Preprint
Article

This version is not peer-reviewed.

AGRO: An Adaptive Gold Rush Optimizer with Dynamic Strategy Selection

Submitted:

06 February 2026

Posted:

09 February 2026

You are already at the latest version

Abstract
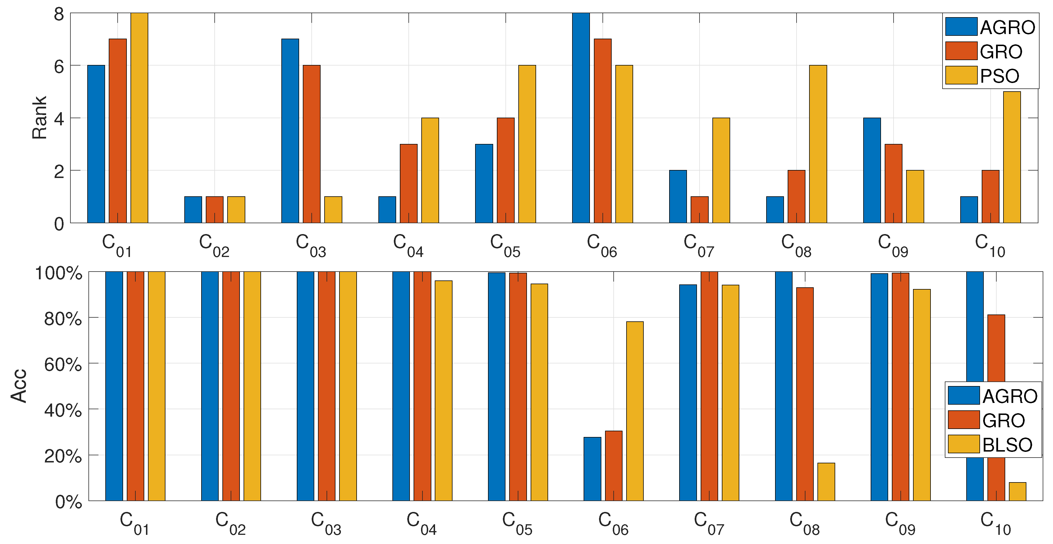
In this paper, we propose a metaheuristic optimization algorithm called Adaptive Gold Rush Optimizer (AGRO), a substantial evolution of the original Gold Rush Optimizer (GRO). Unlike the standard GRO, which relies on fixed probabilities in the strategy selection process, AGRO utilizes a novel adaptive mechanism that prioritizes strategies improving solution quality. This adaptive component, that can be applied to any optimization algorithm with fixed probabilities in the strategy selection, adjusts the probabilities of the three core search strategies of GRO (Migration, Collaboration, and Panning), in real-time, rewarding those that successfully improve solution quality. Furthermore, AGRO introduces fundamental modifications to the search equations, eliminating the inherent attraction towards the zero coordinates, while explicitly incorporating objective function values to guide prospectors towards promising regions. Experimental results demonstrate that AGRO outperforms ten state-of-the-art algorithms on the twenty-three classical benchmark functions, the CEC2017, and the CEC2019 datasets. The source code of AGRO algorithm is publicly available at https://sites.google.com/site/costaspanagiotakis/research/agro.
Keywords: 
;  ;  ;  ;  ;  ;  
Copyright: This open access article is published under a Creative Commons CC BY 4.0 license, which permit the free download, distribution, and reuse, provided that the author and preprint are cited in any reuse.
Prerpints.org logo

Preprints.org is a free preprint server supported by MDPI in Basel, Switzerland.

Subscribe

Disclaimer

Terms of Use

Privacy Policy

Privacy Settings

© 2026 MDPI (Basel, Switzerland) unless otherwise stated