Preprint
Article

This version is not peer-reviewed.

Interannual and Intraseasonal Variability of Drought and Heatwaves and Their Effects on Expanding Soybean Production Regions in Brazil

Submitted:

04 March 2026

Posted:

09 March 2026

You are already at the latest version

Abstract
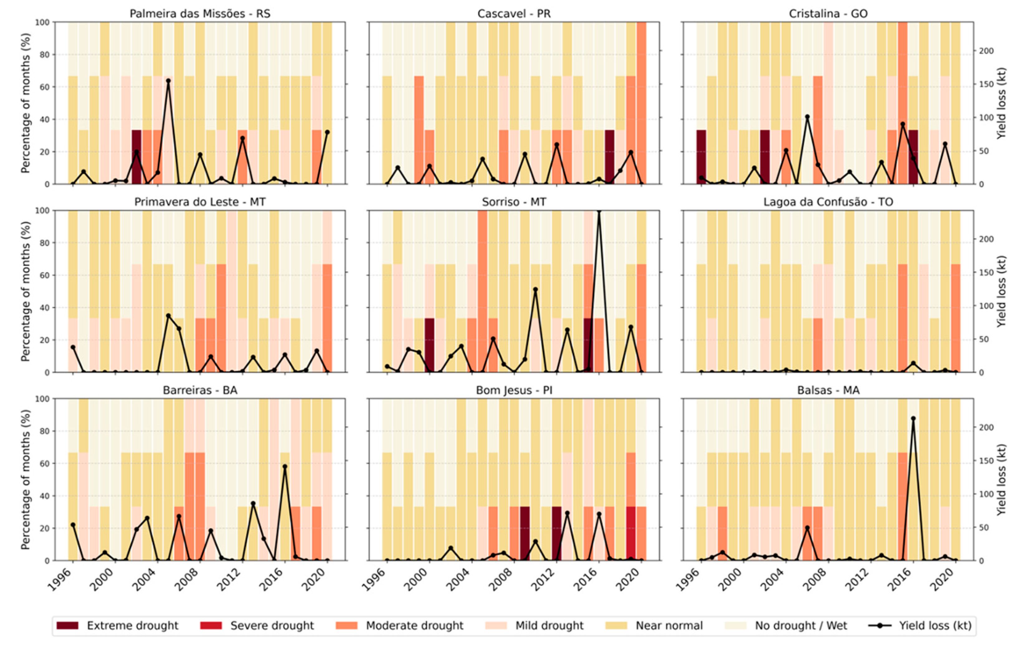
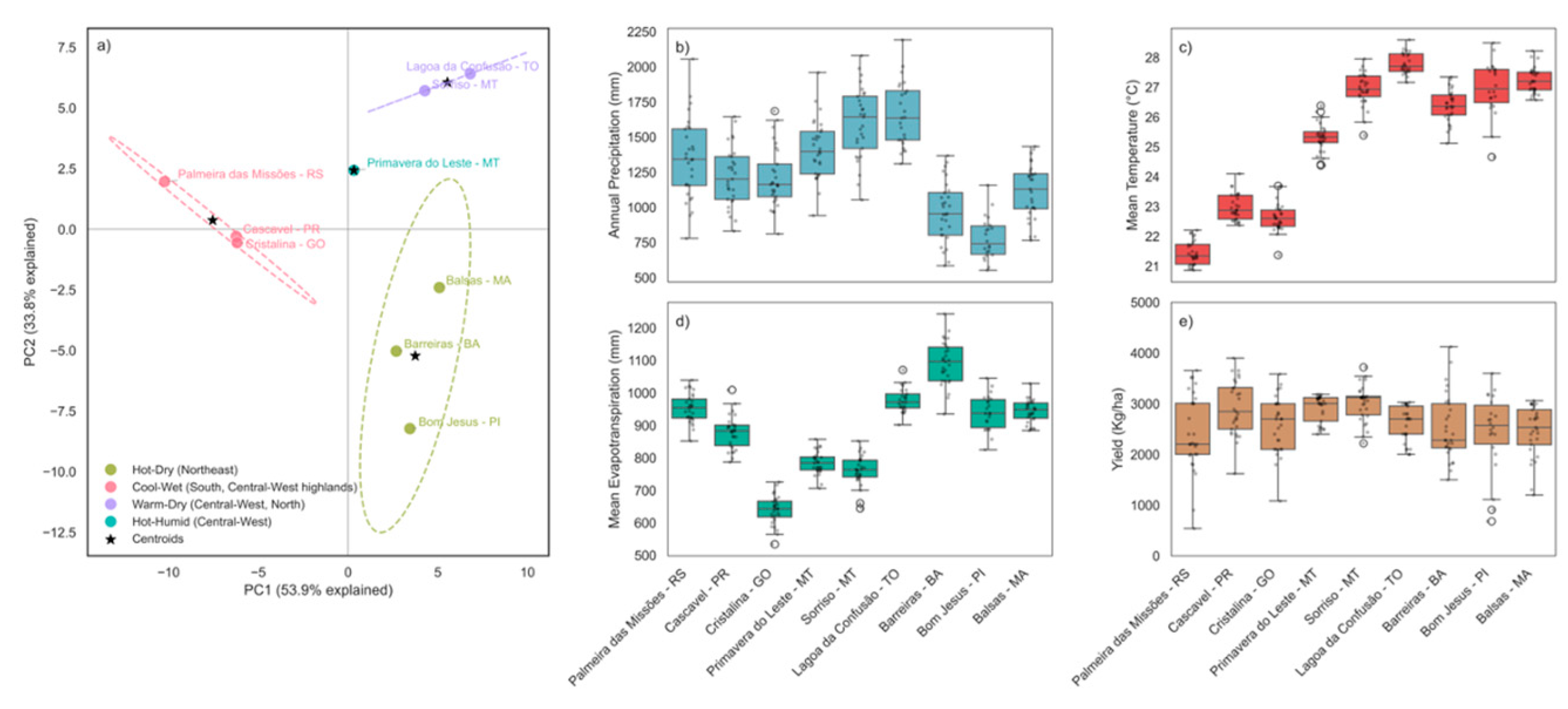
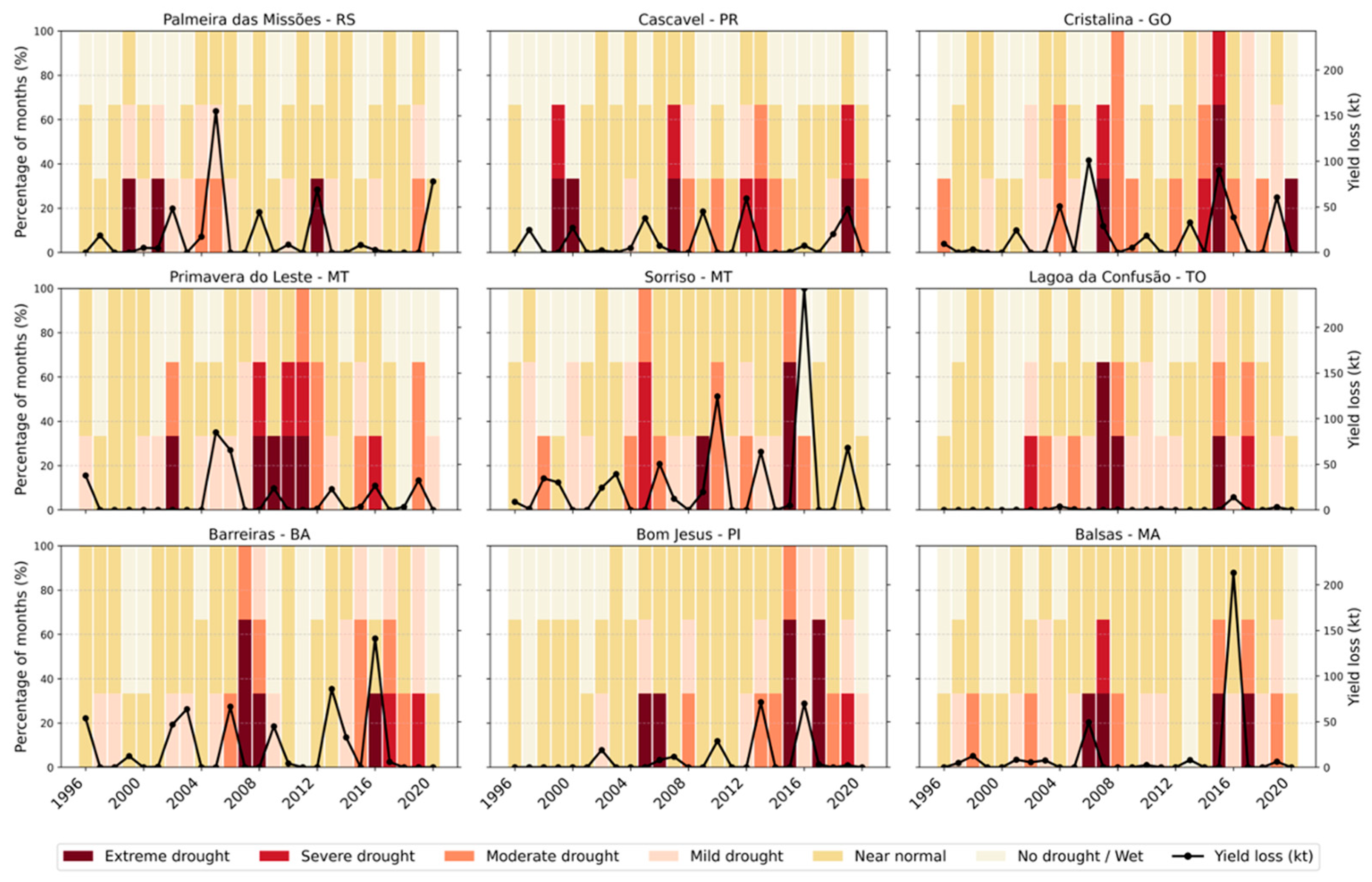
Climate extremes are critical constraints on agricultural productivity, particularly in tropical regions experiencing rapid agricultural expansion. This study examines spati-otemporal changes in soybean yields in response to droughts and heatwaves across highly productive municipalities in Brazil from 1989 to 2020. By integrating high-resolution meteorological data, satellite-derived evapotranspiration estimates, and municipal-level crop yield data, we apply standardized drought indices (Standardized Precipitation Index, Standardized Precipitation Evapotranspiration Index, and Warm Spell Duration Index) to identify climate-yield relationships across Brazil’s heterogeneous agroclimatic zones. Results reveal a marked increase in the frequency and intensity of compound drought–heat events, particularly in the Matopiba frontier, where yield sen-sitivity to hydroclimatic stress is highest. Spatial models confirm that short-term dry events, rather than long-term mean climate shifts, are the dominant drivers of recent yield variability, with significant spatial spillover effects observed across municipalities. The findings underscore the growing vulnerability of rainfed agriculture in Brazil and highlight the critical role of seasonal timing, crop phenology, and regional climate re-gimes in mediating climate risk. This study provides empirical evidence linking com-pound extremes to agricultural performance and offers a scalable framework for early warning systems and climate-resilient policy design.
Keywords: 
;  ;  
Copyright: This open access article is published under a Creative Commons CC BY 4.0 license, which permit the free download, distribution, and reuse, provided that the author and preprint are cited in any reuse.
Prerpints.org logo

Preprints.org is a free preprint server supported by MDPI in Basel, Switzerland.

Subscribe

Disclaimer

Terms of Use

Privacy Policy

Privacy Settings

© 2026 MDPI (Basel, Switzerland) unless otherwise stated