Preprint
Article

This version is not peer-reviewed.

Development and Comprehensive Evaluation of 3D-Printed Prosthetics Feet: Modelling, Testing and a Pilot Gait Study

Submitted:

09 February 2026

Posted:

11 February 2026

You are already at the latest version

Abstract
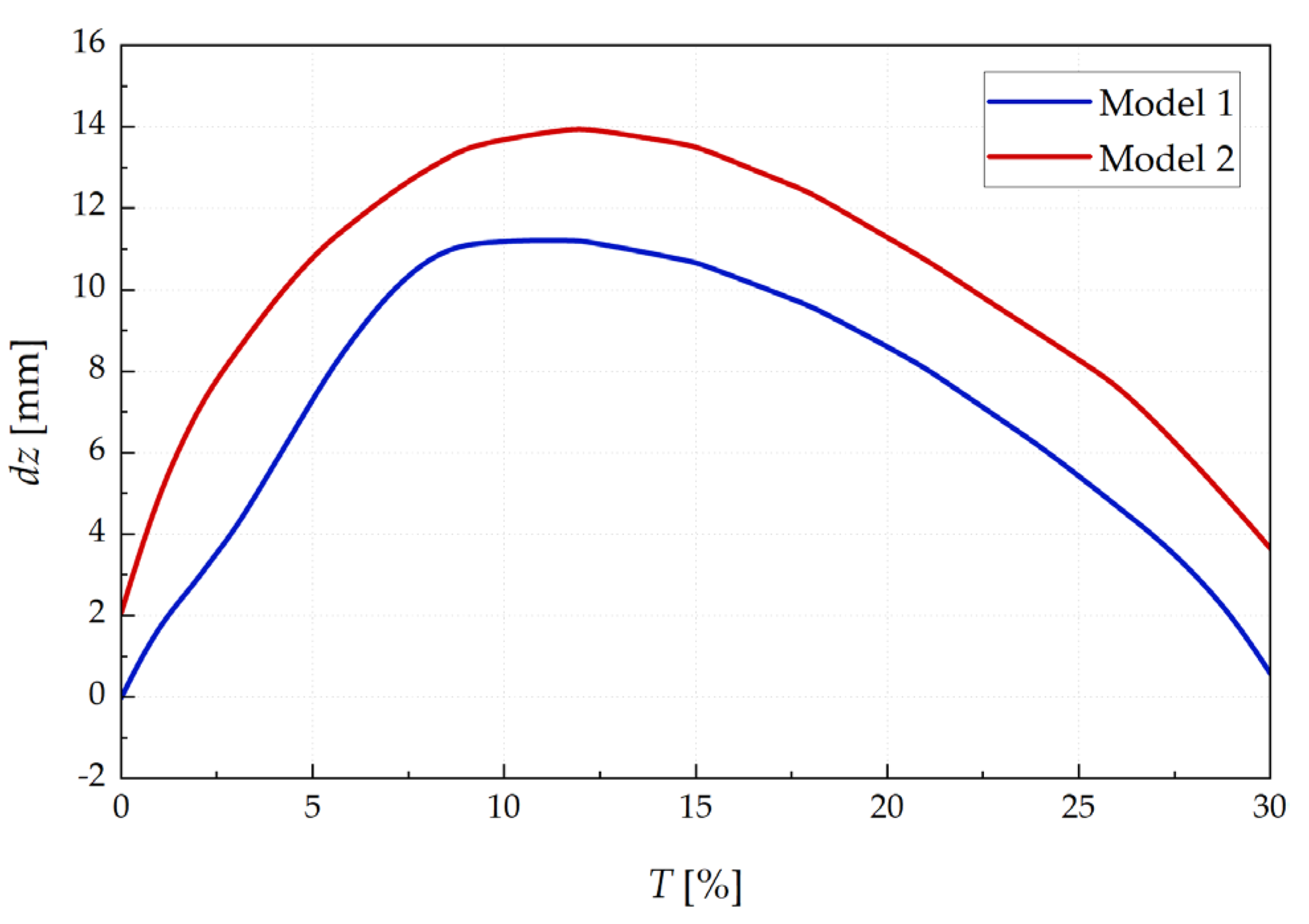
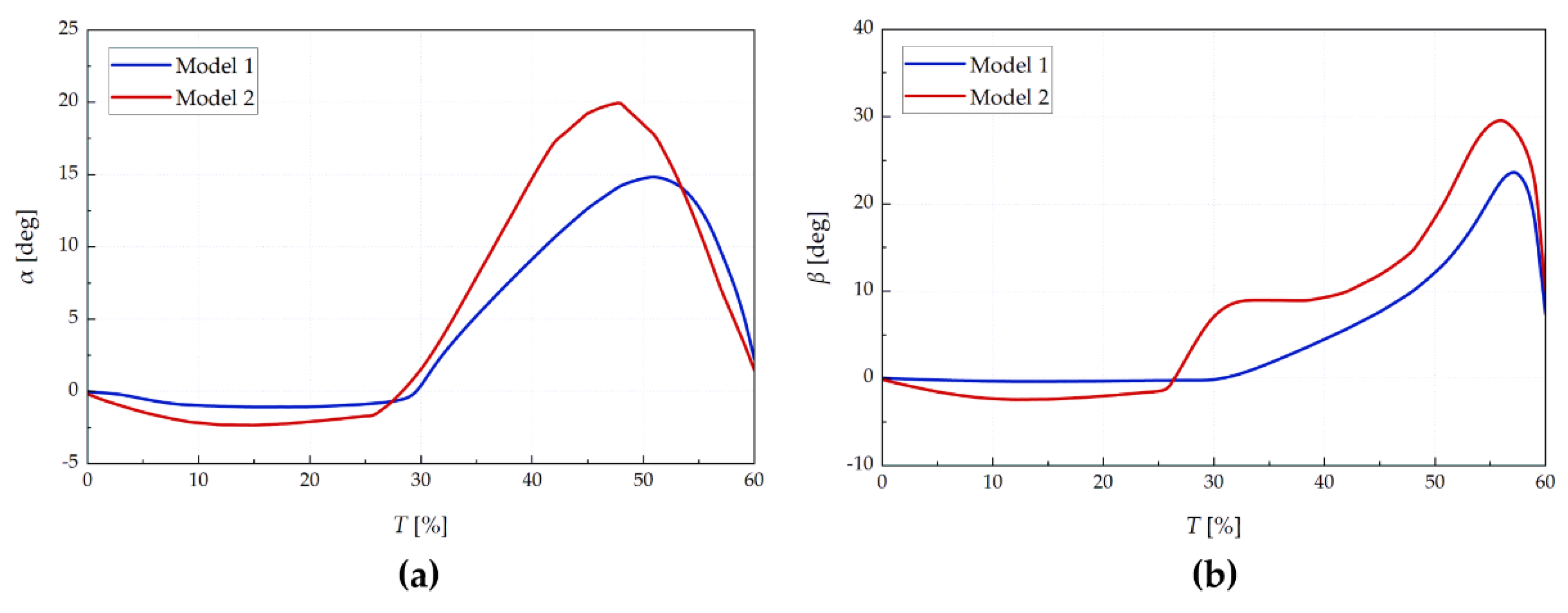
The modern prosthetic foot market is characterized by a pronounced polarization between affordable but low-function devices and high-performance yet costly composite prosthe-ses. The aim of this study was to develop and comprehensively evaluate cost-effective, functional prosthetic feet manufactured by fused deposition modeling (FDM). An iterative design methodology was employed, combining finite element analysis to optimize the biomechanical response of the device, incorporation of user-specific requirements and ex-perimental validation. Two TPU 95A-based 3D-printed prosthetic foot designs were de-signed and developed, and their strength and functional characteristics were assessed numerically under the ISO 22675:2024 normative loading cycle. Bench-top mechanical tests were conducted on the fabricated prototypes. Functional performance was evaluated by a transtibial amputee using an inertial motion capture system to analyze gait kinemat-ics. The results demonstrated that both designs operate predominantly within the elastic range with an adequate safety margin. The pilot gait assessment indicated biomechani-cally acceptable walking kinematics for both prototypes, with a subjective preference for the smoother rollover provided by Model 2.
Keywords: 
;  ;  ;  ;  ;  ;  
Subject: 
Engineering  -   Bioengineering
Copyright: This open access article is published under a Creative Commons CC BY 4.0 license, which permit the free download, distribution, and reuse, provided that the author and preprint are cited in any reuse.
Prerpints.org logo

Preprints.org is a free preprint server supported by MDPI in Basel, Switzerland.

Subscribe

Disclaimer

Terms of Use

Privacy Policy

Privacy Settings

© 2026 MDPI (Basel, Switzerland) unless otherwise stated