Submitted:
21 January 2026
Posted:
21 January 2026
You are already at the latest version
Abstract
Keywords:
1. Introduction
2. Method
2.1. Wastewater Collection and Pre-Treatment
2.2. Wastewater Characterization
2.3. Microalgal Strain and Inoculum Preparation
2.4. Experimental Setup and Cultivation Conditions
2.4.1. Screening of Wastewater Dilution Factors
2.4.2. Main Cultivation Experiment
2.5. Analytical Procedures
2.5.1. Biomass Concentration
2.5.2. Nutrient and COD Removal
2.5.3. Analytical Validation
2.6. Biomass Harvesting
2.7. Total Lipid Extraction and Quantification
2.8. Fatty Acid Methyl Ester (FAME) Preparation and Fatty Acid Profiling
2.9. Biodiesel Property Estimation Based on Fatty Acid Composition
2.10. Statistical Analysis
3. Results
3.1. Characterization of Matured Compost Leachate Wastewater
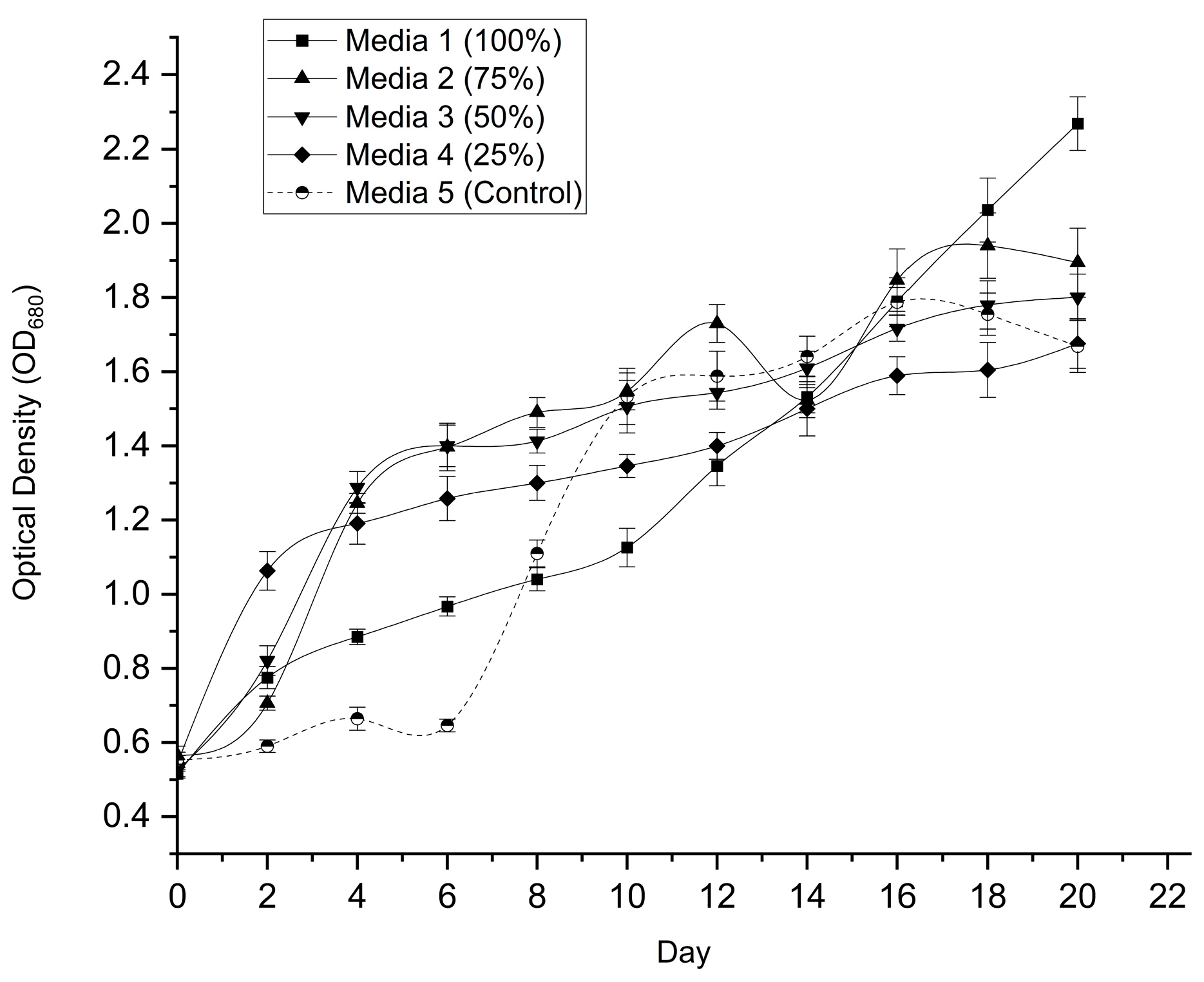
3.2. Effect of Leachate Dilution on Microalgal Growth (Screening Phase)
3.3. Biomass Production in Main Cultivation Experiment
3.4. Nutrient Removal Efficiency
3.4.1. Total Nitrogen (TN) Removal
3.4.2. Total Phosphorus (TP) Removal
3.4.3. Chemical Oxygen Demand (COD) Removal
3.4.4. pH Evolution During Cultivation
3.5. Lipid Production and Accumulation
3.6. Fatty Acid Profiling and Biodiesel Characterization
3.6.1. Fatty Acid Methyl Ester (FAME) Composition
3.6.2. Estimation of Biodiesel Fuel Properties
4. Discussion
5. Conclusions
References
- Adams, C., Godfrey, V., Wahlen, B., Seefeldt, L., & Bugbee, B. (2013). Understanding precision nitrogen stress to optimize the growth and lipid content tradeoff in oleaginous green microalgae. Bioresource Technology, 131, 188–194. [CrossRef]
- Adewuyi, A. (2022). Production of Biodiesel from Underutilized Algae Oil: Prospects and Current Challenges Encountered in Developing Countries. In Biology (Vol. 11, Issue 10). MDPI. [CrossRef]
- Ahamad Sanadi, N. F. B., Ibrahim, N., Ong, P. Y., Klemeš, J. J., Li, C., & Lee, C. T. (2021). Dilution rate of compost leachate from different biowaste for the fertigation of vegetables. Journal of Environmental Management, 295, 113010. [CrossRef]
- Association, A. P. H. (1926). Standard methods for the examination of water and wastewater (Vol. 6). American public health association.
- Awogbemi, O., & Desai, D. A. (2025). Progress in the conversion of biodiesel-derived crude glycerol into biofuels and other bioproducts. Bioresource Technology Reports, 30, 102106. [CrossRef]
- Adams, C., Godfrey, V., Wahlen, B., Seefeldt, L., & Bugbee, B. (2013). Understanding precision nitrogen stress to optimize the growth and lipid content tradeoff in oleaginous green microalgae. Bioresource Technology, 131, 188–194. [CrossRef]
- Ahmed, A., Jyothi, N., & Ramesh, A. (2017). Improved ammonium removal from industrial wastewater through systematic adaptation of wild type Chlorella pyrenoidosa. Water Science and Technology, 75(1), 182–188. [CrossRef]
- Alkhamis, Y. A., Mathew, R. T., Nagarajan, G., Rahman, S. M., & Rahman, M. M. (2022). pH induced stress enhances lipid accumulation in microalgae grown under mixotrophic and autotrophic condition. Frontiers in Energy Research, 10. [CrossRef]
- Amran, N. A., Bello, U., & Hazwan Ruslan, M. S. (2022). The role of antioxidants in improving biodiesel’s oxidative stability, poor cold flow properties, and the effects of the duo on engine performance: A review. Heliyon, 8(7), e09846. [CrossRef]
- Apandi, N., Maya Saphira Radin Mohamed, R., Ibrahim Abdullah Abuala, A., & Amhimmid, A. A. (2020). Integrated Growth Potential of Scenedesmus sp. using Public Market Wastewater via Phycoremediation Process. INTERNATIONAL JOURNAL OF INTEGRATED ENGINEERING, 12(4), 290–299.
- Arguelles, E., Laurena, A. C., Monsalud, R. G., & Martinez-Goss, M. R. (2019). High lipid and protein-producing epilithic microalga, Desmodesmus sp.(U-AU2): a promising alternative feedstock for biodiesel and animal feed production. Philippine Journal of Crop Science, 44(2), 13–23.
- Bartolacci, C., Andreani, C., El-Gammal, Y., & Scaglioni, P. P. (2021). Lipid Metabolism Regulates Oxidative Stress and Ferroptosis in RAS-Driven Cancers: A Perspective on Cancer Progression and Therapy. In Frontiers in Molecular Biosciences (Vol. 8). Frontiers Media S.A. [CrossRef]
- Bomer, L. K., & Leverett, B. D. (2024). Growth Characteristics of a Desmodesmus Species from the San Antonio Springs and Its Short-Term Impact on Soil Microbial Dynamics. Life, 14(9). [CrossRef]
- Chang, H., Quan, X., Zhong, N., Zhang, Z., Lu, C., Li, G., Cheng, Z., & Yang, L. (2018). High-efficiency nutrients reclamation from landfill leachate by microalgae Chlorella vulgaris in membrane photobioreactor for bio-lipid production. Bioresource Technology, 266, 374–381. [CrossRef]
- Chen, X., He, Y., Liu, L., Zhu, X., Sen, B., & Wang, G. (2022). Nitrogen Starvation Enhances the Production of Saturated and Unsaturated Fatty Acids in Aurantiochytrium sp. PKU#SW8 by Regulating Key Biosynthetic Genes. Marine Drugs, 20(10). [CrossRef]
- Cinq-Mars, M., Bourdeau, N., Marchand, P., Desgagné-Penix, I., & Barnabé, S. (2022). Characterization of two microalgae consortia grown in industrial wastewater for biomass valorization. Algal Research, 62, 102628. [CrossRef]
- De Bhowmick, G., Plouviez, M., Reis, M. G., Guieysse, B., Everett, D. W., Agnew, M. P., Maclean, P., & Thum, C. (2025). Enhancing sn-2 specific fatty acid accumulation in microalgae: Impact of nutrient limitation on structured triacylglycerol profiles. International Journal of Food Science and Technology, 60(2). [CrossRef]
- Debeni Devi, N., Sun, X., Ding, L., Goud, V. V, & Hu, B. (2022). Mixotrophic growth regime of novel strain Scenedesmus sp. DDVG I in municipal wastewater for concomitant bioremediation and valorization of biomass Word count: 8427 including references.
- Doyle, M. G., Odenkirk, M. T., Stewart, A. K., Nelson, J. P., Baker, E. S., & De La Cruz, F. (2022). Assessing the Fate of Dissolved Organic Compounds in Landfill Leachate and Wastewater Treatment Systems. ACS ES&T Water, 2(12), 2502–2509. [CrossRef]
- Fakhry, E. M., & El Maghraby, D. M. (2015). Lipid accumulation in response to nitrogen limitation and variation of temperature in nannochloropsis salina. Botanical Studies, 56. [CrossRef]
- Gutiérrez, R., Passos, F., Ferrer, I., Uggetti, E., & García, J. (2015). Harvesting microalgae from wastewater treatment systems with natural flocculants: Effect on biomass settling and biogas production. Algal Research, 9, 204–211. [CrossRef]
- Howlett, N. G., & Avery, S. V. (1997). Induction of Lipid Peroxidation during Heavy Metal Stress in Saccharomyces cerevisiae and Influence of Plasma Membrane Fatty Acid Unsaturation. In APPLIED AND ENVIRONMENTAL MICROBIOLOGY (Vol. 63, Issue 8). https://journals.asm.org/journal/aem.
- Huang, Y., Li, F., Bao, G., Li, M., & Wang, H. (2022). Qualitative and quantitative analysis of the influence of biodiesel fatty acid methyl esters on iodine value. Environmental Science and Pollution Research, 29(2), 2432–2447. [CrossRef]
- Knothe, G., & Razon, L. F. (2017). Biodiesel fuels. Progress in Energy and Combustion Science, 58, 36–59. [CrossRef]
- Lee, J. C., Moon, K., Lee, N., Ryu, S., Song, S. H., Kim, Y. J., Lee, S. M., Kim, H. W., & Joo, J. H. (2023). Biodiesel production and simultaneous treatment of domestic and livestock wastewater using indigenous microalgae, Chlorella sorokiniana JD1-1. Scientific Reports, 13(1). [CrossRef]
- Liew, L. W., Bashir, M. J., Toh, P. Y., Alazaiza, M. Y. D., Amr, S. S. A., Khoo, K. S., Raksasat, R., & Lim, J. W. (2025). Microalgae cultivation in stabilized landfill leachate for simultaneous treatment and biomass production. Journal of the Taiwan Institute of Chemical Engineers, 166, 105068. [CrossRef]
- Liu, J., Pemberton, B., Scales, P. J., & Martin, G. J. O. (2023). Ammonia tolerance of filamentous algae Oedogonium, Spirogyra, Tribonema and Cladophora, and its implications on wastewater treatment processes. Algal Research, 72. [CrossRef]
- Maneechote, W., Pathom-Aree, W., Kamngoen, A., Wichaphian, A., Cheirsilp, B., Khoo, K. S., Huo, S., Srimongkol, P., & Srinuanpan, S. (2025). Sustainable PUFA-Rich Lipid-Accumulating Biomass Production via Dual Waste Valorization Using Heterotrophic Microalgae Cultivated on Anaerobic Effluent and Molasses. Journal of Microbiology and Biotechnology, 35, e2506037. [CrossRef]
- Martínez, C., Mairet, F., & Bernard, O. (2018). Theory of turbid microalgae cultures. Journal of Theoretical Biology, 456, 190–200. [CrossRef]
- Mekonnen, K. D., Endris, Y. A., & Abdu, K. Y. (2024). Alternative Methods for Biodiesel Cetane Number Valuation: A Technical Note. In ACS Omega (Vol. 9, Issue 6, pp. 6296–6304). American Chemical Society. [CrossRef]
- Miraboutalebi, S. M., Kazemi, P., & Bahrami, P. (2016). Fatty Acid Methyl Ester (FAME) composition used for estimation of biodiesel cetane number employing random forest and artificial neural networks: A new approach. Fuel, 166, 143–151. [CrossRef]
- Moreno-Garcia, L., Gariépy, Y., Barnabé, S., & Raghavan, V. (2021a). Factors affecting the fatty acid profile of wastewater-grown-algae oil as feedstock for biodiesel. Fuel, 304, 121367. [CrossRef]
- Moreno-Garcia, L., Gariépy, Y., Barnabé, S., & Raghavan, V. (2021b). Factors affecting the fatty acid profile of wastewater-grown-algae oil as feedstock for biodiesel. Fuel, 304, 121367. [CrossRef]
- Mortensen, M. S., Ruiz, J., & Watts, J. L. (2023). Polyunsaturated Fatty Acids Drive Lipid Peroxidation during Ferroptosis. In Cells (Vol. 12, Issue 5). MDPI. [CrossRef]
- Olofsson, M., Robertson, E. K., Edler, L., Arneborg, L., Whitehouse, M. J., & Ploug, H. (2019). Nitrate and ammonium fluxes to diatoms and dinoflagellates at a single cell level in mixed field communities in the sea. Scientific Reports, 9(1). [CrossRef]
- Ríos, L. F., Martinez, A., Klein, B. C., Maciel, M. R. W., & Filho, R. M. (2018). Comparison of Growth and Lipid Accumulation at Three Different Growth Regimes with Desmodesmus sp. Waste and Biomass Valorization, 9(3), 421–427. [CrossRef]
- Shaari, A. L., Sa, S. N. C., Surif, M., Zolkarnain, N., & Ghazali, R. (2021). Growth of marine microalgae in landfill leachate and their ability as pollutants removal. Tropical Life Sciences Research, 32(2), 133–146. [CrossRef]
- Shaikh, S. M. R., Quadir, M. A., Nasser, M. S., Rekik, H., Hassan, M. K., Ayesh, A. I., & Sayadi, S. (2024). Investigation of flocculation and rheological properties of microalgae suspensions cultivated in industrial process wastewater. Separation and Purification Technology, 328. [CrossRef]
- Shi, T. Q., Wang, L. R., Zhang, Z. X., Sun, X. M., & Huang, H. (2020). Stresses as First-Line Tools for Enhancing Lipid and Carotenoid Production in Microalgae. In Frontiers in Bioengineering and Biotechnology (Vol. 8). Frontiers Media S.A. [CrossRef]
- Song, H., Li, J., Su, Q., Li, H., Guo, X., Shao, S., Fan, L., Xu, P., Zhou, W., & Qian, J. (2024). Insight into the mechanism of nitrogen sufficiency conversion strategy for microalgae-based ammonium-rich wastewater treatment. Chemosphere, 349, 140904. [CrossRef]
- Sriram, S., & Seenivasan, R. (2015). Biophotonic perception on Desmodesmus sp. VIT growth, lipid and carbohydrate content. Bioresource Technology, 198, 626–633. [CrossRef]
- Sulochana, S. B., & Arumugam, M. (2020). Targeted Metabolomic and Biochemical Changes During Nitrogen Stress Mediated Lipid Accumulation in Scenedesmus quadricauda CASA CC202. Frontiers in Bioengineering and Biotechnology, 8. [CrossRef]
- Tirok, K., & Scharler, U. M. (2014). Influence of variable water depth and turbidity on microalgae production in a shallow estuarine lake system - A modelling study. Estuarine, Coastal and Shelf Science, 146, 111–127. [CrossRef]
- Velásquez-Orta, S. B., Yáñez-Noguez, I., Ramírez, I. M., & Ledesma, M. T. O. (2024). Pilot-scale microalgae cultivation and wastewater treatment using high-rate ponds: a meta-analysis. Environmental Science and Pollution Research, 31(34), 46994–47021. [CrossRef]
- Vimali, E., Senthil Kumar, A., Sakthi Vignesh, N., Ashokkumar, B., Dhakshinamoorthy, A., Udayan, A., Arumugam, M., Pugazhendhi, A., & Varalakshmi, P. (2022). RETRACTED: Enhancement of lipid accumulation in microalga Desmodesmus sp. VV2: Response Surface Methodology and Artificial Neural Network modeling for biodiesel production. Chemosphere, 293, 133477. [CrossRef]
- Wan, X. S., Sheng, H. X., Dai, M., Zhang, Y., Shi, D., Trull, T. W., Zhu, Y., Lomas, M. W., & Kao, S. J. (2018). Ambient nitrate switches the ammonium consumption pathway in the euphotic ocean. Nature Communications, 9(1). [CrossRef]
- Wang, X., Fosse, H. K., Li, K., Chauton, M. S., Vadstein, O., & Reitan, K. I. (2019). Influence of nitrogen limitation on lipid accumulation and EPA and DHA content in four marine microalgae for possible use in aquafeed. Frontiers in Marine Science, 6(MAR). [CrossRef]
- Wu, L. F., Chen, P. C., Huang, A. P., & Lee, C. M. (2012). The feasibility of biodiesel production by microalgae using industrial wastewater. Bioresource Technology, 113, 14–18. [CrossRef]
- Yang, Z. K., Ma, Y. H., Zheng, J. W., Yang, W. D., Liu, J. S., & Li, H. Y. (2014). Proteomics to reveal metabolic network shifts towards lipid accumulation following nitrogen deprivation in the diatom Phaeodactylum tricornutum. Journal of Applied Phycology, 26(1), 73–82. [CrossRef]
- Yun, H. S., Kim, Y. S., & Yoon, H. S. (2021). Effect of Different Cultivation Modes (Photoautotrophic, Mixotrophic, and Heterotrophic) on the Growth of Chlorella sp. and Biocompositions. Frontiers in Bioengineering and Biotechnology, 9. [CrossRef]
- Zienkiewicz, K., Du, Z. Y., Ma, W., Vollheyde, K., & Benning, C. (2016). Stress-induced neutral lipid biosynthesis in microalgae — Molecular, cellular and physiological insights. Biochimica et Biophysica Acta (BBA) - Molecular and Cell Biology of Lipids, 1861(9), 1269–1281. [CrossRef]
- Azarpour, A., Zendehboudi, S., Mohammadzadeh, O., Rajabzadeh, A. R., & Chatzis, I. (2022). A review on microalgal biomass and biodiesel production through Co-cultivation strategy. Energy Conversion and Management, 267, 115757. [CrossRef]
- Behera, S., Singh, R., Arora, R., Sharma, N. K., Shukla, M., & Kumar, S. (2015). Scope of Algae as Third Generation Biofuels. In Frontiers in Bioengineering and Biotechnology (Vol. 2). Frontiers Media S.A. [CrossRef]
- Benner, P., Meier, L., Pfeffer, A., Krüger, K., Oropeza Vargas, J. E., & Weuster-Botz, D. (2022). Lab-scale photobioreactor systems: principles, applications, and scalability. Bioprocess and Biosystems Engineering, 45(5), 791–813. [CrossRef]
- Bo, D. D., Magneschi, L., Bedhomme, M., Billey, E., Deragon, E., Storti, M., Menneteau, M., Richard, C., Rak, C., Lapeyre, M., Lembrouk, M., Conte, M., Gros, V., Tourcier, G., Giustini, C., Falconet, D., Curien, G., Allorent, G., Petroutsos, D., … Collin, S. (2021). Consequences of Mixotrophy on Cell Energetic Metabolism in Microchloropsis gaditana Revealed by Genetic Engineering and Metabolic Approaches. Frontiers in Plant Science, 12. [CrossRef]
- Breuer, G., Evers, W. A. C., de Vree, J. H., Kleinegris, D. M. M., Martens, D. E., Wijffels, R. H., & Lamers, P. P. (2013). Analysis of Fatty Acid Content and Composition in Microalgae. JoVE, 80, e50628.
- Casanova, L. M., Mendes, L. B. B., Corrêa, T. de S., da Silva, R. B., Joao, R. R., Macrae, A., & Vermelho, A. B. (2023). Development of Microalgae Biodiesel: Current Status and Perspectives. In Microorganisms (Vol. 11, Issue 1). MDPI. [CrossRef]
- Cheng, H., Tian, G., & Liu, J. (2013). Enhancement of biomass productivity and nutrients removal from pretreated piggery wastewater by mixotrophic cultivation of Desmodesmus sp. CHX1. Desalination and Water Treatment, 51(37–39), 7004–7011. [CrossRef]
- Collos, Y., & Harrison, P. J. (2014). Acclimation and toxicity of high ammonium concentrations to unicellular algae. Marine Pollution Bulletin, 80(1–2), 8–23. [CrossRef]
- de Souza, L., Lima, A. S., Matos, Â. P., Wheeler, R. M., Bork, J. A., Vieira Cubas, A. L., & Moecke, E. H. S. (2021). Biopolishing sanitary landfill leachate via cultivation of lipid-rich Scenedesmus microalgae. Journal of Cleaner Production, 303, 127094. [CrossRef]
- Dodangodage, C. A., Gamage, G. N., Fernando, K. V., Kasturiarachchi, J. C., Perera, T. A., Rajapakshe, S. D., & Halwatura, R. U. (2025). Production of Carbohydrate-Rich Chlorella sp. Biomass Using Clarified Aquaponics Effluent for Bioethanol Feedstock Applications.
- Dodangodage, C. A., Kasturiarachchi, J., Perera, T., Rajapakshe, D., & Halwatura, R. (2025a). Integrated Microalgal-Aquaponic Systems for Enhanced Water Treatment and Food Security: A Critical Review of Recent Advances in Process Integration and Resource Recovery.
- Dodangodage, C. A., Kasturiarachchi, J., Perera, T., Rajapakshe, D., & Halwatura, R. (2025b). Valorization of Canteen Wastewater Through Optimized Spirulina platensis Cultivation for Enhanced Carotenoid Production and Nutrient Removal. [CrossRef]
- Dodangodage, C. A., Premarathne, H., Kasturiarachchi, J. C., Perera, T. A., Rajapakshe, D., & Halwatura, R. U. (2025). Algae-Based Protective Coatings for Sustainable Infrastructure: A Novel Framework Linking Material Chemistry, Techno-Economics, and Environmental Functionality. Phycology, 5(4), 84. [CrossRef]
- DuBois, Michel., Gilles, K. A., Hamilton, J. K., Rebers, P. A., & Smith, Fred. (1956). Colorimetric Method for Determination of Sugars and Related Substances. Analytical Chemistry, 28(3), 350–356. [CrossRef]
- El-Sheekh, M. M., Galal, H. R., Mousa, A. S. H., & Farghl, A. A. M. (2023). Coupling wastewater treatment, biomass, lipids, and biodiesel production of some green microalgae. Environmental Science and Pollution Research, 30(12), 35492–35504. [CrossRef]
- Eze, V. C., Velasquez-Orta, S. B., Hernández-García, A., Monje-Ramírez, I., & Orta-Ledesma, M. T. (2018). Kinetic modelling of microalgae cultivation for wastewater treatment and carbon dioxide sequestration. Algal Research, 32, 131–141. [CrossRef]
- Gu, D., Xiao, Q., Zhao, Y., & Yu, X. (2023). A low-cost technique for biodiesel production in Ankistrodesmus sp. EHY by using harvested microalgal effluent. Science of The Total Environment, 857, 159461. [CrossRef]
- Guo, X., Chen, Z., He, Y., Zhou, Y., Chen, B., & Wang, M. (2025). Study on high ammonium tolerance and nitrogen utilization mechanisms of Chlamydomonas sp. YC in rare earth elements wastewater treatment. Algal Research, 91, 104231. [CrossRef]
- Holechek, J. L., Geli, H. M. E., Sawalhah, M. N., & Valdez, R. (2022). A Global Assessment: Can Renewable Energy Replace Fossil Fuels by 2050? Sustainability (Switzerland), 14(8). [CrossRef]
- Islam, M. A., Magnusson, M., Brown, R. J., Ayoko, G. A., Nabi, M. N., & Heimann, K. (2013). Microalgal species selection for biodiesel production based on fuel properties derived from fatty acid profiles. Energies, 6(11), 5676–5702. [CrossRef]
- Ji, F., Liu, Y., Hao, R., Li, G., Zhou, Y., & Dong, R. (2014a). Biomass production and nutrients removal by a new microalgae strain Desmodesmus sp. in anaerobic digestion wastewater. Bioresource Technology, 161, 200–207. [CrossRef]
- Ji, F., Liu, Y., Hao, R., Li, G., Zhou, Y., & Dong, R. (2014b). Biomass production and nutrients removal by a new microalgae strain Desmodesmus sp. in anaerobic digestion wastewater. Bioresource Technology, 161, 200–207. [CrossRef]
- Jia, C., Liu, N., Chen, L., Yan, W., Zhao, Q., Li, J., Yu, Z., Song, M., Xu, C., & Song, X. (2025). The growth and nutrient removal properties of heterotrophic microalgae using volatile fatty acids under different nitrogen forms and its application in actual acid-producing wastewater. Journal of Environmental Chemical Engineering, 13(1), 115347. [CrossRef]
- Jia, J., Han, D., Gerken, H. G., Li, Y., Sommerfeld, M., Hu, Q., & Xu, J. (2015). Molecular mechanisms for photosynthetic carbon partitioning into storage neutral lipids in Nannochloropsis oceanica under nitrogen-depletion conditions. Algal Research, 7, 66–77. [CrossRef]
- Kadir, W. N. A., Lam, M. K., Uemura, Y., Lim, J. W., & Lee, K. T. (2018). Harvesting and pre-treatment of microalgae cultivated in wastewater for biodiesel production: A review. Energy Conversion and Management, 171, 1416–1429. [CrossRef]
- Kanchanamala Delanka-Pedige, H. M., Munasinghe-Arachchige, S. P., Abeysiriwardana-Arachchige, I. S. A., & Nirmalakhandan, N. (2021). Evaluating wastewater treatment infrastructure systems based on UN Sustainable Development Goals and targets. Journal of Cleaner Production, 298, 126795. [CrossRef]
- Kanwal, F., Aslam, A., & Torriero, A. A. J. (2025). Microalgae-based biodiesel: integrating AI, CRISPR and nanotechnology for sustainable biofuel development. In Emerging Topics in Life Sciences (Vol. 8, Issue 3, pp. 131–143). Portland Press Ltd. [CrossRef]
- Kumar, M., Mandal, B. K., Ganguly, A., Ravi, R., Alam, T., Siddiqui, M. I. H., & Eldin, S. M. (2023). Performance evaluation of a diesel engine fueled with Chlorella Protothecoides microalgal biodiesel. Case Studies in Thermal Engineering, 51, 103609. [CrossRef]
- Lee, Y., Chen, W., Shen, H., Han, D., Li, Y., Jones, H. D. T., Timlin, J. A., & Hu, Q. (2013). Basic culturing and analytical measurement techniques. Handbook of Microalgal Culture: Applied Phycology and Biotechnology, 37–68.
- Li, J., & Li, G. (2023). What drives resource sustainability in Asia? Discovering the moderating role of financial development and industrialization. Resources Policy, 85, 103650. [CrossRef]
- Licata, G., Galasso, C., Palma Esposito, F., Palumbo Piccionello, A., & Villanova, V. (2025). Mixotrophy in Marine Microalgae to Enhance Their Bioactivity. Microorganisms, 13(2). [CrossRef]
- Liu, Z., Deng, Z., Davis, S. J., & Ciais, P. (2024). Global carbon emissions in 2023. Nature Reviews Earth & Environment, 5(4), 253–254. [CrossRef]
- López-Rosales, L., López-García, P., Benyachou, M. A., Molina-Miras, A., Gallardo-Rodríguez, J. J., Cerón-García, M. C., Sánchez Mirón, A., & García-Camacho, F. (2022). Treatment of secondary urban wastewater with a low ammonium-tolerant marine microalga using zeolite-based adsorption. Bioresource Technology, 359. [CrossRef]
- Ma, X., Liu, J., Liu, B., Chen, T., Yang, B., & Chen, F. (2016). Physiological and biochemical changes reveal stress-associated photosynthetic carbon partitioning into triacylglycerol in the oleaginous marine alga Nannochloropsis oculata. Algal Research, 16, 28–35. [CrossRef]
- Mallick, N., Mandal, S., Singh, A. K., Bishai, M., & Dash, A. (2012). Green microalga Chlorella vulgaris as a potential feedstock for biodiesel. Journal of Chemical Technology & Biotechnology, 87(1), 137–145.
- Maltsev, Y., Kulikovskiy, M., & Maltseva, S. (2023). Nitrogen and phosphorus stress as a tool to induce lipid production in microalgae. In Microbial Cell Factories (Vol. 22, Issue 1). BioMed Central Ltd. [CrossRef]
- Mandotra, S. K., Kumar, P., Suseela, M. R., Nayaka, S., & Ramteke, P. W. (2016). Evaluation of fatty acid profile and biodiesel properties of microalga Scenedesmus abundans under the influence of phosphorus, pH and light intensities. Bioresource Technology, 201, 222–229. [CrossRef]
- Maroušek, J., Gavurová, B., Strunecký, O., Maroušková, A., Sekar, M., & Marek, V. (2023). Techno-economic identification of production factors threatening the competitiveness of algae biodiesel. Fuel, 344, 128056. [CrossRef]
- Mathimani, T., Rene, E. R., Devanesan, S., AlSalhi, M. S., & Shanmuganathan, R. (2023). Assessment of taxonomically diverse Chlorococcum species and Chroococcus species for cell density, pigments, biochemical components, and fatty acid composition for fuel/food applications. Algal Research, 74, 103228. [CrossRef]
- Mattos, E. R., Singh, M., Cabrera, M. L., Das, K. C., & Program, B. and C. C. (2012). Effects of Inoculum Physiological Stage on the Growth Characteristics of Chlorella sorokiniana Cultivated Under Different CO2 Concentrations. Applied Biochemistry and Biotechnology, 168(3), 519–530. [CrossRef]
- Mhetras, N., & Gokhale, D. (2025). Sustainable biodiesel production: importance of feedstock resources and production methods. In RSC Advances (Vol. 15, Issue 33, pp. 26739–26754). Royal Society of Chemistry. [CrossRef]
- Mondal, M., Khan, A. A., & Halder, G. (2021). Estimation of biodiesel properties based on fatty acid profiles of Chlamydomonas sp. BTA 9032 and Chlorella sp. BTA 9031 obtained under mixotrophic cultivation conditions. Biofuels.
- Naseema Rasheed, R., Pourbakhtiar, A., Mehdizadeh Allaf, M., Baharlooeian, M., Rafiei, N., Alishah Aratboni, H., Morones-Ramirez, J. R., & Winck, F. V. (2023). Microalgal co-cultivation-recent methods, trends in omic-studies, applications, and future challenges. Frontiers in Bioengineering and Biotechnology, 11, 1193424.
- Naveen, B. P., Sivapullaiah, P. V., & Sitharami, T. G. (2015). Effect of aging on the leachate characteristics from municipal solid waste landfill. 15th Asian Regional Conference on Soil Mechanics and Geotechnical Engineering, ARC 2015: New Innovations and Sustainability, 1940–1945. [CrossRef]
- Nicodemou, A., Konstantinou, D., & Koutinas, M. (2024). Enhanced biomass and lipid production from olive processing wastewater using Scenedesmus obliquus in a two-stage cultivation strategy under salt stress. Biochemical Engineering Journal, 205, 109290.
- Ogbonna, K. E., Ogbonna, J. C., Njoku, O. U., Yamada, K., & Suzuki, I. (2025). Growth characteristics and biodiesel properties of fatty acids methyl esters (FAMEs) of Scenedesmus dimorphus (Turpin) Kützing. Biofuels, 1–12.
- Otim, F. N., Chen, I. R., & Otim, O. (2021). Indirect assessment of biomass accumulation in a wastewater-based Chlorella vulgaris photobioreactor by pH variation. Scientific Reports, 11(1). [CrossRef]
- Patnaik, R., & Mallick, N. (2021). Microalgal Biodiesel Production: Realizing the Sustainability Index. In Frontiers in Bioengineering and Biotechnology (Vol. 9). Frontiers Media S.A. [CrossRef]
- Potts, M. (2000). Nostoc. The Ecology of Cyanobacteria (Whitton BA & Potts M, eds). Kluwer Academic Publishers, Dordrecht, The Netherlands.
- Rafa, N., Ahmed, S. F., Badruddin, I. A., Mofijur, M., & Kamangar, S. (2021). Strategies to Produce Cost-Effective Third-Generation Biofuel From Microalgae. In Frontiers in Energy Research (Vol. 9). Frontiers Media SA. [CrossRef]
- Rajendran, D. S., Venkatraman, S., Rahul, R., Afrrin, M., Karthik, P., & Vaidyanathan, V. K. (2024). Manifesting Sustainability Toward Food Waste into Bioenergy: Biorefinery in a Circular Economic Approach. In G. Baskar, V. Ashokkumar, S. L. Rokhum, & V. S. Moholkar (Eds.), Circular Bioeconomy Perspectives in Sustainable Bioenergy Production (pp. 431–460). Springer Nature Singapore. [CrossRef]
- Rulli, M. C., Bellomi, D., Cazzoli, A., De Carolis, G., & D’Odorico, P. (2016). The water-land-food nexus of first-generation biofuels. Scientific Reports, 6. [CrossRef]
- Sayago, U. F. C., Gómez-Caicedo, M. I., & Mercado Suárez, Á. L. (2024). Design of a sustainable system for wastewater treatment and generation of biofuels based on the biomass of the aquatic plant Eichhornia Crassipes. Scientific Reports, 14(1). [CrossRef]
- Segredo-Morales, E., González-Martín, C., Vera, L., & González, E. (2023). Performance of a novel rotating membrane photobioreactor based on indigenous microalgae-bacteria consortia for wastewater reclamation. Journal of Industrial and Engineering Chemistry, 119, 586–597. [CrossRef]
- Shahzad, K., & Iqbal Cheema, I. (2024). Low-carbon technologies in automotive industry and decarbonizing transport. Journal of Power Sources, 591, 233888. [CrossRef]
- Tossavainen, M., Nykänen, A., Valkonen, K., Ojala, A., Kostia, S., & Romantschuk, M. (2017). Culturing of Selenastrum on diluted composting fluids; conversion of waste to valuable algal biomass in presence of bacteria. Bioresource Technology, 238, 205–213. [CrossRef]
- Staff, B. P. (2025, August 7). Global momentum in wastewater treatment sparks new opportunities for innovation. BCC Research LLC. https://www.bccresearch.com/pressroom/env/global-momentum-in-wastewater-treatment.
- Un-Water, & Un-Water. (2025, June 16). Progress on wastewater treatment – 2024 Update UN-Water. UN-Water. https://www.unwater.org/publications/progress-wastewater-treatment-2024-update.
- Udayan, A., Pandey, A. K., Sirohi, R., Sreekumar, N., Sang, B.-I., Sim, S. J., Kim, S. H., & Pandey, A. (2023). Production of microalgae with high lipid content and their potential as sources of nutraceuticals. Phytochemistry Reviews, 22(4), 833–860. [CrossRef]
- Wang, J., Zhou, W., Chen, H., Zhan, J., He, C., & Wang, Q. (2019). Ammonium nitrogen tolerant Chlorella strain screening and its damaging effects on photosynthesis. Frontiers in Microbiology, 10(JAN). [CrossRef]
- Wang, W., & Khanna, M. (2023). Land use effects of biofuel production in the US. Environmental Research Communications, 5(5). [CrossRef]
- Wu, X., Jin, C., Zhang, C., Li, P., Huang, J. J., Wu, J., Wu, J., & Hu, Z. (2025). Mixotrophic Chlorella pyrenoidosa biofilm with enhanced biomass production, microalgal activity, and nutrient removal from nutrient-rich wastewater. Journal of Environmental Sciences, 157, 366–377. [CrossRef]
- Yan, X., Shan, S., Li, X., Xu, Q., Yan, X., Ruan, R., & Cheng, P. (2024). Carbon and energy metabolism for the mixotrophic culture of Chlorella vulgaris using sodium acetate as a carbon source. Frontiers in Microbiology, 15. [CrossRef]
- Yun, H. S., Kim, Y. S., & Yoon, H. S. (2021). Effect of Different Cultivation Modes (Photoautotrophic, Mixotrophic, and Heterotrophic) on the Growth of Chlorella sp. and Biocompositions. Frontiers in Bioengineering and Biotechnology, 9. [CrossRef]
- Zhang, S., Zhang, L., Xu, G., Li, F., & Li, X. (2022). A review on biodiesel production from microalgae: Influencing parameters and recent advanced technologies. In Frontiers in Microbiology (Vol. 13). Frontiers Media S.A. [CrossRef]
- Zhang, Z., Sun, D., Cheng, K. W., & Chen, F. (2021). Investigation of carbon and energy metabolic mechanism of mixotrophy in Chromochloris zofingiensis. Biotechnology for Biofuels, 14(1). [CrossRef]
- Zheng, M., Li, H., Guo, X., Chen, B., & Wang, M. (2023). A semi-continuous efficient strategy for removing phosphorus and nitrogen from eel aquaculture wastewater using the self-flocculating microalga Desmodesmus sp. PW1. Journal of Environmental Management, 346, 118970. [CrossRef]
- Staff, B. P. (2025, August 7). Global momentum in wastewater treatment sparks new opportunities for innovation. BCC Research LLC. https://www.bccresearch.com/pressroom/env/global-momentum-in-wastewater-treatment.
- Un-Water, & Un-Water. (2025, June 16). Progress on wastewater treatment – 2024 Update UN-Water. UN-Water. https://www.unwater.org/publications/progress-wastewater-treatment-2024-update.










| Parameter | Unit | Value (Mean ± SD) |
|---|---|---|
| pH | - | 6.83 ± 0.15 |
| Chemical Oxygen Demand (COD) | mg L⁻¹ | 1365.89 ± 48.19 |
| Total Nitrogen (TN) | mg L⁻¹ | 735.29 ± 17.87 |
| Total Phosphorus (TP) | mg L⁻¹ | 20.87 ± 1.20 |
| Appearance | - | Dark brown, Turbid |
| Fatty Acid | Carbon Structure | Relative Abundance (%) |
|---|---|---|
| Caprylic acid | C8:0 | 4.55 |
| Capric acid | C10:0 | 3.86 |
| Lauric acid | C12:0 | 25.78 |
| Myristic acid | C14:0 | 9.39 |
| Palmitic acid | C16:0 | 26.95 |
| Stearic acid | C18:0 | 5.11 |
| Oleic acid | C18:1 | 20.46 |
| Linoleic acid | C18:2 | 3.90 |
| Total Saturated | - | 75.64 |
| Total Unsaturated | - | 24.36 |
| Biodiesel Property | Unit | This Study (Leachate) | ASTM D6751 | EN 14214 |
|---|---|---|---|---|
| Iodine Value | g I₂/100g | 25.45 | - | < 120 |
| Kinematic Viscosity | mm²/s | 3.42 | 1.9–6.0 | 3.5–5.0 |
| Higher Heating Value | MJ/kg | 38.36 | - | - |
| Density | g/cm³ | 0.85 | - | 0.86–0.90 |
| Saponification Value | mg KOH/g | 228.5 | - | - |
| Cetane Number | - | 64.5 | > 47 | > 51 |
| Oxidative Stability | h | 32.86 | > 3 | > 8 |
Disclaimer/Publisher’s Note: The statements, opinions and data contained in all publications are solely those of the individual author(s) and contributor(s) and not of MDPI and/or the editor(s). MDPI and/or the editor(s) disclaim responsibility for any injury to people or property resulting from any ideas, methods, instructions or products referred to in the content. |
© 2026 by the authors. Licensee MDPI, Basel, Switzerland. This article is an open access article distributed under the terms and conditions of the Creative Commons Attribution (CC BY) license (http://creativecommons.org/licenses/by/4.0/).
