Submitted:
26 February 2026
Posted:
27 February 2026
You are already at the latest version
Abstract
Keywords:
1. Introduction
2. EOS for SQM and DM
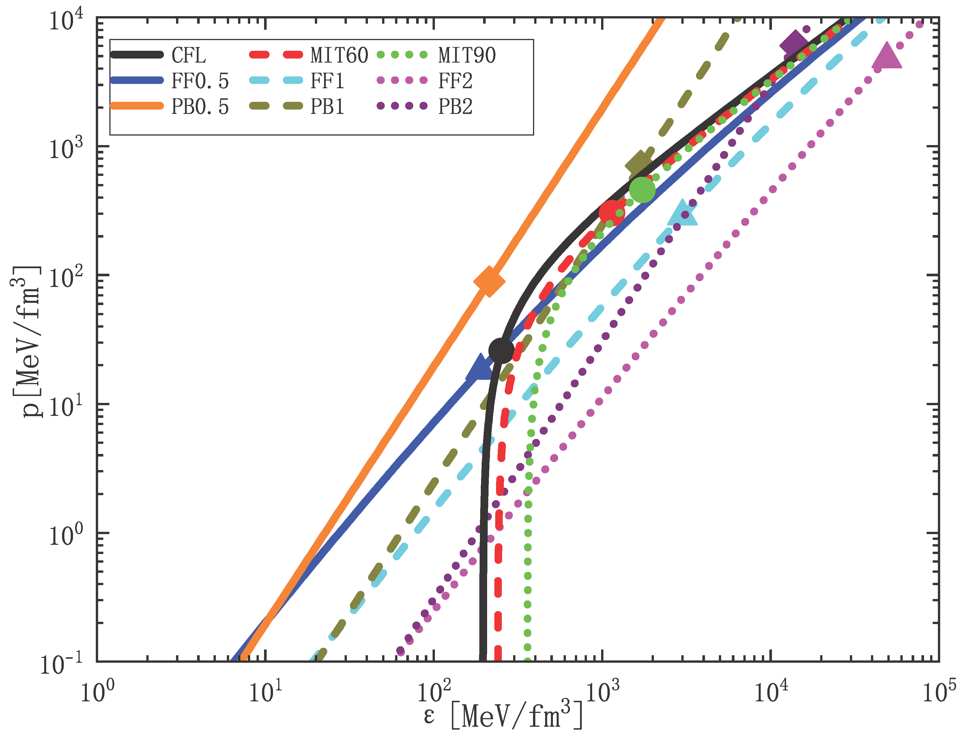
2.1. Strange Quark Matter
2.2. Dark Matter
3. Structure and Tidal Deformability of a Dark Matter Admixed Strange Star
3.1. Structure Equations
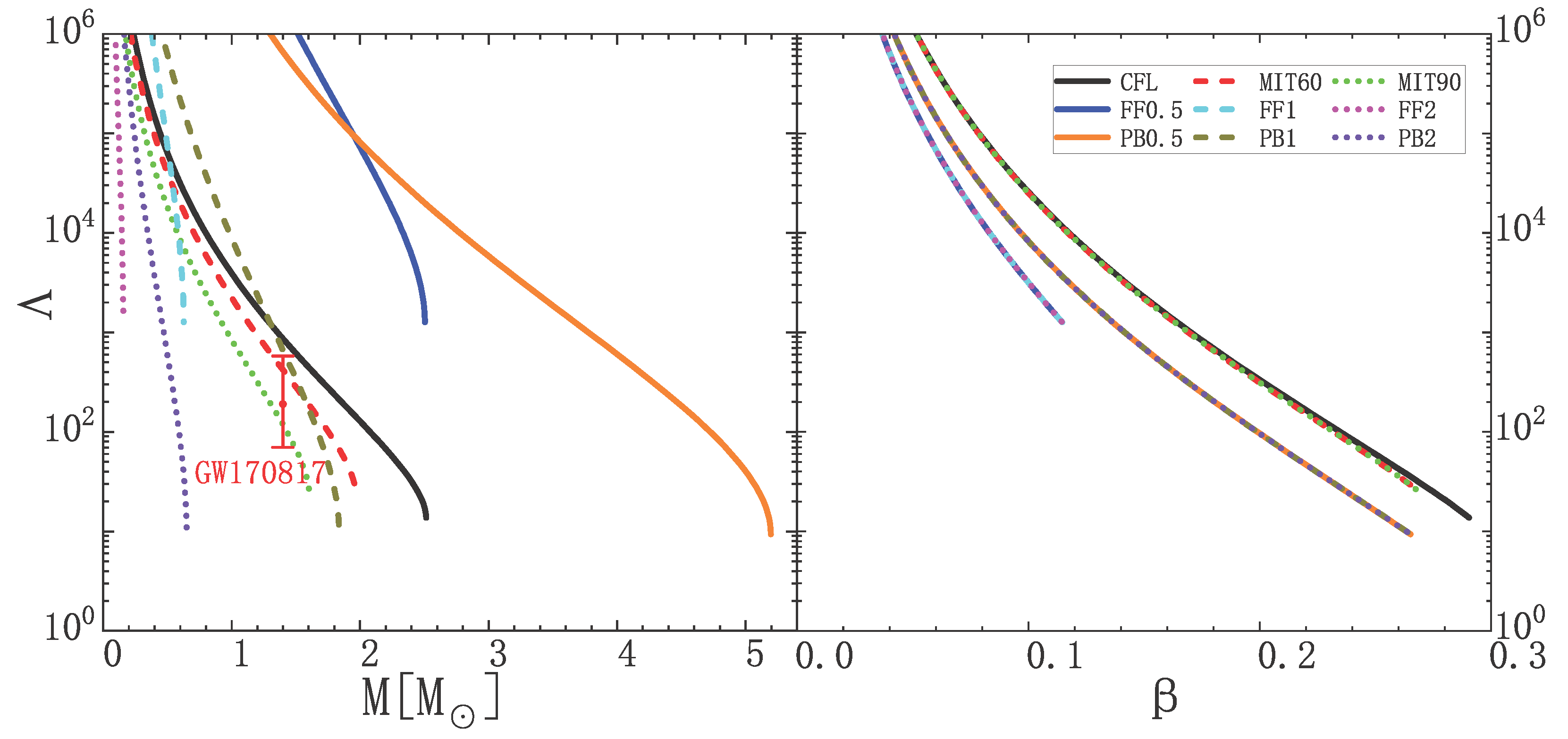
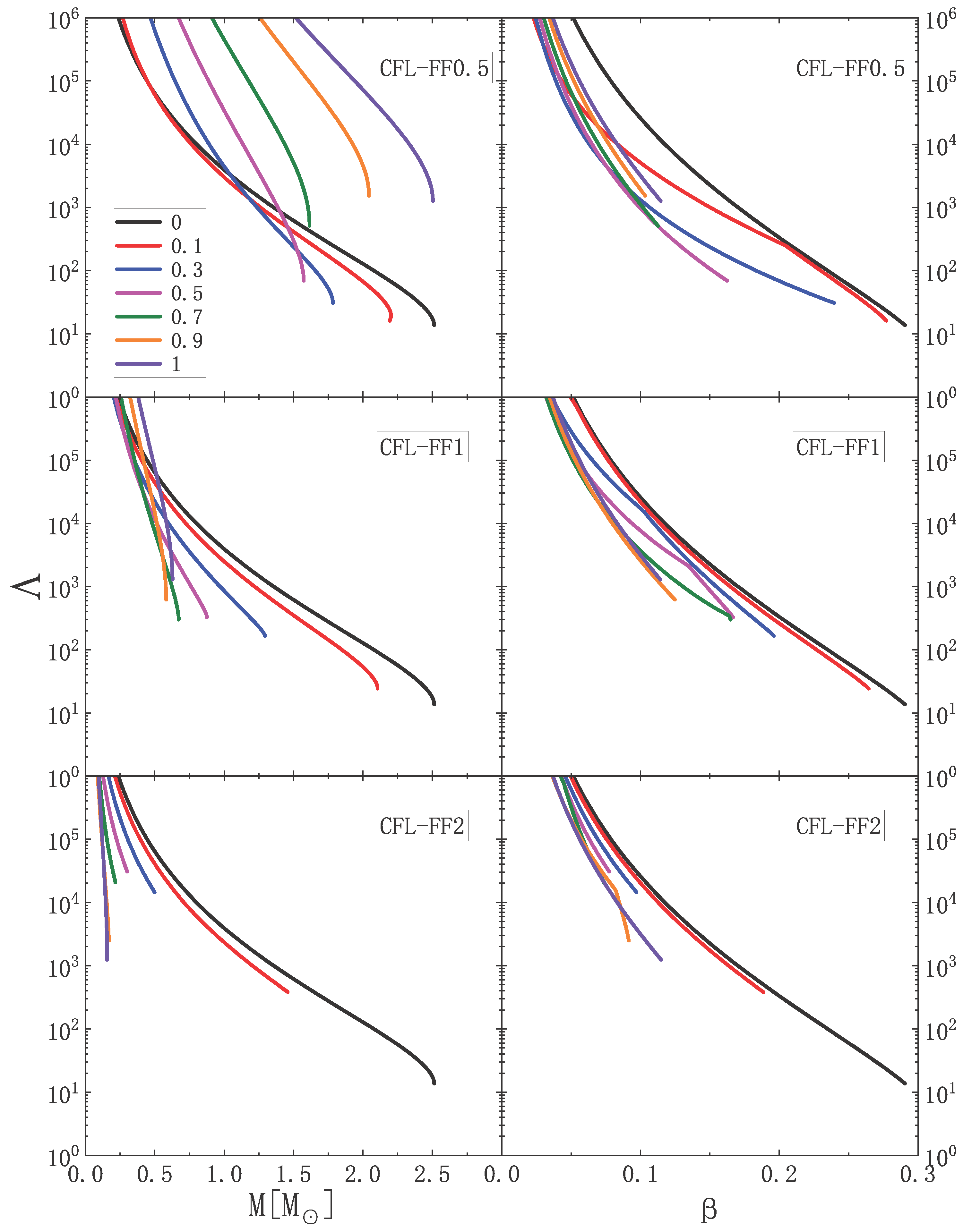
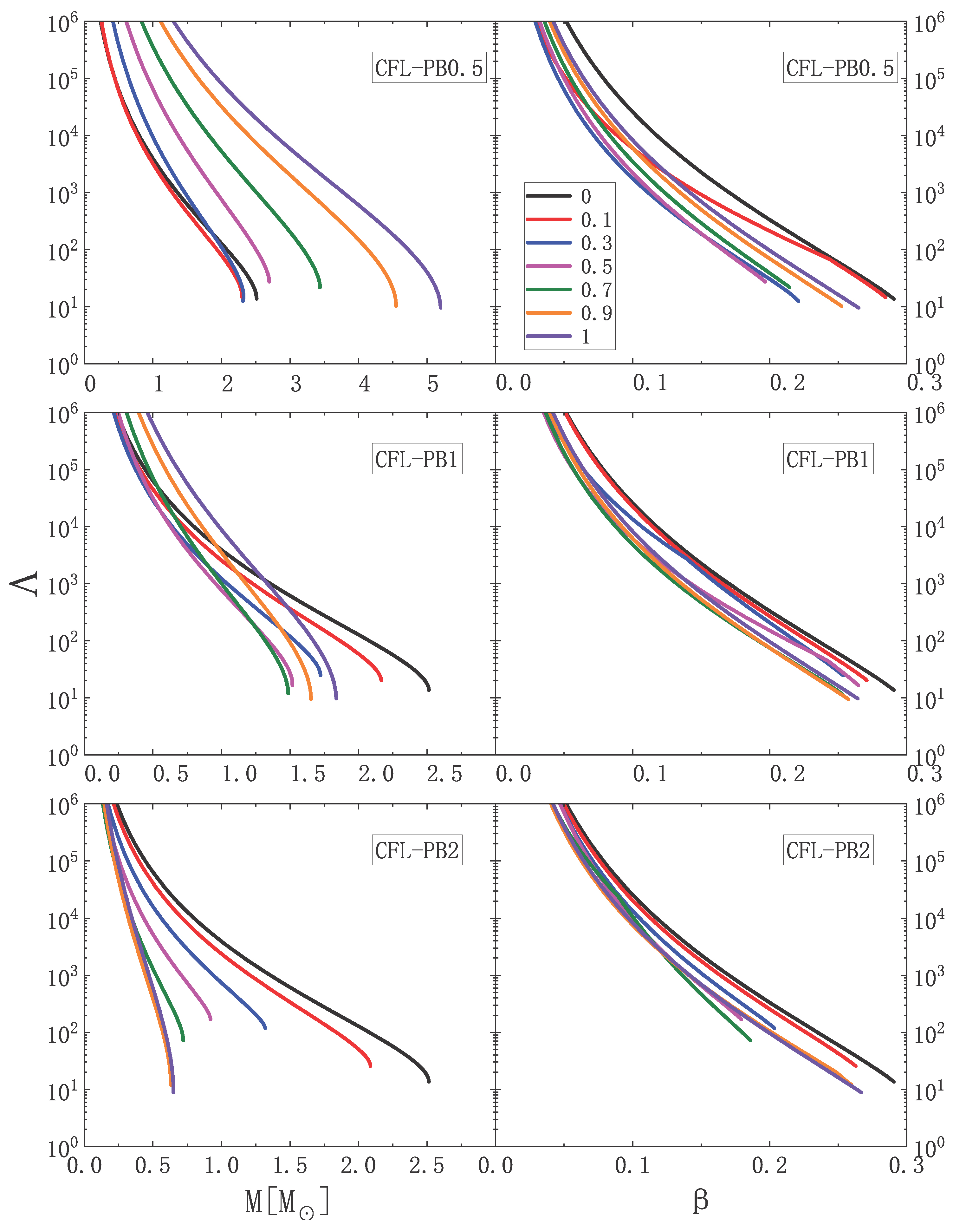
3.2. Tidal Deformability
4. Results and Discussion
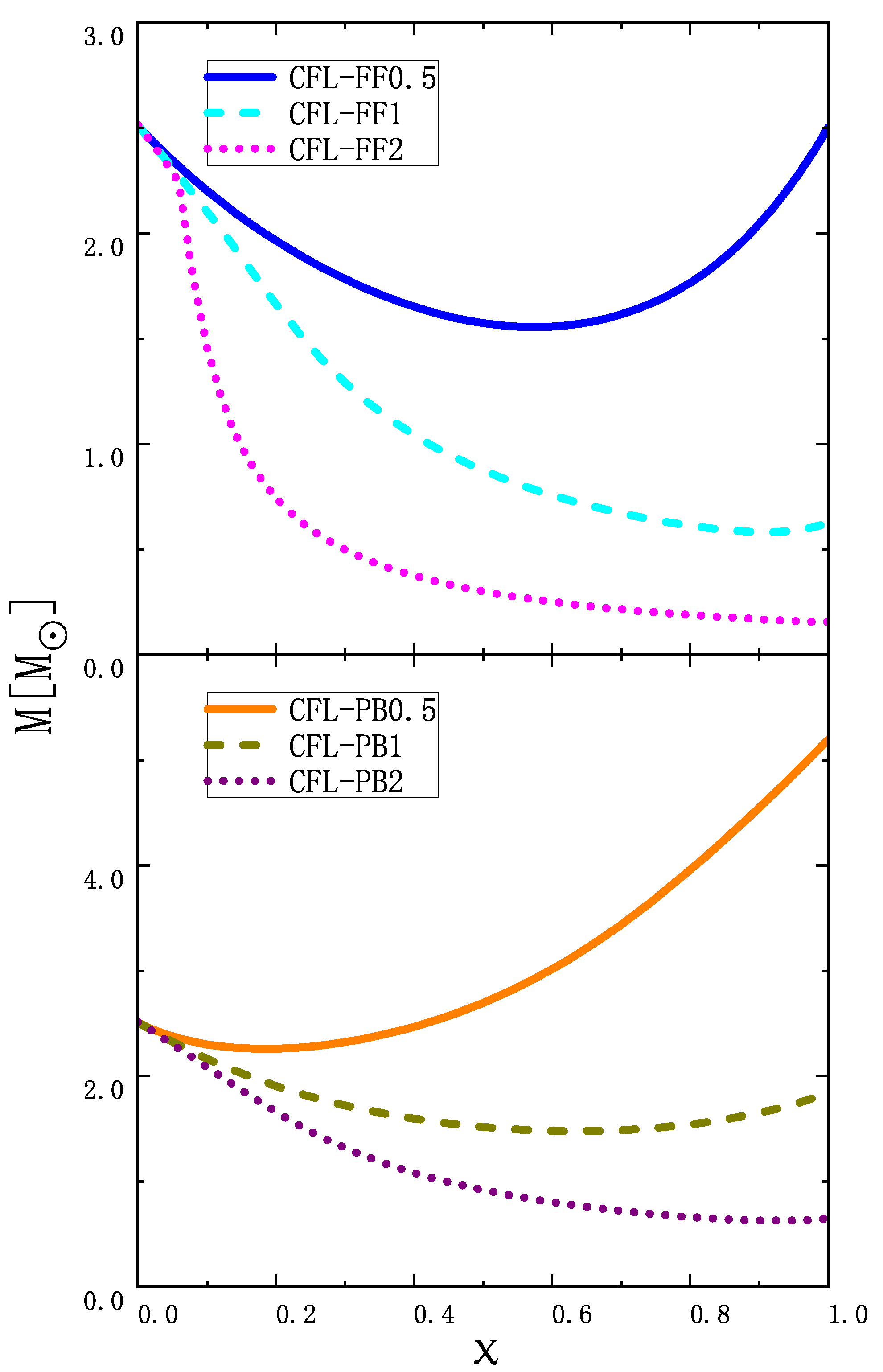
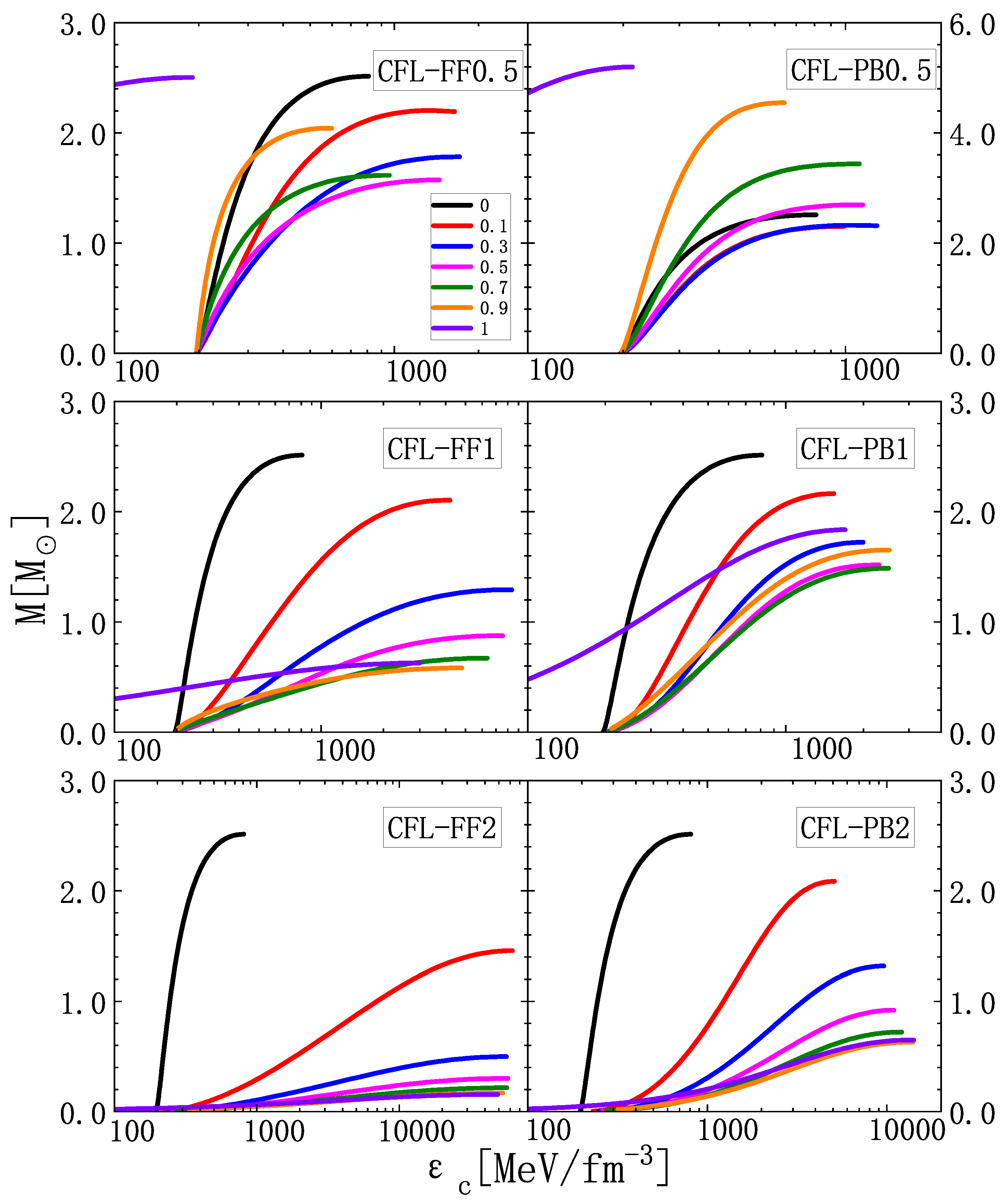
4.1. Properties of Pure Strange Stars and Dark Matter Stars
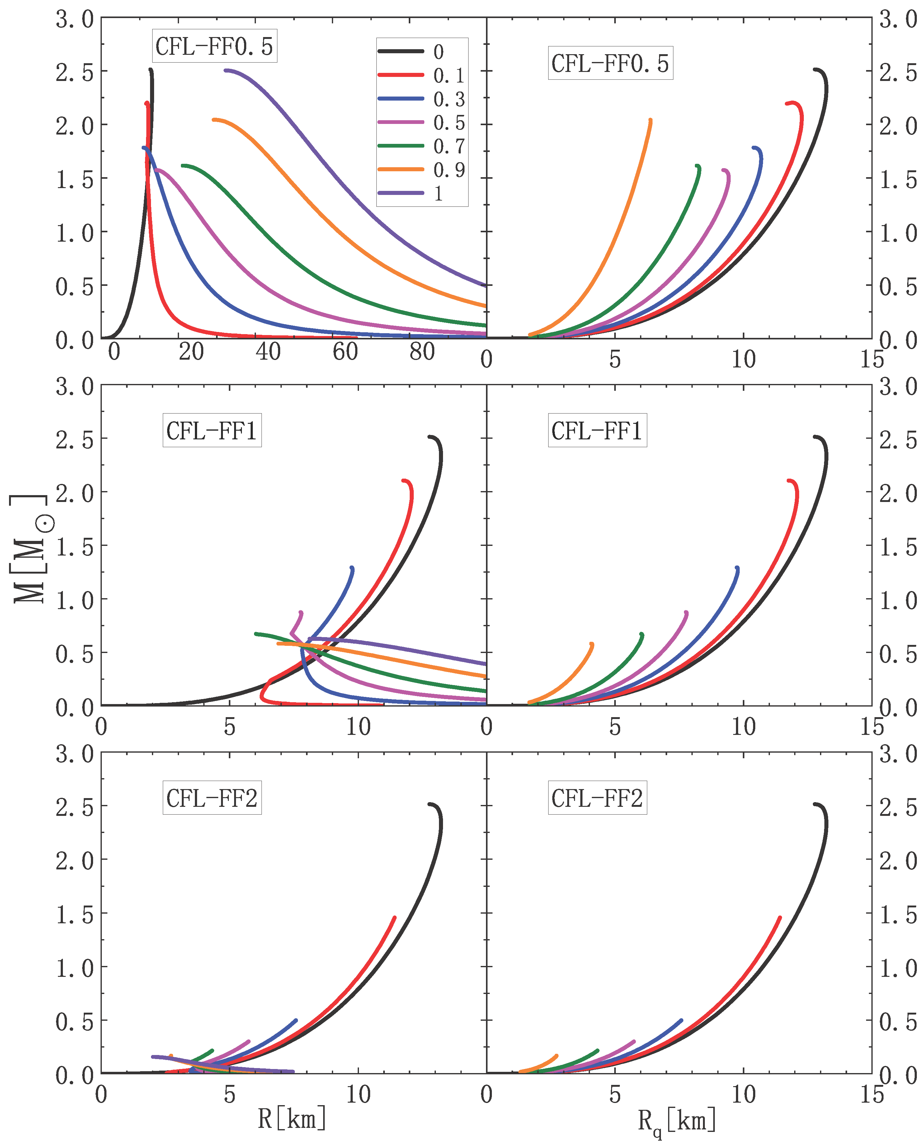
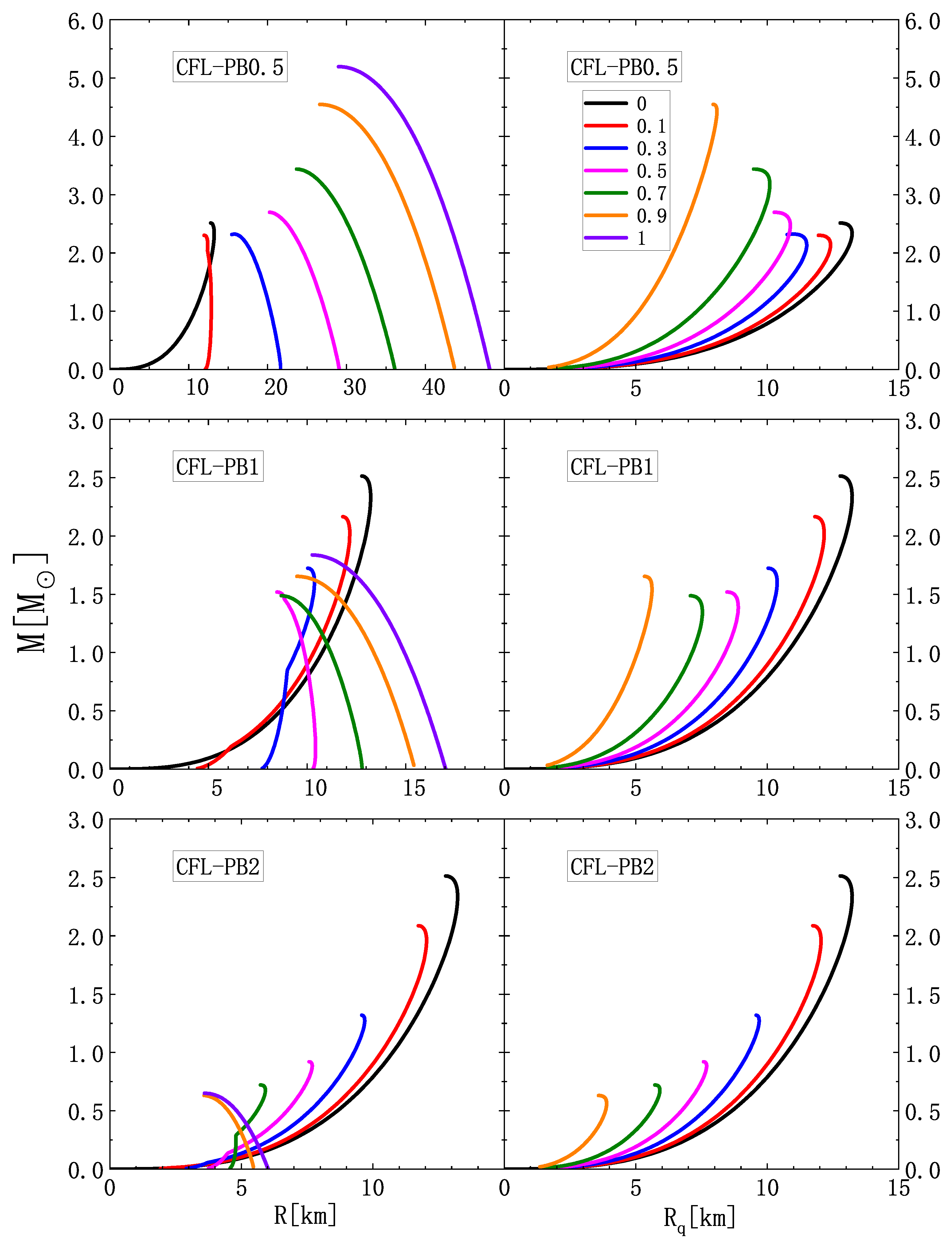
4.2. Properties of Dark Matter Admixed Strange Stars
5. Summary
Author Contributions
Funding
Data Availability Statement
Acknowledgments
References
- Shapiro, S.L.; Teukolsky, S.A. Star Deaths and the Formation of Compact Objects. In Black Holes, White Dwarfs, and Neutron Stars; John Wiley and Sons, Ltd, 1983; Chapter 1; pp. 1–16. [Google Scholar]
- Chadwick, J. Possible existence of a neutron. Nature 1932, 129, 312. [Google Scholar] [CrossRef]
- Landau, L.D. On the theory of stars. Phys. Z. Sowjetunion 1932, 1, 285–288. [Google Scholar]
- Baade, W.; Zwicky, F. Remarks on super-novae and cosmic rays. Physical Review 1934, 46, 76. [Google Scholar] [CrossRef]
- Tolman, R.C. Effect of inhomogeneity on cosmological models. Proceedings of the National Academy of Sciences 1934, 20, 169–176. [Google Scholar] [CrossRef]
- Oppenheimer, J.R.; Volkoff, G.M. On massive neutron cores. Physical Review 1939, 55, 374. [Google Scholar] [CrossRef]
- Hewish, A.; Bell, S.J.; Pilkington, J.D.H.; Scott, P.F.; Collins, R.A. Observation of a Rapidly Pulsating Radio Source. Nature 1968, 217, 709–713. [Google Scholar] [CrossRef]
- Abbott, B.P.; Abbott, R.; Abbott, T.D.; Acernese, F.; Ackley, K.; Adams, C.; Adams, T.; Addesso, P.; Adhikari, R.X.; Adya, V.B.; et al. GW170817: Observation of gravitational waves from a binary neutron star inspiral. Physical Review Letters 2017, 119, 161101. [Google Scholar] [CrossRef]
- Acernese, F.; Agathos, M.; Agatsuma, K.; Aisa, D.; Allemandou, N.; Allocca, A.; Amarni, J.; Astone, P.; Balestri, G.; Ballardin, G.; et al. Advanced Virgo: A second-generation interferometric gravitational wave detector. Classical and Quantum Gravity 2014, 32, 024001. [Google Scholar] [CrossRef]
- Abbott, B.P.; Abbott, R.; Abbott, T.; Abraham, S.; Acernese, F.; Ackley, K.; Adams, C.; Adya, V.; Affeldt, C.; Agathos, M.; et al. Prospects for observing and localizing gravitational-wave transients with Advanced LIGO, Advanced Virgo and KAGRA. Living reviews in relativity 2020, 23, 3. [Google Scholar] [CrossRef]
- Bailes, M.; Berger, B.K.; Brady, P.R.; Branchesi, M.; Danzmann, K.; Evans, M.; Holley-Bockelmann, K.; Iyer, B.; Kajita, T.; Katsanevas, S.; et al. Gravitational-wave physics and astronomy in the 2020s and 2030s. Nature Reviews Physics 2021, 3, 344–366. [Google Scholar] [CrossRef]
- Abbott, B.P.; Abbott, R.; Abbott, T.; Acernese, F.; Ackley, K.; Adams, C.; Adams, T.; Addesso, P.; Adhikari, R.X.; Adya, V.B.; et al. GW170817: Measurements of neutron star radii and equation of state. Physical Review Letters 2018, 121, 161101. [Google Scholar] [CrossRef] [PubMed]
- Abbott, B.P.; Abbott, R.; Abbott, T.; Abraham, S.; Acernese, F.; Ackley, K.; Adams, C.; Adhikari, R.; Adya, V.; Affeldt, C.; et al. GW190425: Observation of a compact binary coalescence with total mass 3.4 M⊙. The Astrophysical Journal 2020, 892, L3. [Google Scholar] [CrossRef]
- Miller, M.; Lamb, F.K.; Dittmann, A.; Bogdanov, S.; Arzoumanian, Z.; Gendreau, K.C.; Guillot, S.; Harding, A.; Ho, W.; Lattimer, J.; et al. PSR J0030+ 0451 mass and radius from NICER data and implications for the properties of neutron star matter. The Astrophysical Journal Letters 2019, 887, L24. [Google Scholar] [CrossRef]
- Riley, T.E.; Watts, A.L.; Bogdanov, S.; Ray, P.S.; Ludlam, R.M.; Guillot, S.; Arzoumanian, Z.; Baker, C.L.; Bilous, A.V.; Chakrabarty, D.; et al. A NICER view of PSR J0030+ 0451: Millisecond pulsar parameter estimation. The Astrophysical Journal Letters 2019, 887, L21. [Google Scholar] [CrossRef]
- Miller, M.C.; Lamb, F.; Dittmann, A.; Bogdanov, S.; Arzoumanian, Z.; Gendreau, K.; Guillot, S.; Ho, W.; Lattimer, J.; Loewenstein, M.; et al. The radius of PSR J0740+ 6620 from NICER and XMM-Newton data. The Astrophysical Journal Letters 2021, 918, L28. [Google Scholar] [CrossRef]
- Riley, T.E.; Watts, A.L.; Ray, P.S.; Bogdanov, S.; Guillot, S.; Morsink, S.M.; Bilous, A.V.; Arzoumanian, Z.; Choudhury, D.; Deneva, J.S.; et al. A NICER view of the massive pulsar PSR J0740+ 6620 informed by radio timing and XMM-Newton spectroscopy. The Astrophysical Journal Letters 2021, 918, L27. [Google Scholar] [CrossRef]
- Doroshenko, V.; Suleimanov, V.; Pühlhofer, G.; Santangelo, A. A strangely light neutron star within a supernova remnant. Nature Astronomy 2022, 6, 1444–1451. [Google Scholar] [CrossRef]
- Kini, Y.; Salmi, T.; Vinciguerra, S.; Watts, A.L.; Bilous, A.; Galloway, D.K.; van der Wateren, E.; Khalsa, G.P.; Bogdanov, S.; Buchner, J.; et al. Constraining the properties of the thermonuclear burst oscillation source XTE J1814- 338 through pulse profile modelling. Monthly Notices of the Royal Astronomical Society 2024, 535, 1507–1525. [Google Scholar] [CrossRef]
- Weber, F. Strange quark matter and compact stars. Progress in Particle and Nuclear Physics 2005, 54, 193–288. [Google Scholar] [CrossRef]
- Witten, E. Cosmic separation of phases. Physical Review D 1984, 30, 272. [Google Scholar] [CrossRef]
- Itoh, N. Hydrostatic equilibrium of hypothetical quark stars. Progress of Theoretical Physics 1970, 44, 291–292. [Google Scholar] [CrossRef]
- Farhi, E.; Jaffe, R.L. Strange matter. Physical Review D 1984, 30, 2379. [Google Scholar] [CrossRef]
- Ivanenko, D.; Kurdgelaidze, D. Hypothesis concerning quark stars. Astrophysics 1965, 1, 251–252. [Google Scholar] [CrossRef]
- Drake, J.J.; Marshall, H.L.; Dreizler, S.; Freeman, P.E.; Fruscione, A.; Juda, M.; Kashyap, V.; Nicastro, F.; Pease, D.O.; Wargelin, B.J.; et al. Is RX J1856. 5–3754 a quark star? The Astrophysical Journal 2002, 572, 996. [Google Scholar]
- Bombaci, I. Observational evidence for strange matter in compact objects from the x-ray burster 4U 1820-30. Physical Review C 1997, 55, 1587. [Google Scholar] [CrossRef]
- Lattimer, J.M. The nuclear equation of state and neutron star masses. Annual Review of Nuclear and Particle Science 2012, 62, 485–515. [Google Scholar] [CrossRef]
- Dai, Z.G.; Wang, S.Q.; Wang, J.; Wang, L.J.; Yu, Y.W. The most luminous supernova ASASSN-15LH: Signature of a newborn rapidly rotating strange quark star. The Astrophysical Journal 2016, 817, 132. [Google Scholar] [CrossRef]
- Chodos, A.; Jaffe, R.L.; Johnson, K.; Thorn, C.B.; Weisskopf, V. New extended model of hadrons. Physical Review D 1974, 9, 3471. [Google Scholar] [CrossRef]
- Chodos, A.; Jaffe, R.; Johnson, K.; Thorn, C.B. Baryon structure in the bag theory. Physical Review D 1974, 10, 2599. [Google Scholar] [CrossRef]
- Alford, M.; Rajagopal, K.; Wilczek, F. QCD at finite baryon density: Nucleon droplets and color superconductivity. Physics Letters B 1998, 422, 247–256. [Google Scholar] [CrossRef]
- Nambu, Y.; Jona-Lasinio, G. Dynamical model of elementary particles based on an analogy with superconductivity. II. Physical review 1961, 124, 246. [Google Scholar] [CrossRef]
- Szabó, K.K.; Tóth, A.I. Quasiparticle description of the QCD plasma, comparison withlattice results at finite T and μ. Journal of High Energy Physics 2003, 2003, 008. [Google Scholar] [CrossRef]
- Peng, G.; Chiang, H.; Yang, J.; Li, L.; Liu, B. Mass formulas and thermodynamic treatment in the mass-density-dependent model of strange quark matter. Physical Review C 1999, 61, 015201. [Google Scholar] [CrossRef]
- Dyson, F.J. The S matrix in quantum electrodynamics. Physical Review 1949, 75, 1736. [Google Scholar] [CrossRef]
- Schwinger, J. On the Green’s functions of quantized fields. II. Proceedings of the National Academy of Sciences 1951, 37, 455–459. [Google Scholar] [CrossRef]
- Chen, H.; Yuan, W.; Liu, Y.X. Partial restoration of chiral symmetry versus quark number density at zero temperature. Journal of Physics G: Nuclear and Particle Physics 2009, 36, 064073. [Google Scholar] [CrossRef]
- Chen, H.; Baldo, M.; Burgio, G.; Schulze, H.J. Hybrid stars with the Dyson-Schwinger quark model. Physical Review D 2011, 84, 105023. [Google Scholar] [CrossRef]
- Klähn, T.; Roberts, C.D.; Chang, L.; Chen, H.; Liu, Y.X. Cold quarks in medium: An equation of state. Physical Review C—Nuclear Physics 2010, 82, 035801. [Google Scholar] [CrossRef]
- Zwicky, F. Die rotverschiebung von extragalaktischen nebeln. Helvetica Physica Acta 1933, 6, 110–127. [Google Scholar]
- Rubin, V.C.; Ford, W.K., Jr. Rotation of the Andromeda nebula from a spectroscopic survey of emission regions. Astrophysical Journal 1970, 159, 379. [Google Scholar] [CrossRef]
- Clowe, D.; Bradač, M.; Gonzalez, A.H.; Markevitch, M.; Randall, S.W.; Jones, C.; Zaritsky, D. A direct empirical proof of the existence of dark matter. The Astrophysical Journal 2006, 648, L109. [Google Scholar] [CrossRef]
- Ade, P.A.; Aghanim, N.; Arnaud, M.; Ashdown, M.; Aumont, J.; Baccigalupi, C.; Banday, A.; Barreiro, R.; Bartlett, J.; Bartolo, N.; et al. Planck 2015 results-xiii. cosmological parameters. Astronomy & Astrophysics 2016, 594, A13. [Google Scholar]
- Baryakhtar, M.; Caputo, R.; Croon, D.; Perez, K.; Berti, E.; Bramante, J.; Buschmann, M.; Brito, R.; Chen, T.Y.; Cole, P.S.; Coogan, A.; et al. Dark Matter In Extreme Astrophysical Environments. arXiv 2022, arXiv:2203.07984. [Google Scholar] [CrossRef]
- Billard, J.; Boulay, M.; Cebrián, S.; Covi, L.; Fiorillo, G.; Green, A.; Kopp, J.; Majorovits, B.; Palladino, K.; Petricca, F.; et al. Direct detection of dark matter—APPEC committee report. Reports on Progress in Physics 2022, 85, 056201. [Google Scholar] [CrossRef]
- Goldman, I.; Nussinov, S. Weakly interacting massive particles and neutron stars. Physical Review D 1989, 40, 3221. [Google Scholar] [CrossRef]
- Kouvaris, C. WIMP annihilation and cooling of neutron stars. Physical Review D 2008, 77, 023006. [Google Scholar] [CrossRef]
- Kaplan, D.E.; Luty, M.A.; Zurek, K.M. Asymmetric dark matter. Physical Review D 2009, 79, 115016. [Google Scholar] [CrossRef]
- Kouvaris, C.; Tinyakov, P. Constraining Asymmetric Dark Matter through observations of compact stars. Physical Review D 2011, 83, 083512. [Google Scholar] [CrossRef]
- Kain, B. Radial oscillations and stability of multiple-fluid compact stars. Physical Review D 2020, 102, 023001. [Google Scholar] [CrossRef]
- Das, H.; Kumar, A.; Kumar, B.; Patra, S.K. Dark matter effects on the compact star properties. Galaxies 2022, 10, 14. [Google Scholar] [CrossRef]
- Hippert, M.; Dillingham, E.; Tan, H.; Curtin, D.; Noronha-Hostler, J.; Yunes, N. Dark matter or regular matter in neutron stars? How to tell the difference from the coalescence of compact objects. Physical Review D 2023, 107, 115028. [Google Scholar] [CrossRef]
- Routaray, P.; Das, H.; Sen, S.; Kumar, B.; Panotopoulos, G.; Zhao, T. Radial oscillations of dark matter admixed neutron stars. Physical Review D 2023, 107, 103039. [Google Scholar] [CrossRef]
- Bramante, J.; Raj, N. Dark matter in compact stars. Physics Reports 2024, 1052, 1–48. [Google Scholar] [CrossRef]
- Sotani, H.; Kumar, A. Emergence of new oscillation modes in dark matter admixed neutron stars. Physical Review D 2025, 111, 123013. [Google Scholar] [CrossRef]
- Mukhopadhyay, P.; Schaffner-Bielich, J. Quark stars admixed with dark matter. Physical Review D 2016, 93, 083009. [Google Scholar] [CrossRef]
- Panotopoulos, G.; Lopes, I. Radial oscillations of strange quark stars admixed with condensed dark matter. Physical Review D 2017, 96, 083013. [Google Scholar] [CrossRef]
- Panotopoulos, G.; Lopes, I. Radial oscillations of strange quark stars admixed with fermionic dark matter. Physical Review D 2018, 98, 083001. [Google Scholar] [CrossRef]
- Lopes, L.L.; Das, H. Strange stars within bosonic and fermionic admixed dark matter. Journal of Cosmology and Astroparticle Physics 2023, 2023, 034. [Google Scholar] [CrossRef]
- Yang, Y.; Wu, C.; Yang, J.F. Impact of dark matter on strange quark stars described by different quark models. The European Physical Journal C 2025, 85, 426. [Google Scholar] [CrossRef]
- Jiménez, J.C.; Fraga, E.S. Radial oscillations of quark stars admixed with dark matter. Universe 2022, 8, 34. [Google Scholar] [CrossRef]
- Zhen, Y.; Sun, T.T.; Wei, J.B.; Zheng, Z.Y.; Chen, H. Radial Oscillations of Strange Quark Stars Admixed with Dark Matter. Symmetry 2024, 16, 807. [Google Scholar] [CrossRef]
- Yang, S.H.; Pi, C.M. Color-flavor locked strange stars admixed with mirror dark matter and the observations of compact stars. Journal of Cosmology and Astroparticle Physics 2024, 2024, 052. [Google Scholar] [CrossRef]
- Yang, S.H.; Pi, C.M.; Weber, F. Strange stars admixed with mirror dark matter: Confronting observations of XTE J1814-338. Physical Review D 2025, 111, 043037. [Google Scholar] [CrossRef]
- Panotopoulos, G.; Rincón, Á.; Lopes, I. Exploring the structural properties of anisotropic dark matter-admixed quark stars. Physics of the Dark Universe 2025, 101972. [Google Scholar] [CrossRef]
- Lugones, G.; Horvath, J.E. Color-flavor locked strange matter. Physical Review D 2002, 66, 074017. [Google Scholar] [CrossRef]
- Flores, C.V.; Lugones, G. Constraining color flavor locked strange stars in the gravitational wave era. Physical Review C 2017, 95, 025808. [Google Scholar] [CrossRef]
- Chavanis, P.H.; Harko, T. Bose-Einstein condensate general relativistic stars. Physical Review D 2012, 86, 064011. [Google Scholar] [CrossRef]
- Ciarcelluti, P.; Sandin, F. Have neutron stars a dark matter core? Physics Letters B 2011, 695, 19–21. [Google Scholar] [CrossRef]
- Damour, T.; Nagar, A. Relativistic tidal properties of neutron stars. Physical Review D 2009, 80, 084035. [Google Scholar] [CrossRef]
- Takátsy, J.; Kovács, P. Comment on “Tidal Love numbers of neutron and self-bound quark stars”. Physical Review D 2020, 102, 028501. [Google Scholar] [CrossRef]
- Hinderer, T. Tidal Love numbers of neutron stars. The Astrophysical Journal 2008, 677, 1216. [Google Scholar] [CrossRef]
- Cronin, J.; Zhang, X.; Kain, B. Rotating dark matter admixed neutron stars. Physical Review D 2023, 108, 103016. [Google Scholar] [CrossRef]
- Postnikov, S.; Prakash, M.; Lattimer, J.M. Tidal Love numbers of neutron and self-bound quark stars. Physical Review D 2010, 82, 024016. [Google Scholar] [CrossRef]
- Abbott, R.; Abbott, T.; Abraham, S.; Acernese, F.; Ackley, K.; Adams, C.; Adhikari, R.X.; Adya, V.; Affeldt, C.; Agathos, M.; et al. GW190814: Gravitational waves from the coalescence of a 23 solar mass black hole with a 2.6 solar mass compact object. The Astrophysical Journal Letters 2020, 896, L44. [Google Scholar] [CrossRef]
- Romani, R.W.; Kandel, D.; Filippenko, A.V.; Brink, T.G.; Zheng, W. PSR J0952- 0607: The fastest and heaviest known galactic neutron star. The Astrophysical Journal Letters 2022, 934, L17. [Google Scholar] [CrossRef]
- Leung, S.C.; Chu, M.C.; Lin, L.M. Dark-matter admixed neutron stars. Physical Review D 2011, 84, 107301. [Google Scholar] [CrossRef]










| Model | (km) | () | ||
|---|---|---|---|---|
| CFL | 2.51 | 12.77 | 808 | 862 |
| MIT60 | 1.97 | 10.72 | 1146 | 417 |
| MIT90 | 1.60 | 8.75 | 1731 | 118 |
| FF0.5 | 2.50 | 32.28 | 190 | 1,948,900 |
| FF1 | 0.63 | 8.11 | 2994 | - |
| FF2 | 0.16 | 2.01 | 49160 | - |
| PB0.5 | 5.20 | 28.98 | 214 | 658,065 |
| PB1 | 1.84 | 10.27 | 1698 | 660 |
| PB2 | 0.65 | 3.60 | 14060 | - |
Disclaimer/Publisher’s Note: The statements, opinions and data contained in all publications are solely those of the individual author(s) and contributor(s) and not of MDPI and/or the editor(s). MDPI and/or the editor(s) disclaim responsibility for any injury to people or property resulting from any ideas, methods, instructions or products referred to in the content. |
© 2026 by the authors. Licensee MDPI, Basel, Switzerland. This article is an open access article distributed under the terms and conditions of the Creative Commons Attribution (CC BY) license.
