Submitted:
04 March 2025
Posted:
05 March 2025
You are already at the latest version
Abstract
Keywords:
I. Introduction
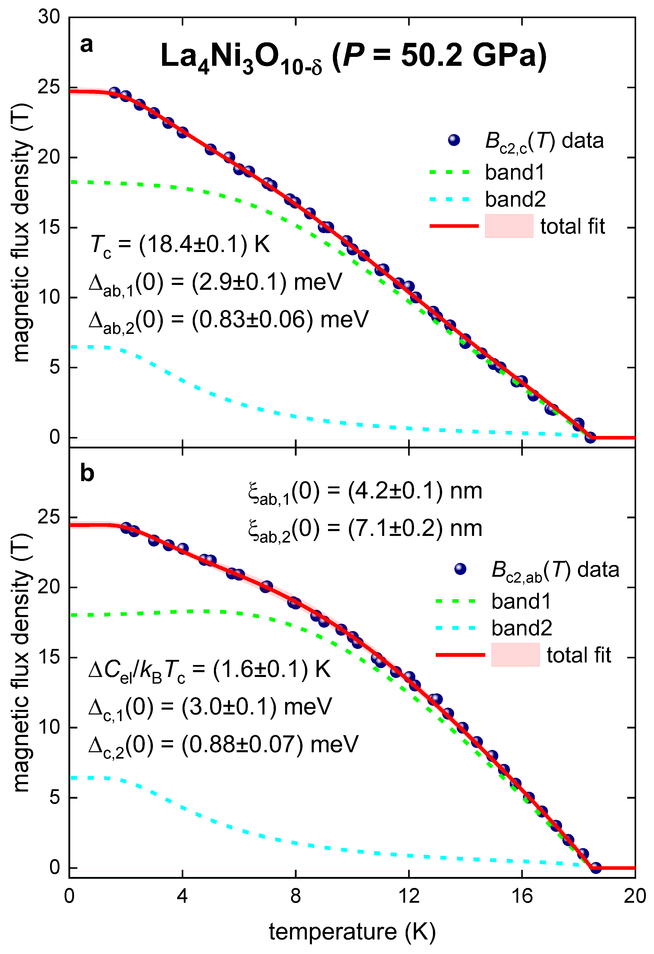
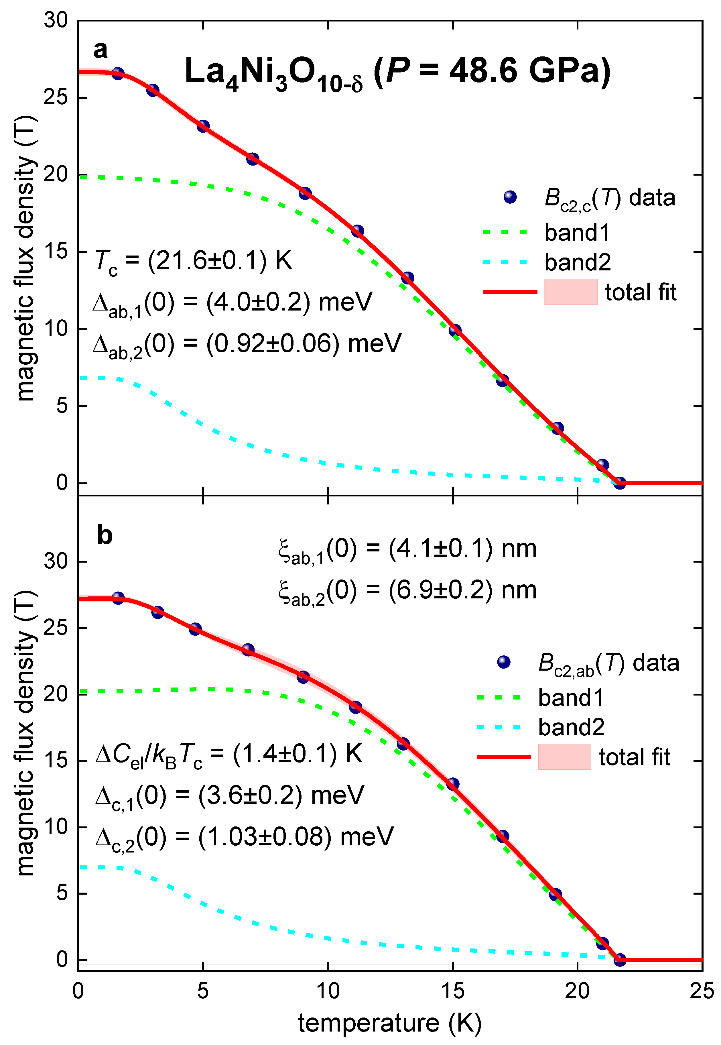
- La4Ni3O10-δ is two-band s-wave superconductor;
- Both superconducting gaps in La4Ni3O10-δ are practically isotropic;
- The largest anisotropy was revealed for the larger gap, for which the ratio of amplitudes is );
- Larger gap has and smaller gap has , which is similar to the ratios in ambient pressure MgB2 [33].
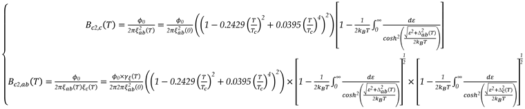
II. Developed Model
III. Results and Discussion
IV. Conclusions
- La4Ni3O10-δ is two-band s-wave superconductor;
- Both superconducting gaps in La4Ni3O10-δ are practically isotropic, where the largest anisotropy was revealed for the larger gap, for which the ratio of amplitudes is );
- Larger gap has and smaller gap has , which is similar to the ratios in ambient pressure MgB2 [33].
Acknowledgement
Conflict of Interest
References
- H. Sun, M. H. Sun, M. Huo, X. Hu, J. Li, Z. Liu, Y. Han, L. Tang, Z. Mao, P. Yang, B. Wang, J. Cheng, D.-X. Yao, G.-M. Zhang, M. Wang, Signatures of superconductivity near 80 K in a nickelate under high pressure, Nature 621 (2023) 493–498. [CrossRef]
- E. Zhang, D. E. Zhang, D. Peng, Y. Zhu, L. Chen, B. Cui, X. Wang, W. Wang, Q. Zeng, J. Zhao, Bulk superconductivity in pressurized trilayer nickelate Pr4Ni3O10 single crystals, (2025). http://arxiv.org/abs/2501.17709.
- J. Li, D. J. Li, D. Peng, P. Ma, H. Zhang, Z. Xing, X. Huang, C. Huang, M. Huo, D. Hu, Z. Dong, X. Chen, T. Xie, H. Dong, H. Sun, Q. Zeng, H. Mao, M. Wang, Identification of the superconductivity in bilayer nickelate La$_3$Ni$_2$O$_7$ upon 100 GPa, (2024). http://arxiv.org/abs/2404.11369.
- Y. Zhu, D. Y. Zhu, D. Peng, E. Zhang, B. Pan, X. Chen, L. Chen, H. Ren, F. Liu, Y. Hao, N. Li, Z. Xing, F. Lan, J. Han, J. Wang, D. Jia, H. Wo, Y. Gu, Y. Gu, L. Ji, W. Wang, H. Gou, Y. Shen, T. Ying, X. Chen, W. Yang, H. Cao, C. Zheng, Q. Zeng, J. Guo, J. Zhao, Superconductivity in pressurized trilayer La4Ni3O10−δ single crystals, Nature 631 (2024) 531–536. [CrossRef]
- Y. Zhang, D. Y. Zhang, D. Su, Y. Huang, Z. Shan, H. Sun, M. Huo, K. Ye, J. Zhang, Z. Yang, Y. Xu, Y. Su, R. Li, M. Smidman, M. Wang, L. Jiao, H. Yuan, High-temperature superconductivity with zero resistance and strange-metal behaviour in La3Ni2O7−δ, Nat Phys (2024). [CrossRef]
- N. Wang, G. N. Wang, G. Wang, X. Shen, J. Hou, J. Luo, X. Ma, H. Yang, L. Shi, J. Dou, J. Feng, J. Yang, Y. Shi, Z. Ren, H. Ma, P. Yang, Z. Liu, Y. Liu, H. Zhang, X. Dong, Y. Wang, K. Jiang, J. Hu, S. Nagasaki, K. Kitagawa, S. Calder, J. Yan, J. Sun, B. Wang, R. Zhou, Y. Uwatoko, J. Cheng, Bulk high-temperature superconductivity in pressurized tetragonal La2PrNi2O7, Nature 634 (2024) 579–584. [CrossRef]
- Z. Dong, M. Z. Dong, M. Huo, J. Li, J. Li, P. Li, H. Sun, L. Gu, Y. Lu, M. Wang, Y. Wang, Z. Chen, Visualization of oxygen vacancies and self-doped ligand holes in La3Ni2O7−δ, Nature 630 (2024) 847–852. [CrossRef]
- E.K. Ko, Y. E.K. Ko, Y. Yu, Y. Liu, L. Bhatt, J. Li, V. Thampy, C.-T. Kuo, B.Y. Wang, Y. Lee, K. Lee, J.-S. Lee, B.H. Goodge, D.A. Muller, H.Y. Hwang, Signatures of ambient pressure superconductivity in thin film La3Ni2O7, Nature (2024). [CrossRef]
- G. Zhou, W. G. Zhou, W. Lv, H. Wang, Z. Nie, Y. Chen, Y. Li, H. Huang, W. Chen, Y. Sun, Q.-K. Xue, Z. Chen, Ambient-pressure superconductivity onset above 40 K in bilayer nickelate ultrathin films, (2024). http://arxiv.org/abs/2412.16622.
- Y. Liu, E.K. Y. Liu, E.K. Ko, Y. Tarn, L. Bhatt, B.H. Goodge, D.A. Muller, S. Raghu, Y. Yu, H.Y. Hwang, Superconductivity and normal-state transport in compressively strained La$_2$PrNi$_2$O$_7$ thin films, (2025). http://arxiv.org/abs/2501.08022.
- Q.N. Meier, J.B. Q.N. Meier, J.B. de Vaulx, F. Bernardini, A.S. Botana, X. Blase, V. Olevano, A. Cano, Preempted phonon-mediated superconductivity in the infinite-layer nickelates, ArXiv (2023). http://arxiv.org/abs/2309.05486.
- J. Zhan, Y. J. Zhan, Y. Gu, X. Wu, J. Hu, Cooperation between electron-phonon coupling and electronic interaction in bilayer nickelates La$_3$Ni$_2$O$_7$, (2024). http://arxiv.org/abs/2404.03638.
- D.K. Singh, G. D.K. Singh, G. Goyal, Y. Bang, Possible pairing states in the superconducting bilayer nickelate, (2024). http://arxiv.org/abs/2409.09321.
- H. Schlömer, U. H. Schlömer, U. Schollwöck, F. Grusdt, A. Bohrdt, Superconductivity in the pressurized nickelate La$_3$Ni$_2$O$_7$ in the vicinity of a BEC-BCS crossover, (2023). http://arxiv.org/abs/2311.03349.
- M. Kakoi, T. M. Kakoi, T. Kaneko, H. Sakakibara, M. Ochi, K. Kuroki, Pair correlations of the hybridized orbitals in a ladder model for the bilayer nickelate La$_3$Ni$_2$O$_7$, (2023). http://arxiv.org/abs/2312.04304.
- C. Xia, H. C. Xia, H. Liu, S. Zhou, H. Chen, Sensitive dependence of pairing symmetry on Ni-eg crystal field splitting in the nickelate superconductor La3Ni2O7, Nat Commun 16 (2025) 1054. [CrossRef]
- Y. Zhang, L.-F. Y. Zhang, L.-F. Lin, A. Moreo, T.A. Maier, E. Dagotto, Trends in electronic structures and s±-wave pairing for the rare-earth series in bilayer nickelate superconductor R3Ni2O7, Phys Rev B 108 (2023) 165141. [CrossRef]
- Q.-G. Yang, K.-Y. Q.-G. Yang, K.-Y. Jiang, D. Wang, H.-Y. Lu, Q.-H. Wang, Effective model and s± -wave superconductivity in trilayer nickelate a4Ni3O10, Phys Rev B 109 (2024) L220506. [CrossRef]
- Z. Ouyang, M. Z. Ouyang, M. Gao, Z.-Y. Lu, Absence of phonon-mediated superconductivity in La3Ni2O7 under pressure, ArXiv (2024). [CrossRef]
- C. Zhu, B. C. Zhu, B. Li, Y. Fan, C. Yin, J. Zhai, J. Cheng, S. Liu, Z. Shi, Magnetic phases and electron–phonon coupling in under pressure, Comput Mater Sci 250 (2025) 113676. [CrossRef]
- X. Zhou, W. X. Zhou, W. He, Z. Zhou, K. Ni, M. Huo, D. Hu, Y. Zhu, E. Zhang, Z. Jiang, S. Zhang, S. Su, J. Jiang, Y. Yan, Y. Wang, D. Shen, X. Liu, J. Zhao, M. Wang, M. Liu, Z. Du, D. Feng, Revealing nanoscale structural phase separation in La3Ni2O7 single crystal via scanning near-field optical microscopy, (2024). http://arxiv.org/abs/2410.06602.
- M. Shi, Y. M. Shi, Y. Li, Y. Wang, D. Peng, S. Yang, H. Li, K. Fan, K. Jiang, J. He, Q. Zeng, D. Song, B. Ge, Z. Xiang, Z. Wang, J. Ying, T. Wu, X. Chen, Absence of superconductivity and density-wave transition in ambient-pressure tetragonal La$_4$Ni$_3$O$_{10}$, (2025). http://arxiv.org/abs/2501.12647.
- L. Bhatt, A.Y. L. Bhatt, A.Y. Jiang, E.K. Ko, N. Schnitzer, G.A. Pan, D.F. Segedin, Y. Liu, Y. Yu, Y.-F. Zhao, E.A. Morales, C.M. Brooks, A.S. Botana, H.Y. Hwang, J.A. Mundy, D.A. Muller, B.H. Goodge, Resolving Structural Origins for Superconductivity in Strain-Engineered La$_3$Ni$_2$O$_7$ Thin Films, (2025). http://arxiv.org/abs/2501.08204.
- X. Yan, H. X. Yan, H. Zheng, Y. Li, H. Cao, D.P. Phelan, H. Zheng, Z. Zhang, H. Hong, G. Wang, Y. Liu, A. Bhattacharya, H. Zhou, D.D. Fong, Superconductivity in an ultrathin multilayer nickelate, Sci Adv 11 (2025). [CrossRef]
- M. Xu, S. M. Xu, S. Huyan, H. Wang, S.L. Bud’ko, X. Chen, X. Ke, J.F. Mitchell, P.C. Canfield, J. Li, W. Xie, Pressure-dependent “Insulator-Metal-Insulator” Behavior in Sr-doped La3Ni2O7, (2023). http://arxiv.org/abs/2312.14251.
- X. Chen, E.H.T. X. Chen, E.H.T. Poldi, S. Huyan, R. Chapai, H. Zheng, S.L. Budko, U. Welp, P.C. Canfield, R.J. Hemley, J.F. Mitchell, D. Phelan, Non-bulk Superconductivity in Pr4Ni3O10 Single Crystals Under Pressure, (2024). http://arxiv.org/abs/2410.10666.
- D.A. Shilenko, I. V. D.A. Shilenko, I. V. Leonov, Correlated electronic structure, orbital-selective behavior, and magnetic correlations in double-layer La3Ni2O7 under pressure, Phys Rev B 108 (2023) 125105. [CrossRef]
- D. Peng, Y. D. Peng, Y. Bian, Z. Xing, L. Chen, J. Cai, T. Luo, F. Lan, Y. Liu, Y. Zhu, E. Zhang, Z. Wang, Y. Sun, Y. Wang, X. Wang, C. Wang, Y. Yang, Y. Yang, H. Dong, H. Lou, Z. Zeng, Z. Zeng, M. Tian, J. Zhao, Q. Zeng, J. Zhang, H. Mao, Isotropic superconductivity in pressurized trilayer nickelate La4Ni3O10, (2025). http://arxiv.org/abs/2502.14410.
- E. Helfand, N.R. E. Helfand, N.R. Werthamer, Temperature and Purity Dependence of the Superconducting Critical Field, Hc2. II, Physical Review 147 (1966) 288–294. [CrossRef]
- N.R. Werthamer, E. N.R. Werthamer, E. Helfand, P.C. Hohenberg, Temperature and Purity Dependence of the Superconducting Critical Field, Hc2. III. Electron Spin and Spin-Orbit Effects, Physical Review 147 (1966) 295–302. [CrossRef]
- E.F. Talantsev, Classifying superconductivity in compressed H3S, Modern Physics Letters B 33 (2019) 1950195. [CrossRef]
- E.F. Talantsev, D-Wave Superconducting Gap Symmetry as a Model for Nb1−xMoxB2 (x = 0.25; 1.0) and WB2 Diborides, Symmetry (Basel) 15 (2023) 812. [CrossRef]
- C. Buzea, T. C. Buzea, T. Yamashita, Review of the superconducting properties of MgB 2, Supercond Sci Technol 14 (2001) R115–R146. [CrossRef]
- J. Bardeen, L.N. J. Bardeen, L.N. Cooper, J.R. Schrieffer, Theory of Superconductivity, Physical Review 108 (1957) 1175–1204. [CrossRef]
- C.P. Poole, H. C.P. Poole, H. Farach, R. Creswick, R. Prozorov, Superconductivity, 2nd ed., Academic Press, London, UK, 2007.
- F. Gross-Alltag, B.S. F. Gross-Alltag, B.S. Chandrasekhar, D. Einzel, P.J. Hirschfeld, K. Andres, London field penetration in heavy fermion superconductors, Zeitschrift Fr Physik B Condensed Matter 82 (1991) 243–255. [CrossRef]
- F. Gross, B.S. F. Gross, B.S. Chandrasekhar, D. Einzel, K. Andres, P.J. Hirschfeld, H.R. Ott, J. Beuers, Z. Fisk, J.L. Smith, Anomalous temperature dependence of the magnetic field penetration depth in superconducting UBe13, Zeitschrift Fr Physik B Condensed Matter 64 (1986) 175–188. [CrossRef]
- L. P. Gor’kov, The critical supercooling field in superconductivity theory., Sov Phys JETP 10 (1960) 593–599.
- Godeke, B. ten Haken, H.H.J. ten Kate, D.C. Larbalestier, A general scaling relation for the critical current density in Nb 3 Sn, Supercond Sci Technol 19 (2006) R100–R116. [CrossRef]
- L.T. Summers, M.W. L.T. Summers, M.W. Guinan, J.R. Miller, P.A. Hahn, A model for the prediction of Nb/sub 3/Sn critical current as a function of field, temperature, strain, and radiation damage, IEEE Trans Magn 27 (1991) 2041–2044. [CrossRef]
- C.K. JONES, J.K. C.K. JONES, J.K. HULM, B.S. CHANDRASEKHAR, Upper Critical Field of Solid Solution Alloys of the Transition Elements, Rev Mod Phys 36 (1964) 74–76. [CrossRef]
- E.F. Talantsev, Universal Fermi velocity in highly compressed hydride superconductors, Matter and Radiation at Extremes 7 (2022) 058403. [CrossRef]
- A.P. Drozdov, M.I. A.P. Drozdov, M.I. Eremets, I.A. Troyan, V. Ksenofontov, S.I. Shylin, Conventional superconductivity at 203 kelvin at high pressures in the sulfur hydride system, Nature 525 (2015) 73–76. [CrossRef]
- S. Mozaffari, D. S. Mozaffari, D. Sun, V.S. Minkov, A.P. Drozdov, D. Knyazev, J.B. Betts, M. Einaga, K. Shimizu, M.I. Eremets, L. Balicas, F.F. Balakirev, Superconducting phase diagram of H3S under high magnetic fields, Nat Commun 10 (2019) 2522. [CrossRef]
- E.F. Talantsev, R.C. E.F. Talantsev, R.C. Mataira, W.P. Crump, Classifying superconductivity in Moiré graphene superlattices, Sci Rep 10 (2020) 212. [CrossRef]
- Y. Cao, V. Y. Cao, V. Fatemi, S. Fang, K. Watanabe, T. Taniguchi, E. Kaxiras, P. Jarillo-Herrero, Unconventional superconductivity in magic-angle graphene superlattices, Nature 556 (2018) 43–50. [CrossRef]
- E.F. Talantsev, Thermodynamic parameters of atomically thin superconductors derived from the upper critical field, Supercond Sci Technol 35 (2022) 084007. [CrossRef]
- Y. Cao, J.M. Y. Cao, J.M. Park, K. Watanabe, T. Taniguchi, P. Jarillo-Herrero, Pauli-limit violation and re-entrant superconductivity in moiré graphene, Nature 595 (2021) 526–531. [CrossRef]
- M. Zehetmayer, M. M. Zehetmayer, M. Eisterer, J. Jun, S.M. Kazakov, J. Karpinski, A. Wisniewski, H.W. Weber, Mixed-state properties of superconducting MgB2 single crystals, Phys Rev B 66 (2002) 052505. [CrossRef]
- E.F. Talantsev, Quantifying interaction mechanism in infinite layer nickelate superconductors, J Appl Phys 134 (2023). [CrossRef]
- E. Talantsev, W.P. E. Talantsev, W.P. Crump, J.L. Tallon, Thermodynamic Parameters of Single- or Multi-Band Superconductors Derived from Self-Field Critical Currents, Ann Phys 529 (2017) 1–18. [CrossRef]
- E.F. Talantsev, W.P. E.F. Talantsev, W.P. Crump, J.L. Tallon, Two-band induced superconductivity in single-layer graphene and topological insulator bismuth selenide, Supercond Sci Technol 31 (2018). [CrossRef]
- E.F. Talantsev, W.P. E.F. Talantsev, W.P. Crump, J.O. Island, Y. Xing, Y. Sun, J. Wang, J.L. Tallon, On the origin of critical temperature enhancement in atomically thin superconductors, 2d Mater 4 (2017). [CrossRef]



Disclaimer/Publisher’s Note: The statements, opinions and data contained in all publications are solely those of the individual author(s) and contributor(s) and not of MDPI and/or the editor(s). MDPI and/or the editor(s) disclaim responsibility for any injury to people or property resulting from any ideas, methods, instructions or products referred to in the content. |
© 2025 by the authors. Licensee MDPI, Basel, Switzerland. This article is an open access article distributed under the terms and conditions of the Creative Commons Attribution (CC BY) license (http://creativecommons.org/licenses/by/4.0/).
