Submitted:
02 February 2026
Posted:
03 February 2026
You are already at the latest version
Abstract
Keywords:
1. Introduction
2. Materials and Methods
2.1. Bacterial Strains
2.2. Tested Compounds
2.3. Antimicrobial Qualitative Test (Adapted Antibiogram Method)
2.4. The Minimal Inhibitory Concentration (MIC) Method
2.5. The Minimal Biofilm Eradication Concentration (MBEC) Method
2.6. Induction of Cytokines Secretion
2.7. Enzyme-Linked Immunosorbent Assay
2.8. Bacterial Adhesion to Cell Substrate – Adhesion Patterns and Adhesion Index
2.9. Data Analysis
3. Results
3.1. Assessment of Lactoferrin and/or Lactic Acid Bacteria Supernatants’ Effects Against Bacterial Adhesion and Growth
3.1.1. Effects of Bovine Lactoferrin on Bacterial Growth
3.1.2. Antimicrobial and Anti-Biofilm Activity of High-Purity Bovine Lactoferrin Compared to Commercial Lactoferrin
3.1.3. Influence of Lactoferrin and/or Lactic Acid Bacteria Supernatants on Biofilm Formation
3.2. Effects of Lactoferrin and/or Lactic Acid Bacteria Supernatants on Immune Modulation and Bacterial Adhesiveness
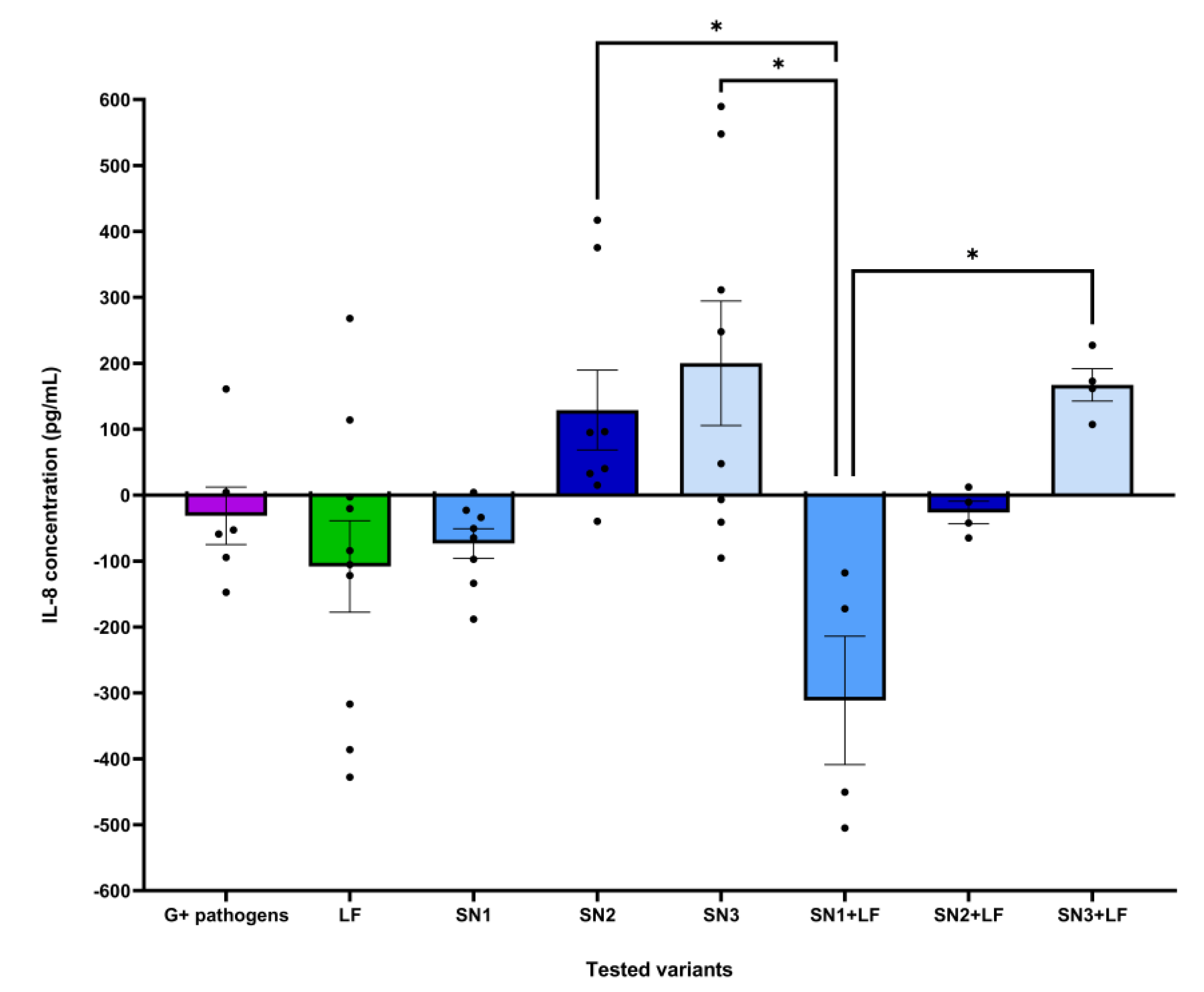
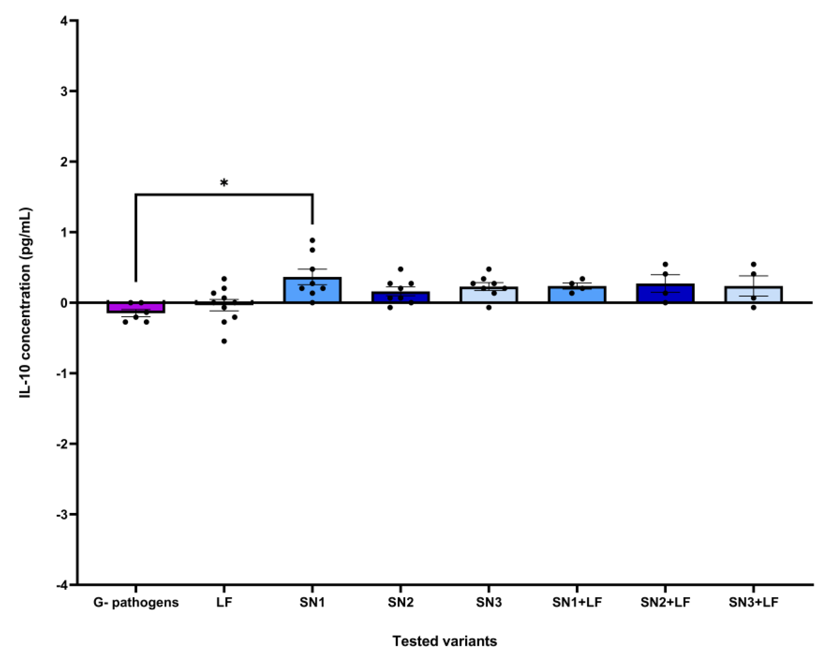
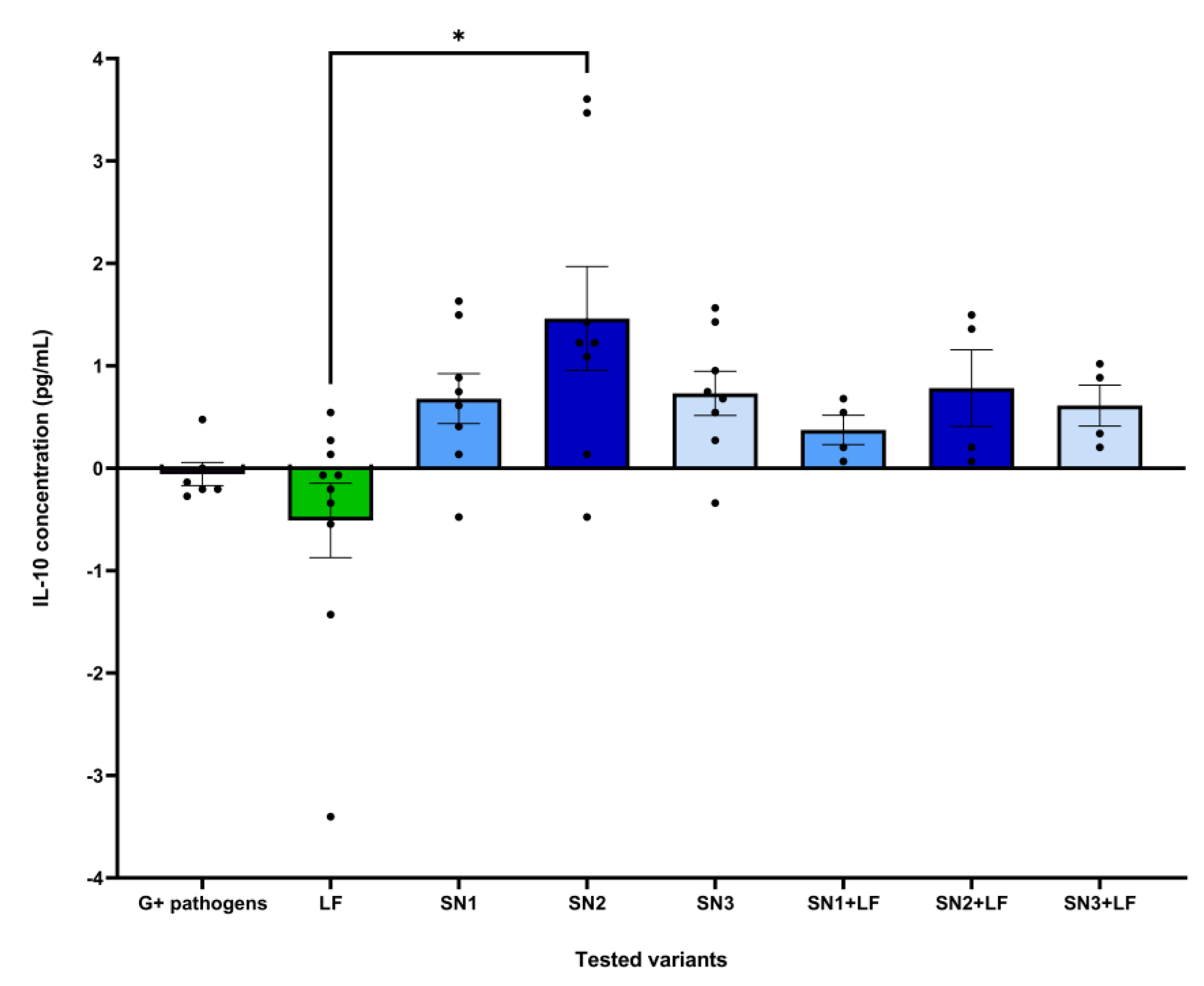
3.2.1. Modulation of Cytokine Production
3.2.2. Influence on Adhesion Capacity on Cellular Substrates (Adhesion Patterns and Adhesion Index)


4. Discussion
5. Conclusions
Author Contributions
Funding
Institutional Review Board Statement
Data Availability Statement
Conflicts of Interest
Abbreviations
| A/E | Attaching and Effacing |
| AI% | Adhesion Index |
| AMPs | Antimicrobial Peptides |
| AMR | Antimicrobial Resistance |
| ATCC | American Type Culture Collection |
| bLf | Bovine lactoferrin |
| CFS | Cell-Free Supernatants |
| CFU | Colony Forming Units |
| DMEM | Dulbecco’s Modified Eagle Medium |
| EPS | Extracellular Polymeric Substances |
| EVs | Extracellular Vesicles |
| FBS | Fetal Bovine Serum |
| HAI | Healthcare-Associated Infections |
| hLf | Human Lactoferrin |
| LAB | Lactic Acid Bacteria |
| Lf | Lactoferrin |
| Lfcin | Lactoferricin |
| LfcinB | Bovine Lactoferricin |
| LfcinH | Human Lactoferricin |
| MBEC | Minimal Biofilm Eradication Concentration |
| MDR | Multi-Drug Resistance |
| MIC | Minimal Inhibitory Concentration |
| MRS | Man-Rogosa-Sharpe |
| MRSA | Methicillin-Resistant Staphylococcus aureus |
| MSSA | Methicillin-Susceptible Staphylococcus aureus |
| PBS | Phosphate Buffered Saline |
| QS | Quorum Sensing |
| SEM | Standard Error of Mean |
| TSST-1 | Toxic Shock Syndrome Toxin-1 |
| UTI | Urinary Tract Infection |
| WHO | World Health Organization |
References
- Tsalidou M, Stergiopoulou T, Bostanitis I, et al. Surveillance of Antimicrobial Resistance and Multidrug Resistance Prevalence of Clinical Isolates in a Regional Hospital in Northern Greece. Antibiotics. 2023;12(11). [CrossRef]
- Saha M, Sarkar A. Review on multiple facets of drug resistance: A rising challenge in the 21st century. J Xenobiot. 2021;11(4):197-214. [CrossRef]
- van Duin D, Paterson DL. Multidrug-Resistant Bacteria in the Community: An Update. Infect Dis Clin North Am. 2020;34(4):709-722. [CrossRef]
- Bharadwaj A, Rastogi A, Pandey S, Gupta S, Sohal JS. Multidrug-Resistant Bacteria: Their Mechanism of Action and Prophylaxis. Biomed Res Int. 2022;2022. [CrossRef]
- Yang AF, Huang V, Samaroo-Campbell J, Augenbraun M. Multi-drug resistant Pseudomonas aeruginosa: a 2019–2020 single center retrospective case control study. Infect Prev Pract. 2023;5(3). [CrossRef]
- Reardon S. WHO warns against “post-antibiotic” era. Nature. Published online April 30, 2014. [CrossRef]
- Mancuso G, Midiri A, Gerace E, Biondo C. Bacterial antibiotic resistance: the most critical pathogens. Pathogens. 2021;10(10). [CrossRef]
- Catalano A, Iacopetta D, Ceramella J, et al. Multidrug Resistance (MDR): A Widespread Phenomenon in Pharmacological Therapies. Molecules. 2022;27(3). [CrossRef]
- Rather MA, Gupta K, Mandal M. Microbial biofilm: formation, architecture, antibiotic resistance, and control strategies. Braz J Microbiol. 2021;52(4):1701-1718. [CrossRef]
- Costea DA, Lazãr V. Lactoferrin-A Multivalent Molecule. Roum Arch Microbiol Immunol. 2024;83(2):108-115. [CrossRef]
- Donlan RM, Costerton JW. Biofilms: Survival mechanisms of clinically relevant microorganisms. Clin Microbiol Rev. 2002;15(2):167-193. [CrossRef]
- Barenji EK, Beglari S, Tahghighi A, Azerang P, Rohani M. Evaluation of Anti-Bacterial and Anti-Biofilm Activity of Native Probiotic Strains of Lactobacillus Extracts. Iran Biomed J. 2024;28(2-3):102-112. [CrossRef]
- Lazar V, Oprea E, Ditu LM. Resistance, Tolerance, Virulence and Bacterial Pathogen Fitness—Current State and Envisioned Solutions for the Near Future. Pathogens. 2023;12(5). [CrossRef]
- Alkhulaifi MM, Alosaimi MM, Khan MS, et al. Assessment of Broad-Spectrum Antimicrobial, Antibiofilm, and Anticancer Potential of Lactoferrin Extracted from Camel Milk. Appl Biochem Biotechnol. 2024;196(3):1464-1480. [CrossRef]
- Sorensen M, Sorensen SPL. The proteins in whey. Comptes rendus. 1939;23(7):55-99. Accessed May 31, 2024. https://www.cabidigitallibrary.org/doi/full/10.5555/19420400573.
- Dyrda-Terniuk T, Pomastowski P. The Multifaceted Roles of Bovine Lactoferrin: Molecular Structure, Isolation Methods, Analytical Characteristics, and Biological Properties. J Agric Food Chem.American Chemical Society. 2023;71(51):20500-20531. [CrossRef]
- Kowalczyk P, Kaczyńska K, Kleczkowska P, Bukowska-Ośko I, Kramkowski K, Sulejczak D. The Lactoferrin Phenomenon—A Miracle Molecule. Molecules. 2022;27(9):2941. [CrossRef]
- Gibbons JA, Kanwar RK, Kanwar JR. Lactoferrin and cancer in different cancer models. Front Biosci. 2011;3:1080.
- Ramírez-Rico G, Drago-Serrano ME, León-Sicairos N, de la Garza M. Lactoferrin: A Nutraceutical with Activity against Colorectal Cancer. Front Pharmacol. 2022;13. [CrossRef]
- Kondapi AK. Targeting cancer with lactoferrin nanoparticles: Recent advances. Nanomedicine.Future Medicine Ltd. 2020;15(21):2071-2083. [CrossRef]
- Gruden Š, Ulrih NP. Diverse mechanisms of antimicrobial activities of lactoferrins, lactoferricins, and other lactoferrin-derived peptides. Int J Mol Sci. 2021;22(20). [CrossRef]
- Ramírez-Sánchez DA, Canizalez-Román A, León-Sicairos N, Pérez Martínez G. The anticancer activity of bovine lactoferrin is reduced by deglycosylation and it follows a different pathway in cervix and colon cancer cells. Food Sci Nutr. 2024;12(5):3516-3528. [CrossRef]
- Chen PW, Jheng TT, Shyu CL, Mao FC. Synergistic antibacterial efficacies of the combination of bovine lactoferrin or its hydrolysate with probiotic secretion in curbing the growth of meticillin-resistant Staphylococcus aureus. J Med Microbiol. 2013;62(PART 12):1845-1851. [CrossRef]
- Brouwer C, Welling MM, Alwasel S, Boekhout T. Potential health benefits of lactoferrin and derived peptides–how to qualify as a medical device? Crit Rev Microbiol. Preprint posted online 2025. [CrossRef]
- Angulo-Zamudio UA, Vidal JE, Nazmi K, et al. Lactoferrin Disaggregates Pneumococcal Biofilms and Inhibits Acquisition of Resistance Through Its DNase Activity. Front Microbiol. 2019;10. [CrossRef]
- Cao X, Ren Y, Lu Q, et al. Lactoferrin: A glycoprotein that plays an active role in human health. Front Nutr. 2023;9. [CrossRef]
- Abd El-Hack ME, Abdelnour SA, Kamal M, et al. Lactoferrin: Antimicrobial impacts, genomic guardian, therapeutic uses and clinical significance for humans and animals. Biomed Pharmacother. 2023;164. [CrossRef]
- Bădăluță VA, Curuțiu C, Dițu LM, Holban AM, Lazăr V. Probiotics in Wound Healing. Int J Mol Sci. 2024;25(11). [CrossRef]
- Sepehr A, Miri ST, Aghamohammad S, et al. Health benefits, antimicrobial activities, and potential applications of probiotics: A review. Medicine (Baltimore). 2024;103(52):e32412. [CrossRef]
- Plaza-Diaz J, Ruiz-Ojeda FJ, Gil-Campos M, Gil A. Mechanisms of Action of Probiotics. In: Adv Nutr. Vol 10. Oxford University Press; 2019:S49-S66. [CrossRef]
- Costa FF, Dias TG, Mendes PM, et al. Antioxidant and Antimicrobial Properties of Probiotics: Insights from In Vitro Assays. Probiotics Antimicrob Proteins. Preprint posted online 2024. [CrossRef]
- Zommiti M, Feuilloley MGJ, Connil N. Update of probiotics in human world: A nonstop source of benefactions till the end of time. Microorganisms. 2020;8(12):1-33. [CrossRef]
- Fijan S. Microorganisms with claimed probiotic properties: An overview of recent literature. Int J Environ Res Public Health. 2014;11(5):4745-4767. [CrossRef]
- Santacroce L, Charitos IA, Bottalico L. A successful history: probiotics and their potential as antimicrobials. Expert Rev Anti Infect Ther. 2019;17(8):635-645. [CrossRef]
- Kruis W, Frič P, Pokrotnieks J, et al. Maintaining remission of ulcerative colitis with the probiotic Escherichia coli Nissle 1917 is as effective as with standard mesalazine. Gut. 2004;53(11):1617-1623. [CrossRef]
- Chen PW, Liu ZS, Kuo TC, Hsieh MC, Li ZW. Prebiotic effects of bovine lactoferrin on specific probiotic bacteria. BioMetals. 2017;30(2):237-248. [CrossRef]
- Sulaiman AA, Adetoye AA, Ayeni FA. Lactic Acid Bacteria and Fermented Maize Supernatant (Omidun) Have Anti-Biofilm Properties Against Staphylococci and Enteroaggregative Escherichia coli Strains. FUDMA J Sci. 2024;7(6):250-260. [CrossRef]
- Palkovicsné Pézsa N, Kovács D, Somogyi F, et al. Effects of Lactobacillus rhamnosus DSM7133 on Intestinal Porcine Epithelial Cells. Animals. 2023;13(19). [CrossRef]
- Rahman MN, Barua N, Tin MCF, Dharmaratne P, Wong SH, Ip M. The use of probiotics and prebiotics in decolonizing pathogenic bacteria from the gut; a systematic review and meta-analysis of clinical outcomes. Gut Microbes. 2024;16(1). [CrossRef]
- Yadav P, Debnath N, Mehta PK, Kumar A, Yadav AK. Assessment of Antimicrobial Potential of Lactiplantibacillus plantarum and Their Derived Extracellular Vesicles. Mol Nutr Food Res. 2025;69(18). [CrossRef]
- Krzyżek P, Marinacci B, Vitale I, Grande R. Extracellular Vesicles of Probiotics: Shedding Light on the Biological Activity and Future Applications. Pharmaceutics. 2023;15(2). [CrossRef]
- Domínguez Rubio AP, D’Antoni CL, Piuri M, Pérez OE. Probiotics, Their Extracellular Vesicles and Infectious Diseases. Front Microbiol. 2022;13. [CrossRef]
- Baek J, Lee S, Lee J, Park J, Choi E, Kang SS. Utilization of Probiotic-Derived Extracellular Vesicles as Postbiotics and Their Role in Mental Health Therapeutics. Food Sci Anim Resour.Korean Society for Food Science of Animal Resources. 2024;44(6):1252-1265. [CrossRef]
- Salminen S, Collado MC, Endo A, et al. The International Scientific Association of Probiotics and Prebiotics (ISAPP) consensus statement on the definition and scope of postbiotics. Nat Rev Gastroenterol Hepatol.Nature Research. 2021;18(9):649-667. [CrossRef]
- Ciobanasu C. Bacterial Extracellular Vesicles and Antimicrobial Peptides: A Synergistic Approach to Overcome Antimicrobial Resistance. Antibiotics. 2025;14(4). [CrossRef]
- Li M, Mao B, Tang X, et al. Lactic acid bacteria derived extracellular vesicles: emerging bioactive nanoparticles in modulating host health. Gut Microbes. 2024;16(1). [CrossRef]
- Naskar A, Cho H, Kim KS. A Nanocomposite with Extracellular Vesicles from Lactobacillus paracasei as a Bioinspired Nanoantibiotic Targeting Staphylococcus aureus. Pharmaceutics. 2022;14(11). [CrossRef]
- Lee BH, Wu SC, Shen TL, Hsu YY, Chen CH, Hsu WH. The applications of Lactobacillus plantarum-derived extracellular vesicles as a novel natural antibacterial agent for improving quality and safety in tuna fish. Food Chem. 2021;340. [CrossRef]
- Champagne-Jorgensen K, Mian MF, McVey Neufeld KA, Stanisz AM, Bienenstock J. Membrane vesicles of Lacticaseibacillus rhamnosus JB-1 contain immunomodulatory lipoteichoic acid and are endocytosed by intestinal epithelial cells. Sci Rep. 2021;11(1). [CrossRef]
- Chen X, Li Q, Xie J, Nie S. Immunomodulatory Effects of Probiotic-Derived Extracellular Vesicles: Opportunities and Challenges. J Agric Food Chem. 2024;72(35):19259-19273. [CrossRef]
- Ronacher C, Gonzalez CF, Lorca GL. A critical evaluation of methodological and mechanistic insights on probiotic-derived extracellular vesicles. Front Nutr. 2025;12. [CrossRef]
- Liu R. A promising area of research in medicine: recent advances in properties and applications of Lactobacillus-derived exosomes. Front Microbiol. 2024;15. [CrossRef]
- Hu R, Lin H, Li J, et al. Probiotic Escherichia coli Nissle 1917-derived outer membrane vesicles enhance immunomodulation and antimicrobial activity in RAW264.7 macrophages. BMC Microbiol. 2020;20(1). [CrossRef]
- Zhao Q, Lai J, Jiang Y, et al. Lactiplantibacillus plantarum -derived extracellular vesicles alleviate acute lung injury by inhibiting ferroptosis of macrophages. J Nanobiotechnol. 2025;23(1). [CrossRef]
- Yang Y, Li N, Gao Y, et al. The activation impact of lactobacillus-derived extracellular vesicles on lipopolysaccharide-induced microglial cell. BMC Microbiol. 2024;24(1). [CrossRef]
- Badaluta VA, Ionascu A, Ditu LM, et al. Antimicrobial and immunomodulatory activity of natural bioactive compounds – an in vitro investigation with potential applications in managing Hidradenitis Suppurativa. Front Immunol. 2025;16. [CrossRef]
- Van LT, Hagiu I, Popovici A, et al. Antimicrobial Efficiency of Some Essential Oils in Antibiotic-Resistant Pseudomonas aeruginosa Isolates. Plants. 2022;11(15). [CrossRef]
- Neacsu IA, Leau SA, Marin S, et al. Collagen-carboxymethylcellulose biocomposite wound-dressings with antimicrobial activity. Materials. 2021;14(5):1-19. [CrossRef]
- Lepanto MS, Rosa L, Cutone A, et al. Bovine lactoferrin pre-treatment induces intracellular killing of AIEC LF82 and reduces bacteria-induced DNA damage in differentiated human enterocytes. Int J Mol Sci. 2019;20(22). [CrossRef]
- Mihai MM, Bălăceanu-Gurău B, Holban AM, et al. Promising Antimicrobial Activities of Essential Oils and Probiotic Strains on Chronic Wound Bacteria. Biomedicines. 2025;13(4). [CrossRef]
- Ilie CI, Oprea E, Geana EI, et al. Bee Pollen Extracts: Chemical Composition, Antioxidant Properties, and Effect on the Growth of Selected Probiotic and Pathogenic Bacteria. Antioxidants. 2022;11(5). [CrossRef]
- Cravioto A, Tello A, Navarro A, et al. Association of Escherichia coli HEp-2 adherence patterns with type and duration of diarrhoea. Lancet. 1991;337(8736):262-264. [CrossRef]
- Chifiriuc MC, Bleotu C, Pelinescu DR, et al. Patterns of colonization and immune response elicited from interactions between enteropathogenic bacteria, epithelial cells and probiotic fractions. Int J Biotechnol Mol Biol Res. 2010;1(4):47-57. http://www.academicjournals.org/IJBMBR.
- Scaletsky ICA, Pedroso MZ, Oliva CAG, Carvalho RLB, Morais MB, Fagundes-Neto U. A Localized Adherence-Like Pattern as a Second Pattern of Adherence of Classic Enteropathogenic Escherichia coli to HEp-2 Cells That Is Associated with Infantile Diarrhea. Infect Immun. 1999;67(7):3410-3415.
- Hasan TH, Al-Harmoosh RA. Mechanisms of antibiotics resistance in bacteria. Syst Rev Pharm. 2020;11(6):817-823. [CrossRef]
- de Sá Almeida JS, de Oliveira Marre AT, Teixeira FL, et al. Lactoferrin and lactoferricin B reduce adhesion and biofilm formation in the intestinal symbionts Bacteroides fragilis and Bacteroides thetaiotaomicron. Anaerobe. 2020;64. [CrossRef]
- Imoto I, Yasuma T, D’Alessandro-Gabazza CN, et al. Antimicrobial Effects of Lactoferrin against Helicobacter pylori Infection. Pathogens. 2023;12(4). [CrossRef]
- Bolscher JGM, Adão R, Nazmi K, et al. Bactericidal activity of LFchimera is stronger and less sensitive to ionic strength than its constituent lactoferricin and lactoferrampin peptides. Biochimie. 2009;91(1):123-132. [CrossRef]
- Ramamourthy G, Vogel HJ. Antibiofilm activity of lactoferrin-derived synthetic peptides against Pseudomonas aeruginosa PAO1. Biochem Cell Biol. 2021;99(1):138-148. [CrossRef]
- Mishra B, Felix LO, Basu A, et al. Design and Evaluation of Short Bovine Lactoferrin-Derived Antimicrobial Peptides against Multidrug-Resistant Enterococcus faecium. Antibiotics. 2022;11(8). [CrossRef]
- Yen CC, Shen CJ, Hsu WH, et al. Lactoferrin: An iron-binding antimicrobial protein against Escherichia coli infection. BioMetals. 2011;24(4):585-594. [CrossRef]
- Flores-Villaseñor H, Canizalez-Román A, Reyes-Lopez M, et al. Bactericidal effect of bovine lactoferrin, LFcin, LFampin and LFchimera on antibiotic-resistant Staphylococcus aureus and Escherichia coli. BioMetals. 2010;23:569-578. [CrossRef]
- Dashper SG, Pan Y, Veith PD, et al. Lactoferrin inhibits Porphyromonas gingivalis proteinases and has sustained biofilm inhibitory activity. Antimicrob Agents Chemother. 2012;56(3):1548-1556. [CrossRef]
- Kamiya H, Ehara T, Matsumoto T. Inhibitory effects of lactoferrin on biofilm formation in clinical isolates of Pseudomonas aeruginosa. J Infect Chemother. 2012;18(1):47-52. [CrossRef]
- Seraphina K, Furukido R, Isobe N, Nii T, Kurokawa Y, Suzuki N. Effect of lactoferrin on biofilm formation of bovine mastitis-causing Staphylococcus species. J Vet Med Sci. Published online 2025. [CrossRef]
- Wakabayashi H, Yamauchi K, Kobayashi T, Yaeshima T, Iwatsuki K, Yoshie H. Inhibitory effects of lactoferrin on growth and biofilm formation of Porphyromonas gingivalis and Prevotella intermedia. Antimicrob Agents Chemother. 2009;53(8):3308-3316. [CrossRef]
- Kawasaki Y, Tazume S, Shimizu K, et al. Inhibitory effects of bovine lactoferrin on the adherence of enterotoxigenic Escherichia coli to host cells. Biosci Biotechnol Biochem. 2000;64(2):348-354. [CrossRef]
- Lu J, Francis JD, Guevara MA, et al. Antibacterial and Anti-biofilm Activity of the Human Breast Milk Glycoprotein Lactoferrin against Group B Streptococcus. ChemBioChem. 2021;22(12):2124-2133. [CrossRef]
- Berlutti F, Superti F, Nicoletti M, et al. Bovine Lactoferrin Inhibits the Efficiency of Invasion of Respiratory A549 Cells of Different Iron-Regulated Morphological Forms of Pseudomonas Aeruginosa and Burkholderia Cenocepacia. Int J Immunopathol Pharmacol. 2008;21(1):51-59. [CrossRef]
- De Alberti D, Russo R, Terruzzi F, Nobile V, Ouwehand AC. Lactobacilli vaginal colonisation after oral consumption of Respecta®® complex: a randomised controlled pilot study. Arch Gynecol Obstet. 2015;292(4):861-867. [CrossRef]
- Russo R, Superti F, Karadja E, De Seta F. Randomised clinical trial in women with Recurrent Vulvovaginal Candidiasis: Efficacy of probiotics and lactoferrin as maintenance treatment. Mycoses. 2019;62(4):328-335. [CrossRef]
- Ulvatne H, Vorland LH, Uløatne H. Bactericidal Kinetics of 3 Lactoferricins Against Staphylococcus aureus and Escherichia coli. Scand J Infect Dis. 2001;33:507-511.
- Huertas Méndez NDJ, Vargas Casanova Y, Gómez Chimbi AK, et al. Synthetic Peptides Derived from Bovine Lactoferricin Exhibit Antimicrobial Activity against E. coli ATCC 11775, S. maltophilia ATCC 13636 and S. enteritidis ATCC 13076. Molecules. 2017;22(3). [CrossRef]
- Lazăr V, Bădăluță VA, Apetrei RM, Dițu LM. Staphylococcus aureus-A Quiet Human Body Resident and Sometimes a Feared Enemy. J Microbes Health Dis. 2025;1(1):100002.
- Rosa L, Cutone A, Lepanto MS, et al. Physico-chemical properties influence the functions and efficacy of commercial bovine lactoferrins. BioMetals. 2018;31(3):301-312. [CrossRef]
- Jugert CS, Didier A, Plötz M, Jessberger N. Strain-specific Antimicrobial Activity of Lactoferrin-based Food Supplements. J Food Prot. 2023;86(10). [CrossRef]
- Kosznik-Kwaśnicka K, Kaźmierczak N, Piechowicz L. Activity of Phage–Lactoferrin Mixture against Multi Drug Resistant Staphylococcus aureus Biofilms. Antibiotics. 2022;11(9). [CrossRef]
- Quintieri L, Caputo L, Monaci L, Cavalluzzi MM, Denora N. Lactoferrin-derived peptides as a control strategy against skinborne staphylococcal biofilms. Biomedicines. 2020;8(9). [CrossRef]
- Zheng W, Zhang Y, Lu HM, et al. Antimicrobial activity and safety evaluation of Enterococcus faecium KQ 2.6 isolated from peacock feces. BMC Biotechnol. 2015;15(1). [CrossRef]
- Pei J, Xiong L, Wu X, et al. Bovine lactoferricin exerts antibacterial activity against four Gram-negative pathogenic bacteria by transforming its molecular structure. Front Cell Infect Microbiol. 2025;15. [CrossRef]
- Shahidi F, Roshanak S, Javadmanesh A, Tabatabaei Yazdi F, Pirkhezranian Z, Azghandi M. Evaluation of antimicrobial properties of bovine lactoferrin against foodborne pathogenic microorganisms in planktonic and biofilm forms (in vitro). J Verbr Lebensm. 2020;15(3):277-283. [CrossRef]
- Elass-Rochard E, Roseanu A, Legrand D, et al. Lactoferrin-lipopolysaccharide interaction: Involvement of the 28-34 loop region of human lactoferrin in the high-affinity binding to Escherichia coli 055B5 lipopolysaccharide. Biochem J. 1995;312(3):839-845. [CrossRef]
- Naidu AS, Arnold RR. Influence of Lactoferrin on Host-Microbe Interactions. In: Hutchens TW, Lönnerdal B, eds. Lactoferrin: Interactions and Biological Functions. Humana Press; 1997. [CrossRef]
- Mao Y, Wang Y, Luo X, Chen X, Wang G. Impact of cell-free supernatant of lactic acid bacteria on Staphylococcus aureus biofilm and its metabolites. Front Vet Sci. 2023;10. [CrossRef]
- Aminnezhad S, Kermanshahi RK, Ranjbar R. Evaluation of synergistic interactions between cell-free supernatant of Lactobacillus strains and Amikacin and genetamicin against Pseudomonas aeruginosa. Jundishapur J Microbiol. 2015;8(4). [CrossRef]
- Kalaycı Yüksek F, Gümüş D, Gündoğan Gİ, Anğ Küçüker M. Cell-Free Lactobacillus sp Supernatants Modulate Staphylococcus aureus Growth, Adhesion and Invasion to Human Osteoblast (HOB) Cells. Curr Microbiol. 2021;78(1):125-132. [CrossRef]
- Keeratikunakorn K, Kaewchomphunuch T, Kaeoket K, Ngamwongsatit N. Antimicrobial activity of cell free supernatants from probiotics inhibits against pathogenic bacteria isolated from fresh boar semen. Sci Rep. 2023;13(1). [CrossRef]
- Fugaban JII, Bucheli JEV, Holzapfel WH, Todorov SD. Characterization of partially purified bacteriocins produced by enterococcus faecium strains isolated from soybean paste active against listeria spp. and vancomycin--resistant enterococci. Microorganisms. 2021;9(5). [CrossRef]
- Bertuccini L, Costanzo M, Iosi F, et al. Lactoferrin prevents invasion and inflammatory response following E. coli strain LF82 infection in experimental model of Crohn’s disease. Dig Liver Dis. 2014;46(6):496-504. [CrossRef]
- Andrews C, McLean MH, Durum SK. Cytokine tuning of intestinal epithelial function. Front Immunol. 2018;9(JUN). [CrossRef]
- Eckmann L, Jung HC, Schurer-Maly C, Panja A, Morzycka-Wroblewska E, Kagnoff MF. Differential Cytokine Expression by Human Intestinal Epithelial Cell Lines: Regulated Expression of lnterleukin 8. Gastroenterology. 1993;105(6):1689-1697. [CrossRef]
- Schuerer-Maly CC, Eckmann L, Kagnoff MF, Falco MT, Malyt FE. Colonic epithelial cell lines as a source of interleukin-8: stimulation by inflammatory cytokines and bacterial lipopolysaccharide. Immunology. 1994;81:85-91.
- Håversen L, Ohlsson BG, Hahn-Zoric M, Hanson LÅ, Mattsby-Baltzer I. Lactoferrin down-regulates the LPS-induced cytokine production in monocytic cells via NF-κB. Cell Immunol. 2002;220(2):83-95. [CrossRef]
- Berlutti F, Schippa S, Morea C, et al. Lactoferrin downregulates pro-inflammatory cytokines upexpressed in intestinal epithelial cells infected with invasive or noninvasive Escherichia coli strains. In: Biochemistry and Cell Biology. Vol 84. 2006:351-357. [CrossRef]
- Frioni A, Conte MP, Cutone A, et al. Lactoferrin differently modulates the inflammatory response in epithelial models mimicking human inflammatory and infectious diseases. BioMetals. 2014;27(5):843-856. [CrossRef]
- Tuo Y, Song X, Song Y, et al. Screening probiotics from Lactobacillus strains according to their abilities to inhibit pathogen adhesion and induction of pro-inflammatory cytokine IL-8. J Dairy Sci. 2018;101(6):4822-4829. [CrossRef]
- Ko JS, Yang HR, Chang Y, Seo JK, Seo K. Lactobacillus plantarum inhibits epithelial barrier dysfunction and interleukin-8 secretion induced by tumor necrosis factor-a rapid communication. World J Gastroenterol. 2007;13(13):1962-1965.
- Rocha-Ramírez LM, Hernández-Chiñas U, Moreno-Guerrero SS, Ramírez-Pacheco A, Eslava CA. Probiotic properties and immunomodulatory activity of lactobacillus strains isolated from dairy products. Microorganisms. 2021;9(4). [CrossRef]
- Kim WJ, Hyun JH, Lee NK, Paik HD. Protective Effects of a Novel Lactobacillus brevis Strain with Probiotic Characteristics against Staphylococcus aureus Lipoteichoic Acid-Induced Intestinal Inflammatory Response. J Microbiol Biotechnol. 2022;32(2):205-211. [CrossRef]
- Huang FC, Lu YT, Liao YH. Beneficial effect of probiotics on Pseudomonas aeruginosa–infected intestinal epithelial cells through inflammatory IL-8 and antimicrobial peptide human beta-defensin-2 modulation. Innate Immun. 2020;26(7):592-600. [CrossRef]
- Devi MB, Bhattacharya A, Kumar A, et al. Potential probiotic Lactiplantibacillus plantarum strains alleviate TNF-α by regulating ADAM17 protein and ameliorate gut integrity through tight junction protein expression in in vitro model. Cell Commun Signal. 2024;22(1). [CrossRef]
- Han X, Ding S, Ma Y, et al. Lactobacillus plantarum and Lactobacillus brevis Alleviate Intestinal Inflammation and Microbial Disorder Induced by ETEC in a Murine Model. Oxid Med Cell Longev. Published online September 21, 2021:6867962. [CrossRef]
- Iordache F, Iordache C, Chifiriuc MC, et al. Antimicrobial and immunomodulatory activity of some probiotic fractions with potential clinical application. Arch Zootech. 2008;11(3):41-51.
- De Marco S, Sichetti M, Muradyan D, et al. Probiotic cell-free supernatants exhibited anti-inflammatory and antioxidant activity on human gut epithelial cells and macrophages stimulated with LPS. Evid Based Complement Alternat Med. 2018;2018. [CrossRef]
- Zanetta P, Ballacchino C, Squarzanti DF, Amoruso A, Pane M, Azzimonti B. Lactobacillus johnsonii LJO02 (DSM 33828) Cell-Free Supernatant and Vitamin D Improve Wound Healing and Reduce Interleukin-6 Production in Staphylococcus aureus-Infected Human Keratinocytes. Pharmaceutics. 2024;16(1). [CrossRef]
- Bianchi M, Kaya E, Logiudice V, et al. Biotherapeutic potential of different fractions of cell-free supernatants from Lacticaseibacillus rhamnosus against Pseudomonas aeruginosa. Front Cell Infect Microbiol. 2025;15. [CrossRef]
- Lee J, Kim S, Kang CH. Immunostimulatory Activity of Lactic Acid Bacteria Cell-Free Supernatants through the Activation of NF-κB and MAPK Signaling Pathways in RAW 264.7 Cells. Microorganisms. 2022;10(11). [CrossRef]
- Wu Q, Liu MC, Yang J, Wang JF, Zhu YH. Lactobacillus rhamnosus GR-1 ameliorates Escherichia coli-induced inflammation and cell damage via attenuation of ASC-independent NLRP3 inflammasome activation. Appl Environ Microbiol. 2016;82(4):1173-1182. [CrossRef]
- Mohammedsaeed W, McBain AJ, Cruickshank SM, O’Neill CA. Lactobacillus rhamnosus GG inhibits the toxic effects of Staphylococcus aureus on epidermal keratinocytes. Appl Environ Microbiol. 2014;80(18):5773-5781. [CrossRef]
- Spacova I, O’Neill C, Lebeer S. Lacticaseibacillus rhamnosus GG inhibits infection of human keratinocytes by Staphylococcus aureus through mechanisms involving cell surface molecules and pH reduction. Benef Microbes. 2020;11(7):703-715. [CrossRef]
- Zawistowska-Rojek A, Kośmider A, Stępień K, Tyski S. Adhesion and aggregation properties of Lactobacillaceae strains as protection ways against enteropathogenic bacteria. Arch Microbiol. 2022;204(5). [CrossRef]
- Lizardo M, Magalhães RM, Tavaria FK. Probiotic Adhesion to Skin Keratinocytes and Underlying Mechanisms. Biology. 2022;11(9). [CrossRef]
- Batoni G, Kaya E, Catelli E, et al. Lactobacillus Probiotic Strains Differ in Their Ability to Adhere to Human Lung Epithelial Cells and to Prevent Adhesion of Clinical Isolates of Pseudomonas aeruginosa from Cystic Fibrosis Lung. Microorganisms. 2023;11(7). [CrossRef]
- Dhanani AS, Bagchi T. Lactobacillus plantarum CS24.2 prevents Escherichia coli adhesion to HT-29 cells and also down-regulates enteropathogen-induced tumor necrosis factor-α and interleukin-8 expression. Microbiol Immunol. 2013;57(4):309-315. [CrossRef]
- Michail S, Abernathy F. Lactobacillus plantarum Inhibits the Intestinal Epithelial Migration of Neutrophils Induced by Enteropathogenic Escherichia coli. J Pediatr Gastroenterol Nutr. 2003;36(3):385-391. [CrossRef]
- Wang J, Zeng Y, Wang S, et al. Swine-derived probiotic Lactobacillus plantarum inhibits growth and adhesion of enterotoxigenic Escherichia coli and mediates host defense. Front Microbiol. 2018;9(JUN). [CrossRef]
- Alizadeh Behbahani B, Noshad M, Falah F. Inhibition of Escherichia coli adhesion to human intestinal Caco-2 cells by probiotic candidate Lactobacillus plantarum strain L15. Microb Pathog. 2019;136. [CrossRef]
- Kiousi DE, Panopoulou M, Pappa A, Galanis A. Lactobacilli-host interactions inhibit Staphylococcus aureus and Escherichia coli-induced cell death and invasion in a cellular model of infection. Front Microbiol. 2024;15. [CrossRef]
- Khodaii Z, Ghaderian SMH, Mehrabani MN. Probiotic Bacteria and their Supernatants Protect Enterocyte Cell Lines from Enteroinvasive Escherichia coli (EIEC) Invasion. Int J Mol Cell Med. 2017;6(3):183-189. [CrossRef]
- Pecoraro C, Carbone D, Parrino B, Cascioferro S, Diana P. Recent Developments in the Inhibition of Bacterial Adhesion as Promising Anti-Virulence Strategy. Int J Mol Sci. 2023;24(5). [CrossRef]
- Vuopio-Varkila J, Schoolnik GK. Localized Adherence by Enteropathogenic Escherichia coil Is an Inducible Phenotype Associated with the Expression of New Outer Membrane Proteins. J Exp Med. 1991;174:1167-1177.
- Nougayrède JP, Fernandes PJ, Donnenberg MS. Adhesion of enteropathogenic Escherichia coli to host cells. Cell Microbiol. 2003;5(6):359-372. [CrossRef]
- Dehbanipour R, Ghalavand Z. Anti-virulence therapeutic strategies against bacterial infections: recent advances. Germs. 2022;12(2):262-275. [CrossRef]
- Russo R, Karadja E, De Seta F. Evidence-based mixture containing Lactobacillus strains and lactoferrin to prevent recurrent bacterial vaginosis: A double blind, placebo controlled, randomised clinical trial. Benef Microbes. 2019;10(1):19-26. [CrossRef]
- Russo R, Edu A, De Seta F. Study on the effects of an oral lactobacilli and lactoferrin complex in women with intermediate vaginal microbiota. Arch Gynecol Obstet. 2018;298(1):139-145. [CrossRef]













| Compound | Stock solution(s) | Procedure |
|---|---|---|
| bLf 10 mg (Sigma-Aldrich, St. Louis, Missouri, USA) |
(1) 1 mg/mL in distilled water; (2) 2 mg/mL in nutrient broth. |
- |
| commercial Lf 250 mg (Jarrow Formulas, Los Angeles, California, USA) |
(1) 5 mg/mL in nutrient broth; (2) 25 mg/mL in Phosphate Buffered Saline (PBS); (3) 25 mg/mL in liquid Man-Rogosa-Sharpe (MRS) media; (4) 25 mg/mL in LAB supernatants. |
- |
| gentamicin-sulphate 1 g (Sigma-Aldrich, St. Louis, Missouri, USA) | 1 mg/mL in distilled water | - |
|
Cell-Free Supernatants (CFS) derived from LAB cultures (Lactobacillus rhamnosus MF9 from newborn feces; Lb. plantarum F, Lb. brevis 10 from fermented foods) |
- |
(1) obtaining fresh LAB cultures by transferring 100 µL from previously cultured pro-biotic strains into 10 mL of liquid MRS media in Eppendorf falcons (Eppendorf, Hamburg, Germany), followed by incubation at 37oC, for 24h. (2) placing of 2 mL of each Lactobacillus culture in two Eppendorf tubes, pursued by centrifugation for 5 min at 6000 rpm. (3) filtration of LAB supernatants with 5 mL syringes Injekt®® (B. Braun, Melsungen, Germany) and ReliaPrepTM 0.2 µm filters (Ahlstrom-Munksjö, Helsinki, Finland) in order to remove any contaminants and bacterial cells. (4) acidity buffering of LAB supernatants (using a NaOH 10% solution), bringing the pH to a neutral value: 7-7,5 [36] |
| Tested variant | MIC (µg/mL) | MBEC (µg/mL) |
|---|---|---|
| S. aureus ATCC 25923 + cLf | 5000 | 1250 |
| S. aureus ATCC 25923 + bLf | 2000 | 500 |
| S. aureus ATCC 25923 + Ge | 4 | 4 |
| E. faecium + cLf | 5000 | 1250 |
| E. faecium + bLf | 500 | 250 |
| E. faecium + Ge | 25 | 12.5 |
| Tested variant | MIC (µg/mL) | MBEC (µg/mL) |
|---|---|---|
| E. coli ATCC 25922+ cLf | 5000 | 5000 |
| E. coli ATCC 25922+ bLf | 2000 | 2000 |
| E. coli ATCC 25922+ Ge | 4 | 4 |
| P. aeruginosa ATCC 27853 + cLf | 5000 | 1250 |
| P. aeruginosa ATCC 27853 + bLf | 2000 | 62.5 |
| P. aeruginosa ATCC 27853 + Ge | 25 | 25 |
| Tested variant | SN (%) | cLf (µg/mL) |
|---|---|---|
| SN2 | 50 | - |
| MRS control | 50 | - |
| SN1 + cLf | 6.25 | 0.31 |
| SN2 + cLf | 6.25 | 0.31 |
| SN3 + cLf | 1.56 | 0.08 |
| MRS + cLf control | 50 | 2.5 |
| Tested variant | SN (%) | cLf (µg/mL) |
|---|---|---|
| SN1 | 0.2 | - |
| SN2 | 0.2 | - |
| SN3 | 0.39 | - |
| MRS control | 0.39 | - |
| SN1 + cLf | 1.56 | 0.08 |
| SN2 + cLf | 1.56 | 0.08 |
| SN3 + cLf | 1.56 | 0.08 |
| MRS + cLf control | 6.25 | 0.31 |
Disclaimer/Publisher’s Note: The statements, opinions and data contained in all publications are solely those of the individual author(s) and contributor(s) and not of MDPI and/or the editor(s). MDPI and/or the editor(s) disclaim responsibility for any injury to people or property resulting from any ideas, methods, instructions or products referred to in the content. |
© 2026 by the authors. Licensee MDPI, Basel, Switzerland. This article is an open access article distributed under the terms and conditions of the Creative Commons Attribution (CC BY) license (http://creativecommons.org/licenses/by/4.0/).
