Submitted:
07 February 2025
Posted:
10 February 2025
You are already at the latest version
Abstract
Keywords:
I. Introduction
2. Fundamental Parameters for La3-xPrxNi2O7-δ (x = 0.0; 0.15; 1.0) Films
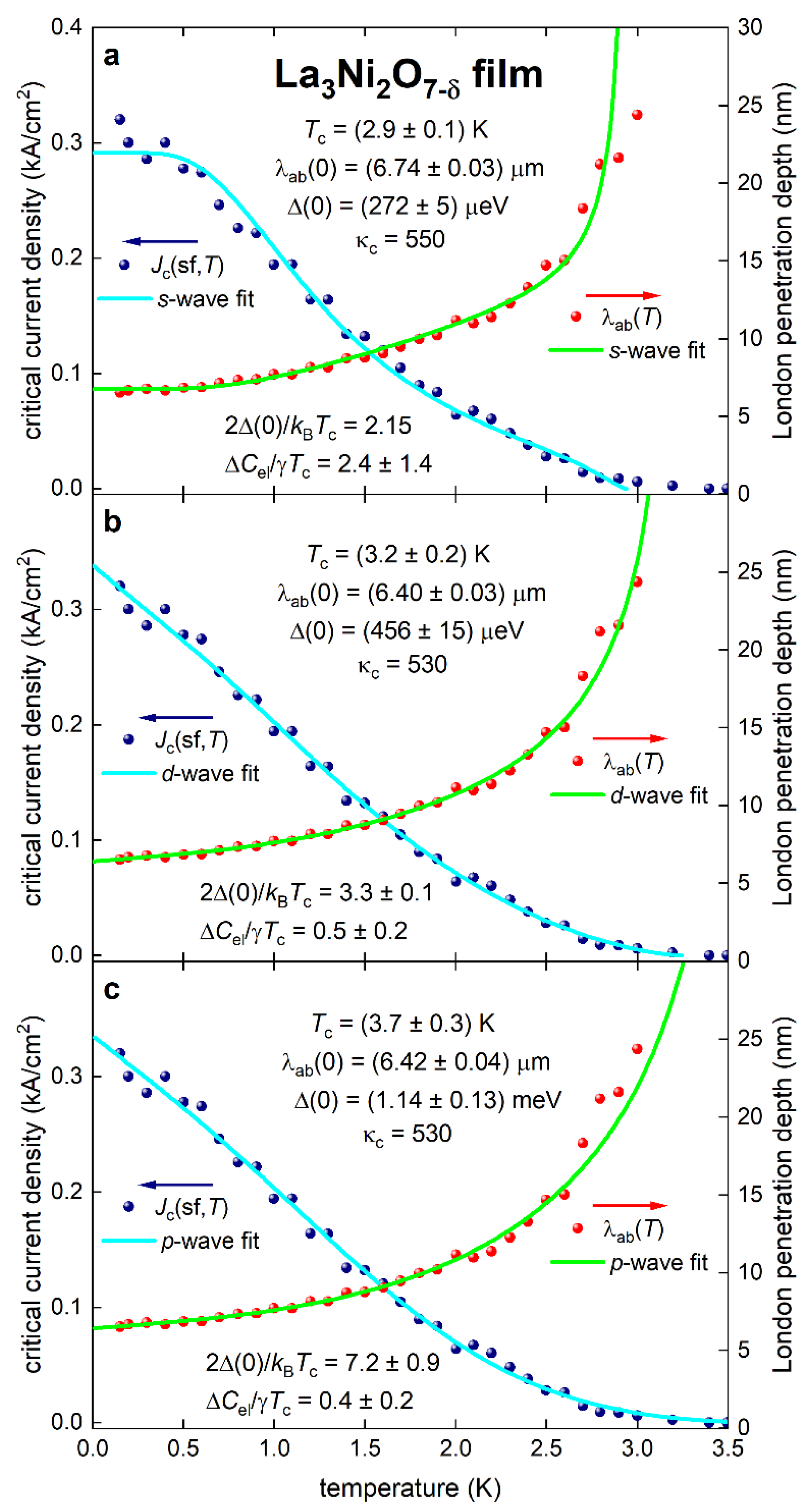
2.1. Transition Temperature and Coherence Length Definitions
2.2. London Penetration Depth and Other Fundamental Parameters
- 2.
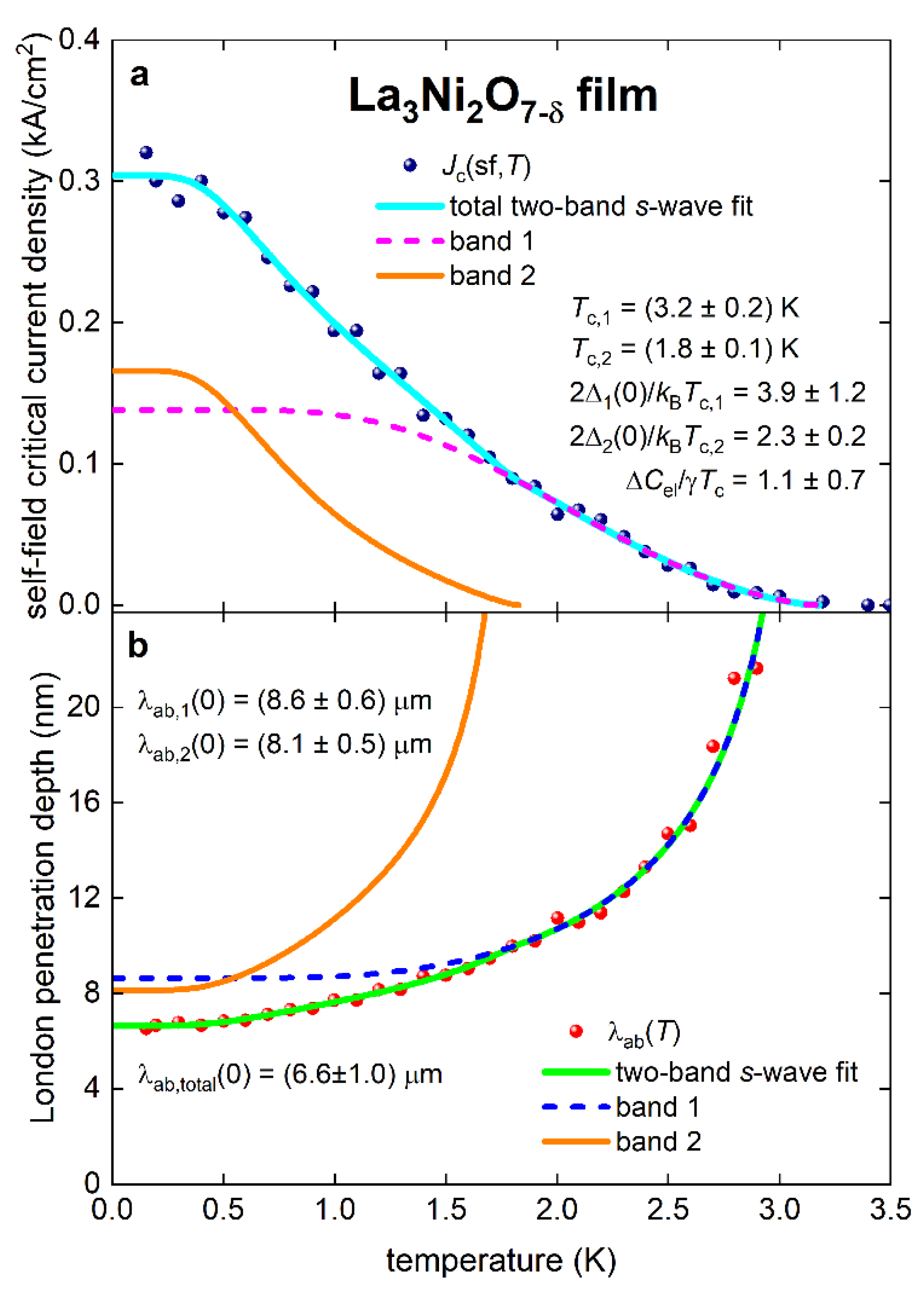
2.3. Two-Band Superconductivity

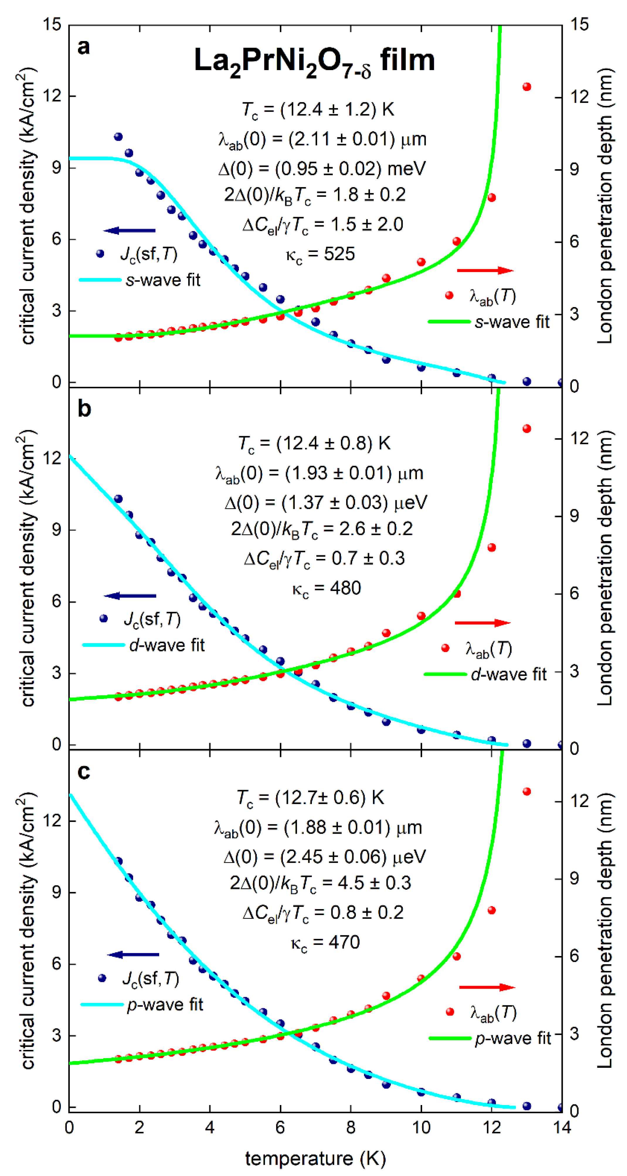
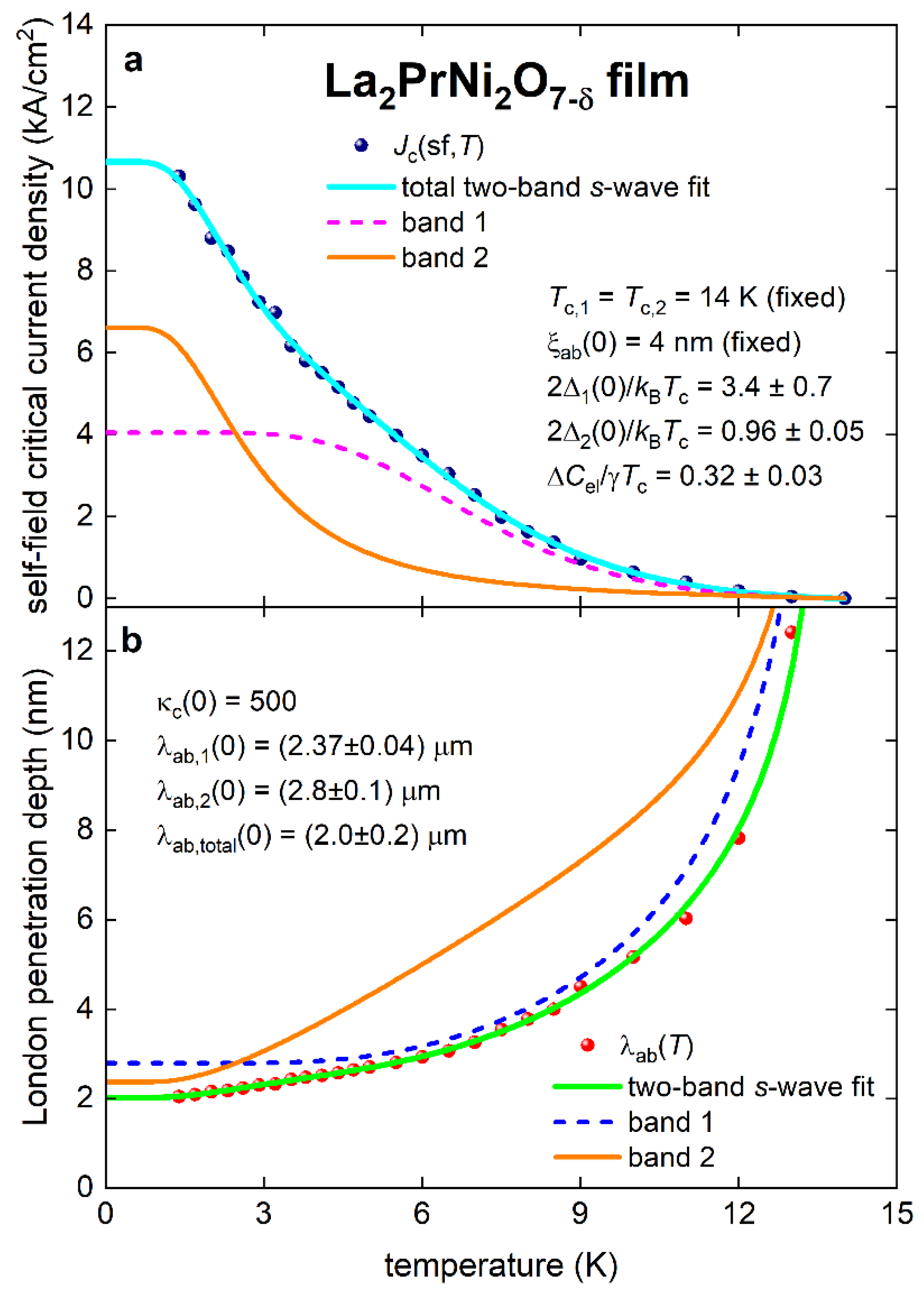
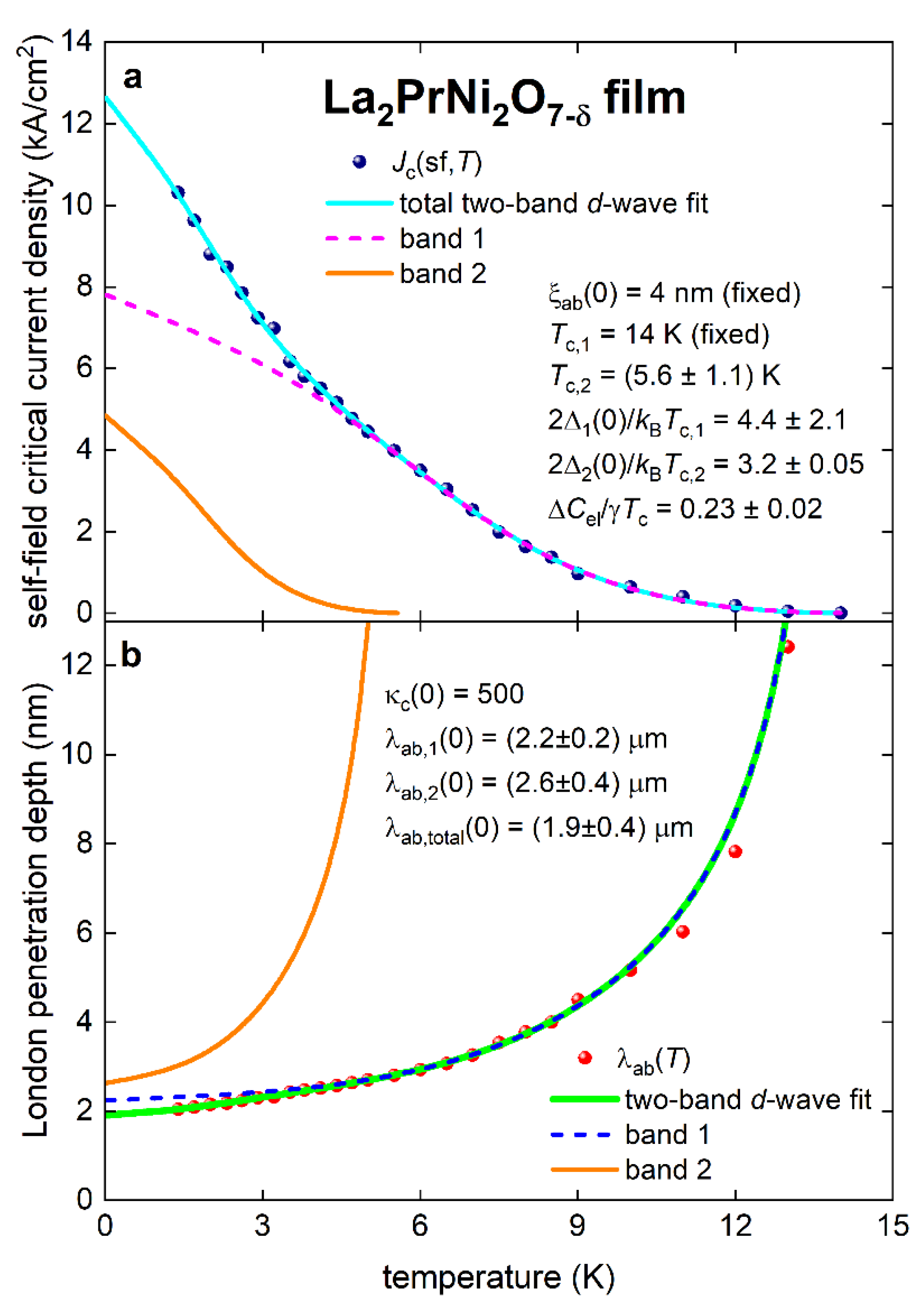
3. Fundamental Parameters in La2PrNi2O7-δ Films
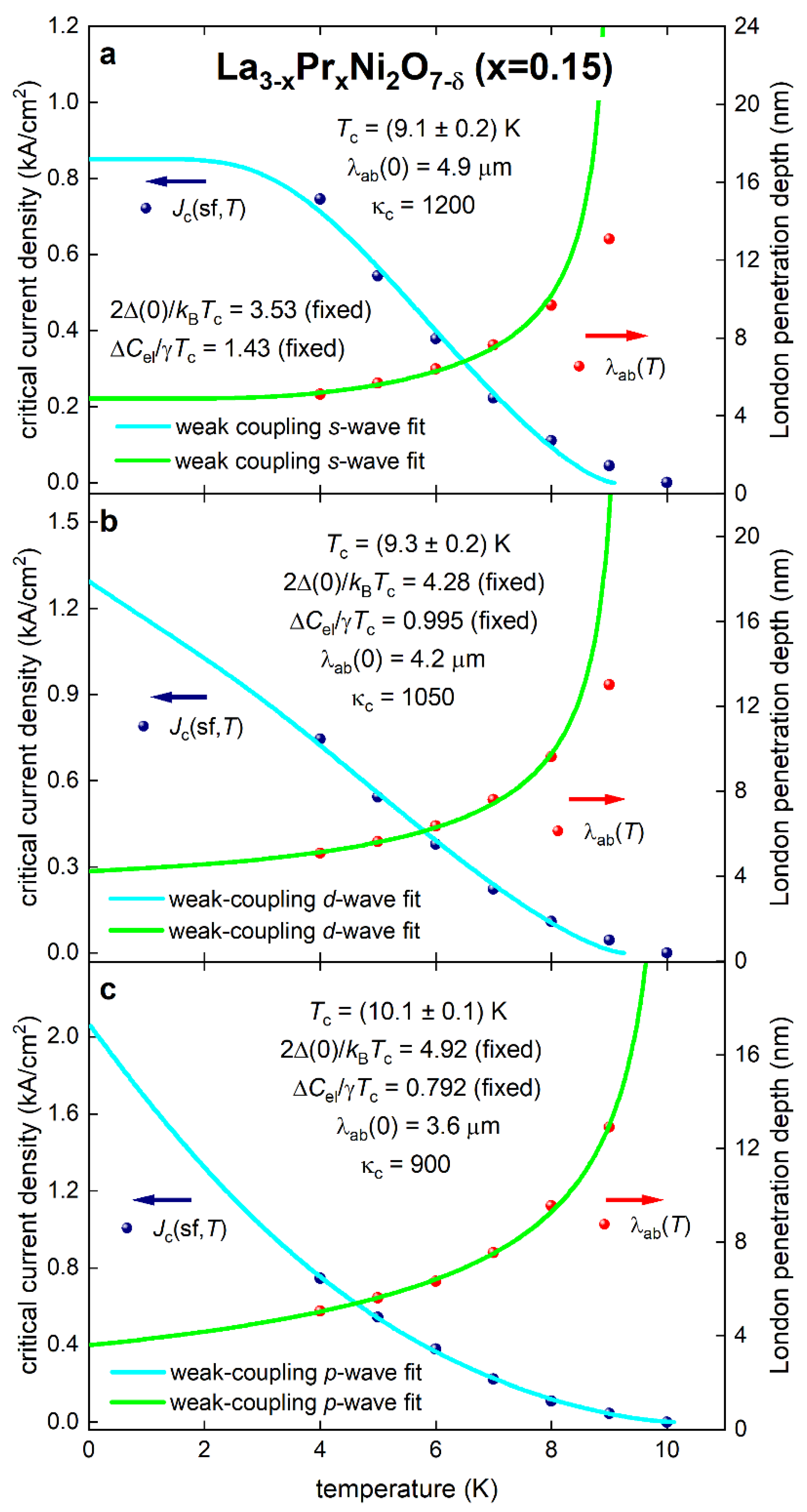
4. Fundamental Parameters in La3-xPrxNi2O7-δ (x = 0.15) Films
5. More Evidences for Multiple-Band Superconductivity in Ruddlesden–Popper Nickelates
5.1. Highly Compressed Single Crystals La3Ni2O7-δ
5.2. Highly Compressed Polycrystalline La2PrNi2O7-δ
5.3. Highly Compressed Single Crystals La4Ni3O10-δ
5.4. Ambient Pressure La3Ni2O7-δ Thin Film
5.5. Ambient Pressure La6Ni5O12 Thin Film
5.6. Highly Compressed Pr4Ni3O10 Single Crystal
6. The Limitation of Tc in Nickelates by Thermal Fluctuations
Acknowledgements
References
- Ko, E. K.; et al. Signatures of ambient pressure superconductivity in thin film La3Ni2O7. Nature ( 2024. [CrossRef] [PubMed]
- Zhou, G.; et al. Ambient-pressure superconductivity onset above 40 K in bilayer nickelate ultrathin films. ( 2024.
- Liu, Y.; et al. Superconductivity and normal-state transport in compressively strained La2PrNi2O7 thin films. ( 2025.
- Anisimov, V. I. , Bukhvalov, D. & Rice, T. M. Electronic structure of possible nickelate analogs to the cuprates. Phys Rev B 1999, 59, 7901–7906. [Google Scholar]
- Li, D.; et al. Superconductivity in an infinite-layer nickelate. Nature 2019, 572, 624–627. [Google Scholar] [CrossRef]
- Sun, H.; et al. Signatures of superconductivity near 80 K in a nickelate under high pressure. Nature 2023, 621, 493–498. [Google Scholar] [CrossRef]
- Brisi, C. , Vallino, M. & Abbattista, F. Composition and structure of two hitherto unidentified phases in the system La2O3-NiO-O. Journal of the Less Common Metals 1981, 79, 215–219. [Google Scholar]
- Ram, R. A. M. , Ganapathi, L., Ganguly, P. & Rao, C. N. R. Evolution of three-dimensional character across the Lan+1NinO3n+1 homologous series with increase in n. J Solid State Chem 1986, 63, 139–147. [Google Scholar]
- Sreedhar, K.; et al. Low-Temperature Electronic Properties of the Lan+1NinO3n+1 (n = 2, 3, and ∞) System: Evidence for a Crossover from Fluctuating-Valence to Fermi-Liquid-like Behavior. J Solid State Chem 1994, 110, 208–215. [Google Scholar] [CrossRef]
- Zhang, Z. , Greenblatt, M. & Goodenough, J. B. Synthesis, Structure, and Properties of the Layered Perovskite La3Ni2O7-δ. J Solid State Chem 1994, 108, 402–409. [Google Scholar]
- Taniguchi, S.; et al. Transport, Magnetic and Thermal Properties of La3Ni2O7-δ. J Physical Soc Japan 1995, 64, 1644–1650. [Google Scholar] [CrossRef]
- Wu, G. , Neumeier, J. J. & Hundley, M. F. Magnetic susceptibility, heat capacity, and pressure dependence of the electrical resistivity of La3N2O7 and La4Ni3O10. Phys Rev B 2001, 63, 245120. [Google Scholar]
- Burriel, M.; et al. Enhanced High-Temperature Electronic Transport Properties in Nanostructured Epitaxial Thin Films of the Lan+1NinO3n+1 Ruddlesden−Popper Series (n = 1, 2, 3, ∞). Chemistry of Materials 2007, 19, 4056–4062. [Google Scholar] [CrossRef]
- Helfand, E. & Werthamer, N. R. Temperature and Purity Dependence of the Superconducting Critical Field, Hc2. II. Physical Review 1966, 147, 288–294. [Google Scholar]
- Werthamer, N. R. , Helfand, E. & Hohenberg, P. C. Temperature and Purity Dependence of the Superconducting Critical Field, Hc2. III. Electron Spin and Spin-Orbit Effects. Physical Review 1966, 147, 295–302. [Google Scholar]
- Baumgartner, T.; et al. Effects of neutron irradiation on pinning force scaling in state-of-the-art Nb3Sn wires. Supercond Sci Technol 2014, 27, 015005. [Google Scholar] [CrossRef]
- Prozorov, R. & Kogan, V. G. Practically universal representation of the Helfand-Werthamer upper critical field for any transport scattering rate. Phys Rev Appl 2024, 22, 064006. [Google Scholar]
- Yan, X.; et al. Superconductivity in an ultrathin multilayer nickelate. Sci Adv.
- Wang, Z.-C.; et al. Superconductivity in KCa2Fe4As4F 2 with Separate Double Fe2As2 Layers. J Am Chem Soc 2016, 138, 7856–7859. [Google Scholar] [CrossRef]
- Honda, F.; et al. Pressure-induced Structural Phase Transition and New Superconducting Phase in UTe 2. J Physical Soc Japan.
- Wang, B. Y.; et al. Effects of rare-earth magnetism on the superconducting upper critical field in infinite-layer nickelates. Sci Adv.
- Wang, B. Y.; et al. Isotropic Pauli-limited superconductivity in the infinite-layer nickelate Nd0.775Sr0.225NiO2. Nat Phys 2021, 17, 473–477. [Google Scholar] [CrossRef]
- Ji, H.; et al. Rotational symmetry breaking in superconducting nickelate Nd0.8Sr0.2NiO2 films. Nat Commun 2023, 14, 7155. [Google Scholar] [CrossRef]
- Zhang, Y.; et al. High-temperature superconductivity with zero resistance and strange-metal behaviour in La3Ni2O7−δ. Nat Phys ( 2024. [CrossRef]
- Cao, Y.; et al. Unconventional superconductivity in magic-angle graphene superlattices. Nature 2018, 556, 43–50. [Google Scholar] [CrossRef] [PubMed]
- Park, J. M.; et al. Robust superconductivity in magic-angle multilayer graphene family. Nat Mater 2022, 21, 877–883. [Google Scholar] [CrossRef] [PubMed]
- Di Battista, G.; et al. Infrared single-photon detection with superconducting magic-angle twisted bilayer graphene. Sci Adv.
- Lee, K.; et al. Linear-in-temperature resistivity for optimally superconducting (Nd,Sr)NiO2. Nature 2023, 619, 288–292. [Google Scholar] [CrossRef]
- Osada, M.; et al. A Superconducting Praseodymium Nickelate with Infinite Layer Structure. Nano Lett 2020, 20, 5735–5740. [Google Scholar] [CrossRef]
- Pan, G. A.; et al. Superconductivity in a quintuple-layer square-planar nickelate. Nat Mater 2022, 21, 160–164. [Google Scholar] [CrossRef]
- Bulaevskii, L. N. , Ginzburg, V. L. & Sobyanin, A. A. Macroscopic theory of superconductors with small coherence length. Physica C Supercond 1988, 152, 378–388. [Google Scholar]
- Emery, V. J. & Kivelson, S. A. Importance of phase fluctuations in superconductors with small superfluid density. Nature 1995, 374, 434–437. [Google Scholar]
- Talantsev, E. F. , Crump, W. P., Storey, J. G. & Tallon, J. L. London penetration depth and thermal fluctuations in the sulphur hydride 203 K superconductor. Ann Phys 2017, 529, 1–5. [Google Scholar]
- Andersson, M. Comment on “Superconducting state of Ca-VII below a critical temperature of 29 K at a pressure of 216 GPa”. Phys Rev B 2011, 84, 216501. [Google Scholar] [CrossRef]
- Wu L, Si J, Guan S, Zhang H, Dou J, Kuo J, Yang J, Yu H, Zhang J, Ma X, Yang P, Zhou R, Liu M, Hong F, Yu X Record-high Tc and dome-shaped superconductivity in a medium-entropy alloy TaNbHfZr under pressure up to 160 GPa. Phys Rev Lett.
- Ye, G.; et al. Distinct pressure evolution of superconductivity and charge density wave in kagome superconductor CsV3Sb5 thin flakes. Phys Rev B 2024, 109, 054501. [Google Scholar] [CrossRef]
- Nie, J. Y.; et al. On the superconducting gap structure of the miassite Rh17S15: Nodal or nodeless? ( 2024.
- Chen, K. Y.; et al. Double Superconducting Dome and Triple Enhancement of Tc in the Kagome Superconductor CsV3Sb5 under High Pressure. Phys Rev Lett 2021, 126, 247001. [Google Scholar] [CrossRef] [PubMed]
- Huyan, S.; et al. Suppression of metal-to-insulator transition and stabilization of superconductivity by pressure in Re3Ge7. Phys Rev B 2024, 109, 174522. [Google Scholar] [CrossRef]
- Terashima, T.; et al. Anomalous upper critical field in the quasicrystal superconductor Ta1.6Te npj Quantum Materials 2024, 9 56.
- Ruan, B.-B.; et al. Superconductivity in Mo 4 Ga 20 As with endohedral gallium clusters. Journal of Physics: Condensed Matter 2023, 35, 214002. [Google Scholar]
- Zhang, C. L.; et al. Superconductivity above 80 K in polyhydrides of hafnium. Materials Today Physics 2022, 27, 100826. [Google Scholar] [CrossRef]
- Wang, L. S.; et al. Nodeless superconducting gap in the topological superconductor candidate 2M-WS2. Phys Rev B 2020, 102, 024523. [Google Scholar] [CrossRef]
- Pan, J.; et al. Nodal superconductivity and superconducting dome in the layered superconductor Ta4Pd3Te16. Phys Rev B 2015, 92, 180505. [Google Scholar] [CrossRef]
- Vedeneev, S. I. , Piot, B. A., Maude, D. K. & Sadakov, A. V. Temperature dependence of the upper critical field of FeSe single crystals. Phys Rev B 2013, 87, 134512. [Google Scholar]
- Yu, F. H.; et al. Unusual competition of superconductivity and charge-density-wave state in a compressed topological kagome metal. Nat Commun 2021, 12, 3645. [Google Scholar] [CrossRef]
- Dong, Q.; et al. Strong superconducting pairing strength and pseudogap features in a putative multiphase heavy-fermion superconductor CeRh2As2 by soft point-contact spectroscopy. ( 2025.
- Bärtl, F.; et al. Evidence of pseudogap and absence of spin magnetism in the time-reversal-symmetry-breaking state of Ba1-xKxFe2As2. ( 2025.
- Jangid, S.; et al. Superconductivity with a high upper critical field in an equiatomic high-entropy alloy Sc–V–Ti–Hf–Nb. Appl Phys Lett.
- Jangid, S.; et al. High critical field superconductivity in a 3d dominated lightweight equiatomic high entropy alloy. ( 2025.
- Sharma, S.; et al. Evidence for conventional superconductivity in Bi2PdPt and prediction of possible topological superconductivity in disorder-free γ−BiPd. Phys Rev B 2024, 109, 224509. [Google Scholar] [CrossRef]
- Landaeta, J. F.; et al. Evidence for vertical line nodes in Sr2RuO4 from nonlocal electrodynamics. Phys Rev B 2024, 110, L100503. [Google Scholar] [CrossRef]
- Sun, Y.; et al. Specific Heat and Upper Critical Field of Sc5Ir4Si10 Superconductor. J Physical Soc Japan 2013, 82, 074713. [Google Scholar] [CrossRef]
- Perkins, G. K.; et al. Superconducting critical fields and anisotropy of a MgB2 single crystal. Supercond Sci Technol 2002, 15, 330. [Google Scholar] [CrossRef]
- Arima, H.; et al. Direct Observation of Vortices and Antivortices Generation in Phase-Separated Superconductor Sn-Pb Solder. ( 2025.
- Landaeta, J. F.; et al. Conventional type-II superconductivity in locally noncentrosymmetric LaRh2As2 single crystals. Phys Rev B 2022, 106, 014506. [Google Scholar] [CrossRef]
- Watanabe, Y. , Miura, A., Moriyoshi, C., Yamashita, A. & Mizuguchi, Y. Observation of superconductivity and enhanced upper critical field of η-carbide-type oxide Zr4Pd2O. Sci Rep 2023, 13, 22458. [Google Scholar]
- Ma, K.; et al. Superconductivity with High Upper Critical Field in the Cubic Centrosymmetric η-Carbide Nb4Rh2C1−δ. ACS Materials Au 2021, 1, 55–61. [Google Scholar] [CrossRef] [PubMed]
- Michor, H.; et al. Superconductivity in layered YB2C2. J Phys Conf Ser 2009, 150, 052160. [Google Scholar] [CrossRef]
- Anand, V. K.; et al. Physical properties of noncentrosymmetric superconductor LaIrSi3: A μSR study. Phys Rev B 2014, 90, 014513. [Google Scholar] [CrossRef]
- Chajewski, G. , Szymański, D., Daszkiewicz, M. & Kaczorowski, D. Horizontal flux growth as an efficient preparation method of CeRh 2 As 2 single crystals. Mater Horiz 2024, 11, 855–861. [Google Scholar]
- Li, L.; et al. Large upper critical fields and strong coupling superconductivity in the medium-entropy alloy (Ti1/3Hf1/3Ta1/3)1-xNbx. ( 2025. [CrossRef]
- Du, F.; et al. Tunneling Spectroscopy at Megabar Pressures: Determination of the Superconducting Gap in Sulfur. Phys Rev Lett 2024, 133, 036002. [Google Scholar] [CrossRef]
- Takahashi, H.; et al. Superconductivity in a ferroelectric-like topological semimetal SrAuBi. NPJ Quantum Mater 2023, 8, 77. [Google Scholar] [CrossRef]
- Sundar, S. , Chattopadhyay, M. K., Chandra, L. S. S., Rawat, R. & Roy, S. B. Vortex–glass transformation within the surface superconducting state of β-phase Mo(1-x)Rex alloys. Supercond Sci Technol 2017, 30, 025003. [Google Scholar]
- Liu, Y.; et al. Superconductivity under pressure in a chromium-based kagome metal. Nature 2024, 632, 1032–1037. [Google Scholar] [CrossRef]
- Zeng, S. W.; et al. Observation of perfect diamagnetism and interfacial effect on the electronic structures in infinite layer Nd0.8Sr0.2NiO2 superconductors. Nat Commun 2022, 13, 743. [Google Scholar] [CrossRef]
- Wang, J.; et al. Superconductivity in an Orbital-Reoriented SnAs Square Lattice: A Case Study of Li0.6Sn2As2 and NaSnAs. Angewandte Chemie International Edition.
- Zhou, N.; et al. Disorder-robust high-field superconducting phase of FeSe single crystals. Phys Rev B 2021, 104, L140504. [Google Scholar] [CrossRef]
- Chow, L. E.; et al. Pauli-limit violation in lanthanide infinite-layer nickelate superconductors. ( 2022.
- Lee, Y.; et al. Synthesis of superconducting freestanding infinite-layer nickelate heterostructures on the millimetre scale. Nature Synthesis ( 2025. [CrossRef]
- Ekin, J. W. Experimental Techniques for Low-Temperature Measurements. (Oxford University Press, Oxford, UK, 2006).
- Talantsev, E. F. & Tallon, J. L. Universal self-field critical current for thin-film superconductors. Nat Commun 2015, 6, 7820. [Google Scholar]
- Crump, W. P. & Talantsev, E. F. Software for fitting self-field critical current data. Preprint at (2016).
- Gross-Alltag, F. , Chandrasekhar, B. S., Einzel, D., Hirschfeld, P. J. & Andres, K. London field penetration in heavy fermion superconductors. Zeitschrift fur Physik B Condensed Matter 1991, 82, 243–255. [Google Scholar]
- Gross, F.; et al. Anomalous temperature dependence of the magnetic field penetration depth in superconducting UBe13. Zeitschrift fur Physik B Condensed Matter 1986, 64, 175–188. [Google Scholar] [CrossRef]
- Talantsev, E. , Crump, W. P. & Tallon, J. L. Thermodynamic Parameters of Single- or Multi-Band Superconductors Derived from Self-Field Critical Currents. Ann Phys 2017, 529, 1–18. [Google Scholar]
- Talantsev, E. F. , Crump, W. P. & Tallon, J. L. Universal scaling of the self-field critical current in superconductors: from sub-nanometre to millimetre size. Sci Rep 2017, 7, 10010. [Google Scholar]
- Prohammer, M. & Carbotte, J. P. London penetration depth of d -wave superconductors. Phys Rev B 1991, 43, 5370–5374. [Google Scholar]
- Talantsev, E. F.; et al. p-wave superconductivity in iron-based superconductors. Sci Rep 2019, 9, 14245. [Google Scholar] [CrossRef]
- Won, H. & Maki, K. d -wave superconductor as a model of high-Tc superconductors. Phys Rev B 1994, 49, 1397–1402. [Google Scholar]
- Bardeen, J. , Cooper, L. N. & Schrieffer, J. R. Theory of Superconductivity. Physical Review 1957, 108, 1175–1204. [Google Scholar]
- Talantsev, E. F.; et al. On the origin of critical temperature enhancement in atomically thin superconductors. 2d Mater.
- Carrington, A. & Manzano, F. Magnetic penetration depth of MgB2. Physica C Supercond 2003, 385, 205–214. [Google Scholar]
- Canfield, P. C. , Bud’ko, S. L. & Finnemore, D. K. An overview of the basic physical properties of MgB2. Physica C Supercond 2003, 385, 1–7. [Google Scholar]
- Buzea, C. & Yamashita, T. Review of the superconducting properties of MgB 2. Supercond Sci Technol 2001, 14, R115–R146. [Google Scholar]
- Talantsev, E. F. Solving mystery with the Meissner state in La3Ni2O7-δ. Superconductivity: Fundamental and Applied Research, 2024. [Google Scholar] [CrossRef]
- Talantsev, E. F. , Mataira, R. C. & Crump, W. P. Classifying superconductivity in Moiré graphene superlattices. Sci Rep 2020, 10, 212. [Google Scholar]
- Talantsev. Classifying Induced Superconductivity in Atomically Thin Dirac-Cone Materials. Condens Matter 2019, 4, 83. [Google Scholar] [CrossRef]
- Gumeniuk, R. , Levytskyi, V., Kundys, B. & Leithe-Jasper, A. Yb3Rh4Sn13: Two-gap superconductor with a complex Fermi surface. Phys Rev B 2023, 108, 214515. [Google Scholar]
- Wimbush, S. C. & Strickland, N. M. A Public Database of High-Temperature Superconductor Critical Current Data. IEEE Transactions on Applied Superconductivity 2017, 27, 1–5. [Google Scholar]
- Lao, M.; et al. High current variable temperature electrical characterization system for superconducting wires and tapes with continuous sample rotation in a split coil magnet. Review of Scientific Instruments.
- Devitre, A. R.; et al. A facility for cryogenic ion irradiation and in situ characterization of rare-earth barium copper oxide superconducting tapes. Review of Scientific Instruments.
- Zhang, D.; et al. Achieving superconductivity in infinite-layer nickelate thin films by aluminum sputtering deposition. ( 2024.
- Li, J.; et al. Pressure-driven right-triangle shape superconductivity in bilayer nickelate La3Ni2O7. ( 2024.
- Wang, N.; et al. Bulk high-temperature superconductivity in pressurized tetragonal La2PrNi2O7. Nature 2024, 634, 579–584. [Google Scholar] [CrossRef] [PubMed]
- Zhu, Y.; et al. Superconductivity in pressurized trilayer La4Ni3O10−δ single crystals. Nature 2024, 631, 531–536. [Google Scholar] [CrossRef] [PubMed]
- Yan, X.; et al. Superconductivity in an ultrathin multilayer nickelate. Sci Adv.
- Chen, X.; et al. Non-bulk Superconductivity in Pr4Ni3O10 Single Crystals Under Pressure. ( 2024.
- Zhang, E.; et al. Bulk superconductivity in pressurized trilayer nickelate Pr4Ni3O10 single crystals. ( 2025. [CrossRef]
- Storey, J. G. Incoherent superconductivity well above Tc in high-Tc cuprates—harmonizing the spectroscopic and thermodynamic data. New J Phys 2017, 19, 073026. [Google Scholar] [CrossRef]
- Tallon, J. L. , Storey, J. G. & Loram, J. W. Fluctuations and critical temperature reduction in cuprate superconductors. Phys Rev B 2011, 83, 092502. [Google Scholar]
- Stewart, G. R. Superconductivity in iron compounds. Rev Mod Phys 2011, 83, 1589–1652. [Google Scholar] [CrossRef]
- Chiao, M. Are we there yet? Nat Phys 2007, 3, 148–150. [Google Scholar] [CrossRef]
- Drozdov, A. P. , Eremets, M. I., Troyan, I. A., Ksenofontov, V. & Shylin, S. I. Conventional superconductivity at 203 kelvin at high pressures in the sulfur hydride system. Nature 2015, 525, 73–76. [Google Scholar]
- Drozdov, A. P.; et al. Superconductivity at 250 K in lanthanum hydride under high pressures. Nature 2019, 569, 528–531. [Google Scholar] [CrossRef] [PubMed]
- Kong, P.; et al. Superconductivity up to 243 K in the yttrium-hydrogen system under high pressure. Nat Commun 2021, 12, 5075. [Google Scholar] [CrossRef] [PubMed]
- Somayazulu, M.; et al. Evidence for Superconductivity above 260 K in Lanthanum Superhydride at Megabar Pressures. Phys Rev Lett 2019, 122, 027001. [Google Scholar] [CrossRef] [PubMed]
- Bhattacharyya, P.; et al. Imaging the Meissner effect in hydride superconductors using quantum sensors. Nature 2024, 627, 73–79. [Google Scholar] [CrossRef]
- Troyan, I. A.; et al. Anomalous High-Temperature Superconductivity in YH6. Advanced Materials 2021, 33, 2006832. [Google Scholar] [CrossRef]
- Semenok, D. Computational design of new superconducting materials and their targeted experimental synthesis. PhD Thesis; Skolkovo Institute of Science and Technology. [CrossRef]
- Minkov, V. S. , Ksenofontov, V., Bud’ko, S. L., Talantsev, E. F. & Eremets, M. I. Magnetic flux trapping in hydrogen-rich high-temperature superconductors. Nat Phys 2023, 19, 1293–1300. [Google Scholar]
- Minkov, V. S.; et al. Revaluation of the lower critical field in superconducting H$_3$S and LaH$_{10}$ (Nature Comm. 13, 3194, 2022). (2024).
- Minkov, V. S.; et al. Magnetic field screening in hydrogen-rich high-temperature superconductors. Nat Commun 2022, 13, 3194. [Google Scholar] [CrossRef]
- Tallon, J. L. & Talantsev, E. F. Compressed H3S, superfluid density and the quest for room-temperature superconductivity. J Supercond Nov Magn 2018, 31, 619–624. [Google Scholar]














Disclaimer/Publisher’s Note: The statements, opinions and data contained in all publications are solely those of the individual author(s) and contributor(s) and not of MDPI and/or the editor(s). MDPI and/or the editor(s) disclaim responsibility for any injury to people or property resulting from any ideas, methods, instructions or products referred to in the content. |
© 2025 by the authors. Licensee MDPI, Basel, Switzerland. This article is an open access article distributed under the terms and conditions of the Creative Commons Attribution (CC BY) license (http://creativecommons.org/licenses/by/4.0/).
