Preprint
Article

This version is not peer-reviewed.

Comparison of the Efficacy of 35 Anticancer Drugs According to Genomic Profiling and Biological Characteristics of 14 Gastric Cancer Cell Lines

Submitted:

31 January 2026

Posted:

03 February 2026

You are already at the latest version

Abstract
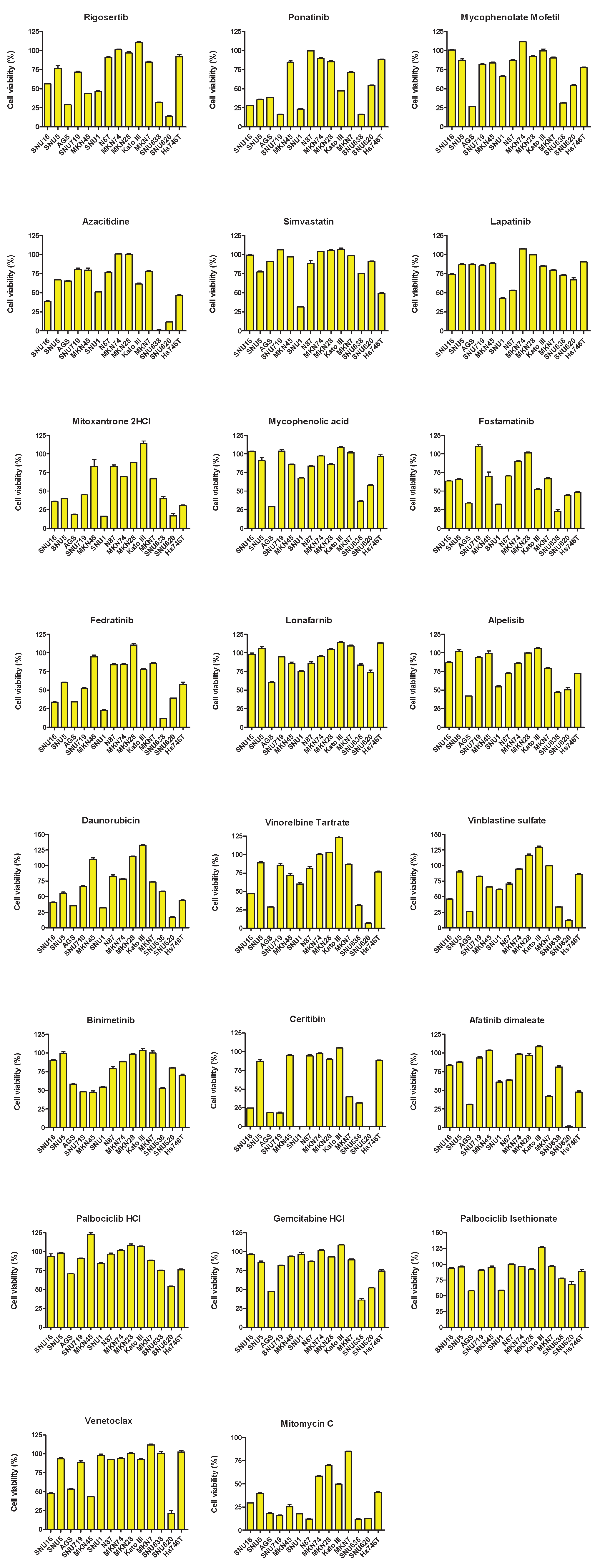
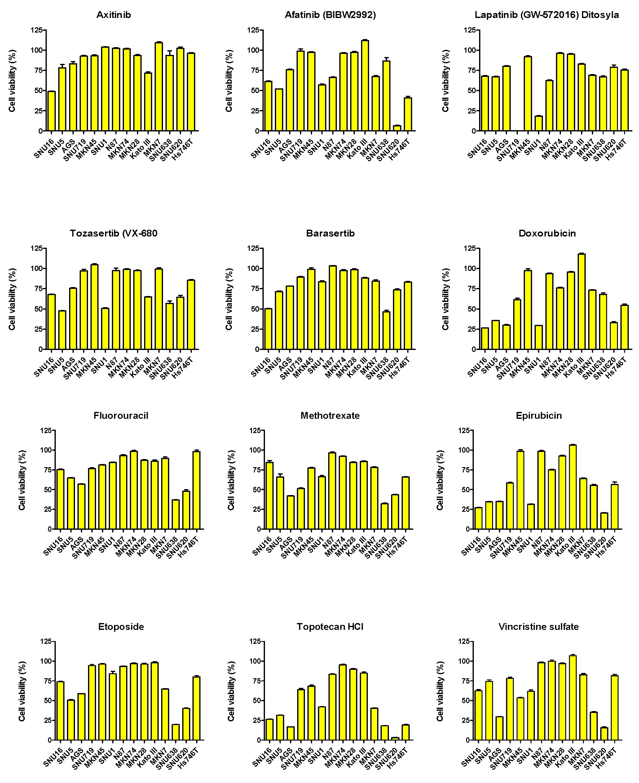
Several receptors have received considerable attention as therapeutic targets in gastric cancer (GC), and numerous receptor inhibitors have been developed. However, the development of novel gastric cancer therapeutics is time-consuming. Therefore, this study aimed to identify drugs effective against gastric cancer from existing anticancer agents originally developed for other malignancies. In this study, the cancer-related genomic profiles of 286 genes were analyzed in 14 gastric cancer cell lines using targeted DNA sequencing, and these cell lines were utilized as models to evaluate the efficacy of 35 anticancer drugs. The 14 cell lines were assessed for 286 gene alterations, copy number variations, amplification of 14 gastric cancer-related therapeutic targets, and sensitivity to 35 drugs. p-MET and MET were overexpressed in the SNU5, SNU620, MKN45, and Hs746T cell lines, while p-EGFR was overexpressed in the NCI-N87 cell line. FGFR2 overexpression was observed in the Kato III and SNU16 cell lines. TGFβR1 was overexpressed in the MKN7 cell line. HER2 and CDK12 were overexpressed in the NCI-N87 and MKN7 cell lines. PD-L1 overexpression was detected in the Hs746T and MKN7 cell lines. CD44 was overexpressed in the SNU5 and Hs746T cell lines, and CLDN18 overexpression was observed in the MKN7 cell line. Well-characterized gastric cancer cell lines are essential for drug development research. This study provides a framework for selecting cell lines that are responsive to each of the 35 anticancer drugs and for elucidating their underlying therapeutic mechanisms through follow-up studies. Ultimately, clinical studies are required to confirm the therapeutic efficacy of the selected drugs.
Keywords: 
;  ;  ;  
Copyright: This open access article is published under a Creative Commons CC BY 4.0 license, which permit the free download, distribution, and reuse, provided that the author and preprint are cited in any reuse.
Prerpints.org logo

Preprints.org is a free preprint server supported by MDPI in Basel, Switzerland.

Subscribe

Disclaimer

Terms of Use

Privacy Policy

Privacy Settings

© 2026 MDPI (Basel, Switzerland) unless otherwise stated