Preprint
Article

This version is not peer-reviewed.

Injury History and Mental Health Indicators: Profiles in Young Soccer Players

Submitted:

02 March 2026

Posted:

03 March 2026

You are already at the latest version

Abstract
Background and Objectives: The relationship between mental health and sports injuries is increasingly relevant in soccer, given the psychological vulnerability of young athletes to training and competition demands. This study aimed to examine the association between injury history and mental health indicators (anxiety, stress, and depression), and to ex-plore whether injury history differed according to gender, competitive category, and play-ing position. Materials and Methods: A total of 146 soccer players (79 males, 67 females) aged 12–30 years from Under-14, Under-16, Under-18, and Senior categories completed the STAI-T and DASS-21 questionnaires. Mental health levels were compared across inju-ry history groups (no injuries, 1–2 injuries, >2 injuries), and associations with gender, cat-egory, and position were examined. Results: Overall, 73.3% of players reported at least one injury, with no significant differences by gender, category, or playing position. Significant differences were found for anxiety: players with a higher number of injuries reported higher levels of trait anxiety (STAI-T) and anxiety symptoms (DASS-21). No significant group differences were observed for stress and depression, although scores showed an in-creasing trend with greater injury history. Conclusions: Injury history in soccer players was primarily associated with anxiety indicators. These findings highlight the importance of considering the emotional impact of injuries, especially anxiety, and support the inclusion of targeted psychological strategies within injury prevention programs and during reha-bilitation.
Keywords: 
;  ;  ;  ;  ;  

1. Introduction

In the context of football, it is particularly important to analyze the factors associated with the occurrence of injuries due to their high prevalence and incidence. The incidence of injury can vary widely depending on exposure, ranging from 0.5 to 45 injuries per 1,000 h of training and competition [1,2]. Among young competitive players, between 34% and 66.5% suffer at least one injury during the season [3,4].
These data are particularly important considering that injuries are common in competitive sports and lead to interruptions in sports practice that can cause pain, emotional distress, frustration, loss of confidence, difficulties in daily life, and uncertainty about the future [5,6,7]. These authors suggest that, as a result, injuries affect not only physical health but also mental health, negatively impacting the psychological well-being and quality of life of the athlete.
Traditionally, sports injuries have been explained mainly by biomechanical factors (e.g., muscle imbalances, joint misalignments, mobility limitations), physiological factors (e.g., accumulated fatigue, insufficient recovery, strength deficits), and sports-related factors (e.g., high training load, excessive competitive volume, early specialization) [8,9,10]. However, there is growing evidence that psychological factors and mental health also influence both onset and recovery from injuries. In this sense, the relationship between mental health and injury appears to be bidirectional: certain psychological indicators may increase vulnerability to injury, while the injury itself can significantly affect the athlete’s psychological well-being [11,12].
Within this framework, Andersen and Williams’ Psychological Model of Sports Injury [13,14,15] conceptualizes injury as the result of the interaction between individual factors (e.g., personality traits, anxiety, coping skills), contextual factors (e.g., competitive pressure, social support, training conditions) and physiological and emotional responses to stress. This interaction influences both the risk of injury and the recovery processes and vulnerability to future relapses [16,17,18].
This perspective is particularly relevant in children, adolescents and young athletes, given their stage of development, characterized by growth and hormonal, physical, psychological, social and sporting changes, which can increase their vulnerability to stress and, consequently, their risk of injury [19,20,21].
Previous evidence has linked sports injuries to mental health indicators such as anxiety, stress and depression in the adult population [22,23,24]. Similar patterns have been observed in adolescent athletes [25]. Specifically, in young footballers, it has been reported that a higher frequency and severity of injuries is associated with higher levels of anxiety, stress and depressive symptoms, with anxiety being a particularly sensitive variable in those who have suffered at least one injury [4,26].
In youth categories, injury risk analysis must also consider variables specific to the sporting context, such as age/category and playing position. In football academies, the incidence of injuries tends to increase as the competitive category increases, probably due to greater physical and psychological demands [27]. Prospective studies in grassroots football indicate that, with age, muscle injuries and joint sprains increase, as does the risk of overuse or growth-related injuries [3,4,28]. Likewise, playing position determines exposure and injury profile: outfield players—especially midfielders and wingers—tend to have higher injury rates due to their greater locomotor and participation demands, while goalkeepers tend to show a lower overall incidence, although with a specific profile associated with explosive actions, falls and impacts [29,30,31].
Therefore, the objective of this study was to analyze the relationship between the history of sports injuries and various indicators of mental health in young soccer players, as well as its association with sociodemographic and sports variables. Specifically, the aim is to determine whether there are different profiles between uninjured players and players who have suffered one or more injuries in terms of their levels of anxiety, stress, and depression, and to check whether these profiles differ according to gender, sports category, and playing position.
In line with previous evidence and the Psychological Model of Sports Injuries, the following research hypotheses are proposed:
H1. Players with a history of one or more injuries will have significantly higher levels of anxiety, stress, and depression compared to uninjured players.
H2. Differences in mental health indicators based on injury history will vary according to sociodemographic and sports variables, specifically gender, competitive category, and playing position.

2. Materials and Methods

2.1. Design

Following the methodological classification of Ato et al. [32], a non-experimental study with an associative-comparative and cross-sectional design was conducted, aimed at analyzing the relationship between variables and comparing differences between groups without manipulation or random assignment, using attributive variables for the classification of participants and collecting data at a single point in time.

2.2. Participant

The sample consisted of 146 soccer players belonging to different teams of a professional club, ranging in age from 12 to 30 years (M = 16.65, SD = 2.34), distributed into four categories: Children (n = 7; 12–13 years; M = 12.7, SD = 0.49), Cadet (n = 28; 13–15 years; M = 14.5, SD = 0.55), Youth (n = 94; 14–19 years; M = 16.8, SD = 1.04), and Senior (n = 17; 19–30 years; M = 21.0, SD = 2.69). In terms of gender, 54.1% were men (n = 79) and 45.9% were women (n = 67).
The total number of participants was 165 players, of whom 19 were excluded for not completing all the tests. Non-probability convenience sampling was used, selecting participants based on their accessibility and willingness to participate.
The players completed between three and four training sessions per week, lasting approximately 90 min per session, in addition to participating in league matches on the weekend.
The assessment process was carried out by a licensed psychologist specializing in sports psychology with more than six years of professional experience, under the supervision and guidance of a senior sports psychologist with more than 25 years of professional experience.

2.3. Instruments

A questionnaire designed specifically for this study was used to obtain data on the sociodemographic and sporting characteristics of the participants, such as competitive level, usual position on the field, and history of injuries during the previous season, including their presence, number, and severity.
Depression, Anxiety, and Stress Scale-21 (DASS-21): To assess the participants’ recent emotional state, the validated Spanish version of the DASS-21 [33], based on the original instrument [34], was used. This self-reported questionnaire consists of 21 items distributed across three subscales of 7 items each, which assess depression, anxiety, and stress using a 4-point Likert scale (0 = “never,” 3 = “almost always”). The depression subscale explores symptoms of sadness, lack of motivation, and decreased interest or pleasure; the anxiety subscale measures tension, fear, and physiological arousal related to anxiety; and the stress subscale assesses irritability, difficulty relaxing, and feelings of being overwhelmed. The DASS-21 has high internal consistency (α > .80) and adequate convergent and discriminant validity [33]. In the sample of this study, the reliability coefficient was α = .90.
State-Trait Anxiety Inventory (STAI-T): To assess trait anxiety, the STAI-T subscale was used, consisting of 20 items with responses on a 4-point Likert scale [35], adapted into Spanish [36]. This self-reported questionnaire measures a person’s stable tendency to perceive situations as threatening and to react anxiously on a regular basis. In other words, it quantifies the individual’s predisposition to experience chronic anxiety, regardless of momentary circumstances. Previous studies show that the STAI-R has high internal consistency (α > .86) and good validity in the Spanish population [36]; in the sample of this study, an α of .93 was obtained.

2.4. Procedure

In the initial phase, the club’s sporting director and the head of the Psychological Support Service were contacted to present the project to them. The procedure and conditions for applying the assessment tools were then explained to the coaches.
For underage players, informed consent was obtained from their parents, guardians, or legal representatives. Data collection was carried out in groups in the locker rooms of the teams that met the necessary conditions for the assessment (temperature, lighting, noise level, and available space), adapting to each team’s training schedule. The sports psychologist was present throughout the process.
The study was conducted in accordance with the principles of the Declaration of Helsinki [37,38,39] and the Ethical Standards in Sports and Exercise Science Research [40]. Participation was completely voluntary, and participants did not receive any financial compensation for their collaboration.

2.5. Statistical Analysis

Statistical analysis was performed using IBM SPSS (v. 21). First, descriptive statistics (mean and standard deviation) for anxiety, stress, and depression were calculated based on injury history. To compare differences between groups according to the number of injuries (0, 1–2, and >2), a one-way ANOVA was performed; the assumption of homogeneity of variances was tested using Levene’s test, and, when appropriate, post hoc comparisons were made using the Games-Howell test to identify which groups differed from each other. Additionally, the association between the number of injuries and categorical variables (gender, competitive category, and playing position) was examined using chi-square tests. In all analyses, a significance level of p < 0.05 was established.

3. Results

The results are presented according to the objectives set, comparing the distribution of injury history (no injuries, one or two injuries, and more than two injuries) according to personal and sporting variables (see Table 1). Firstly, it should be noted that, for the total sample (N = 146), 73.3% of young soccer players have had some kind of sports injury, with the most common being 1-2 injuries (54.8%), no injuries (26.7%), and more than 2 injuries (18.5%).
In terms of gender, the distribution of the number of injuries was similar in males and females. Among males (n = 79), 25.3% (n = 20) reported no injuries, 55.7% (n = 44) reported one or two injuries, and 19.0% (n = 15) reported more than two injuries. In women (n = 67), 28.4% (n = 19) reported no injuries, 53.7% (n = 36) reported one or two injuries, and 17.9% (n = 12) reported more than two injuries. Pearson’s chi-square test showed no statistically significant differences between sex and number of injuries (X2(2) = 0.174, p = 0.917), fulfilling the assumption of expected frequencies (no cell < 5; minimum expected frequency = 12.39).
In relation to the main playing position (see Table 2), the distribution of the number of injuries was described. Among goalkeepers (n = 14), 7.1% (n = 1) reported no injuries, 64.3% (n = 9) reported one or two injuries, and 28.6% (n = 4) reported more than two injuries. Among defenders (n = 48), 33.3% (n = 16) had no injuries, 47.9% (n = 23) reported one or two injuries, and 18.8% (n = 9) reported more than two injuries. Among midfielders (n = 30), 20.0% (n = 6) reported no injuries, 60.0% (n = 18) reported one or two injuries, and 20.0% (n = 6) reported more than two injuries. Finally, among forwards (n = 54), 29.6% (n = 16) reported no injuries, 55.6% (n = 30) reported one or two injuries, and 14.8% (n = 8) reported more than two injuries. Pearson’s chi-square test showed no statistically significant differences between the main playing position and the number of injuries (X2(6) = 5.474, p = 0.485), although two cells (16.7%) had expected frequencies below 5 (minimum expected frequency = 2.59).
The distribution of the number of injuries was described in relation to the category in which they currently compete (see Table 3). In the Children’s category (n = 7), 71.4% (n = 5) reported no injuries and 28.6% (n = 2) reported one or two injuries, with no cases of more than two injuries. In Cadet (n = 28), 32.1% (n = 9) had no injuries, 46.4% (n = 13) reported one or two injuries, and 21.4% (n = 6) reported more than two injuries. In the Juvenile category (n = 94), 22.3% (n = 21) reported no injuries, 56.4% (n = 53) reported one or two injuries, and 21.3% (n = 20) reported more than two injuries. Finally, in the Senior category (n = 17), 23.5% (n = 4) reported no injuries, 70.6% (n = 12) reported one or two injuries, and 5.9% (n = 1) reported more than two injuries. Pearson’s chi-square test showed no statistically significant differences between the category and the number of injuries, X2(6) = 11.620, p = 0.071). However, this result should be interpreted with caution, as five cells (41.7%) had expected frequencies below 5 (minimum expected frequency = 1.29), which could affect the validity of the statistic. Although the p-value was close to the conventional significance threshold (p = 0.05), it did not reach the established level (p = 0.071).
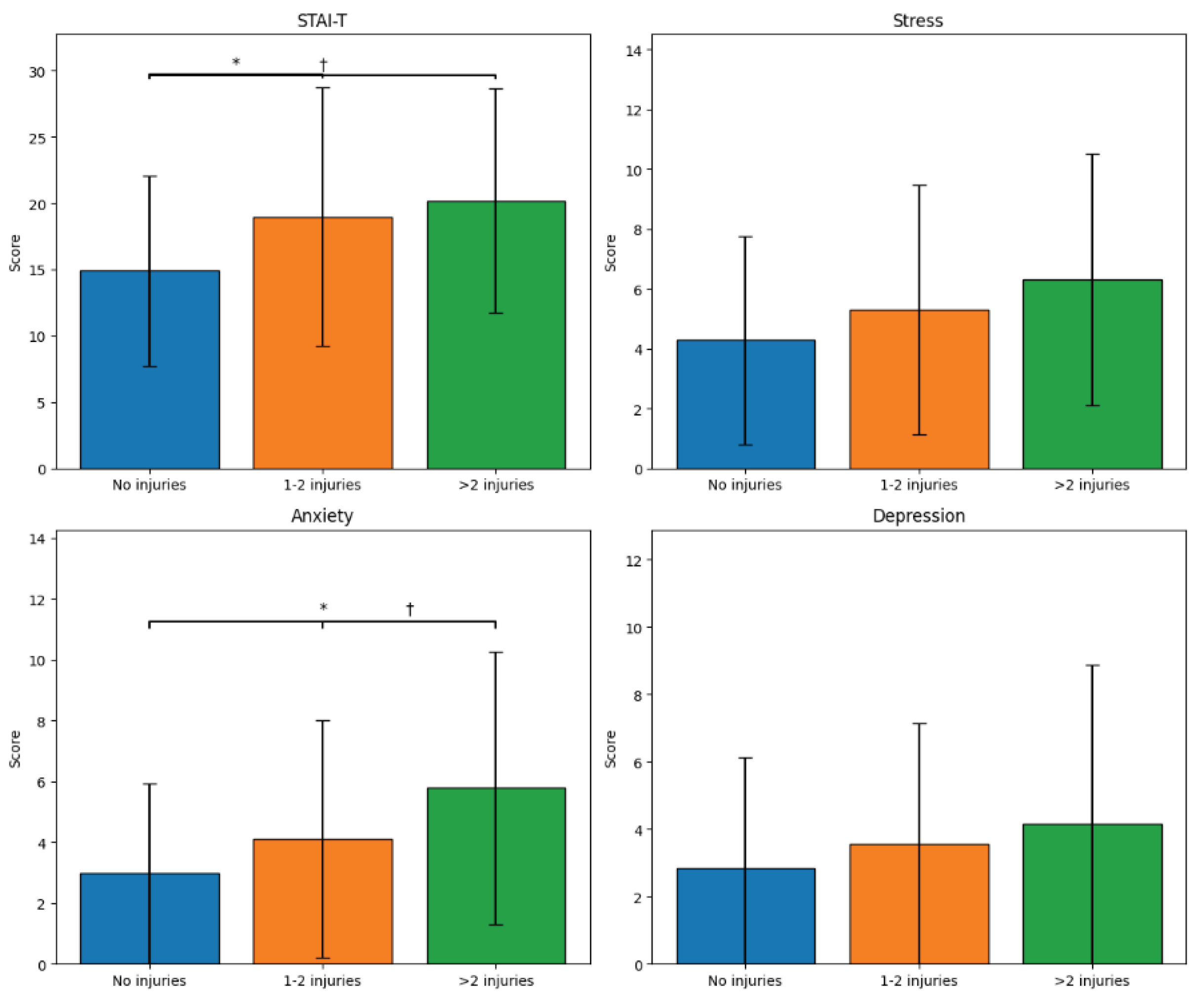
In order to analyze the relationship between mental health indicators and the number of sports injuries, descriptive statistics are presented by injury history groups (see Table 4). In general, a pattern of increase in psychological indicators can be seen as the number of injuries increases.
First, trait anxiety showed progressively higher values in players with a history of injuries: the group without injuries had lower scores (M = 14.90; SD = 7.15) compared to the group with one or two injuries (M = 18.96; SD = 9.76) and the group that reported more than two injuries (M = 20.19; SD = 8.45). Similarly, anxiety (DASS-21) was higher in the group with more than two injuries (M = 5.78; SD = 4.48) than in the group with one or two injuries (M = 4.12; SD = 3.90) and the group without injuries (M = 2.97; SD = 2.95).
In terms of Stress (DASS-21), an increase associated with the number of injuries was also observed: soccer players with more than two injuries had higher scores (M = 6.30; SD = 4.20) than those with one or two injuries (M = 5.31; SD = 4.16) and the group without injuries (M = 4.28; SD = 3.47). Finally, in Depression (DASS-21), an upward trend was also observed (no injuries: M = 2.85; SD = 3.28; one–two injuries: M = 3.56; SD = 3.57; more than two injuries: M = 4.15; SD = 4.73), although with greater variability among participants.
Additionally, a one-way ANOVA was performed to examine whether the number of injuries (0, 1-2, >2) was associated with mental health indicators. The results showed that there were no significant differences in Stress (DASS 21) (F(2,143) = 2.11, p = 0.129) and Depression (DASS 21) (F(2,143) = 0.98, p = 0.377). However, significant differences were observed in Trait Anxiety (F(2,143) = 3.68, p = 0.029) and Anxiety (DASS 21) (F(2,143) = 4.63, p = 0.014). Levene’s test indicated a violation of the assumption of homogeneity of variances (p < 0.05), so the Games-Howell procedure was chosen to analyze the post hoc differences (see Table 5).
These analyses indicate that, in Trait Anxiety, athletes without injuries had significantly lower scores than those with 1-2 injuries (p < 0.05) and >2 injuries, with a value close to the conventional significance threshold (p = 0.05), although it did not reach the established level (p = 0.056). No significant differences were observed between the “1-2 injuries” and “>2 injuries” groups.
With regard to anxiety (DASS 21), athletes without injuries also showed significantly lower scores than those with >2 injuries (p < 0.05), while athletes with >2 injuries obtained higher scores than those with 1-2 injuries.
Taken together, these findings suggest that injury history is mainly associated with indicators of anxiety, while stress and depression do not appear to vary significantly depending on the number of injuries, although an increase can be seen as the frequency of injuries increases (see Figure 1).

4. Discussion

This study examined the relationship between a history of sports injuries and mental health indicators in young soccer players, also considering sociodemographic and sports variables. The results show that most participants (73.3%) reported at least one injury during the season, with one to two injuries being the most common. This high prevalence is consistent with previous literature on youth soccer, which describes variable but substantial injury rates among adolescents [1,2,3,4], and reinforces the importance of addressing mental health in this context.
In relation to mental health indicators, the results support H1, showing that a history of injuries is mainly associated with higher levels of anxiety, while stress and depression showed similar trends but did not reach statistical significance. Similar results were obtained in adult athletes [22,23,24] and young soccer players [4,26].
Despite this, the most consistent findings were observed in anxiety measures. Both Trait Anxiety (STAI-T) and State Anxiety (DASS-21) showed a progressive increase with the number of injuries, reaching significant differences between players without injuries and those with one or more injuries. The STAI-T, which measures a person’s habitual tendency to perceive situations as threatening and to react with anxiety, reflects an increase in the general predisposition to experience anxiety [35,36]. In this case, suffering 1-2 or more than 2 injuries are associated with a higher anxiety trait.
For its part, the DASS-21 anxiety subscale, which assesses recent symptoms such as tension, fear, and physiological arousal, shows that injured players also experience greater emotional distress at the present time [33,34]. Specifically, the data indicate that athletes with two or more injuries have symptoms of state anxiety. The convergence of both instruments suggests that injuries affect both chronic and situational anxiety, having a sustained impact on the psychological well-being of young soccer players.
This pattern suggests that anxiety may be a sensitive indicator of psychological vulnerability to injury in young soccer players, as proposed by Andersen and Williams’ Psychological Model of Sports Injuries [13,14,15], in which individual factors and emotional responses to stress interact to influence the occurrence and recovery of injuries. These results are doubly representative due to the bidirectionality between mental health and sports injuries [11,12].
The results also allow us to reflect on the importance of considering contextual and sociodemographic variables in the interpretation of psychological profiles, in line with H2. Although no significant differences were observed between sex, category, or playing position in the injury frequency analyses, the literature indicates that they do condition exposure and type of injury [3,4,28,29,30,31]. The absence of significant differences in the sample can be explained by the limited size of some subgroups (e.g., goalkeepers and children) and the high heterogeneity in the participants’ sporting experience.
Likewise, in relation to gender, the distribution of injuries was relatively homogeneous between men and women. However, variables such as age and competitive experience could influence exposure and type of injury, in line with previous studies that point to an increase in injury risk as physical and sporting demands increase in higher categories [27,28,31].
On the other hand, although no statistically significant differences were observed based on competitive category, the value obtained was close to the conventional threshold of significance. In this regard, the Children’s category stands out, 71.4% of players reported no injuries, which could be related to lower physical and competitive demands at these ages, as suggested by previous research [3,4].

5. Limitations

This study has several limitations that should be considered when interpreting the results. First, the cross-sectional design prevents establishing causal relationships between injury history and mental health indicators; therefore, the findings should be understood in associative terms. It is not possible to determine whether anxiety acts as a predisposing factor for injury or whether it is a consequence of injury.
Second, information on injury history was obtained through self-reporting, which may introduce recall bias and variability in the subjective perception of injury, especially in training categories. In addition, relevant variables such as severity, type of injury, or time elapsed since the last injury were not considered, factors that the literature points to as determinants in the psychological response to the injury process.
Likewise, the heterogeneity of the sample in terms of age and competitive category, together with the small size of some subgroups (e.g., goalkeepers or children’s category), may have limited the statistical power to detect significant differences in contextual variables such as playing position or category. Finally, although validated instruments with adequate internal consistency (STAI-T and DASS-21) were used, the assessment was based exclusively on self-reported questionnaires, without being supplemented by clinical interviews or objective measures, which could limit the depth of the analysis of the participants’ psychological state.

6. Practical Applications

Despite the limitations noted, the results of the study provide relevant practical implications for youth soccer. First, the findings underscore the need to incorporate psychological assessment and monitoring—especially of anxiety—into sports injury prevention and rehabilitation programs. Early identification of players with higher levels of anxiety, particularly those with a history of multiple injuries, would allow for the design of specific interventions aimed at improving emotional regulation, reducing fear of relapse, and facilitating a gradual and safe return to competition.
Secondly, the results support the importance of adopting a comprehensive approach to injury management, combining information on injury history, individual characteristics, and contextual variables of the sporting environment. In this sense, interdisciplinary coordination between coaches, physical trainers, medical staff, and sports psychologists is recommended, with the aim of jointly addressing the physical and psychological aspects of the injury process.
Finally, in training contexts, the systematic integration of psychological support strategies could not only help reduce the risk of new injuries, but also promote emotional well-being, sports adherence, and long-term healthy development in young soccer players.

7. Conclusions

The results of this study indicate that, in youth soccer players, a history of sports injuries is mainly associated with higher levels of anxiety, both in terms of trait and state anxiety. As the number of injuries increases, a progressive increase in anxiety is observed, reaching statistically significant differences between players without injuries and those with a history of injuries, while stress and depression also increase, although they only showed non-significant trends.
Although no statistically significant differences were found in the distribution of injuries according to gender, playing position, or competitive category, descriptive patterns were identified that suggest possible variations associated with certain training stages and sporting demands.
Taken together, these findings reinforce the need to incorporate the psychological dimension, especially anxiety, into the prevention, assessment, and recovery of sports injuries in young soccer players, promoting a comprehensive approach to the injury process that transcends the exclusively physical perspective and integrates individual, contextual, and emotional factors.

Author Contributions

Conceptualization, Alejo García-Naveira and Laura Gil-Caselles; methodology, Alejo García-Naveira and Laura Gil-Caselles; software, Alejo García-Naveira; validation, Alejo García-Naveira, Laura Gil-Caselles, and Aurelio Olmedilla-Zafra; formal analysis, Alejo García-Naveira; investigation, Alejo García-Naveira and Carmen Cerezuela Díaz; resources, Aurelio Olmedilla-Zafra; data curation, Alejo García-Naveira and Carmen Cerezuela Díaz; writing—original draft preparation, Alejo García-Naveira; writing—review and editing, Laura Gil-Caselles and Aurelio Olmedilla-Zafra; visualization, Alejo García-Naveira; supervision, Aurelio Olmedilla-Zafra; project administration, Aurelio Olmedilla-Zafra; funding acquisition, Aurelio Olmedilla-Zafra. All authors have read and agreed to the published version of the manuscript.

Funding

This research received no external funding.

Institutional Review Board Statement

Her study was conducted in accordance with the Declaration of Helsinki and approved by Research Ethics Committee of the University of Murcia for studies involving humans.

Informed Consent Statement

Informed consent was obtained from all subjects involved in the study.

Data Availability Statement

The raw data supporting the conclusions of this article will be made available by the authors, without undue reservation.

Acknowledgments

Our thanks to all the athletes who participated in this study for contributing their personal experiences to our field of research.

Conflicts of Interest

The authors declare no conflicts of interest.

Abbreviations

The following abbreviations are used in this manuscript:
DASS-21 Depression Anxiety Stress Scales–21
STAI State–Trait Anxiety Inventory
STAI-R Trait Anxiety

References

  1. Lakshakar, P.; Sathe, P.; Sathe, A. Common Sports Injury in Football Players: A Review. Int. J. Sci. Heal. Res. 2022, 7, 26–34. [Google Scholar] [CrossRef]
  2. López-Valenciano, A.; Raya-González, J.; Garcia-Gómez, J.A.; Aparicio-Sarmiento, A.; de Baranda, P.S.; Croix, M.D.S.; Ayala, F. Injury Profile in Women’s Football: A Systematic Review and Meta-Analysis. Sports Med. 2021, 51, 423–442. [Google Scholar] [CrossRef] [PubMed]
  3. Robles-Palazón, F.J.; Ruiz-Pérez, I.; Aparicio-Sarmiento, A.; Cejudo, A.; Ayala, F.; de Baranda, P.S. Incidence, burden, and pattern of injuries in Spanish male youth soccer players: A prospective cohort study. Phys. Ther. Sport 2022, 56, 48–59. [Google Scholar] [CrossRef] [PubMed]
  4. Sánchez-Ruiz, R.; Gil-Caselles, L.; García-Naveira, A.; Arbinaga, F.; Ruiz-Barquín, R.; Olmedilla-Zafra, A. Competitive Anxiety, Sports Injury, and Playing Category in Youth Soccer Players. Children 2025, 12, 1094. [Google Scholar] [CrossRef]
  5. Agresta, C.E.; Krieg, K.; Freehill, M.T. Risk Factors for Baseball-Related Arm Injuries: A Systematic Review. Orthop. J. Sports Med. 2019, 7. [Google Scholar] [CrossRef]
  6. Herrero, C.P.; Jejurikar, N.; Carter, C.W. The psychology of the female athlete: How mental health and wellness mediate sports performance, injury and recovery. Ann. Jt. 2021, 6, 38. [Google Scholar] [CrossRef]
  7. Jeong, L.; Li, D. Psychological Well-Being from Sports Injuries in Adolescence: A Narrative Review. Cureus 2024, 16, e64018. [Google Scholar] [CrossRef]
  8. Olmedilla Zafra, A.; Toro, E.O.; Cano, L.A.; Esteve, A.B. Lesiones deportivas y psicología: Una revisión (2000-2009). Cuad. Psicol. Deporte 2011, 11, 45–57. [Google Scholar]
  9. Piussi, R.; Ivarsson, A.; Johnson, U.; Senorski, E.H. Psychological Factors in Sports Injury Rehabilitation: How Can a Sports Rehabilitation Practitioner Facilitate Communication? JOSPT Open 2024, 2, 1–3. [Google Scholar] [CrossRef]
  10. Rogers, D.L.; Tanaka, M.J.; Cosgarea, A.J.; Ginsburg, R.D.; Dreher, G.M. How Mental Health Affects Injury Risk and Outcomes in Athletes. Sports Health Multidiscip. Approach 2023, 16, 222–229. [Google Scholar] [CrossRef]
  11. Gil-Caselles, L.; Barquín, R.R.; Egido, J.M.G.; Olmedilla-Zafra, A. Bidirectional relationship between mental health and sport injuries: A review of reviews. Apunt. Sports Med. 2024, 59. [Google Scholar] [CrossRef]
  12. Gil-Caselles, L.; Barquín, R.R.; Gimenez-Egido, J.M.; García-Naveira, A.; Olmedilla, A. A perfectionism, mental health and vulnerability to injury in triathletes. Front. Psychol. 2025, 16, 1561432. [Google Scholar] [CrossRef] [PubMed]
  13. Andersen, M.B.; Williams, J.M. A Model of Stress and Athletic Injury: Prediction and Prevention. J. Sport Exerc. Psychol. 1988, 10, 294–306. [Google Scholar] [CrossRef]
  14. Olmedilla Zafra, A.; García-Mas, A. El modelo global psicológico de las lesiones deportivas [A global psychological model of the sportive injuries]. Acción psicol 2009, 6. [Google Scholar] [CrossRef]
  15. Williams, J.M.; Andersen, M.B. Psychosocial antecedents of sport injury: Review and critique of the stress and injury model'. J. Appl. Sport Psychol. 1998, 10, 5–25. [Google Scholar] [CrossRef]
  16. Olmedilla-zafra, A.; García-Mas, A. Psycholight: Protocolo de evaluación e intervención psicológica para la prevención y la rehabilitación de lesiones deportivas. Revista de Psicología Aplicada al Deporte y el Ejercicio Físico 2023, 8, e2. [Google Scholar] [CrossRef]
  17. van Winden, D.; van Rijn, R.M.; Savelsbergh, G.J.P.; Oudejans, R.R.D.; Stubbe, J.H. The Association Between Stress and Injury: A Prospective Cohort Study Among 186 First-Year Contemporary Dance Students. Front Psychol 2021, 12, 770494. [Google Scholar] [CrossRef]
  18. Olmedilla-Zafra, A.; García-Alarcón, A.; Ortega, E. Relationships between Sports Injuries and Stress in Female Football and Indoor Football. J. Sport Health Res. 2018, 10, 339–348. [Google Scholar]
  19. Weiß, M.; Büttner, M.; Richlan, F. The Role of Sport Psychology in Injury Prevention and Rehabilitation in Junior Athletes. Behav. Sci. 2024, 14, 254. [Google Scholar] [CrossRef]
  20. Haraldsdottir, K.; Watson, A.M. Psychosocial Impacts of Sports-related Injuries in Adolescent Athletes. Optom. Vis. Sci. 2021, 20, 104–108. [Google Scholar] [CrossRef]
  21. Naderi, A.; Rahimi, M.; Zarghami, S.Y.; Tranaeus, U.; Calmeiro, L. Psychosocial Factors Associated With Lower Extremity Reinjury Risk in Soccer Players: Contribution of Self-Confidence and Reinjury Anxiety. J. Athl. Train. 2024, 59, 1035–1041. [Google Scholar] [CrossRef] [PubMed]
  22. Boladeras, A.; Gil-Caselles, L.; Moreno-Fernández, I.; Guillén-Cots, J.; Garcia-Naveira, A.; Ruiz-Barquín, R.; Olmedilla-Zafra, A. The Relationship Between Mood, Competitive Anxiety, and Injuries: A Longitudinal Analysis in High-Performance Female Volleyball Players. Appl. Sci. 2025, 15, 7585. [Google Scholar] [CrossRef]
  23. Zafra, A.O.; Toro, E.O.; López, J.A.M.; Angulo, A.G. Relación entre niveles de depresión y lesiones deportivas en jugadores de fútbol y fútbol sala. Sport TK-Revista Euroam. Cienc. Deport. 2017, 6, 35–40. [Google Scholar] [CrossRef]
  24. Gil-Caselles, L.; Ruiz-Barquín, R.; Gimenez-Egido, J.M.; Garcia-Naveira, A.; Olmedilla-Zafra, A. Impact of Injury Frequency and Severity on Mental Health Indicators in Triathletes: A Repeated-Measures Study. Healthcare 2025, 13, 1657. [Google Scholar] [CrossRef]
  25. Ríos-Garit, J.; Berengüí, R.; Solé-cases, S.; Pérez-surita, Y.; Cañizares-hernández, M.; Rodríguez, R.C. Ansiedad, estados de ánimo y habilidades psicológicas en jóvenes deportistas lesionados en proceso de rehabilitación. Revista de Psicología Aplicada al Deporte y el Ejercicio Físico 2024, 9, e10. [Google Scholar] [CrossRef]
  26. Moreno-Fenoll, B.; Gil-Caselles, L.; Gomez-Espejo, V.; Garcia-Naveira, A.; Ruiz-Barquín, R.; Olmedilla-Zafra, A. Effectiveness of a cognitive behavioural intervention on mental health in young footballers: A quasi-experimental study. World Journal of Psychiatry 2026. [Google Scholar]
  27. Gamonales, J.M.; Hernández-Beltrán, V.; Perdomo-Alonso, A.; Barguerias-Martínez, J.; Gómez-Carrero, S.; Ferreira, C.C.; Santos, F.J.; Espada, M.C. ¿Influye la categoría y posición de juego en las lesiones deportivas en fútbol? (Does the category and game position influence sports injuries in football?). Retos 2024, 54, 817–824. [Google Scholar] [CrossRef]
  28. Weishorn, J.; Jaber, A.; Trefzer, R.; Zietzschmann, S.; Kern, R.; Spielmann, J.; Renkawitz, T.; Bangert, Y. How Does Age Affect Injury Characteristics in Young Elite Footballers?—A Prospective Cohort Study of a German Youth Academy. J. Clin. Med. 2023, 12, 6938. [Google Scholar] [CrossRef]
  29. Hall, E.C.R.; Larruskain, J.; Gil, S.M.; Lekue, J.A.; Baumert, P.; Rienzi, E.; Moreno, S.; Tannure, M.; Murtagh, C.F.; Ade, J.D.; et al. Playing Position and the Injury Incidence Rate in Male Academy Soccer Players. J. Athl. Train. 2022, 57, 696–703. [Google Scholar] [CrossRef]
  30. Muracki, J.; Klich, S.; Kawczyński, A.; Boudreau, S.A. Injuries and Pain Associated with Goalkeeping in Football—Review of the Literature. Appl. Sci. 2021, 11, 4669. [Google Scholar] [CrossRef]
  31. Gamonales, J.M.; Hernández-Beltrán, V.; Perdomo-Alonso, A.; Barguerias-Martínez, J.; Gómez-Carrero, S.; Ferreira, C.C.; Santos, F.J.; Espada, M.C. ¿Influye la categoría y posición de juego en las lesiones deportivas en fútbol? (Does the category and game position influence sports injuries in football?). Retos 2024, 54, 817–824. [Google Scholar] [CrossRef]
  32. Ato, M.; López-García, J.J.; Benavente, A. Un sistema de clasificación de los diseños de investigación en psicología. An. Psicol./Ann. Psychol. 2013, 29, 1038–1059. [Google Scholar] [CrossRef]
  33. Bados, A.; Solanas, A.; Andrés, R. Psychometric properties of the spanish version of the depression, anxiety and stress scales (DASS). Psicothema 2005, 17, 679–683. Available online: https://reunido.uniovi.es/index.php/PST/article/view/8331.
  34. Lovibond, S.H.; Lovibond, P.F. Manual for the Depression Anxiety Stress Scales, 2nd ed.; Psychology Foundation: Sydney, 1995. [Google Scholar]
  35. Spielberger, C.D.; Gorsuch, R.L.; Lushene, R.E. Manual for the State-Trait Anxiety Inventory (Self-Evaluation Questionnaire); Consulting Psychologists Press: Palo Alto, CA, 1970. [Google Scholar]
  36. Spielberger, C.D.; Gorsuch, R.L.; Lushene, R.E.; Cubero, N.; Montoro, L.; Lázaro, J. Cuestionario de Ansiedad Estado-Rasgo STAI [versión española]; TEA Ediciones: Madrid, 1982. [Google Scholar]
  37. Bošnjak, S. The Declaration of Helsinki: The cornerstone of research ethics. Arch Oncol. 2001, 9(3), 179–184. [Google Scholar]
  38. World Medical Association World Medical Association. Declaration of Helsinki: Ethical Principles for Medical Research Involving Human Participants. J. Korean Med Assoc. 2025, 68, 333–337. [Google Scholar] [CrossRef]
  39. Tyebkhan, G. Declaration of Helsinki: The ethical cornerstone of human clinical research. Indian J Dermatol Venereol Leprol. 2007, 69, 245–247. [Google Scholar]
  40. Harriss, D.; MacSween, A.; Atkinson, G. Ethical Standards in Sport and Exercise Science Research: 2020 Update. Int. J. Sports Med. 2019, 40, 813–817. [Google Scholar] [CrossRef]
Figure 1. Mental health indicators according to the number of injuries in young soccer players. Note. Bars represent mean scores for each psychological variable across injury groups. p < .05; † p < .10. STAI-R = Trait Anxiety; DASS-21 = Depression, Anxiety, and Stress Scales.
Figure 1. Mental health indicators according to the number of injuries in young soccer players. Note. Bars represent mean scores for each psychological variable across injury groups. p < .05; † p < .10. STAI-R = Trait Anxiety; DASS-21 = Depression, Anxiety, and Stress Scales.
Preprints 201081 g001
Table 1. Number of injuries by sex in young football players.
Table 1. Number of injuries by sex in young football players.
Sex No Injuries One–Two Injuries More Than Two Injuries Total
Male (n = 79) 20 (25.3%) 44 (55.7%) 15 (19.0%) 79 (100%)
Female (n = 67) 19 (28.4%) 36 (53.7%) 12 (17.9%) 67 (100%)
Total (N = 146) 39 (26.7%) 80 (54.8%) 27 (18.5%) 146 (100%)
Table 2. Number of injuries by primary playing position in young football players.
Table 2. Number of injuries by primary playing position in young football players.
Primary Playing Position No Injuries One–Two Injuries More Than Two Injuries Total
Goalkeeper (n = 14) 1 (7.1%) 9 (64.3%) 4 (28.6%) 14 (100%)
Defender (n = 48) 16 (33.3%) 23 (47.9%) 9 (18.8%) 48 (100%)
Midfielder (n = 30) 6 (20.0%) 18 (60.0%) 6 (20.0%) 30 (100%)
Forward (n = 54) 16 (29.6%) 30 (55.6%) 8 (14.8%) 54 (100%)
Total (N = 146) 39 (26.7%) 80 (54.8%) 27 (18.5%) 146 (100%)
Table 3. Number of injuries by competitive category in young football players.
Table 3. Number of injuries by competitive category in young football players.
Current Competition Category No Injuries One–Two Injuries More Than Two Injuries Total
Infantil (n = 7) 5 (71.4%) 2 (28.6%) 0 (0.0%) 7 (100%)
Cadete (n = 28) 9 (32.1%) 13 (46.4%) 6 (21.4%) 28 (100%)
Juvenil (n = 94) 21 (22.3%) 53 (56.4%) 20 (21.3%) 94 (100%)
Senior (n = 17) 4 (23.5%) 12 (70.6%) 1 (5.9%) 17 (100%)
Total (N = 146) 39 (26.7%) 80 (54.8%) 27 (18.5%) 146 (100%)
Table 4. Descriptive statistics of mental health indicators by number of injuries.
Table 4. Descriptive statistics of mental health indicators by number of injuries.
Variable No Injuries
(n = 39)
One–Two Injuries
(n = 80)
More Than Two Injuries (n = 27) Total
(N = 146)
STAI-T M = 14.90,
SD = 7.15
M = 18.96,
SD = 9.76
M = 20.19,
SD = 8.45
M = 18.10,
SD = 9.06
Stress
(DASS-21)
M = 4.28,
SD = 3.47
M = 5.31,
SD = 4.16
M = 6.30,
SD = 4.20
M = 5.22,
SD = 4.02
Anxiety
(DASS-21)
M = 2.97,
SD = 2.95
M = 4.12,
SD = 3.90
M = 5.78,
SD = 4.48
M = 4.12,
SD = 3.88
Depression (DASS-21) M = 2.85,
SD = 3.28
M = 3.56,
SD = 3.57
M = 4.15,
SD = 4.73
M = 3.48,
SD = 3.79
Note. STAI-T = Trait Anxiety Inventory; DASS-21 = Depression, Anxiety and Stress Scales. M = mean; SD = standard deviation. Values are presented according to number of injuries reported by participants.
Table 5. Post hoc comparisons (Games-Howell) of anxiety indicators according to number of injuries.
Table 5. Post hoc comparisons (Games-Howell) of anxiety indicators according to number of injuries.
Variable Comparison MD SE IC 95% p Adjusted
Trait anxiety No injuries vs. 1–2 injuries −2,87 1,32 [−5,48, −0,26] 0,038*
No injuries vs. >2 injuries −3,31 1,72 [−6,71, 0,09] 0,056†
1–2 injuries vs. >2 injuries −0,44 1,64 [−3,67, 2,79] 0,874
Anxiety (DASS-21) No injuries vs. 1–2 injuries −1,15 0,73 [−2,58, 0,28] 0,124
No injuries vs. >2 injuries −2,81 0,96 [−4,69, −0,93] 0,012*
1–2 injuries vs. >2 injuries −1,66 0,94 [−3,50, 0,18] 0,087†
Note. * p < .05, statistically significant difference; † p ≤ .10, statistical trend (trend toward significance); MD = mean difference. SE = standard error. CI = confidence interval. P values adjusted according to the Games-Howell procedure.
Disclaimer/Publisher’s Note: The statements, opinions and data contained in all publications are solely those of the individual author(s) and contributor(s) and not of MDPI and/or the editor(s). MDPI and/or the editor(s) disclaim responsibility for any injury to people or property resulting from any ideas, methods, instructions or products referred to in the content.
Copyright: This open access article is published under a Creative Commons CC BY 4.0 license, which permit the free download, distribution, and reuse, provided that the author and preprint are cited in any reuse.
Prerpints.org logo

Preprints.org is a free preprint server supported by MDPI in Basel, Switzerland.

Subscribe

Disclaimer

Terms of Use

Privacy Policy

Privacy Settings

© 2026 MDPI (Basel, Switzerland) unless otherwise stated