1. Introduction
C-reactive protein (CRP) and erythrocyte sedimentation rate (ESR) remain central to disease activity assessment, classification, monitoring, and prognosis in rheumatology. They are inexpensive and widely available, yet reflect distinct biology: CRP is a hepatic acute-phase protein induced primarily by interleukin-6, whereas ESR is an indirect composite influenced by plasma proteins, red blood cell properties, hematocrit, age, and sex. Consequently, CRP and ESR are related but non-interchangeable; simultaneous ordering may be redundant in some infectious settings [
1,
2,
3], motivating de-implementation strategies [
4], but across rheumatic diseases they are better viewed as complementary markers. Discordance is common and clinically informative: both markers associate with active rheumatic disease [
5] or specific manifestations [
6], and discrepant phenotypes may carry prognostic signal [
7]. In rheumatoid arthritis (RA), DAS28-ESR and DAS28-CRP correlate at group level yet misclassify individuals, with DAS28-ESR systematically higher, particularly in older women and long-standing disease [
8,
9,
10,
11]. In systemic lupus erythematosus (SLE), both markers may rise in flare or infection [
12,
13]; CRP increases more strongly with lupus arthritis [
14], and a higher ESR/CRP ratio favors flare over infection in febrile patients [
15]. In axial spondyloarthritis, both markers have limited sensitivity for MRI-defined inflammation [
16]; ESR may relate more broadly to function/impact [
17], while CRP may better discriminate early or untreated disease [
18]. Uncertainty is amplified by normal markers in classical inflammatory disease at diagnosis (e.g., polymyalgia rheumatica) [
19,
20] and by elevated markers in patients without known inflammatory disease [
21,
22].
Large, real-world, multi-diagnosis studies simultaneously examining CRP and ESR at both measurement and patient levels, and explicitly quantifying stable combined phenotypes across repeated testing, remain scarce. Demographic effects (age/sex), disease case-mix, and repeated longitudinal measurements further shape distributions and concordance patterns in tertiary rheumatology, but are insufficiently characterized. Therefore, the study aimed to describe demographic and disease-specific CRP and ESR distributions; compare biomarker behavior across inflammatory and non-inflammatory rheumatic diagnoses; quantify CRP-ESR relationships at measurement and patient levels; and define and quantify combined CRP-ESR inflammatory phenotypes to characterize concordance and discordance in routine care.
2. Materials and Methods
2.1. Data Sources and Study Population
A retrospective analysis was performed using the electronic laboratory database of a university tertiary rheumatology hospital serving a nationwide referral population. All admissions and day-care visits between January 2018 and December 2023 were retrieved, including age, sex, ICD-10 diagnoses, and CRP/ESR test dates and values. All patients with ≥1 CRP or ESR during the study period were eligible. Identifiers were pseudonymized before analysis. Patients routinely provided written consent for sampling and scientific use of their data; the ethics committee approved the protocol and waived additional consent due to the retrospective, pseudonymized design.
2.2. Laboratory Measurements
All assays were performed in the certified hospital laboratory using a single analytical platform and standardized commercial kits under supervision of the same laboratory physician. CRP was reported in mg/L with a fixed ULN of 5 mg/L. ESR was reported in mm/h with age- and sex-adjusted ULN provided by the laboratory. Values were additionally expressed as multiples of ULN (“times ULN”); abnormality was defined as >ULN. Severity categories were prespecified based on multiples of ULN, respectively CRP: 0 (normal), 1 (<2xULN), 2 (2-<3xULN), 3 (3-<5xULN), 4 (5-<10xULN), 5 (10-<20xULN), 6 (≥20xULN); and ESR: 0 (normal), 1 (<2xULN), 2 (2-<3xULN), 3 (3-<5xULN), 4 (≥5xULN).
2.3. Diagnostic Classification
Diagnoses were derived from ICD-10 primary and secondary codes recorded at testing. Because overlap is clinically plausible and primary coding may be influenced by reimbursement, diagnoses were treated as non-mutually exclusive. For each measurement, binary indicators were created for gout, RA, ankylosing spondylitis (AS), psoriatic arthritis (PsA), SLE, mixed connective tissue disease/Sjögren’s disease (MCTD/SjD), systemic sclerosis (SS), dermatomyositis/polymyositis (DM/PM), and osteoarthritis (OA). Overlap was quantified as the row-wise sum of indicators. For analyses requiring mutually exclusive strata (e.g., diagnosis-stratified plots/correlations), a single “analytic diagnosis” was assigned deterministically using a fixed indicator order (gout, RA, AS, PsA, SLE, MCTD/SjD, SS, DM/PM, OA). This rule was used only to enable stratified summaries and does not imply clinical hierarchy or prevalence.
2.4. Statistical Management and Analysis
CRP and ESR were available as repeated measurements per patient. Analyses were conducted at the measurement level (each test as an observation) and the patient level (summarizing repeated values per patient using medians). CRP and ESR datasets were merged by patient identifier and calendar date; timestamps containing hours, minutes, seconds, AM-PM were truncated to month/day/year, and only same-day CRP-ESR pairs were retained. Merge quality was summarized by the number of paired measurements, the number of unique patients with ≥1 pair, and the matching rate. Associations were quantified using Spearman rank correlation (ρ) for raw values and for ordinal severity categories. All paired analyses were stratified by sex and diagnosis; diagnosis-stratified correlations were computed when ≥30 paired measurements were available. Continuous variables are reported as mean±standard deviation (SD) or median (Q1, Q3) as appropriate; categorical variables as n (%). Group comparisons used Mann-Whitney U (two groups) or Kruskal-Wallis H (≥3 groups); post-hoc pairwise comparisons used pairwise Mann-Whitney U with Holm correction. Proportions were compared by χ2 tests. There were no missing data. Tests were two-sided with p<0.05. Given large sample size, interpretation emphasized effect sizes and distributional patterns. Analyses/figures used Python 3.13 (pandas, SciPy, matplotlib).
2.5. Sensitivity Analyses
To address minor timing discrepancies, CRP and ESR were additionally paired using a ±1-day window (nearest-neighbor ESR per CRP within ±1 day), repeating correlations and concordance analyses. To reduce influence of repeated testing and unequal within-person pairs, paired analyses were repeated using only the first same-day CRP-ESR pair per patient. Patient-level phenotypes were also redefined using “ever abnormal” versus “majority abnormal” (>50% pairs abnormal) to assess phenotype persistence. For comparability with prior laboratory database studies, discordance was additionally evaluated using age/sex-stratified tertiles defining “extreme discordance” (highest vs lowest tertile), following the approach of Costenbader
et al. [
23], and quartiles derived from each patient’s first pair defining a 2-3 quartile separation, following Feldman
et al. [
24], applying quartile thresholds to first-pair (patient-level) and all pairs (measurement-level) datasets.
3. Results
3.1. CRP
3.1.1. Unique Patients
Among 16,921 patients with ≥1 CRP, mean age was 59.1±14.4 years (
Table 1); CRP tests/patient: median 1 (1-3), maximum 44. Men comprised 26.8% and were younger than women (54.8±14.8 vs 60.0±13.7; MWU=1.6x108, p<10-10). OA was most frequent (65.4%), followed by RA (18.2%), AS (6.6%), MCTD/SjD (4.2%); other diagnoses were less common (gout 2.4%; PsA 1.5%; SLE 1.0%; SS 0.5%; DM/PM 0.1%). Sex distribution differed by diagnosis (χ2=1487, p<10-10), with male predominance in gout (67.0%) and AS (67.2%) and female predominance in RA (82.5%), PsA (62.2%), SLE (89.9%), MCTD/SjD (80.8%), SS (83.8%), DM/PM (88.0%), and OA (75.5%). Age differed across diagnoses (KWH=780.4, p<10-10): AS was younger than all other groups (all p<10-10); SLE was younger than RA/OA/gout/DM/PM (all p<10-10); RA/gout/OA were older than PsA and MCTD/SjD (all p<10-10); DM/PM was among the oldest, differing from AS/SLE/PsA/MCTD/SjD (all p<0.01). Differences between RA, gout, and OA were smaller but remained significant after correction.
3.1.2. All CRP Measurements
Across 44850 CRP measurements, abnormality was more frequent in men than women (44.9% vs 38.1%; χ2=181, p<10-10), and severity categories differed by sex (χ2=163, p<10-10): normal CRP levels (<1xULN) were observed in 61.9% of women and 55.1% of men; mild elevations were comparable between women and men, respectively 16.5% vs. 16.1% for 1-<2xULN elevations and 7.0% vs. 7.2% for 2-<3xULN elevations; all moderate to severe CRP elevations were consistently more prevalent in men than women: 3-<5xULN (7.6% vs. 6.1%), 5-<10xULN (7.6% vs. 5.1%), 10-<20xULN (4.4% vs. 2.4%), and ≥20xULN (2.1% vs. 1.0%).
CRP correlated only weakly with age (ρ=0.053, p<10-10). Disease-specific distributions differed markedly (
Table 2,
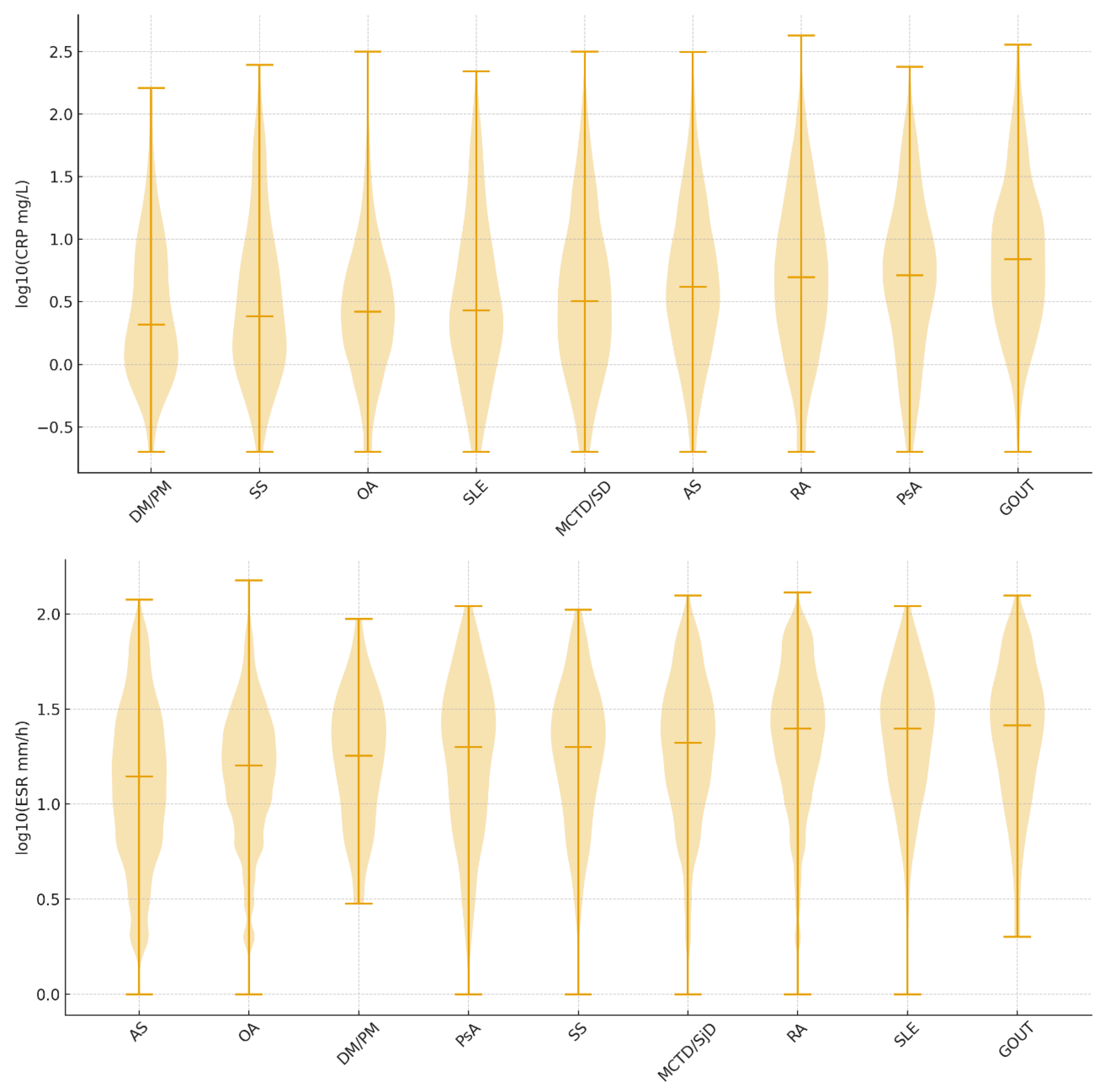
Figure 1): gout showed highest burden (median 6.9 [5.4, 14.2] mg/L; 95th 81.2), RA and PsA were moderate (medians 5.0 and 5.1), AS slightly lower (4.2), while SLE/MCTD/SjD/SS were predominantly low (medians 2.7-3.2; >60% normal); DM/PM and OA were lowest. Elevated CRP was most frequent in gout (57.9%) and RA (49.8%) and occurred in 29-39% in AS/OA/CTD measurements; ≥10xULN was concentrated in gout (6.1%) and PsA/RA (4-5%). Plots showed strongly right-tailed distributions in gout/RA, intermediate dispersion in PsA/AS, and compact low profiles in CTD/DM/PM/OA.
3.2. ESR
3.2.1. Unique Patients
Among 17126 patients with ≥1 ESR, mean age was 59.2±14.4 years; ESR tests/patient: median 1 (1-2), maximum 44. Men comprised 26.8% and were younger than women (56.5±15.2 vs 60.1±14.0; MWU=2.47x107, p<10-10). Diagnosis distribution was similar (OA 66.4%, RA 17.9%, AS 6.5%, MCTD/SjD 4.2%, gout 2.4%, PsA 1.0%, SLE 1.0%, SS 0.5%, DM/PM 0.1%). Sex differed by diagnosis (χ2=1497, p<10-10) in the same direction as CRP. Age differed across diagnoses (KWH=781.8, p<10-10) with the same pattern as CRP: AS younger than all; SLE younger than RA/OA/gout/DM/PM; RA/gout/OA older than PsA/MCTD/SjD; DM/PM among oldest.
3.2.2. All ESR Measurements
Across 44627 ESR measurements, abnormality rates were similar in men and women (42.0% vs 42.8%; χ2=2.59, p=0.11), but severity categories differed strongly by sex (χ2=1019, p<10-10): ESR levels relative to the upper limit of normal (ULN) demonstrated predominantly normal values across both cohorts (<1xULN: women 57.2%, men 58.0%); mild elevations (1-<2xULN) were more prevalent in women (27.1% vs. 20.2%), whereas moderate elevations (2-<3xULN) were comparable (9.7% vs. 9.4%); conversely, higher ESR elevations were disproportionately observed in men (3-<5xULN: 9.4% vs. 5.8%; 5-<10xULN: 2.9% vs. 0.2%).
ESR showed weak positive age correlations (ESR ρ=0.236; times-ULN ρ=0.173; both p<10-4). Disease-specific ESR patterns were similar but with narrower high-end ranges than CRP (
Table 3,
Figure 1): median ESR was highest in gout (26), RA (25), SLE (25), PsA (20), and lower in AS/DM/PM/SS/OA (14-20). The 95th percentile exceeded 70 in gout/RA/PsA/SLE, but was lower in AS (66), DM/PM (54), SS (70), and OA (52). Abnormal ESR ranged from 32% (OA) to 61% (gout), with intermediate values in RA/SLE (55%), PsA (47%), and MCTD/SjD (48%). Severe elevations were uncommon (≥5xULN: 0.4-3.7%; ≥10xULN exceptionally rare). Plots showed broad, moderately right-skewed distributions in gout/RA/SLE/PsA and tighter profiles in DM/PM/SS/OA.
3.3. CRP and ESR Pairs
CRP and ESR were merged at patient-day level, yielding 44427 same-day pairs from 16824 patients (99.1% match). Patients contributed a median of 1 pair (1-2; maximum 83); 60.3% had exactly one pair, 39.7% ≥2, and 13.9% ≥5.
3.3.1. Measurement Level
Among pairs, 45.4% were CRP-/ESR- and 27.3% CRP+/ESR+, while 15.0% were ESR-only and 12.3% CRP-only. CRP and ESR correlated moderately (ρ=0.58, p<10-4), including across severity categories (ρ=0.55, p<10-4). Correlations were higher in men than women (ρ=0.67 vs 0.58; both p<10-4) and positive across diagnoses, strongest in DM/PM, AS, gout and RA (ρ 0.63-0.70) and lower in SLE/SS/OA (ρ 0.44-0.48) (
Table 4).
3.3.2. Patient Level
Disease-stratified phenotypes varied (
Figure 2): dual-positive predominated in RA/AS/PsA/gout (52.5-65.1%), whereas OA was mostly dual-negative (54.6%) with fewer dual-positive (18.2%); SLE/SS showed relatively higher ESR-only patterns (up to 26.9% in SLE). Median CRP and ESR per patient remained moderately correlated (ρ=0.54, p<10-4), as did median severity categories (ρ=0.50, p<10-4). Patient-level correlations were higher in men than women (ρ=0.64 vs 0.53; both p<10-4), with diagnosis-specific patterns consistent with measurement-level results.
3.4. Diagnosis Overlap
Overlaps were uncommon at measurement level: 2.62% of CRP and 2.39% of ESR measurements had >1 diagnosis indicator, corresponding to 2.42% and 2.35% of patients with at least one overlapping-coded measurement. Across repeated testing, diagnostic heterogeneity over time was more frequent (CRP 7.19%; ESR 7.45%). Most overlap combinations were rare as patient-level prevalence: RA+MCTD/SjD 0.83%, SLE+MCTD/SjD 0.49%, MCTD/SjD+SS 0.28%, gout+RA 0.20%, RA+SS 0.12%.
3.5. Sensitivity Analyses
A ±1-day pairing window did not change the paired dataset (44427 pairs) or associations (ρ=0.580; severity ρ=0.546; both p<10-4) and preserved concordance (both normal 45.4%, both abnormal 27.3%) and discordance (27.3%; ESR-only 15.0%, CRP-only 12.3%). Restricting to first pair per patient (n=16819) versus all complete pairs (n=44390) yielded similar correlations (ρ=0.574 vs 0.580; severity ρ=0.543 vs 0.547) and similar concordance patterns. Phenotype persistence definitions shifted absolute proportions but preserved diagnosis-level patterns (ever abnormal: CRP-/ESR- 42.5%, CRP+/ESR- 11.6%, CRP-/ESR+ 13.9%, CRP+/ESR+ 31.9%; majority abnormal: CRP+/ESR+ 19.3%, CRP-/ESR- 53.7%, CRP-only 11.8%, ESR-only 15.2%). Tertile-based extreme discordance occurred in 6.4% of evaluable pairs (3.1% CRP-high/ESR-low; 3.3% ESR-high/CRP-low). Quartile thresholds from first-pair data were CRP Q1=1.36, median=3.14, Q3=8.11 mg/L and ESR Q1=10, median=18, Q3=30 mm/h; discordance (2-3 quartile separation) occurred in 17.6% of patients (9.5% high CRP/low ESR; 8.1% high ESR/low CRP) and was similar when applied to all pairs (18.4%).
4. Discussion
4.1. Comparison with Literature
Our real-world same-day paired analysis confirms and extends prior work showing that CRP and ESR are moderately aligned but frequently non-interchangeable in routine care. Using a quartile-based definition in unselected adults from a general hospital laboratory cohort, Feldman
et al. [
24] reported that paired CRP/ESR results are concordant in approximately 88% of adults and discordant in 12% (6% high CRP/low ESR; 6% high ESR/low CRP), with a moderate Pearson correlation (r=0.56). Using an analogous approach in our tertiary rheumatology cohort, we observed a higher discordance frequency, while the overall CRP-ESR correlation was similar. Importantly, the directionality of discordance mirrored Feldman’s clinical observations: ESR-high/CRP-low discordance was strongly female-predominant and relatively enriched for connective tissue disease diagnoses, supporting the concept that ESR-only inflammatory patterns cluster in connective tissue diseases, whereas CRP-high/ESR-low discordance appears more typical of non-connective tissue disease inflammatory profiles. In our tertiary rheumatology case-mix, concordance (both normal or both abnormal) was 72.7%, and discordant patterns (only one marker abnormal) accounted for 27% of same-day pairs. This higher discordance frequency is directionally consistent with the literature but likely reflects differences in population (rheumatology-enriched versus general hospital) and, critically, discordance definitions. For example, Costenbader
et al. [
23], in their case-control study of 2069 same-day outpatient pairs, defined discordance more stringently (e.g., “elevated ESR/low CRP” or “elevated CRP/low ESR”, based on opposite tertiles), finding discordance in 4% of patients (2.6% ESR-high/CRP-low; 1.5% CRP-high/ESR-low). By design, our definition based on the ULN captures milder, clinically relevant dissociation (e.g., ESR just above the threshold with normal CRP), which is expected to increase the observed discordance rate. Importantly, Costenbader
et al. [
23] identified infection, renal insufficiency, and low serum albumin as key correlates of discordance, especially for high ESR with low CRP, highlighting that ESR interpretation may be particularly vulnerable to non-inflammatory systemic factors. Our disease-stratified phenotype approach complements this by showing that ESR-only and CRP-only patterns are not randomly distributed across rheumatic diagnoses, supporting the concept that both biological context and systemic modifiers shape CRP-ESR dissociation. More recent work in non-infectious inflammatory diseases emphasizes that CRP-ESR discrepancy is not exceptional but a frequent and definition-dependent phenomenon [
25]. This report notes that the most common discordant pattern is elevated ESR with normal CRP, and that discordance has been linked to female sex and connective tissue disease contexts, reinforcing that ESR and CRP are complementary rather than interchangeable markers. Our findings closely align with this framework: even with routine ULN-based thresholds we observed substantial discordance in same-day pairs, and disease-stratified phenotyping showed systematic enrichment of ESR-only profiles in connective tissue diseases (notably SLE/SS), while inflammatory arthritides more often exhibited dual-positive patterns. Therefore, reliance on a single biomarker would miss a non-trivial fraction of clinically relevant inflammatory profiles. Finally, our findings help contextualize primary-care diagnostic literature questioning the incremental yield of ordering multiple inflammatory markers for “rule-out” purposes. In a large primary-care database analysis, Watson
et al. [
26] concluded that adding ESR to CRP provided only marginal improvement for ruling out serious disease. Our results do not contradict this: they suggest that the value of dual testing is context-dependent. In rheumatology, the second marker can meaningfully change the inflammatory phenotype (CRP-only versus ESR-only versus dual-positive/dual-negative), and discordance is common enough to be clinically relevant, particularly when interpreted by diagnosis.
4.2. Limitations
This study has several limitations inherent to real-world laboratory databases. The cohort is derived from a single tertiary rheumatology center and reflects referral and case-mix patterns specific to specialized care. Therefore, absolute distributions and phenotype proportions may not generalize to primary care or population-based settings. Diagnoses were assigned from ICD-10 codes recorded in routine practice, which may be influenced by administrative or reimbursement considerations and may allow for misclassification and residual overlap between diagnoses. Analyses of non-unique measurements treat each test as an observation and therefore reflect both biological variability and differences in testing frequency and clinical severity over time. While this was complemented with patient-level medians to reduce within-person clustering, the measurement-level results may over-represent frequently monitored individuals. The CRP-ESR merge was restricted to same-day pairs using calendar dates, which improves specificity but may under-capture clinically related tests performed on adjacent days; this may particularly affect less frequently monitored diseases and partially explains smaller paired sample sizes in rarer conditions. Because SS and DM/PM counts were small, effect estimates are less stable despite statistical significance. The study did not incorporate key determinants of ESR and CRP behavior, such as hemoglobin, albumin, renal function, infection status, medications (e.g., glucocorticoids), and contemporaneous clinical disease activity, thus limiting causal inference about mechanisms underlying discordance. Finally, the study design is observational and descriptive; statistical significance is expected in large datasets and does not necessarily imply clinically meaningful differences.
4.3. Further Research
Future research should validate these disease-specific distributions and CRP-ESR phenotypes in multicenter cohorts and in population-based datasets. Methodologically, pairing strategies that allow short windows (±24-72 hours) or nearest-neighbor matching could be compared against strict same-day pairing to assess robustness and to improve capture in rare diseases. Mechanistic analyses should incorporate hematologic indices, albumin, renal function, and markers of infection, enabling multivariable modeling of CRP-ESR discordance and ESR-only versus CRP-only phenotypes. Longitudinal studies linking biomarker phenotypes to clinical outcomes would clarify prognostic relevance and inform whether joint CRP-ESR interpretation adds value beyond either marker alone.
5. Conclusions
CRP and ESR showed distinct real-world behavior across rheumatic diagnoses and demographic strata. CRP was more disease-discriminative and only negligibly related to age, whereas ESR was more age-dependent and showed marked sex-related shifts in severity categories. Inflammatory burden was highest in gout and RA, intermediate in PsA and AS, and generally lower in connective tissue diseases and OA. CRP distributions were more strongly right-tailed than ESR. In same-day pairs, CRP and ESR were moderately correlated at both measurement and patient levels, yet discordance was common: about one quarter of pairs had isolated elevation of only one marker. Phenotype patterns were disease-specific: dual-positive profiles predominated in inflammatory arthritides, OA was largely dual-negative, and connective tissue diseases (especially SLE/SS) were relatively enriched for ESR-only phenotypes. Sensitivity analyses yielded similar results, supporting that CRP-ESR dissociation is robust and clinically relevant in routine rheumatology care. Unlike prior laboratory database studies focused on extreme discordance, we demonstrate that clinically relevant CRP-ESR dissociation is common even around routine ULN thresholds, is stable at the patient level, and follows distinct diagnosis-dependent patterns, supporting a practical disease-specific CRP-ESR phenotype framework rather than interchangeable use of the two markers.
Author Contributions
Conceptualization, CCP, LE and CC; methodology, CCP and CM; software, CCP and CS; validation, CCP, LE, CS, CM and CC; formal analysis, CCP and CS; investigation, CCP and CS; resources, CM and CC; data curation, CCP and LE; writing—original draft preparation, CCP and LE; writing—review and editing, CS, CM and CC; supervision, CC. All authors have read and agreed to the published version of the manuscript.
Funding
This research received no external funding.
Institutional Review Board Statement
The study was conducted in accordance with the Declaration of Helsinki, and approved by the Ethics Committee of Clinical Centre for Rheumatic Diseases (2/June 10th 2025).
Informed Consent Statement
Informed consent was obtained from all subjects involved in the study.
Data Availability Statement
The raw data supporting the conclusions of this article will be made available by the authors on reasonable request.
Acknowledgments
Publication of this paper was supported by the University of Medicine and Pharmacy Carol Davila, through the institutional program Publish not Perish.
Conflicts of Interest
The authors declare no conflicts of interest.
Abbreviations
The following abbreviations are used in this manuscript:
AS – Ankylosing spondylitis CRP – C-reactive protein DM/PM – Dermatomyositis/polymyositis ESR – Erythrocyte sedimentation rate IQR – Interquartile range KWH – Kruskal–Wallis H (test) MCTD/SjD – Mixed connective tissue disease/Sjögren’s disease MRI – Magnetic resonance imaging MWU – Mann–Whitney U (test) OA – Osteoarthritis PsA – Psoriatic arthritis RA – Rheumatoid arthritis SD – standard deviation SLE – Systemic lupus erythematosus SS – Systemic sclerosis ULN – Upper limit of normal |
References
- Spellberg, B; Nielsen, TB; Phillips, MC; et al. Revisiting diagnostics: erythrocyte sedimentation rate and C-reactive protein: it is time to stop the zombie tests. Clin Microbiol Infect 2025, 31(1), 1–4. [Google Scholar] [CrossRef]
- Desai, R; Zhang, R; Shah, N; Bacalao, M; Galous, H; Karp, DR; Bajaj, P. Reduction in the Concomitant Ordering of Erythrocyte Sedimentation Rate and C-Reactive Protein Within a Large Academic Medical Center. J Gen Intern Med. 2025. [Google Scholar] [CrossRef]
- Jackson, K; Veillette, JJ; Olson, J; Seibert, AM; Webb, BJ. Evaluation of serial erythrocyte sedimentation rate and C-reactive protein monitoring in infectious disease outpatient parenteral antimicrobial therapy patients. Antimicrob Steward Healthc Epidemiol. 2025, 5(1), e73. [Google Scholar] [CrossRef]
- Cho, HJ; Talledo, J; Alaiev, D; et al. Choosing Wisely and reducing the simultaneous ordering of erythrocyte sedimentation rate and C-reactive protein testing in a large safety net system. Am J Clin Pathol 2023, 160(6), 585–592. [Google Scholar] [CrossRef]
- Parsaei, A; Moradi, S; Masoumi, M; et al. Predictive value of erythrocyte sedimentation rate and C-reactive protein in Behcet's disease activity and manifestations: a cross-sectional study. BMC Rheumatol 2022, 6(1), 9. [Google Scholar] [CrossRef]
- Manzo, C; Milchert, M; Venditti, C; Castagna, A; Nune, A; Natale, M; Brzosko, M. Fever Correlation with Erythrocyte Sedimentation Rate (ESR) and C-Reactive Protein (CRP) Concentrations in Patients with Isolated Polymyalgia Rheumatica (PMR): A Retrospective Comparison Study between Hospital and Out-of-Hospital Local Registries. Life (Basel) 2022, 12(7). [Google Scholar] [CrossRef]
- Park, PG; Song, JJ; Park, YB; Lee, SW. Clinical application of low erythrocyte sedimentation rate/high C-reactive protein to antineutrophil cytoplasmic antibody-associated vasculitis. J Clin Lab Anal. 2022, 36(2), e24237. [Google Scholar] [CrossRef] [PubMed]
- Kuriya, B; Schieir, O; Lin, D; et al. Thresholds for the 28-joint disease activity score (DAS28) using C-reactive protein are lower compared to DAS28 using erythrocyte sedimentation rate in early rheumatoid arthritis. Clin Exp Rheumatol 2017, 35(5), 799–803. [Google Scholar] [CrossRef] [PubMed]
- Son, KM; Kim, SY; Lee, SH; Yang, CM; Seo, YI; Kim, HA. Comparison of the disease activity score using the erythrocyte sedimentation rate and C-reactive protein levels in Koreans with rheumatoid arthritis. Int J Rheum Dis. 2016, 19(12), 1278–1283. [Google Scholar] [CrossRef]
- Tamhane, A; Redden, DT; McGwin, G, Jr.; et al. Comparison of the disease activity score using erythrocyte sedimentation rate and C-reactive protein in African Americans with rheumatoid arthritis. J Rheumatol. 2013, 40(11), 1812–22. [Google Scholar] [CrossRef] [PubMed]
- Song, X; Wang, Y-H; Li, M-T; Duan, X-W; Li, H-B; Zeng, X-F; Guo, L-S. Chinese registry of rheumatoid arthritis: IV. Correlation and consistency of rheumatoid arthritis disease activity indices in China. Chinese Medical Journal 2021, 134(12), 1465–1470. [Google Scholar] [CrossRef]
- Firooz, N; Albert, DA; Wallace, DJ; Ishimori, M; Berel, D; Weisman, MH. High-sensitivity C-reactive protein and erythrocyte sedimentation rate in systemic lupus erythematosus. Lupus 2011, 20(6), 588–97. [Google Scholar] [CrossRef]
- Dima, A; Opris, D; Jurcut, C; Baicus, C. Is there still a place for erythrocyte sedimentation rate and C-reactive protein in systemic lupus erythematosus? Lupus 2016, 25(11), 1173–9. [Google Scholar] [CrossRef]
- Amezcua-Guerra, LM; Springall, R; Arrieta-Alvarado, AA; Rodriguez, V; Rivera-Martinez, E; Castillo-Martinez, D; Bojalil, R. C-reactive protein and complement components but not other acute-phase reactants discriminate between clinical subsets and organ damage in systemic lupus erythematosus. Clin Lab. 2011, 57(7-8), 607–13. [Google Scholar]
- Littlejohn, E; Marder, W; Lewis, E; Francis, S; Jackish, J; McCune, WJ; Somers, EC. The ratio of erythrocyte sedimentation rate to C-reactive protein is useful in distinguishing infection from flare in systemic lupus erythematosus patients presenting with fever. Lupus 2018, 27(7), 1123–1129. [Google Scholar] [CrossRef]
- Tsang, HHL; Chung, HY. The Discriminative Values of the Bath Ankylosing Spondylitis Disease Activity Index, Ankylosing Spondylitis Disease Activity Score, C-Reactive Protein, and Erythrocyte Sedimentation Rate in Spondyloarthritis-Related Axial Arthritis. J Clin Rheumatol. 2017, 23(5), 267–272. [Google Scholar] [CrossRef] [PubMed]
- Queiro, R; Alonso, S; Burger, S; Pardo, E; Brana, I; Loredo, M; Alperi, M. Tailoring Inflammatory Biomarker Assessment in Axial Spondyloarthritis: A Comparative Study of Erythrocyte Sedimentation Rate and C-Reactive Protein Across Disease Profiles. J Pers Med. 2025, 15(8). [Google Scholar] [CrossRef] [PubMed]
- Georgiadis, S; Ornbjerg, LM; Michelsen, B; et al. Cut-Offs for Disease Activity States in Axial Spondyloarthritis With Ankylosing Spondylitis Disease Activity Score (ASDAS) Based on C-Reactive Protein and ASDAS Based on Erythrocyte Sedimentation Rate: Are They Interchangeable? J Rheumatol. 2024, 51(7), 673–677. [Google Scholar] [CrossRef]
- Kara, M; Alp, G; Koc, AM. Diagnostic difficulties in polymyalgia rheumatica cases with normal erythrocyte sedimentation rate and C-reactive protein values. Medicine (Baltimore) 2023, 102(39), e35385. [Google Scholar] [CrossRef]
- Manzo, C; Milchert, M; Natale, M; Brzosko, M. Polymyalgia rheumatica with normal values of both erythrocyte sedimentation rate and C-reactive protein concentration at the time of diagnosis. Rheumatology (Oxford) 2019, 58(5), 921–923. [Google Scholar] [CrossRef] [PubMed]
- Alende-Castro, V; Alonso-Sampedro, M; Fernandez-Merino, C; Sanchez-Castro, J; Sopena, B; Gude, F; Gonzalez-Quintela, A. C-Reactive Protein versus Erythrocyte Sedimentation Rate: Implications Among Patients with No Known Inflammatory Conditions. J Am Board Fam Med. 2021, 34(5), 974–983. [Google Scholar] [CrossRef] [PubMed]
- Singh, G. Re: C-Reactive Protein versus Erythrocyte Sedimentation Rate: Implications Among Patients with No Known Inflammatory Conditions. J Am Board Fam Med. 2022, 35(1), 209. [Google Scholar] [CrossRef] [PubMed]
- Costenbader, KH; Chibnik, LB; Schur, PH. Discordance between erythrocyte sedimentation rate and C-reactive protein measurements: clinical significance. Clin Exp Rheumatol 2007, 25(5), 746–9. [Google Scholar] [PubMed]
- Feldman, M; Aziz, B; Kang, GN; Opondo, MA; Belz, RK; Sellers, C. C-reactive protein and erythrocyte sedimentation rate discordance: frequency and causes in adults. Transl Res. 2013, 161(1), 37–43. [Google Scholar] [CrossRef] [PubMed]
- Torne Cachot, J; Garcia Pont, J; Camell Ilari, H. Discrepancies between erythrocyte sedimentation rate and C-reactive protein in non-infectious inflammatory diseases Discrepancias entre la velocidad de sedimentacion globular y la proteina C reactiva en enfermedades inflamatorias no infecciosas. Med Clin (Barc) 2022, 158(1), 35–36. [Google Scholar] [CrossRef]
- Watson, J; Jones, HE; Banks, J; Whiting, P; Salisbury, C; Hamilton, W. Use of multiple inflammatory marker tests in primary care: using Clinical Practice Research Datalink to evaluate accuracy. Br J Gen Pract 2019, 69(684), e462–e469. [Google Scholar] [CrossRef] [PubMed]
Figure 1.
Distribution of CRP values (upper panel; 44850 measurements) and ESR values (lower panel; 44627 measurements), displayed as decimal logarithms and medians, among diagnoses. Abbreviations: AS - ankylosing spondylitis; CRP - C-reactive protein; DM/PM - dermatomyositis polymyositis; ESR - erythrocyte sedimentation rate; MCTD - mixed connective tissue disease; OA - osteoarthritis; PsA - psoriatic arthritis; RA - rheumatoid arthritis; SjD - Sjogren’s disease; SLE - systemic lupus erythematosus; SS - systemic sclerosis.
Figure 1.
Distribution of CRP values (upper panel; 44850 measurements) and ESR values (lower panel; 44627 measurements), displayed as decimal logarithms and medians, among diagnoses. Abbreviations: AS - ankylosing spondylitis; CRP - C-reactive protein; DM/PM - dermatomyositis polymyositis; ESR - erythrocyte sedimentation rate; MCTD - mixed connective tissue disease; OA - osteoarthritis; PsA - psoriatic arthritis; RA - rheumatoid arthritis; SjD - Sjogren’s disease; SLE - systemic lupus erythematosus; SS - systemic sclerosis.
Figure 2.
CRP/ESR phenotypes by diagnosis. Stacked bars show the distribution of patient-level CRP/ESR phenotypes among unique patients with ≥1 same-day CRP-ESR pair in each diagnosis (percent within diagnosis). Phenotypes were defined using ULN-based abnormality thresholds (CRP >5 mg/L; ESR > age- and sex-adjusted ULN): CRP+/ESR+, CRP+/ESR-, CRP-/ESR+, CRP-/ESR-. AS (n=1106): 58.5%, 14.1%, 6.6%, 20.8%; DM/PM (n=26): 34.6%, 7.7%, 19.2%, 38.5%; Gout (n=406): 52.5%, 11.3%, 13.8%, 22.4%; MCTD/SjD (n=714): 38.4%, 9.9%, 15.5%, 36.1%; OA (n=10,935): 18.2%, 12.1%, 15.0%, 54.6%; PsA (n=249): 55.8%, 14.1%, 10.0%, 20.1%; RA (n=3051): 65.1%, 9.6%, 11.3%, 14.0%; SLE (n=167): 37.7%, 6.0%, 26.9%, 29.3%; SS (n=80): 28.7%, 11.2%, 18.8%, 41.2%. Abbreviations: AS - ankylosing spondylitis; CRP - C-reactive protein; DM/PM - dermatomyositis polymyositis; ESR - erythrocyte sedimentation rate; MCTD - mixed connective tissue disease; OA - osteoarthritis; PsA - psoriatic arthritis; RA - rheumatoid arthritis; SjD - Sjogren’s disease; SLE - systemic lupus erythematosus; SS - systemic sclerosis; ULN - upper limit of normal.
Figure 2.
CRP/ESR phenotypes by diagnosis. Stacked bars show the distribution of patient-level CRP/ESR phenotypes among unique patients with ≥1 same-day CRP-ESR pair in each diagnosis (percent within diagnosis). Phenotypes were defined using ULN-based abnormality thresholds (CRP >5 mg/L; ESR > age- and sex-adjusted ULN): CRP+/ESR+, CRP+/ESR-, CRP-/ESR+, CRP-/ESR-. AS (n=1106): 58.5%, 14.1%, 6.6%, 20.8%; DM/PM (n=26): 34.6%, 7.7%, 19.2%, 38.5%; Gout (n=406): 52.5%, 11.3%, 13.8%, 22.4%; MCTD/SjD (n=714): 38.4%, 9.9%, 15.5%, 36.1%; OA (n=10,935): 18.2%, 12.1%, 15.0%, 54.6%; PsA (n=249): 55.8%, 14.1%, 10.0%, 20.1%; RA (n=3051): 65.1%, 9.6%, 11.3%, 14.0%; SLE (n=167): 37.7%, 6.0%, 26.9%, 29.3%; SS (n=80): 28.7%, 11.2%, 18.8%, 41.2%. Abbreviations: AS - ankylosing spondylitis; CRP - C-reactive protein; DM/PM - dermatomyositis polymyositis; ESR - erythrocyte sedimentation rate; MCTD - mixed connective tissue disease; OA - osteoarthritis; PsA - psoriatic arthritis; RA - rheumatoid arthritis; SjD - Sjogren’s disease; SLE - systemic lupus erythematosus; SS - systemic sclerosis; ULN - upper limit of normal.

Table 1.
Diagnosis frequency, age, and sex distribution among unique patients with at least one CRP (n = 16921) or ESR measurement (n = 17126).
Table 1.
Diagnosis frequency, age, and sex distribution among unique patients with at least one CRP (n = 16921) or ESR measurement (n = 17126).
| CRP diagnoses |
% of n = 16921 |
Age (years) |
Men (%) |
Women (%) |
| OA |
65.4% |
59.4 ± 14.5 |
24.5% |
75.5% |
| RA |
18.2% |
62.4 ± 12.9 |
17.5% |
82.5% |
| AS |
6.6% |
49.4 ± 12.8 |
67.2% |
32.8% |
| MCTD/SjD |
4.2% |
55.9 ± 17.0 |
19.2% |
80.8% |
| Gout |
2.4% |
62.6 ± 11.0 |
67.0% |
33.0% |
| PsA |
1.5% |
58.1 ± 12.4 |
37.8% |
62.2% |
| SLE |
1.0% |
51.3 ± 13.7 |
10.1% |
89.9% |
| SS |
0.5% |
58.0 ± 12.9 |
16.2% |
83.8% |
| DM/PM |
0.1% |
64.2 ± 13.4 |
12.0% |
88.0% |
| ESR diagnoses |
% of n = 17126 |
Age (years) |
Men (%) |
Women (%) |
| OA |
66.4% |
59.4 ± 14.4 |
24.5% |
75.5% |
| RA |
17.9% |
62.4 ± 12.9 |
17.5% |
82.5% |
| AS |
6.5% |
49.5 ± 12.8 |
67.3% |
32.7% |
| MCTD/SjD |
4.2% |
55.9 ± 17.0 |
19.0% |
81.0% |
| Gout |
2.4% |
62.8 ± 11.0 |
67.1% |
32.9% |
| PsA |
1.0% |
59.3 ± 11.6 |
39.1% |
60.9% |
| SLE |
1.0% |
51.2 ± 13.7 |
10.1% |
89.9% |
| SS |
0.5% |
58.0 ± 12.8 |
16.7% |
83.3% |
| DM/PM |
0.1% |
64.2 ± 13.4 |
12.0% |
88.0% |
Table 2.
Non-unique CRP distribution among diagnoses (n = 44850 measurements).
Table 2.
Non-unique CRP distribution among diagnoses (n = 44850 measurements).
| |
gout |
RA |
AS |
PsA |
SLE |
MCTD/SjD |
SS |
DM/PM |
OA |
| n |
872 |
15794 |
6430 |
1197 |
673 |
2977 |
542 |
200 |
17108 |
| mean |
19.0 |
14.1 |
11.9 |
13.4 |
10.6 |
10.7 |
10.3 |
8.0 |
6.5 |
| median |
6.9 |
5.0a
|
4.2 |
5.1a
|
2.7b,c,d,e
|
3.2b,f
|
2.4c,f,g
|
2.1d,g
|
2.6e
|
| SD |
36.9 |
25.9 |
23.5 |
24.1 |
22.8 |
21.7 |
22.6 |
20.7 |
15.4 |
| minimum |
.2 |
.2 |
.2 |
.2 |
.2 |
.2 |
.2 |
.2 |
.2 |
| maximum |
357.6 |
422.8 |
313.0 |
237.6 |
218.9 |
315.8 |
247.4 |
161.5 |
315.9 |
| IQR |
14.2 |
12.3 |
9.7 |
11.2 |
7.1 |
8.0 |
6.8 |
5.8 |
4.6 |
| 90th% |
48.3 |
36.2 |
29.1 |
36.2 |
28.1 |
27.3 |
28.1 |
16.4 |
13.0 |
| 95th% |
81.2 |
59.6 |
49.1 |
59.6 |
52.4 |
47.9 |
54.6 |
29.5 |
23.5 |
| abnormal |
57.9% |
49.8% |
45.2% |
50.4% |
34.5% |
38.9% |
34.3% |
31.5% |
29.2% |
| normal |
42.1% |
50.2% |
54.8% |
49.6% |
65.5% |
61.1% |
65.7% |
68.5% |
70.8% |
| <2xULN |
18.2% |
17.1% |
17.5% |
19.2% |
12.8% |
15.3% |
13.8% |
15.0% |
15.5% |
| 2-<3xULN |
10.9% |
8.9% |
7.7% |
9.0% |
5.2% |
6.2% |
4.2% |
6.0% |
5.2% |
| 3-<5xULN |
11.5% |
8.8% |
8.2% |
8.0% |
5.3% |
6.4% |
5.9% |
5.0% |
3.9% |
| 5-<10xULN |
7.7% |
8.6% |
7.0% |
8.0% |
5.6% |
6.2% |
5.2% |
3.0% |
2.8% |
| 10-<20xULN |
6.1% |
4.6% |
3.3% |
4.8% |
4.2% |
3.4% |
4.1% |
0.5% |
1.3% |
| ≥20xULN |
3.6% |
1.9% |
1.6% |
1.3% |
1.3% |
1.4% |
1.1% |
2.0% |
0.5% |
Table 3.
Non-unique ESR distribution among diagnoses (n = 44627 measurements).
Table 3.
Non-unique ESR distribution among diagnoses (n = 44627 measurements).
| |
gout |
RA |
AS |
PsA |
SLE |
MCTD/SjD |
SS |
DM/PM |
OA |
| n |
811 |
15579 |
6350 |
906 |
640 |
2886 |
521 |
193 |
17844 |
| mean |
31.4 |
31.3 |
20.0 |
26.1 |
29.6 |
27.5 |
25.2 |
22.9 |
19.8 |
| median |
26.0a
|
25.0a,b
|
14.0 |
20.0c,d
|
25.0b
|
21.0c,e,f
|
20.0d,e,g
|
18.0f,g
|
16.0 |
| SD |
23.4 |
23.1 |
19.4 |
21.6 |
21.0 |
21.9 |
19.5 |
17.5 |
16.1 |
| minimum |
2.0 |
1.0 |
1.0 |
1.0 |
1.0 |
1.0 |
1.0 |
3.0 |
1.0 |
| maximum |
125.0 |
130.0 |
119.0 |
110.0 |
110.0 |
125.0 |
105.0 |
94.0 |
150.0 |
| IQR |
28.0 |
28.0 |
20.0 |
26.0 |
26.0 |
27.0 |
24.0 |
21.0 |
17.0 |
| 90th% |
70.0 |
68.0 |
47.0 |
58.5 |
59.1 |
60.0 |
51.0 |
44.0 |
40.0 |
| 95th% |
80.0 |
80.0 |
66.0 |
74.0 |
72.0 |
74.0 |
70.0 |
54.0 |
52.0 |
| abnormal |
61.4% |
54.9% |
37.1% |
47.0% |
55.3% |
48.3% |
45.7% |
43.0% |
32.2% |
| normal |
38.6% |
45.1% |
62.9% |
53.0% |
44.7% |
51.7% |
54.3% |
57.0% |
67.8% |
| <2xULN |
30.7% |
29.3% |
20.3% |
25.7% |
30.3% |
27.0% |
25.9% |
28.0% |
22.6% |
| 2-<3xULN |
13.8% |
13.4% |
8.5% |
10.5% |
15.8% |
11.4% |
12.5% |
9.8% |
6.2% |
| 3-<5xULN |
13.2% |
11.0% |
6.9% |
9.7% |
8.3% |
8.2% |
6.9% |
4.1% |
3.0% |
| 5-<10xULN |
3.7% |
1.2% |
1.5% |
1.1% |
0.9% |
1.6% |
0.4% |
1.0% |
0.4% |
Table 4.
Sex- and diagnosis-stratified correlations between CRP and ESR in same-day paired measurements.
Table 4.
Sex- and diagnosis-stratified correlations between CRP and ESR in same-day paired measurements.
| |
a) Measurement Level |
b) Patient Level |
| |
n of CRP-ESR Pairs |
ρ (CRP vs ESR) |
n of Patients with ≥1 CRP-ESR |
ρ (Median CRP vs Median ESR per Patient) |
| men |
12765 |
0.67 |
4515 |
0.64 |
| women |
31624 |
0.58 |
12309 |
0.53 |
| gout |
786 |
0.64 |
406 |
0.62 |
| RA |
15495 |
0.63 |
3051 |
0.58 |
| AS |
6330 |
0.65 |
1106 |
0.65 |
| PsA |
1115 |
0.62 |
249 |
0.60 |
| SLE |
577 |
0.48 |
167 |
0.54 |
| MCTD/SjD |
2248 |
0.58 |
714 |
0.59 |
| SS |
342 |
0.44 |
80 |
0.46 |
| DM/PM |
92 |
0.70 |
26 |
0.65 |
| OA |
17133 |
0.48 |
10935 |
0.47 |
|
Disclaimer/Publisher’s Note: The statements, opinions and data contained in all publications are solely those of the individual author(s) and contributor(s) and not of MDPI and/or the editor(s). MDPI and/or the editor(s) disclaim responsibility for any injury to people or property resulting from any ideas, methods, instructions or products referred to in the content. |