Submitted:
12 March 2026
Posted:
12 March 2026
You are already at the latest version
Abstract
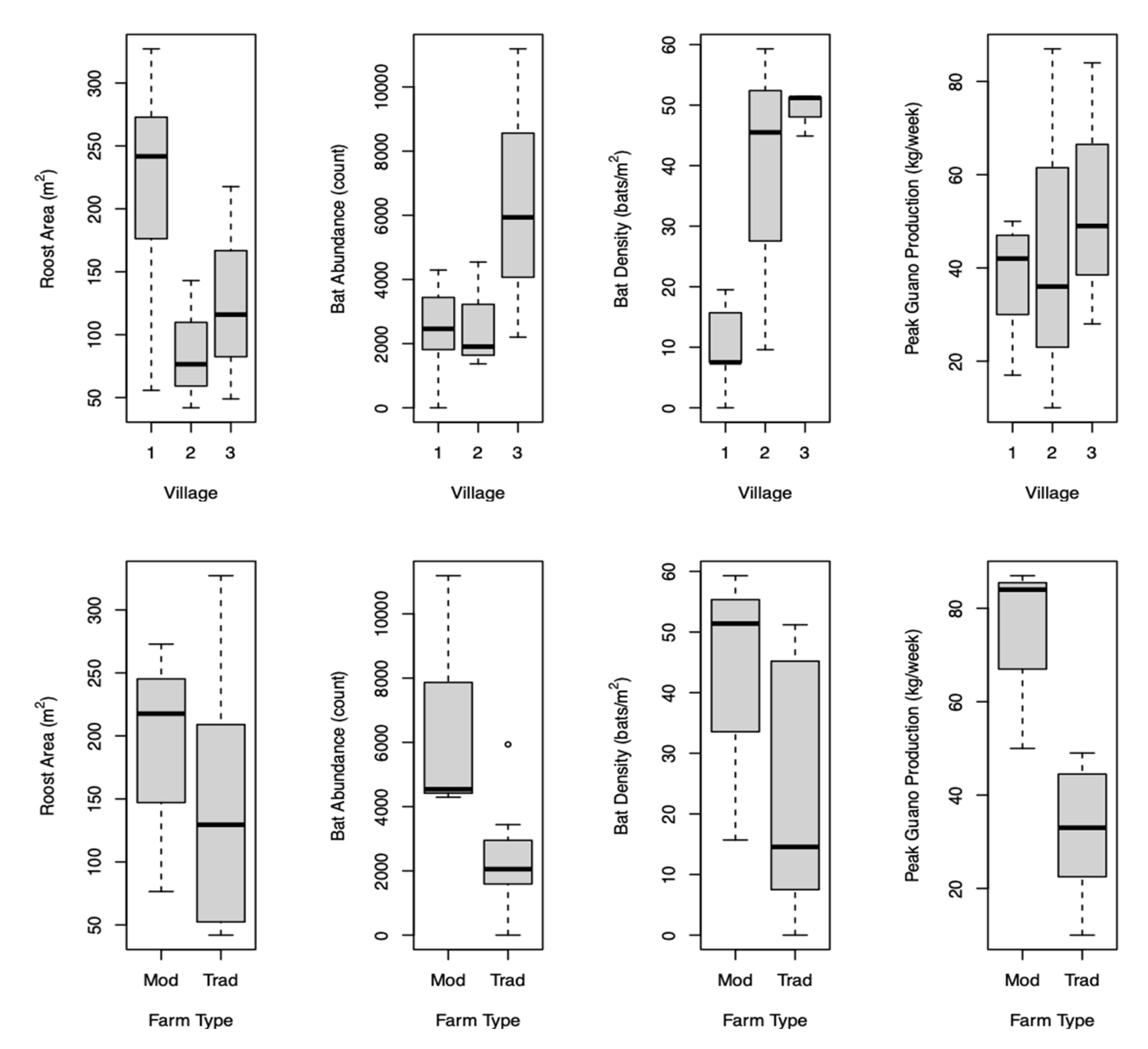
In Cambodia, farmers construct artificial household bat roosts to collect and sell guano as fertilizer. We investigated farming practices and attendant spillover risks using: 1) surveys on guano production; 2) estimating bat population size and species present using carcasses, visual identification, and audio recordings; 3) surveying guano-producing and neighbor households on water, sanitation, and hygiene practices; and 4) testing guano and household food, water and surfaces for coronaviruses by PCR. Bat roosts are constructed using dried palm leaves with coconut tree and/or steel/concrete supports. Roosting areas ranged from 42-327 m2, bat abundance varied from 0-11,187, guano production was 5-120 kg/week, guano yields were 0.15-0.4 kg/m2/week, and farmers earned ~100-200 USD/household/month. Higher guano production in peak (normally wet) season was associated with greater bat abundance (p=0.016). The lesser Asiatic yellow house bat (Scotophilus kuhlii) was the only bat species identified. Roosts were <20 m from guano-producing households. Neighbors and households’ hygiene risks included not having handwashing stations and not covering food in storage/while drying. Alphacoronaviruses or Infectious Bronchitis Virus were found in 14.6%, 17.3%, 2.9%, 1.4%, and 0.0% of guano, urine, surface, food, and water samples, respectively. While guano farming offers economic benefits, spillover risks exist. Safe guano collection and storage, handwashing, and food covering in guano-producing communities are necessary to mitigate spillover risks.