas in the nanocrystalline state it is at most as large as the average distance between the grain boundaries, i.e., the average crystallite size. A major conclusion from these results is that at very low temperatures whereas a resistivity of about 1 μΩ·cm caused by impurities in bulk, coarse-grained Ni results in an Rs value of -0.25·10-12 Ω cm/G, at the same resistivity of a nc-Ni sample the Rs value is -0.0144·10-12 Ω cm/G only, i.e., by more than an order of magnitude smaller. It seems that the same magnitude of resistivity leads to quite different Rs values depending on whether the resistivity is due to impurities (chemical impurities or lattice defects) distributed (more or less uniformly) on an atomic length scale or due to grain boundaries which are spatially distributed on a much larger length scale corresponding to the average crystallite size.
Anyway, these results on nc-Ni underline the importance of studying more carefully the influence of grain boundaries on the AHE and this work is in progress.

6. Summary

In the present work, the temperature dependence of the resistivity as well as high-field magnetotransport data obtained at T = 3 K and 300 K are presented and discussed for a nanocrystalline Ni sample with an average crystallite size of 75 nm.
Due to the large density of grain boundaries which represent additional scattering centers, the room-temperature zero-field resistivity was found to be by about 20% higher than the value for bulk Ni, the latter resulting from the phonon term. Since the grain-boundary scattering does not change with temperature (static disorder in the Ni lattice), the resistivity at 3 K, i.e., the residual resistivity was only 11% of the room-temperature value. These features are in accordance with known results for nc-Ni [8].
In a previous work [1], the LMR and TMR data were measured with an in-plane magnetic field up to H = 140 kOe. In the present work, the resistivity was also measured with an out-of-plane magnetic field (polar magnetoresistance, PMR). From the difference of the magnetoresistances between the magnetically saturated state, an out-of-plane anisotropic magnetoresistance (AMR) could be derived. It was found that the out-of-plane AMR parameters were in fairly good agreement at both temperatures with the corresponding in-plane data [1], the latter obtained from the difference of the LMR and TMR data both measured with an in-plane magnetic field on the same nc-Ni foil. This agreement is actually an expected result since the foil thickness was 9 μm and, thus, no surface scattering effects occur.
The Hall effect data were obtained also up to 140 kOe at both temperatures with the magnetic field oriented perpendicular to the foil plane. The voltage drop Vxy across the width of the strip was measured for both positive and negative magnetic fields which enabled us to eliminate voltage contributions not related to the Hall effect. From the obtained true Hall voltages, the Hall resistivity ρxx(B) was determined. From the ρxx(B) functions the ordinary (Ro) and anomalous (Rs) Hall coefficients were derived.
The Hall coefficients Ro and Rs obtained for the nc-Ni sample fitted more or less into the large amount of literature data on Ni metal at both temperatures, although the latter ones exhibited a fairly large scatter at a given temperature. Nevertheless, it could be established that for Ni metal Ro decreases approximately linearly by about 20% from room temperature down to the liquid helium range. Our data indicate that the nanocrystalline state does not have a noticeable influence on Ro as expected by considering the origin of Ro.
The anomalous Hall coefficient Rs of Ni metal shows a drastic decrease with temperature, its value for bulk Ni is by more than an order of magnitude is smaller at around 4 K than at room temperature. Most of the data for bulk Ni suggest that at temperatures approaching towards T = 0, the relation Rs ∝ ρxx holds which indicates the dominance of the skew-scattering mechanism here. This also implies that as ρxx disappears for T ⟶ 0, the quantity Rs will also become zero for pure bulk Ni.
Our Rs data for the nc-Ni sample reveal some distinct features on the Rs vs. ρxx plot which certainly can be attributed to the nanocrystalline state. Our Rs value at T = 300 K seems to be higher than the corresponding value of bulk Ni. This suggest that the nanocystalline state may lead to an increase of the anomalous Hall effect at room temperature. On the other hand, the Rs value for nc-Ni at T = 3 K is definitely below that of a bulk Ni sample with the same resistivity ρxx. This might suggest that at low temperatures the Rs value may depend on whether the resistivity is caused by atomically distributed impurities or by well-localized grain-boundaries distributed on a much larger scale which may well be a mean-free path effect.
Nevertheless, our results have revealed that more efforts should be devoted to the studying the influence of the nanocystalline state on the AHE.

Author Contributions

I.B.: Conceptualization; formal analysis; ; data curation; writing—original draft preparation; writing—review and editing; funding acquisition; M.B.: methodology; writing—review and editing; funding acquisition; F.D.C. and A.T.K.: investigation.

Funding

This research was funded by the DFG within the priority program SPP 1666 and by the project CeNIKS co-financed by the Croatian Government and the European Union through the European Regional Development Fund, Competitiveness and Cohesion Operational Programme (Grant no. KK.01.1.1.02.0013).:

Institutional Review Board Statement

Not applicable.

Data Availability Statement

The data that support the findings of this study are available from the authors upon reasonable request.

Acknowledgments

One of the authors (I.B.) is indebted to the Humboldt Foundation, Germany for a one-month fellowship and to H. Ebert (Ludwig-Maximilians-Universität, München) for the kind hospitality during this research stay. The authors also acknowledge S.T.B. Gönnenwein and R. Gross (Walther-Meissner Institute for Low Temperature Research, Bavarian Academy of Sciences and Humanities, Garching) for generously putting the necessary experimental facility at our disposal in their laboratory for carrying out the electrical transport measurements described here. The nc-Ni sample was kindly provided by E. Tóth-Kádár.

Conflicts of Interest

The authors declare that they have no known competing financial interests or personal relationships that could have appeared to influence the work reported in this paper.

Author Declaration

Herewith, we declare that the work described has neither been published nor is under consideration for publication elsewhere and that its publication is approved by all authors.

Appendix A

Table A1. Nickel Hall coefficient data. Note: RT: room temperature; RRR: residual resistivity ratio; figures in brackets for the data from this work refer to the error in the last digit.
Table A1. Nickel Hall coefficient data. Note: RT: room temperature; RRR: residual resistivity ratio; figures in brackets for the data from this work refer to the error in the last digit.
T
(K)
Ro Rs ρ(RT)
μΩ cm)
Remarks
on sample
Reference
(10-12 Ω cm/G)
3 -0.308(15) -0.144(22) 8.78 ED nc-Ni, RRR = 9.1 This work
300 -0.439(22) -5.87(30)
4 -0.33 0
RRR = 57.2

Volkenshtein60 [20]
100 -0.35 -0.35
195 -0.40 -2.0
295 -0.46 -6.05
4 -0.45
8

Ni(99.99%), annealed

Dreesen60 [21]
100 -0.51
200 -0.555
300 -0.59
4.15 -0.74 0

JM Ni(99.999), annealed


Huguenin65 [22]
77 -0.35 -0.1
200 -0.50 -1.3
273 -0.555 -3.8
300 -0.57 -5
14.2 -0.31 -0.28

7.74


Electrolytic grade Ni


Jan+Gijsman52 [23]
20.4 -0.30 -0.27
63.3 -0.33 -0.31
83 -0.35 -0.43
293 -0.55 -3.53
83 -1.75 11.9

Commercial Ni


Jan52 [24]

101 -2.07 11.9
207 -3.76 11.9
286 -5,75 11.9
293 -5.93 11.9
307 -6.33 11.9
T
(K)
Ro Rs ρ(RT)
μΩ cm)
Remarks
on sample
Reference
(10-12 Ω cm/G)

20
-0.58 -0.25 7.2
commercial Ni

Smit55 [25]
77 -0.52 -0.27 7.2
290 -0.60 -6.4 7.2
20 -0.5 0.0 6.8 Carbonyl Ni
(99.88% Ni)
RRR= 115

Smit55 [25]
77 -0.36 -0.19 6.8
290 -1.26 -2.4 6.8
80 -0.22 7.55 Kaul79 [26]
300 -3.6
4.15 -0.70 0 JM spectr. pure Ni
RRR = 2200
Ehrlich68 [27]
282 -0.56 (Cu: 1.2 w/o; Co: 2.3 w/o) Foner53 [28]
293 -0.61 annealed/unannealed Schindler53 [29]
293 -0.62 -4.96 7.4 Jellinghaus60 [30]
296 -0.51 -6.1 7.61 Ni(99.9) Köster61 [31]
296 -0.61 -5.35 Pugh53 [32],
Smith10 [41]
297 -4.5 single-crystal Ni Hiraoka68 [33]
298 -0.61 -4.9 10.8 single-crystal film Galepov69 [34]
285 -5.0 Ni annealed; Hmax=3 kOe Kurbanniyazov73 [35]
305 -0.6 7.5 JM Ni, spectr. pure, ann. Roy69 [36]
300 -0.6 -6.3 7.7 99.9% Ni Lavine61 [37]
300 -0.6 -9.8 8.9 99.4% Ni
300 -6.7 Ni annealed; Hmax=3 kOe Kondorskii64 [38]
5 -0.23 8.8 evap. Ni film, 30 nm thick Ye12 [39]
300 -8.0
294 -19.7 17.5 evap. Ni film, 100 nm thick Gerber02 [40]

References

  1. Bakonyi; Czeschka, F.D.; Kiss, L.F.; Isnaini, V.A.; Krupp, A.T.; Palotás, K.; Zsurzsa, S.; Péter, L. Eur. Phys. J. Plus 2022, 137, 871. [CrossRef]
  2. Jan, J.P. Solid State Physics; Seitz, F., Turnbull, D., Eds.; Academic Press: New York, 1958; Vol 5, pp. 1–96. [Google Scholar]
  3. Nagaosa, N.; Sinova, J.; Onoda, S.; MacDonald, A.H.; Ong, N.P. Rev. Mod. Phys. 2010, 82, 1539. [CrossRef]
  4. Bakonyi; Isnaini, V.A.; Kolonits, T.; Czigány, Zs.; Gubicza, J.; Varga, L.K.; Tóth-Kádár, E.; Pogány, L.; Péter, L.; Ebert, H.  Philos. Mag. 2019, 99, 1139. [Google Scholar] [CrossRef]
  5. Bakonyi; Tóth-Kádár, E.; Pogány, L.; Cziráki, Á.; Gerőcs, I.; Varga-Josepovits, K.; Arnold, B.; Wetzig, K.  Surf. Coat. Technol. 1996, 78, 124. [Google Scholar] [CrossRef]
  6. Laubitz, M.J.; Matsumura, T.; Kelly, P.J. Can. J. Phys. 1976, 54, 92. [CrossRef]
  7. Bass, J. Chapter 1 in: Landolt-Börnstein - Group III, New Series; Springer-Verlag: Berlin, Heidelberg, New York, 1982; Vol. 15a, pp. 1–287. [Google Scholar]
  8.  Nanophase Materials. In NATO ASI Series E; Bakonyi, Tóth-Kádár, E., Tóth, J., Cziráki, Á., Fogarassy, B., Hadjipanayis, G.C., Siegel, R.W., Eds.; Kluwer Academic Publishers: Dordrecht, The Netherlands, 1994; Vol. 260, p. 423. [Google Scholar]
  9. Campbell, I.A.; Fert, A.  Transport Properties of Ferromagnets. In Ferromagnetic Materials; Wohlfarth, E.P., Ed.; North-Holland: Amsterdam, 1982; Vol. 3, p. Ch. 9. [Google Scholar]
  10. Bakonyi, Eur. Phys. J. Plus 2018, 133, 521. [CrossRef]
  11. Kiss, L.F.; Bakonyi, I. Magnetism 2024, 4, 173. [CrossRef]
  12. Bakonyi; Czeschka, F.D.; Isnaini, V.A.; Krupp, A.T.; Gubicza, J.; Varga, L.K.; Péter, L.; Magn, J. Magn. Mater. 2024, 591, 171683. [CrossRef]
  13. Rijks, T.G.S.M.; Lenczowski, S.K.J.; Coehoorn, R.; de Jonge, W.J.M. Phys. Rev. B 1997, 56, 362. [CrossRef]
  14. Péter, L.; Kiss, L.F.; Bakonyi, I.; Magn, J. Magn. Mater. 2025, 622, 172947. [CrossRef]
  15. Onsager, L. Phys. Rev. 1931, 38, 2265. [CrossRef]
  16. Coleman, R.V. AIP Conf. Proc. 1976, 29, 520.
  17. Ashcroft, N.W.; Mermin, N.D. Solid State Physics; Saunders College, Philadelphia, PA, U.S.A.: Tokyo; Holt-Saunders Japan, Ltd., 1976. [Google Scholar]
  18. U. Mizutani: Introduction to the Electron Theory of Metals; Cambridge University Press: Cambridge, 2001.
  19. Foner, S.; Freeman, A.J.; Blum, N.A.; Frankel, B.R.; McNiff, E.J., Jr.; Praddaude, H.C. Physical Review 1969, 181, 863. [CrossRef]
  20. Volkenstein, N.V.; Fedorov, G.V. Soviet Physics JETP 1960, 11, 48.
  21. Dreesen, J.A.; Pugh, E.M. Phys. Rev. 1960, 120, 1218. [CrossRef]
  22. Huguenin, R.; Rivier, D. Helv. Phys. Acta 1965, 38, 900.
  23. Jan, J.P.; Gijsman, J.M. Physica 1952, 18, 339. [CrossRef]
  24. Jan, J.P. Helv. Phys. Acta 1952, 25, 677.
  25. J. Smit. Physica 1955, 21, 877. [CrossRef]
  26. Kaul, S.N. Phys. Rev. B 1979, 20, 5122. [CrossRef]
  27. Ehrlich, A.C.; Rivier, D. J. Phys. Chem. Sol. 1968, 29, 1293. [CrossRef]
  28. Foner, S.; Pugh, E.M. Phys. Rev. 1953, 91, 20. [CrossRef]
  29. Schindler, A.E.; Pugh, E.M. Phys. Rev. 1953, 89, 295. [CrossRef]
  30. Jellinghaus, W.; de Andrés, M.P. Ann. Phys. 1960, 460, 187. [CrossRef]
  31. Köster, W.; Gmöhling, W. Z. Metallkunde 1961, 52, 713.
  32. Pugh, E.M.; Rostoker, N. The Hall coefficients reported by these authors have been obtained by their reevaluation of the original experimental data of Ref. 42. Rev. Mod. Phys. 1953, 25, 151. [Google Scholar] [CrossRef]
  33. Hiraoka, T. J. Sci. Hiroshima Univ. 1968, 32, 153.
  34. Galepov, P.S.; Kovalevich, A.A. Soviet Physics Journal 1969, 12, 937. [CrossRef]
  35. Kurbanniyazov, N.; Cheremushkina, A.V.; Akmuradov, B.A. Soviet Physics Journal;Fizika English translation of Izv. VUZ. 1973, 16(No. 4), 539 113.
  36. S.K. Dutta Roy and Subrahmanyam. Phys. Rev. 1969, 177, 1133. [CrossRef]
  37. Lavine, J.M. Phys. Rev. 1961, 123, 1273. [CrossRef]
  38. Kondorskii, E.I.; Cheremushkina, A.V.; Kurbaniyazov, N.; Fiz; Tverd. Tela;Sov. Phys. Solid State; English, Translator; 1964; Volume 6, p. 539 422. [Google Scholar]
  39. Ye, L.; Tian, Y.; Jin, X.F.; Xiao, D. Phys. Rev. B 2012, 85, 220403. [CrossRef]
  40. Gerber; Milner, A.; Karpovsky, M.; Lemke, B.; Habermeier, H.U.; Tuaillon-Combes, J.; Négrier, M.; Boisron, O.; Mélinon, P.; Perez, A.; Magn, J. Magn. Mater. 2002, 242-245, 90. [CrossRef]
  41. Smith, A.W. Phys. Rev. 1910, 39, 1.
  42. Campbell, I.A. Phys. Rev. Lett. 1970, 24, 269. [CrossRef]
  43. Eastman, J.A.; Fitzsimmons, M.R.; Thompson, L.J. Philos. Mag. B 1992, 66, 667. [CrossRef]
  44. Nix, F.C.; McNair, D. Phys. Rev. 1941, 60, 597. [CrossRef]
  45. Miedema, A.R.; Dorleijn, J.W.F. J. Phys. F 1977, 7, L27. [CrossRef]
  46. Ködderitzsch, D.; Chadova, K.; Minár, J.; Ebert, H. New J. Phys. 2013, 15, 053009. [CrossRef]
Figure 1. Temperature dependence of the normalized resistivity measured in zero magnetic field on the nc-Ni foil.
Figure 1. Temperature dependence of the normalized resistivity measured in zero magnetic field on the nc-Ni foil.
Preprints 202854 g001
Figure 2. Field dependence of the resistivity ρ at (a) T = 3 K and (b) T = 300 K for the nc-Ni foil with magnetic field orientations as indicated (TMR, PMR) in the magnetic field range from -10 kOe to +140 kOe. (c) Magnetoresistance ratio Δρ/ρo vs. magnetic field H at T = 3 K and 300 K.
Figure 2. Field dependence of the resistivity ρ at (a) T = 3 K and (b) T = 300 K for the nc-Ni foil with magnetic field orientations as indicated (TMR, PMR) in the magnetic field range from -10 kOe to +140 kOe. (c) Magnetoresistance ratio Δρ/ρo vs. magnetic field H at T = 3 K and 300 K.
Preprints 202854 g002
Figure 3. Field dependence of the measured voltage Vxy at T = 3 K (left panel) and T = 300 K (right panel) for the nc-Ni foil with the magnetic field oriented perpendicular to the foil plane. The straight lines through the data points in the high-field range are given only to indicate that at both temperatures the high-field slopes are different for the H < 0 and H > 0 field ranges.
Figure 3. Field dependence of the measured voltage Vxy at T = 3 K (left panel) and T = 300 K (right panel) for the nc-Ni foil with the magnetic field oriented perpendicular to the foil plane. The straight lines through the data points in the high-field range are given only to indicate that at both temperatures the high-field slopes are different for the H < 0 and H > 0 field ranges.
Preprints 202854 g003
Figure 4. Dependence of the Hall resistivity ρHall(B) on the magnetic induction B at T = 300 K and T = 3 K for the nc-Ni foil with the magnetic field oriented perpendicular to the foil plane. The dashed lines through the data points in the high-field range are the linear fits according to eq. (5) to the experimental data. The expressions in the text boxes describe the results of the linear fits in units of the axes.
Figure 4. Dependence of the Hall resistivity ρHall(B) on the magnetic induction B at T = 300 K and T = 3 K for the nc-Ni foil with the magnetic field oriented perpendicular to the foil plane. The dashed lines through the data points in the high-field range are the linear fits according to eq. (5) to the experimental data. The expressions in the text boxes describe the results of the linear fits in units of the axes.
Preprints 202854 g004
Figure 5. Ordinary Hall coefficient Ro data for Ni metal as a function of temperature. Key to symbols: π nc-Ni, sample #B2 (this work); ¯ Volkenshtein60 [20]; * Dreesen60 [21]; ρ Huguenin65 [22]; ✴ Jan+Gijsman [23]; ™ Smit55 (commercial Ni) [25]; + Smit55 (carbonyl Ni) [25]; ⟶ data reported at a single temperature from Refs. 27-32, 34, 36 and 37. In order to keep the ordinate scale at high resolution, the Ro(290K) value of Smit55 (carbonyl Ni) [25] is indicated in a textbox only.
Figure 5. Ordinary Hall coefficient Ro data for Ni metal as a function of temperature. Key to symbols: π nc-Ni, sample #B2 (this work); ¯ Volkenshtein60 [20]; * Dreesen60 [21]; ρ Huguenin65 [22]; ✴ Jan+Gijsman [23]; ™ Smit55 (commercial Ni) [25]; + Smit55 (carbonyl Ni) [25]; ⟶ data reported at a single temperature from Refs. 27-32, 34, 36 and 37. In order to keep the ordinate scale at high resolution, the Ro(290K) value of Smit55 (carbonyl Ni) [25] is indicated in a textbox only.
Preprints 202854 g005
Figure 6. Anomalous Hall coefficient Rs data for Ni metal as a function of temperature. Key to symbols: π nc-Ni, sample #B2 (this work); ¯ Volkenshtein60 [20]; * Jan52 [24]; ρ Huguenin65 [22]; ✴ Jan+Gijsman52 [23]; ™ Smit55 (commercial Ni) [25]; + Smit55 (carbonyl Ni) [25]; λ Kaul79 [26]; ν Ye12 [39], 30 nm thick film; ⟶ data reported at a single temperature from Refs. 30-35, 37 and 38. Note: the error bar for our nc-Ni sample at T = 3 K is within the data symbol (red triangle).
Figure 6. Anomalous Hall coefficient Rs data for Ni metal as a function of temperature. Key to symbols: π nc-Ni, sample #B2 (this work); ¯ Volkenshtein60 [20]; * Jan52 [24]; ρ Huguenin65 [22]; ✴ Jan+Gijsman52 [23]; ™ Smit55 (commercial Ni) [25]; + Smit55 (carbonyl Ni) [25]; λ Kaul79 [26]; ν Ye12 [39], 30 nm thick film; ⟶ data reported at a single temperature from Refs. 30-35, 37 and 38. Note: the error bar for our nc-Ni sample at T = 3 K is within the data symbol (red triangle).
Preprints 202854 g006
Figure 7. Anomalous Hall coefficient Rs data for Ni metal as a function of the zero-field resistivity ρxx with the temperature as internal parameter. Key to symbols: π nc-Ni, sample #B2 (this work); * Jan52 [24]; ✴ Jan+Gijsman52 [23]; ™ Smit55 (commercial Ni) [25]; + Smit55 (carbonyl Ni) [25]; λ Kaul79 [26]; ν Ye12 [39], 30 nm thick film; ⟶ data reported at a single temperature from Refs. 26, 30, 31, 34 and 37. The solid lines connecting data points of a given series are just to indicate for bulk Ni the trend that with ρxx ⟶ 0 also Rs ⟶ 0. The vertical dashed line indicates the room-temperature value of ρxx for pure bulk Ni [6,7]. Note: the error bar for our nc-Ni sample at T = 3 K is within the data symbol (red triangle).
Figure 7. Anomalous Hall coefficient Rs data for Ni metal as a function of the zero-field resistivity ρxx with the temperature as internal parameter. Key to symbols: π nc-Ni, sample #B2 (this work); * Jan52 [24]; ✴ Jan+Gijsman52 [23]; ™ Smit55 (commercial Ni) [25]; + Smit55 (carbonyl Ni) [25]; λ Kaul79 [26]; ν Ye12 [39], 30 nm thick film; ⟶ data reported at a single temperature from Refs. 26, 30, 31, 34 and 37. The solid lines connecting data points of a given series are just to indicate for bulk Ni the trend that with ρxx ⟶ 0 also Rs ⟶ 0. The vertical dashed line indicates the room-temperature value of ρxx for pure bulk Ni [6,7]. Note: the error bar for our nc-Ni sample at T = 3 K is within the data symbol (red triangle).
Preprints 202854 g007
Disclaimer/Publisher’s Note: The statements, opinions and data contained in all publications are solely those of the individual author(s) and contributor(s) and not of MDPI and/or the editor(s). MDPI and/or the editor(s) disclaim responsibility for any injury to people or property resulting from any ideas, methods, instructions or products referred to in the content.
Copyright: This open access article is published under a Creative Commons CC BY 4.0 license, which permit the free download, distribution, and reuse, provided that the author and preprint are cited in any reuse.
Prerpints.org logo

Preprints.org is a free preprint server supported by MDPI in Basel, Switzerland.

Subscribe

Disclaimer

Terms of Use

Privacy Policy

Privacy Settings

© 2026 MDPI (Basel, Switzerland) unless otherwise stated