Submitted:
20 January 2026
Posted:
21 January 2026
You are already at the latest version
Abstract
Keywords:
1. Introduction
2. Lignocellulosic Biomass: Composition and Pretreatment Strategies
3. Green Catalytic Conversion Pathways for Bioplastic Precursors
3.1. Synthetic Pathway for FDCA Production
3.1.1. Metal Catalyst for Oxidation of HMF to FDCA
3.2. Synthetic Pathway for Lactic Acid Production
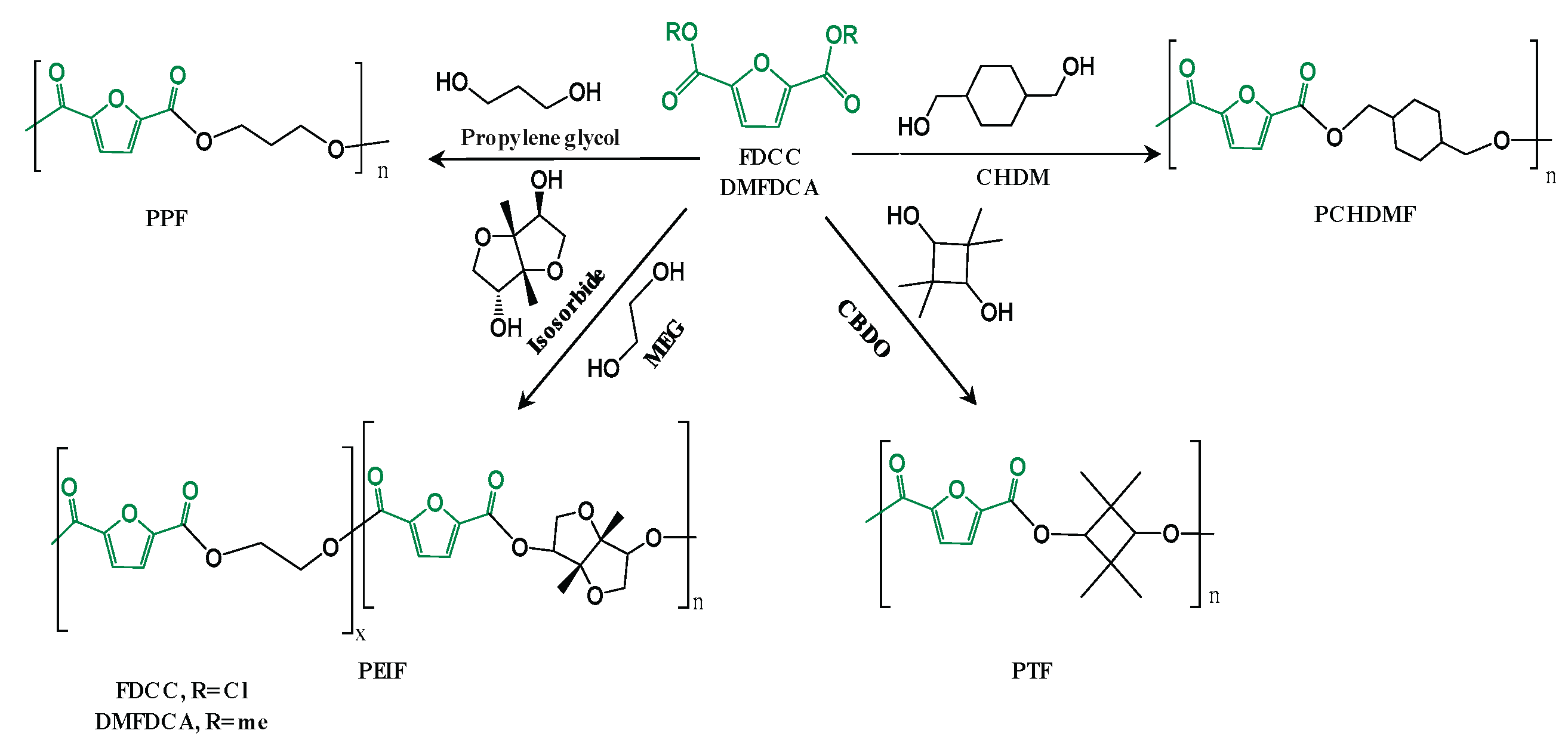
3.3. Production of Polyethylene Furanoate (PEF)
3.3.1. Direct Esterification
3.3.2. Polycondensation Through Solution Polymerization
3.3.3. polymerization Through Ring-Opening
3.3.4. Polycondensation Through Transesterification
3.4. Production of Polylactic Acid (PLA)
4. Sustainability Considerations
4.1. Life Cycle Assessment (LCA)
4.2. Environmental and Socio-Economic Impacts
4.3. Waste Minimization
5. Conclusion & Outlook
- i.
- No single pretreatment is completely eco-friendly; more research is necessary to develop greener protocols that maintain yields.
- i.
- ii. The lack of standardized analytical methods leads to yield variations caused by biomass differences, which must be addressed to ensure process consistency.
- i.
- iii. Few studies have examined scaling laboratory processes to pilot or commercial levels, highlighting the need for further research.
- i.
- iv. Genetically engineered plants could improve yields by tackling biomass heterogeneity and recalcitrance.
- i.
- v. Bioplastics require comprehensive cost assessments and end-of-life analyses to confirm their economic and environmental viability.
Author Contributions
Funding
Institutional Review Board Statement
Informed Consent Statement
Data Availability Statement
Acknowledgments
Conflicts of Interest
References
- Rasmussen, S.C. From parkesine to celluloid: the birth of organic plastics. Angewandte Chemie 2021, 133, 8090–8094. [Google Scholar] [CrossRef]
- Pilapitiya, P.N.T.; Ratnayake, A.S. The world of plastic waste: A review. Cleaner Materials 2024, 11, 100220. [Google Scholar] [CrossRef]
- Dokl, M.; Copot, A.; Krajnc, D.; Van Fan, Y.; Vujanović, A.; Aviso, K.B.; Tan, R.R.; Kravanja, Z.; Čuček, L. Global projections of plastic use, end-of-life fate and potential changes in consumption, reduction, recycling and replacement with bioplastics to 2050. Sustainable Production and Consumption 2024, 51, 498–518. [Google Scholar] [CrossRef]
- Mulder, K.; Knot, M. PVC plastic: a history of systems development and entrenchment. Technology in Society 2001, 23, 265–286. [Google Scholar] [CrossRef]
- Lambert, S. Environmental risk of polymer and their degradation products; University of York, 2013. [Google Scholar]
- Martín, A.J.; Mondelli, C.; Jaydev, S.D.; Pérez-Ramírez, J. Catalytic processing of plastic waste on the rise. Chem 2021, 7, 1487–1533. [Google Scholar] [CrossRef]
- Agenda, I. The new plastics economy rethinking the future of plastics. In Proceedings of the World economic forum, 2016. [Google Scholar]
- Allen, S.; Allen, D.; Moss, K.; Le Roux, G.; Phoenix, V.R.; Sonke, J.E. Examination of the ocean as a source for atmospheric microplastics. PloS one 2020, 15, e0232746. [Google Scholar] [CrossRef]
- Geyer, R.; Jambeck, J.R.; Law, K.L. Production, use, and fate of all plastics ever made. Science advances 2017, 3, e1700782. [Google Scholar] [CrossRef] [PubMed]
- Mülhaupt, R. Green polymer chemistry and bio-based plastics: dreams and reality. Macromolecular Chemistry and Physics 2013, 214, 159–174. [Google Scholar] [CrossRef]
- Iroegbu, A.O.C.; Ray, S.S.; Mbarane, V.; Bordado, J.C.; Sardinha, J.P. Plastic pollution: a perspective on matters arising: challenges and opportunities. ACS omega 2021, 6, 19343–19355. [Google Scholar] [CrossRef] [PubMed]
- Herms, W.B. An ecological and experimental study of Sarcophagidae with relation to lake beach debris 1907.
- Williams, A.T.; Rangel-Buitrago, N. The past, present, and future of plastic pollution. Marine Pollution Bulletin 2022, 176, 113429. [Google Scholar] [CrossRef]
- Ostle, C.; Thompson, R.C.; Broughton, D.; Gregory, L.; Wootton, M.; Johns, D.G. The rise in ocean plastics evidenced from a 60-year time series. Nature communications 2019, 10, 1622. [Google Scholar] [CrossRef]
- Stubbins, A.; Law, K.L.; Muñoz, S.E.; Bianchi, T.S.; Zhu, L. Plastics in the Earth system. Science 2021, 373, 51–55. [Google Scholar] [CrossRef]
- Pathak, S.; Sneha, C.; Mathew, B.B. Bioplastics: its timeline based scenario & challenges. J. Polym. Biopolym. Phys. Chem 2014, 2, 84–90. [Google Scholar] [CrossRef]
- Arif, A.; Azeem, F.; Rasul, I.; Siddique, M.H.; Zubair, M.; Muneer, F.; Zaheer, W.; Nadeem, H. Bioplastics from waste biomass of marine and poultry industries. Journal of Biosciences 2023, 48. [Google Scholar] [CrossRef]
- Nizamuddin, S.; Baloch, A.J.; Chen, C.; Arif, M.; Mubarak, N.M. Bio-based plastics, biodegradable plastics, and compostable plastics: biodegradation mechanism, biodegradability standards and environmental stratagem. International Biodeterioration & Biodegradation 2024, 195, 105887. [Google Scholar] [CrossRef]
- Garcia, J.M.; Robertson, M.L. The future of plastics recycling. Science 2017, 358, 870–872. [Google Scholar] [CrossRef] [PubMed]
- Rashid, S.; Majeed, L.R.; Mehta, N.; Radu, T.; Martín-Fabiani, I.; Bhat, M.A. Microplastics in terrestrial ecosystems: sources, transport, fate, mitigation, and remediation strategies. Euro-Mediterranean Journal for Environmental Integration 2025, 1–27. [Google Scholar] [CrossRef]
- Sharma, S.; Sharma, V.; Chatterjee, S. Contribution of plastic and microplastic to global climate change and their conjoining impacts on the environment-A review. Science of the total environment 2023, 875, 162627. [Google Scholar] [CrossRef] [PubMed]
- Zhang, Y. Circular economy innovations: Balancing fossil fuel impact on green economic development. Heliyon 2024, 10. [Google Scholar] [CrossRef]
- Cook, E.; Cano, N.S.d.S.L.; Velis, C.A. Informal recycling sector contribution to plastic pollution mitigation: A systematic scoping review and quantitative analysis of prevalence and productivity. Resources, Conservation and Recycling 2024, 206, 107588. Available online: https://linkinghub.elsevier.com/retrieve/pii/S0921344924001824. [CrossRef]
- Asif, M.; Siddique, M.; Abbas, A.; Abubakar, A.M.; Pandit, G.K.; Selele, M.I. Production of sustainable bioplastic derived from renewable lignocellulosic agricultural biomass: a comprehensive review. Frontiers in Water and Environment 2024, 4, 1–14. [Google Scholar] [CrossRef]
- Mujtaba, M.; Fraceto, L.F.; Fazeli, M.; Mukherjee, S.; Savassa, S.M.; de Medeiros, G.A.; Santo Pereira, A.d.E.; Mancini, S.D.; Lipponen, J.; Vilaplana, F. Lignocellulosic biomass from agricultural waste to the circular economy: a review with focus on biofuels, biocomposites and bioplastics. Journal of cleaner production 2023, 402, 136815. [Google Scholar] [CrossRef]
- Ali, S.S.; Abdelkarim, E.A.; Elsamahy, T.; Al-Tohamy, R.; Li, F.; Kornaros, M.; Zuorro, A.; Zhu, D.; Sun, J. Bioplastic production in terms of life cycle assessment: A state-of-the-art review. Environmental Science and Ecotechnology 2023, 15, 100254. [Google Scholar] [CrossRef]
- Kour, M.; Chaudhary, S.; Kumar, R. Cellulose based bioplastics: A sustainable approach toward environmental safety-A review. Sustainable Materials and Technologies 2025, e01694. [CrossRef]
- Raj, T.; Chandrasekhar, K.; Kumar, A.N.; Kim, S.-H. Lignocellulosic biomass as renewable feedstock for biodegradable and recyclable plastics production: A sustainable approach. Renewable and Sustainable Energy Reviews 2022, 158, 112130. [Google Scholar] [CrossRef]
- Abolore, R.S.; Jaiswal, S.; Jaiswal, A.K. Green and sustainable pretreatment methods for cellulose extraction from lignocellulosic biomass and its applications: A review. Carbohydrate Polymer Technologies and Applications 2024, 7, 100396. [Google Scholar] [CrossRef]
- Sharma, G.; Kumar, M.; Pandey, A.K.; Kumari, S.; Singh, A.; Ansari, N.A.; Gaur, N.A. Pretreatment technologies for valorisation of lignocellulosic biomass towards sustainable biorefineries: Comprehensive insights and advances. Bioresource Technology Reports 2025, 102336. [Google Scholar] [CrossRef]
- Wong, J.L.; Khadaroo, S.N.B.A.; Cheng, J.L.Y.; Chew, J.J.; Khaerudini, D.S.; Sunarso, J. Green solvent for lignocellulosic biomass pretreatment: An overview of the performance of low transition temperature mixtures for enhanced bio-conversion. Next Materials 2023, 1, 100012. [Google Scholar] [CrossRef]
- Tang, X.; Zuo, M.; Li, Z.; Liu, H.; Xiong, C.; Zeng, X.; Sun, Y.; Hu, L.; Liu, S.; Lei, T. Green processing of lignocellulosic biomass and its derivatives in deep eutectic solvents. ChemSusChem 2017, 10, 2696–2706. [Google Scholar] [CrossRef] [PubMed]
- Satlewal, A.; Agrawal, R.; Bhagia, S.; Sangoro, J.; Ragauskas, A.J. Natural deep eutectic solvents for lignocellulosic biomass pretreatment: recent developments, challenges and novel opportunities. Biotechnology advances 2018, 36, 2032–2050. [Google Scholar] [CrossRef] [PubMed]
- Chen, Y.; Mu, T. Application of deep eutectic solvents in biomass pretreatment and conversion. Green Energy & Environment 2019, 4, 95–115. [Google Scholar] [CrossRef]
- Ullah, A.; Zhang, Y.; Liu, C.; Qiao, Q.; Shao, Q.; Shi, J. Process intensification strategies for green solvent mediated biomass pretreatment. Bioresource Technology 2023, 369, 128394. [Google Scholar] [CrossRef]
- Storz, H. Bio-based plastics: status, challenges and trends. Appl Agric Forestry Res 2013, 4, 321–332. [Google Scholar] [CrossRef]
- Ling, M.H.Y.; Hooper, J.; Pushpamalar, J. Sustainable production of polyethylene glycol and furandicarboxylic acid copolymer (PEG-co-FDCA) from oil palm empty fruit bunch. Industrial Crops and Products 2025, 227, 120740. [Google Scholar] [CrossRef]
- Fei, X.; Wang, J.; Zhang, X.; Jia, Z.; Jiang, Y.; Liu, X. Recent progress on bio-based polyesters derived from 2, 5-furandicarbonxylic acid (FDCA). Polymers 2022, 14, 625. [Google Scholar] [CrossRef]
- Annatelli, M.; Sánchez-Velandia, J.E.; Mazzi, G.; Pandeirada, S.V.; Giannakoudakis, D.; Rautiainen, S.; Esposito, A.; Thiyagarajan, S.; Richel, A.; Triantafyllidis, K.S. Beyond 2, 5-furandicarboxylic acid: status quo, environmental assessment, and blind spots of furanic monomers for bio-based polymers. Green Chemistry 2024, 26, 8894–8941. [Google Scholar] [CrossRef]
- Bello, S.; Salim, I.; Méndez-Trelles, P.; Rodil, E.; Feijoo, G.; Moreira, M.T. Environmental sustainability assessment of HMF and FDCA production from lignocellulosic biomass through life cycle assessment (LCA). Holzforschung 2018, 73, 105–115. [Google Scholar] [CrossRef]
- Chen, G.; van Straalen, N.M.; Roelofs, D. The ecotoxicogenomic assessment of soil toxicity associated with the production chain of 2, 5-furandicarboxylic acid (FDCA), a candidate bio-based green chemical building block. Green Chemistry 2016, 18, 4420–4431. [Google Scholar] [CrossRef]
- Yuan, H.; Li, J.; Shin, H.-d.; Du, G.; Chen, J.; Shi, Z.; Liu, L. Improved production of 2, 5-furandicarboxylic acid by overexpression of 5-hydroxymethylfurfural oxidase and 5-hydroxymethylfurfural/furfural oxidoreductase in Raoultella ornithinolytica BF60. Bioresource technology 2018, 247, 1184–1188. [Google Scholar] [CrossRef]
- Kim, H.; Lee, S.; Ahn, Y.; Lee, J.; Won, W. Sustainable production of bioplastics from lignocellulosic biomass: technoeconomic analysis and life-cycle assessment. ACS Sustainable Chemistry & Engineering 2020, 8, 12419–12429. [Google Scholar] [CrossRef]
- Luo, K.; Wang, Y.; Yu, J.; Zhu, J.; Hu, Z. Semi-bio-based aromatic polyamides from 2, 5-furandicarboxylic acid: toward high-performance polymers from renewable resources. RSC Advances 2016, 6, 87013–87020. [Google Scholar] [CrossRef]
- Sajid, M.; Zhao, X.; Liu, D. Production of 2, 5-furandicarboxylic acid (FDCA) from 5-hydroxymethylfurfural (HMF): recent progress focusing on the chemical-catalytic routes. Green chemistry 2018, 20, 5427–5453. [Google Scholar] [CrossRef]
- Wang, J.; Liu, X.; Jia, Z.; Sun, L.; Zhu, J. Highly crystalline polyesters synthesized from furandicarboxylic acid (FDCA): Potential bio-based engineering plastic. European Polymer Journal 2018, 109, 379–390. [Google Scholar] [CrossRef]
- Tang, Z.; Su, J. Direct conversion of cellulose to 5-hydroxymethylfurfural (HMF) using an efficient and inexpensive boehmite catalyst. Carbohydrate research 2019, 481, 52–59. [Google Scholar] [CrossRef]
- Zhang, Y.; Jin, P.; Liu, M.; Pan, J.; Yan, Y.; Chen, Y.; Xiong, Q. A novel route for green conversion of cellulose to HMF by cascading enzymatic and chemical reactions. AIChE Journal 2017, 63, 4920–4932. [Google Scholar] [CrossRef]
- Nakajima, H.; Dijkstra, P.; Loos, K. The recent developments in biobased polymers toward general and engineering applications: Polymers that are upgraded from biodegradable polymers, analogous to petroleum-derived polymers, and newly developed. Polymers 2017, 9, 523. [Google Scholar] [CrossRef]
- Senila, L.; Kovacs, E.; Resz, M.-A.; Senila, M.; Becze, A.; Roman, C. Life Cycle Assessment (LCA) of Bioplastics Production from Lignocellulosic Waste (Study Case: PLA and PHB). Polymers 2024, 16, 3330. [Google Scholar] [CrossRef]
- Bioplastics, E. Bioplastics market development update 2023; European Bioplastics eV: Berlin, Germany, 2023. [Google Scholar]
- Bioplastics, E. Global Production Capacities of Bioplastics 2019–2024; Europe Bioplastics: Berlin, Germany, 2019. [Google Scholar]
- Chinthapalli, R.; Skoczinski, P.; Carus, M.; Baltus, W.; De Guzman, D.; Käb, H.; Raschka, A.; Ravenstijn, J. Biobased building blocks and polymers—global capacities, production and trends, 2018–2023. Industrial Biotechnology 2019, 15, 237–241. [Google Scholar] [CrossRef]
- Di Sabatino, R.; Kersten, S.R.; Lange, J.-P.; Ruiz, M.P. Lignocellulosic biomass to glycols: Simultaneous conversion of cellulose, hemicellulose and lignin using an organic solvent. Biomass and Bioenergy 2024, 187, 107307. [Google Scholar] [CrossRef]
- Sharma, H.K.; Xu, C.; Qin, W. Biological pretreatment of lignocellulosic biomass for biofuels and bioproducts: an overview. Waste and Biomass Valorization 2019, 10, 235–251. [Google Scholar] [CrossRef]
- Assad, H.; Lone, I.A.; Kumar, A.; Kumar, A. Leveraging lignocellulosic biomass for sustainable energy storage solutions. In Materials for Boosting Energy Storage; ACS Publications, 2024; Volume 2: Advances in Sustainable Energy Technologies, pp. 177–201. [Google Scholar]
- Okolie, J.A.; Nanda, S.; Dalai, A.K.; Kozinski, J.A. Chemistry and specialty industrial applications of lignocellulosic biomass. Waste and Biomass Valorization 2021, 12, 2145–2169. [Google Scholar] [CrossRef]
- Rosson, L.; Tan, B.; Best, W.; Byrne, N. Applications of regenerated bacterial cellulose: a review. Cellulose 2024, 31, 10165–10190. [Google Scholar] [CrossRef]
- Chakraborty, P.; Kumar, R.; Chakrabortty, S.; Saha, S.; Chattaraj, S.; Roy, S.; Banerjee, A.; Tripathy, S.K.; Ghosh, A.K.; Jeon, B.-H. Technological advancements in the pretreatment of lignocellulosic biomass for effective valorization: A review of challenges and prospects. Journal of Industrial and Engineering Chemistry 2024, 137, 29–60. [Google Scholar] [CrossRef]
- Creteanu, A.; Lungu, C.N.; Lungu, M. Lignin: an adaptable biodegradable polymer used in different formulation processes. Pharmaceuticals 2024, 17, 1406. [Google Scholar] [CrossRef]
- Haberzettl, J.; Hilgert, P.; von Cossel, M. A critical review on lignocellulosic biomass yield modeling and the bioenergy potential from marginal land. Agronomy 2021, 11, 2397. [Google Scholar] [CrossRef]
- Megías-Sayago, C.; Navarro-Jaén, S.; Drault, F.; Ivanova, S. Recent advances in the Brønsted/lewis acid catalyzed conversion of glucose to HMF and lactic acid: pathways toward bio-based plastics. Catalysts 2021, 11, 1395. [Google Scholar] [CrossRef]
- Rathour, R.K.; Behl, M.; Sakhuja, D.; Kumar, N.; Sharma, N.; Walia, A.; Bhatt, A.K.; Bhatia, R.K. Recent Updates in Biomass Pretreatment Techniques for a Sustainable Biofuel Industry: A Comprehensive Review. Waste and Biomass Valorization 2025, 1–26. [CrossRef]
- Woźniak, A.; Kuligowski, K.; Świerczek, L.; Cenian, A. Review of lignocellulosic biomass pretreatment using physical, thermal and chemical methods for higher yields in bioethanol production. Sustainability 2025, 17, 287. [Google Scholar] [CrossRef]
- Ilangovan, A.; Balakrishnan, A.; Kanchinadham, S.B.K. Conversion of lignocellulosic waste biomass into valuable derivatives and their pretreatment potential: An overview. Environmental Progress & Sustainable Energy 2025, 44, e70021. [Google Scholar] [CrossRef]
- Tessera, G.M.; Habtu, N.G.; Abera, M.K.; Misganaw, F.W. Advances in electromagnetic radiation-assisted pretreatment of lignocellulosic biomass as a green method: a review. Biomass Conversion and Biorefinery 2025, 15, 13165–13189. [Google Scholar] [CrossRef]
- Chen, J.; Ma, X.; Liang, M.; Guo, Z.; Cai, Y.; Zhu, C.; Wang, Z.; Wang, S.; Xu, J.; Ying, H. Physical–chemical–biological pretreatment for biomass degradation and industrial applications: A review. In Proceedings of the Waste, 2024; pp. 451–473. [Google Scholar]
- Woiciechowski, A.L.; Neto, C.J.D.; de Souza Vandenberghe, L.P.; de Carvalho Neto, D.P.; Sydney, A.C.N.; Letti, L.A.J.; Karp, S.G.; Torres, L.A.Z.; Soccol, C.R. Lignocellulosic biomass: Acid and alkaline pretreatments and their effects on biomass recalcitrance–Conventional processing and recent advances. Bioresource technology 2020, 304, 122848. [Google Scholar] [CrossRef]
- Di Fraia, A.; Di Fraia, S.; Massarotti, N. Role of advanced oxidation processes in lignocellulose pretreatment towards biorefinery applications: a review on emerging trends and economic considerations. Green Chemistry 2024. [Google Scholar] [CrossRef]
- Chowdari, R.K.; Ganji, P.; Likozar, B. Solvent-Free Catalytic Hydrotreatment of Lignin to Biobased Aromatics: Current Trends, Industrial Approach, and Future Perspectives. Energy & Fuels 2024, 39, 2943–2985. [Google Scholar] [CrossRef] [PubMed]
- Ovejero-Pérez, A.; Nakasu, P.Y.; Hopson, C.; Costa, J.M.; Hallett, J.P. Challenges and opportunities on the utilisation of ionic liquid for biomass pretreatment and valorisation. npj Materials Sustainability 2024, 2, 7. [Google Scholar] [CrossRef] [PubMed]
- Gladysheva, E.K. Liquid Hot Water and Steam Explosion Pretreatment Methods for Cellulosic Raw Materials: A Review. Polymers 2025, 17, 1783. [Google Scholar] [CrossRef] [PubMed]
- Manzoor, M.H.; Elsayed, I.; Hassan, E.B. Optimization of Hemicellulosic Carbohydrate Extraction from Corncobs via Hydrothermal Treatment: A Response Surface Methodology Approach. Sustainable Chemistry 2025, 6, 27. [Google Scholar] [CrossRef]
- Balan, V.; Mohammadi, M.; Dale, B.E. Advancements in ammonia-based pretreatment: key benefits and industry applications. RSC Sustainability 2025. [Google Scholar] [CrossRef]
- Kıdak, R. Enhancement of biogas production by means of ultrasonic pre-treatment: State of art and review. Environmental Research and Technology 2025, 8, 487–498. [Google Scholar] [CrossRef]
- Joshi, M.; Manjare, S. Chemical approaches for the biomass valorisation: a comprehensive review of pretreatment strategies. Environmental Science and Pollution Research 2024, 31, 48928–48954. [Google Scholar] [CrossRef]
- Steinbach, D.; Kruse, A.; Sauer, J. Pretreatment technologies of lignocellulosic biomass in water in view of furfural and 5-hydroxymethylfurfural production- A review. Biomass Conversion and Biorefinery 2017, 7, 247–274. [Google Scholar] [CrossRef]
- Wu, Z.; Yu, Y.; Wu, H. Hydrothermal Reactions of Biomass-Derived Platform Molecules: Mechanistic Insights into 5-Hydroxymethylfurfural (5-HMF) Formation during Glucose and Fructose Decomposition. Energy & Fuels 2023, 37, 2115–2126. [Google Scholar] [CrossRef]
- Jiang, Z.; Zeng, Y.; Hu, D.; Guo, R.; Yan, K.; Luque, R. Chemical transformations of 5-hydroxymethylfurfural into highly added value products: present and future. Green Chemistry 2023, 25, 871–892. [Google Scholar] [CrossRef]
- Maleki, F.; Bararzadeh Ledari, M.; Fani, M. Integrated analysis of a hydrogen-based port: Energy, exergy, environmental, and economic sustainability. International Journal of Hydrogen Energy 2025, 100, 1402–1420. [Google Scholar] [CrossRef]
- Oyegoke, T.; Dumeignil, F.; E.-Yakubu Jibril, B.; Michel, C.; Wojcieszak, R. Exploring catalytic oxidation pathways of furfural and 5-hydroxymethyl furfural into carboxylic acids using Au, Pt, and Pd catalysts: a comprehensive review. Catalysis Science & Technology 2024, 14, 6761–6774. [Google Scholar] [CrossRef]
- Sayed, M.; Gaber, Y.; Junghus, F.; Martín, E.V.; Pyo, S.H.; Hatti-Kaul, R. Oxidation of 5-hydroxymethylfurfural with a novel aryl alcohol oxidase from Mycobacterium sp. MS1601. Microbial Biotechnology 2022, 15, 2176–2190. [Google Scholar] [CrossRef] [PubMed]
- Arias, P.L.; Cecilia, J.A.; Gandarias, I.; Iglesias, J.; López Granados, M.; Mariscal, R.; Morales, G.; Moreno-Tost, R.; Maireles-Torres, P. Oxidation of lignocellulosic platform molecules to value-added chemicals using heterogeneous catalytic technologies. Catalysis Science & Technology 2020, 10, 2721–2757. [Google Scholar] [CrossRef]
- Liu, B.; Liu, H.; Sun, S.; Ma, Z.; Zhang, Y.; Nie, R.; Fu, J. Hydrothermal Redox Driven Phase and Defect Engineering of MnO2 for Enhanced HMF Oxidation at Ambient Oxygen Pressure. Advanced Functional Materials 2025. [Google Scholar] [CrossRef]
- Hayashi, E.; Yamaguchi, Y.; Kamata, K.; Tsunoda, N.; Kumagai, Y.; Oba, F.; Hara, M. Effect of MnO2 Crystal Structure on Aerobic Oxidation of 5-Hydroxymethylfurfural to 2,5-Furandicarboxylic Acid. Journal of the American Chemical Society 2019, 141, 890–900. [Google Scholar] [CrossRef]
- Bao, L.; Sun, F.Z.; Zhang, G.Y.; Hu, T.L. Aerobic Oxidation of 5-Hydroxymethylfurfural to 2,5-Furandicarboxylic Acid over Holey 2 D Mn2O3 Nanoflakes from a Mn-based MOF. ChemSusChem 2020, 13, 548–555. [Google Scholar] [CrossRef]
- Yao, Y.-F.; Wang, G.-C. Mechanism Insights into the Aerobic Oxidation of 5-Hydroxymethylfurfural to 2,5-Furandicarboxylic Acid over MnO2 Catalysts. The Journal of Physical Chemistry C 2021, 125, 3818–3826. [Google Scholar] [CrossRef]
- Liao, W.; Yang, S.; Liu, Y.; Yin, Q.; Tang, X.; Lin, L.; Sun, Y. Aerobic oxidation of 5-hydroxymethylfurfural to 2,5-furandicarboxylic acid by modification of the crystalline structure of MnO2 for catalytic purposes. Molecular Catalysis 2025, 578, 114995. [Google Scholar] [CrossRef]
- Yu, L.; Chen, H.; Wen, Z.; Jin, M.; Ma, X.; Li, Y.; Sang, Y.; Chen, M.; Li, Y. Efficient Aerobic Oxidation of 5-Hydroxymethylfurfural to 2, 5-Furandicarboxylic Acid over a Nanofiber Globule La-MnO2 Catalyst. Industrial & Engineering Chemistry Research 2021, 60, 1624–1632. [Google Scholar] [CrossRef]
- Liu, Q.; Gong, Y.; Zeng, J.; Zhao, Y.; Lv, J.; Jiang, Z.; Hu, C.; Zhou, Y. Strategic Metal Doping in MnOx Catalysts Unlocks High-Yield 2,5-Furandicarboxylic Acid Production via Tailored Lattice Oxygen Activity and Oxygen Vacancies. ACS Sustainable Chemistry & Engineering 2025, 13, 2107–2119. [Google Scholar] [CrossRef]
- Gao, Y.; Fan, S.; Zhu, B.; El-Hout, S.I.; Lyu, J.; Zhang, J.; Chen, C. Cobalt and nitrogen co-modified graphitic carbon: A bifunctional catalyst for thermocatalytic and electrocatalytic oxidation of HMF to FDCA. Catalysis Today 2024, 440, 114847. [Google Scholar] [CrossRef]
- Li, Y.; Wang, Y.; Gao, H.; Zhang, Z.; Chen, L.; Liao, X. Tunable products of 5-hydroxymethylfurfural oxidation by Zn/Co-ZIF derived catalysts. Applied Catalysis A: General 2024, 678, 119712. [Google Scholar] [CrossRef]
- Gao, L.; Deng, K.; Zheng, J.; Liu, B.; Zhang, Z. Efficient oxidation of biomass derived 5-hydroxymethylfurfural into 2,5-furandicarboxylic acid catalyzed by Merrifield resin supported cobalt porphyrin. Chemical Engineering Journal 2015, 270, 444–449. [Google Scholar] [CrossRef]
- Fang, R.; Tian, P.; Yang, X.; Luque, R.; Li, Y. Encapsulation of ultrafine metal-oxide nanoparticles within mesopores for biomass-derived catalytic applications. Chemical Science 2018, 9, 1854–1859. [Google Scholar] [CrossRef] [PubMed]
- Zhang, S.; Sun, X.; Zheng, Z.; Zhang, L. Nanoscale center-hollowed hexagon MnCo2O4 spinel catalyzed aerobic oxidation of 5-hydroxymethylfurfural to 2,5-furandicarboxylic acid. Catalysis Communications 2018, 113, 19–22. [Google Scholar] [CrossRef]
- Zhu, R.; Gao, F.; Li, X. Bimetallic Co-Mn catalyzed chemselective oxidation of 5-hydroxymethylfurfural to 2,5-furandicarboxylic acid. Molecular Catalysis 2025, 580, 115135. [Google Scholar] [CrossRef]
- Li, M.; Hu, S.; Zhang, Y.; Qin, J.; Min, D.; Chen, C.; Zhang, P.; Jiang, L.; Zhang, J. Regulation of oxygen vacancy in Mn-Co oxides to enhance selective oxidation of 5-hydroxymethylfurfural to 2,5-furandicarboxylic acid. Applied Catalysis B: Environment and Energy 2025, 368, 125130. [Google Scholar] [CrossRef]
- Rao, K.T.V.; Rogers, J.L.; Souzanchi, S.; Dessbesell, L.; Ray, M.B.; Xu, C. Inexpensive but Highly Efficient Co–Mn Mixed-Oxide Catalysts for Selective Oxidation of 5-Hydroxymethylfurfural to 2,5-Furandicarboxylic Acid. ChemSusChem 2018, 11, 3323–3334. [Google Scholar] [CrossRef] [PubMed]
- Zuo, X.; Venkitasubramanian, P.; Busch, D.H.; Subramaniam, B. Optimization of Co/Mn/Br-Catalyzed Oxidation of 5-Hydroxymethylfurfural to Enhance 2,5-Furandicarboxylic Acid Yield and Minimize Substrate Burning. ACS Sustainable Chemistry & Engineering 2016, 4, 3659–3668. [Google Scholar] [CrossRef]
- Jain, A.; Jonnalagadda, S.C.; Ramanujachary, K.V.; Mugweru, A. Selective oxidation of 5-hydroxymethyl-2-furfural to furan-2,5-dicarboxylic acid over spinel mixed metal oxide catalyst. Catalysis Communications 2015, 58, 179–182. [Google Scholar] [CrossRef]
- Mei, N.; Liu, B.; Zheng, J.; Lv, K.; Tang, D.; Zhang, Z. A novel magnetic palladium catalyst for the mild aerobic oxidation of 5-hydroxymethylfurfural into 2,5-furandicarboxylic acid in water. Catalysis Science & Technology 2015, 5, 3194–3202. [Google Scholar] [CrossRef]
- Perumal, S.K.; Yu, H.; Je, H.; Lee, H.; Kim, Y.; Kim, H.S. Cr-Promoted Pt@Fe2–xCrxO3 Hematite-Type Catalysts for Efficient Base-Free HMF Oxidation under Mild Conditions. ACS Sustainable Chemistry & Engineering 2025, 13, 17470–17482. [Google Scholar] [CrossRef]
- Kalimuthu, K.; Poonsawat, T.; Chumkaeo, P.; Somsook, E. Oxidation of 5-HMF Catalyzed by N-Doped Carbon-Supported Non-Noble Metal Catalysts. ACS Omega 2025, 10, 44415–44424. [Google Scholar] [CrossRef]
- Liu, B.; Liu, H.; Wang, H.; Ma, Z.; Cheng, X.; Chang, C.; Nie, R. Solid-state synthesis of CN-encapsulated CoFe alloy catalysts for mild HMF oxidation to FDCA: insights into the kinetics and mechanism. Dalton Transactions 2025, 54, 1013–1020. [Google Scholar] [CrossRef] [PubMed]
- Chamberlain, T.W.; Degirmenci, V.; Walton, R.I. Oxidation of 5-Hydroxymethyl Furfural to 2,5-Furan Dicarboxylic Acid Under Mild Aqueous Conditions Catalysed by MIL-100(Fe) Metal-Organic Framework. ChemCatChem 2022, 14. [Google Scholar] [CrossRef]
- Yan, D.; Xin, J.; Zhao, Q.; Gao, K.; Lu, X.; Wang, G.; Zhang, S. Fe–Zr–O catalyzed base-free aerobic oxidation of 5-HMF to 2,5-FDCA as a bio-based polyester monomer. Catalysis Science & Technology 2018, 8, 164–175. [Google Scholar] [CrossRef]
- Liu, X.; Xiao, J.; Ding, H.; Zhong, W.; Xu, Q.; Su, S.; Yin, D. Catalytic aerobic oxidation of 5-hydroxymethylfurfural over VO2+ and Cu2+ immobilized on amino functionalized SBA-15. Chemical Engineering Journal 2016, 283, 1315–1321. [Google Scholar] [CrossRef]
- Zhang, Z.; Liu, B.; Lv, K.; Sun, J.; Deng, K. Aerobic oxidation of biomass derived 5-hydroxymethylfurfural into 5-hydroxymethyl-2-furancarboxylic acid catalyzed by a montmorillonite K-10 clay immobilized molybdenum acetylacetonate complex. Green Chemistry 2014, 16, 2762. [Google Scholar] [CrossRef]
- Wang, S.; Liu, B.; Yuan, Z.; Zhang, Z. Aerobic oxidation of 5-hydroxymethylfurfural into furan compounds over Mo-hydroxyapatite-encapsulated magnetic γ-Fe 2 O 3. Journal of the Taiwan Institute of Chemical Engineers 2016, 58, 92–96. [Google Scholar] [CrossRef]
- Li, S.; Su, K.; Li, Z.; Cheng, B. Selective oxidation of 5-hydroxymethylfurfural with H2O2 catalyzed by a molybdenum complex. Green Chemistry 2016, 18, 2122–2128. [Google Scholar] [CrossRef]
- Barwe, S.; Weidner, J.; Cychy, S.; Morales, D.M.; Dieckhöfer, S.; Hiltrop, D.; Masa, J.; Muhler, M.; Schuhmann, W. Electrocatalytic Oxidation of 5-(Hydroxymethyl)furfural Using High-Surface-Area Nickel Boride. Angewandte Chemie International Edition 2018, 57, 11460–11464. [Google Scholar] [CrossRef]
- Yang, S.; Guo, Y.; Zhao, Y.; Zhang, L.; Shen, H.; Wang, J.; Li, J.; Wu, C.; Wang, W.; Cao, Y.; et al. Construction of Synergistic Ni3S2-MoS2 Nanoheterojunctions on Ni Foam as Bifunctional Electrocatalyst for Hydrogen Evolution Integrated with Biomass Valorization. Small 2022, 18, 2201306. [Google Scholar] [CrossRef] [PubMed]
- Xiao, R.; Zhao, W.; Yang, Q.; He, A.; Tang, X.; Shen, C. Oxygen vacancies modulate reactive oxygen species for high-efficiency photocatalytic synthesis of 2,5-furandicarboxylic acid. Journal of Catalysis 2025, 116472. [CrossRef]
- Xu, S.; Zhou, P.; Zhang, Z.; Yang, C.; Zhang, B.; Deng, K.; Bottle, S.; Zhu, H. Selective Oxidation of 5-Hydroxymethylfurfural to 2,5-Furandicarboxylic Acid Using O2 and a Photocatalyst of Co-thioporphyrazine Bonded to g-C3N4. Journal of the American Chemical Society 2017, 139, 14775–14782. [Google Scholar] [CrossRef] [PubMed]
- Han, X.; Li, C.; Liu, X.; Xia, Q.; Wang, Y. Selective oxidation of 5-hydroxymethylfurfural to 2,5-furandicarboxylic acid over MnOx–CeO2 composite catalysts. Green Chemistry 2017, 19, 996–1004. [Google Scholar] [CrossRef]
- Zhao, D.; Su, T.; Wang, Y.; Varma, R.S.; Len, C. Recent advances in catalytic oxidation of 5-hydroxymethylfurfural. Molecular Catalysis 2020, 495, 111133. [Google Scholar] [CrossRef]
- Neațu, F.; Marin, R.S.; Florea, M.; Petrea, N.; Pavel, O.D.; Pârvulescu, V.I. Selective oxidation of 5-hydroxymethyl furfural over non-precious metal heterogeneous catalysts. Applied Catalysis B: Environmental 2016, 180, 751–757. [Google Scholar] [CrossRef]
- Wang, S.; Zhang, Z.; Liu, B. Catalytic Conversion of Fructose and 5-Hydroxymethylfurfural into 2,5-Furandicarboxylic Acid over a Recyclable Fe3O4–CoOx Magnetite Nanocatalyst. ACS Sustainable Chemistry & Engineering 2015, 3, 406–412. [Google Scholar] [CrossRef]
- Saha, B.; Gupta, D.; Abu-Omar, M.M.; Modak, A.; Bhaumik, A. Porphyrin-based porous organic polymer-supported iron(III) catalyst for efficient aerobic oxidation of 5-hydroxymethyl-furfural into 2,5-furandicarboxylic acid. Journal of Catalysis 2013, 299, 316–320. [Google Scholar] [CrossRef]
- Tong, X.; Yu, L.; Chen, H.; Zhuang, X.; Liao, S.; Cui, H. Highly efficient and selective oxidation of 5-hydroxymethylfurfural by molecular oxygen in the presence of Cu-MnO2 catalyst. Catalysis Communications 2017, 90, 91–94. [Google Scholar] [CrossRef]
- Lin, J.-Y.; Yuan, M.-H.; Lin, K.-Y.A.; Lin, C.-H. Selective aerobic oxidation of 5-hydroxymethylfurfural to 2,5-diformylfuran catalyzed by Cu-based metal organic frameworks with 2,2,6,6-tetramethylpiperidin-oxyl. Journal of the Taiwan Institute of Chemical Engineers 2019, 102, 242–249. [Google Scholar] [CrossRef]
- Mannam, S.; Sekar, G. CuCl catalyzed selective oxidation of primary alcohols to carboxylic acids with tert-butyl hydroperoxide at room temperature. Tetrahedron Letters 2008, 49, 2457–2460. [Google Scholar] [CrossRef]
- Hansen, T.S.; Sádaba, I.; García-Suárez, E.J.; Riisager, A. Cu catalyzed oxidation of 5-hydroxymethylfurfural to 2,5-diformylfuran and 2,5-furandicarboxylic acid under benign reaction conditions. Applied Catalysis A: General 2013, 456, 44–50. [Google Scholar] [CrossRef]
- Ventura, M.; Aresta, M.; Dibenedetto, A. Selective Aerobic Oxidation of 5-(Hydroxymethyl)furfural to 5-Formyl-2-furancarboxylic Acid in Water. ChemSusChem 2016, 9, 1096–1100. [Google Scholar] [CrossRef] [PubMed]
- Chen, B.; Hou, Q.; Smith, R.L.; Qi, X.; Guo, H. Electrocatalytic oxidation of biomass-derived furans to 2,5-furandicarboxylic acid – a review. Green Chemistry 2025, 27, 8414–8447. [Google Scholar] [CrossRef]
- Li, X.-L.; Zhu, R.; Xu, H.-J. Recent Advances in Direct Synthesis of 2,5-Furandicarboxylic Acid from Carbohydrates. ACS Sustainable Chemistry & Engineering 2025, 13, 2223–2259. [Google Scholar] [CrossRef]
- Zhu, P.; Zhang, W.; Li, Q.; Xia, H. Visible-Light-Driven Photocatalytic Oxidation of 5-Hydroxymethylfurfural to 2,5-Furandicarboxylic Acid over Plasmonic Au/ZnO Catalyst. ACS Sustainable Chemistry & Engineering 2022, 10, 8778–8787. [Google Scholar] [CrossRef]
- Zhang, X.; Liu, A.; Li, X.; Xu, W.; Duan, X.; Shi, J.; Li, X. Research progress of deep eutectic solvents in lignocellulosic biomass pretreatment. Cellulose 2025, 1–14. [CrossRef]
- de Jong, E.; Dam, M.A.; Sipos, L.; Gruter, G.J.M. Furandicarboxylic Acid (FDCA), A Versatile Building Block for a Very Interesting Class of Polyesters. In Biobased Monomers, Polymers, and Materials; ACS Symposium Series; American Chemical Society, 2012; Volume 1105, pp. 1–13. [Google Scholar]
- Qu, L.; Kong, F.; Chen, X.; Zhang, Y.; Lin, Z.; Ni, X.; Zhang, X.; Lu, Q.; Zhao, Y.; Zou, B. Progress in Research on the Preparation of 2, 5-Furandicarboxylic Acid by Hydroxymethylfurfural Oxidation. Catalysts 2025, 15, 373. [Google Scholar] [CrossRef]
- Zhang, Y.; Jia, G.; Wang, W.; Jiang, L.; Guo, Z. Photocatalytic upgrading of 5-hydroxymethylfurfural – aerobic or anaerobic? Green Chemistry 2024, 26, 2949–2966. [Google Scholar] [CrossRef]
- Yang, B.; Hu, W.; Wan, F.; Zhang, C.; Fu, Z.; Su, A.; Chen, M.; Liu, Y. Adjusting effect of additives on decatungstate-photocatalyzed HMF oxidation with molecular oxygen under visible light illumination. Chemical Engineering Journal 2020, 396, 125345. [Google Scholar] [CrossRef]
- Gonzalez-Casamachin, D.A.; Rivera De La Rosa, J.; Lucio–Ortiz, C.J.; Sandoval-Rangel, L.; García, C.D. Partial oxidation of 5-hydroxymethylfurfural to 2,5-furandicarboxylic acid using O2 and a photocatalyst of a composite of ZnO/PPy under visible-light: Electrochemical characterization and kinetic analysis. Chemical Engineering Journal 2020, 393, 124699. [Google Scholar] [CrossRef]
- Wang, Y.; Cai, C. Photocatalytic Oxidation of 5-Hydroxymethylfurfural to Selective Products by Noble Metal-Free Z-Scheme Heterostructures α-Fe2O3/Zn0.5Cd0.5S. ACS Catalysis 2025, 15, 3451–3463. [Google Scholar] [CrossRef]
- Wu, R.; Yang, J.; Jiang, Y.; Xin, F. Advances and prospects for lactic acid production from lignocellulose. Enzyme and Microbial Technology 2025, 182, 110542. [Google Scholar] [CrossRef]
- Augustiniene, E.; Valanciene, E.; Matulis, P.; Syrpas, M.; Jonuskiene, I.; Malys, N. Bioproduction of l- and d-lactic acids: advances and trends in microbial strain application and engineering. Critical Reviews in Biotechnology 2022, 42, 342–360. [Google Scholar] [CrossRef]
- Pleissner, D.; Venus, J. Agricultural Residues as Feedstocks for Lactic Acid Fermentation. In Green Technologies for the Environment; ACS Symposium Series; American Chemical Society, 2014; Volume 1186, pp. 247–263. [Google Scholar]
- Ren, Y.; Wang, X.; Li, Y.; Li, Y.-Y.; Wang, Q. Lactic Acid Production by Fermentation of Biomass: Recent Achievements and Perspectives. Sustainability 2022, 14, 14434. [Google Scholar] [CrossRef]
- Guan, R.; Li, X.; Wachemo, A.C.; Yuan, H.; Liu, Y.; Zou, D.; Zuo, X.; Gu, J. Enhancing anaerobic digestion performance and degradation of lignocellulosic components of rice straw by combined biological and chemical pretreatment. Science of The Total Environment 2018, 637-638, 9–17. [Google Scholar] [CrossRef]
- Haokok, C.; Lunprom, S.; Reungsang, A.; Salakkam, A. Efficient production of lactic acid from cellulose and xylan in sugarcane bagasse by newly isolated Lactiplantibacillus plantarum and Levilactobacillus brevis through simultaneous saccharification and co-fermentation process. Heliyon 2023, 9, e17935. [Google Scholar] [CrossRef]
- Abdel-Rahman, M.A.; Tashiro, Y.; Sonomoto, K. Lactic acid production from lignocellulose-derived sugars using lactic acid bacteria: Overview and limits. Journal of Biotechnology 2011, 156, 286–301. [Google Scholar] [CrossRef]
- Garde, A.; Jonsson, G.; Schmidt, A.S.; Ahring, B.K. Lactic acid production from wheat straw hemicellulose hydrolysate by Lactobacillus pentosus and Lactobacillus brevis. Bioresource Technology 2002, 81, 217–223. [Google Scholar] [CrossRef]
- Oonkhanond, B.; Jonglertjunya, W.; Srimarut, N.; Bunpachart, P.; Tantinukul, S.; Nasongkla, N.; Sakdaronnarong, C. Lactic acid production from sugarcane bagasse by an integrated system of lignocellulose fractionation, saccharification, fermentation, and ex-situ nanofiltration. Journal of Environmental Chemical Engineering 2017, 5, 2533–2541. [Google Scholar] [CrossRef]
- He, T.; Jiang, Z.; Wu, P.; Yi, J.; Li, J.; Hu, C. Fractionation for further conversion: from raw corn stover to lactic acid. Scientific Reports 2016, 6, 38623. [Google Scholar] [CrossRef] [PubMed]
- Maas, R.H.W.; Bakker, R.R.; Jansen, M.L.A.; Visser, D.; De Jong, E.; Eggink, G.; Weusthuis, R.A. Lactic acid production from lime-treated wheat straw by Bacillus coagulans: neutralization of acid by fed-batch addition of alkaline substrate. Applied Microbiology and Biotechnology 2008, 78, 751–758. [Google Scholar] [CrossRef] [PubMed]
- Wang, S.; Hussain, A.; Fei, X.; Venkiteshwaran, K.; Raghavan, V. Harnessing Bioelectrochemical and Anaerobic Systems for the Degradation of Bioplastics: Application Potential and Future Directions. Fermentation 2025, 11, 610. [Google Scholar] [CrossRef]
- Wang, Q.; Zhao, X.; Chamu, J.; Shanmugam, K.T. Isolation, characterization and evolution of a new thermophilic Bacillus licheniformis for lactic acid production in mineral salts medium. Bioresource Technology 2011, 102, 8152–8158. [Google Scholar] [CrossRef] [PubMed]
- Ou, M.S.; Ingram, L.O.; Shanmugam, K.T. l(+)-Lactic acid production from non-food carbohydrates by thermotolerant Bacillus coagulans. Journal of Industrial Microbiology & Biotechnology 2011, 38, 599–605. [Google Scholar] [CrossRef]
- Ojo, A.O.; De Smidt, O. Lactic Acid: A Comprehensive Review of Production to Purification. Processes 2023, 11, 688. [Google Scholar] [CrossRef]
- Miura, S.; Arimura, T.; Itoda, N.; Dwiarti, L.; Feng, J.B.; Bin, C.H.; Okabe, M. Production of l-lactic acid from corncob. Journal of Bioscience and Bioengineering 2004, 97, 153–157. [Google Scholar] [CrossRef]
- Bai, D.-M.; Li, S.-Z.; Liu, Z.L.; Cui, Z.-F. Enhanced l -(+)-Lactic Acid Production by an Adapted Strain of Rhizopus oryzae using Corncob Hydrolysate. Applied Biochemistry and Biotechnology 2008, 144, 79–85. [Google Scholar] [CrossRef]
- Huang, L.P.; Jin, B.; Lant, P.; Zhou, J. Simultaneous saccharification and fermentation of potato starch wastewater to lactic acid by Rhizopus oryzae and Rhizopus arrhizus. Biochemical Engineering Journal 2005, 23, 265–276. [Google Scholar] [CrossRef]
- Zhang, Z.Y.; Jin, B.; Kelly, J.M. Enhancement of l(+)-lactic acid production using acid-adapted precultures of Rhizopus arrhizus in a bubble column reactor. Journal of Bioscience and Bioengineering 2009, 108, 344–347. [Google Scholar] [CrossRef] [PubMed]
- Salas-Navarrete, P.C.; Rosas-Santiago, P.; Suárez-Rodríguez, R.; Martínez, A.; Caspeta, L. Adaptive responses of yeast strains tolerant to acidic pH, acetate, and supraoptimal temperature. Applied Microbiology and Biotechnology 2023, 107, 4051–4068. [Google Scholar] [CrossRef]
- Tsaruk, A.; Filip, K.; Sibirny, A.; Ruchala, J. Native and Recombinant Yeast Producers of Lactic Acid: Characteristics and Perspectives. International Journal of Molecular Sciences 2025, 26. [Google Scholar] [CrossRef]
- Osawa, F.; Fujii, T.; Nishida, T.; Tada, N.; Ohnishi, T.; Kobayashi, O.; Komeda, T.; Yoshida, S. Efficient production of L-lactic acid by Crabtree-negative yeast Candida boidinii. Yeast 2009, 26, 485–496. [Google Scholar] [CrossRef] [PubMed]
- Wakai, S.; Yoshie, T.; Asai-Nakashima, N.; Yamada, R.; Ogino, C.; Tsutsumi, H.; Hata, Y.; Kondo, A. l -lactic acid production from starch by simultaneous saccharification and fermentation in a genetically engineered Aspergillus oryzae pure culture. Bioresource Technology 2014, 173, 376–383. [Google Scholar] [CrossRef]
- Zhao, J.; Xu, L.; Wang, Y.; Zhao, X.; Wang, J.; Garza, E.; Manow, R.; Zhou, S. Homofermentative production of optically pure L-lactic acid from xylose by genetically engineered Escherichia coli B. Microbial Cell Factories 2013, 12, 57. [Google Scholar] [CrossRef] [PubMed]
- Miah, M.R.; Dong, Y.; Wang, J.; Zhu, J. Recent Progress on Sustainable 2,5-Furandicarboxylate-Based Polyesters: Properties and Applications. ACS Sustainable Chemistry & Engineering 2024, 12, 2927–2961. [Google Scholar] [CrossRef]
- Mendieta, C.M.; González, G.; Vallejos, M.E.; Area, M.C. Bio-polyethylene furanoate (Bio-PEF) from lignocellulosic biomass adapted to the circular bioeconomy. BioResources 2022, 17, 7313–7337. [Google Scholar] [CrossRef]
- Walkowiak, K.; Paszkiewicz, S. Modifications of Furan-Based Polyesters with the Use of Rigid Diols. Polymers 2024, 16, 2064. [Google Scholar] [CrossRef]
- Xu, C.; Shi, X.; Cui, L.; Gao, S.; Wu, S. From biomass to biopolymer: strategic development of PEF for sustainable material solutions. Biofuels, Bioproducts and Biorefining 2025. [Google Scholar] [CrossRef]
- Fei, X.; Wang, J.; Zhang, X.; Jia, Z.; Jiang, Y.; Liu, X. Recent Progress on Bio-Based Polyesters Derived from 2,5-Furandicarbonxylic Acid (FDCA). Polymers 2022, 14, 625. Available online: https://www.mdpi.com/2073-4360/14/3/625. [CrossRef]
- Loos, K.; Zhang, R.; Pereira, I.; Agostinho, B.; Hu, H.; Maniar, D.; Sbirrazzuoli, N.; Silvestre, A.J.D.; Guigo, N.; Sousa, A.F. A Perspective on PEF Synthesis, Properties, and End-Life. Frontiers in Chemistry 2020, 8. [Google Scholar] [CrossRef] [PubMed]
- Righetti, M.C.; Marchese, P.; Vannini, M.; Celli, A.; Lorenzetti, C.; Cavallo, D.; Ocando, C.; Müller, A.J.; Androsch, R. Polymorphism and Multiple Melting Behavior of Bio-Based Poly(propylene 2,5-furandicarboxylate). Biomacromolecules 2020, 21, 2622–2634. [Google Scholar] [CrossRef] [PubMed]
- Toledano, O.; Gálvez, O.; Sanz, M.; Garcia Arcos, C.; Rebollar, E.; Nogales, A.; García-Gutiérrez, M.C.; Santoro, G.; Irska, I.; Paszkiewicz, S.; et al. Study of the Crystal Structure and Hydrogen Bonding during Cold Crystallization of Poly(trimethylene 2,5-furandicarboxylate). Macromolecules 2024, 57, 2218–2229. [Google Scholar] [CrossRef]
- Li, Y.; Li, C.; Ren, Y.; Zhou, W.; Yang, S.; Lin, Y.; Yuan, M.; Li, H.; Xu, C. Highly stretchable and degradable bio-based poly (butanediol 2,5-furandicarboxylate-co-ε-caprolactone): Regulating structure and performance via ε-caprolactone content. Materials Today Communications 2025, 49, 113879. [Google Scholar] [CrossRef]
- Terzopoulou, Z.; Kasmi, N.; Tsanaktsis, V.; Doulakas, N.; Bikiaris, D.N.; Achilias, D.S.; Papageorgiou, G.Z. Synthesis and Characterization of Bio-Based Polyesters: Poly(2-methyl-1,3-propylene-2,5-furanoate), Poly(isosorbide-2,5-furanoate), Poly(1,4-cyclohexanedimethylene-2,5-furanoate). Materials 2017, 10, 801. [Google Scholar] [CrossRef]
- Weinland, D.H.; Van Putten, R.-J.; Gruter, G.-J.M. Evaluating the commercial application potential of polyesters with 1,4:3,6-dianhydrohexitols (isosorbide, isomannide and isoidide) by reviewing the synthetic challenges in step growth polymerization. European Polymer Journal 2022, 164, 110964. [Google Scholar] [CrossRef]
- Wang, Y.; Guo, W.; Yue, J.; Heeres, H.J.; Zhao, L.; Xi, Z. Experimental Study on the Synthesis of Biobased Poly(ethylene-2,5-furandicarboxylate) and Kinetic Modeling on the Esterification of 2,5-Furandicarboxylic Acid and Ethylene Glycol. ACS Sustainable Chemistry & Engineering 2025, 13, 7299–7317. [Google Scholar] [CrossRef]
- Zhao, D.; Delbecq, F.; Len, C. One-Pot FDCA Diester Synthesis from Mucic Acid and Their Solvent-Free Regioselective Polytransesterification for Production of Glycerol-Based Furanic Polyesters. Molecules 2019, 24, 1030. [Google Scholar] [CrossRef]
- Yi, J.; Dai, Y.; Li, Y.; Zhao, Y.; Wu, Y.; Jiang, M.; Zhou, G. −COOH & −OH Condensation Reaction Utilization for Biomass FDCA-based Polyesters. ChemSusChem 2024, 17. [Google Scholar] [CrossRef]
- Sadraoui, C.; Trapasso, G.; Abid, F.; Lacerda, P.S.S.; Sousa, A.F.; Aricò, F. A Greener Approach to 2,5-Furandicarboxylate Macrocycles and their Entropically Driven Ring Opening Polymerization. European Journal of Organic Chemistry 2025. [Google Scholar] [CrossRef]
- Rosenboom, J.-G.; Hohl, D.K.; Fleckenstein, P.; Storti, G.; Morbidelli, M. Bottle-grade polyethylene furanoate from ring-opening polymerisation of cyclic oligomers. Nature Communications 2018, 9. [Google Scholar] [CrossRef] [PubMed]
- Fei, X.; Wang, J.; Zhu, J.; Wang, X.; Liu, X. Biobased Poly(ethylene 2,5-furancoate): No Longer an Alternative, but an Irreplaceable Polyester in the Polymer Industry. ACS Sustainable Chemistry & Engineering 2020, 8, 8471–8485. [Google Scholar] [CrossRef]
- Wang, B.; Jia, Z.; Meng, L.; Zhang, W.; Sang, L.; Chan, W.; Zhang, Y.; Wang, L.; Qi, M.; Wei, Z. Scale-Up Preparation of Biobased Poly(ethylene furanoate) Biaxial Orientation Films with Enhanced Mechanical and Barrier Properties for Packaging. ACS Sustainable Chemistry & Engineering 2024, 12, 16409–16422. [Google Scholar] [CrossRef]
- Xie, W.; Zhang, X.; Tang, Y.; Ke, X.; Li, T.; Fang, H.; Lin, L.; Tang, X. Impact of impurities in 2,5-furandicarboxylic acid on the synthesis of Poly(ethylene 2,5-furandicarboxylate) and its purification by crystallization in a binary solvent system. Chinese Journal of Chemical Engineering 2025, 85, 38–48. [Google Scholar] [CrossRef]
- Duh, B. Effect of antimony catalyst on solid-state polycondensation of poly(ethylene terephthalate). Polymer 2002, 43, 3147–3154. [Google Scholar] [CrossRef]
- Jiang, M.; Liu, Q.; Zhang, Q.; Ye, C.; Zhou, G. A series of furan-aromatic polyesters synthesized via direct esterification method based on renewable resources. Journal of Polymer Science Part A: Polymer Chemistry 2012, 50, 1026–1036. [Google Scholar] [CrossRef]
- Zhou, Q.; Zhao, Y.; Shi, Y.; Zheng, R.; Guo, L. Acidic Metal-Based Functional Ionic Liquids Catalyze the Synthesis of Bio-Based PEF Polyester. Polymers 2023, 16, 103. [Google Scholar] [CrossRef]
- Thiyagarajan, S.; Meijlink, M.A.; Bourdet, A.; Vogelzang, W.; Knoop, R.J.I.; Esposito, A.; Dargent, E.; Van Es, D.S.; Van Haveren, J. Synthesis and Thermal Properties of Bio-Based Copolyesters from the Mixtures of 2,5- and 2,4-Furandicarboxylic Acid with Different Diols. ACS Sustainable Chemistry & Engineering 2019, 7, 18505–18516. [Google Scholar] [CrossRef]
- Wang, B.; Jia, Z.; Meng, L.; Zhang, W.; Sang, L.; Chan, W.; Zhang, Y.; Wang, L.; Qi, M.; Wei, Z. Scale-Up Preparation of Biobased Poly(ethylene furanoate) Biaxial Orientation Films with Enhanced Mechanical and Barrier Properties for Packaging. ACS Sustainable Chemistry & Engineering 2024, 12, 16409–16422. [Google Scholar] [CrossRef]
- Papageorgiou, G.Z.; Nikolaidis, G.N.; Ioannidis, R.O.; Rinis, K.; Papageorgiou, D.G.; Klonos, P.A.; Achilias, D.S.; Kapnisti, M.; Terzopoulou, Z.; Bikiaris, D.N. A Step Forward in Thermoplastic Polyesters: Understanding the Crystallization and Melting of Biobased Poly(ethylene 2,5-furandicarboxylate) (PEF). ACS Sustainable Chemistry & Engineering 2022, 10, 7050–7064. [Google Scholar] [CrossRef]
- Codou, A.; Guigo, N.; Van Berkel, J.; De Jong, E.; Sbirrazzuoli, N. Non-isothermal Crystallization Kinetics of Biobased Poly(ethylene 2,5-furandicarboxylate) Synthesized via the Direct Esterification Process. Macromolecular Chemistry and Physics 2014, 215, 2065–2074. [Google Scholar] [CrossRef]
- Banella, M.B.; Bonucci, J.; Vannini, M.; Marchese, P.; Lorenzetti, C.; Celli, A. Insights into the Synthesis of Poly(ethylene 2,5-Furandicarboxylate) from 2,5-Furandicarboxylic Acid: Steps toward Environmental and Food Safety Excellence in Packaging Applications. Industrial & Engineering Chemistry Research 2019, 58, 8955–8962. [Google Scholar] [CrossRef]
- Wang, B.; Tu, Z.; Zhang, X.; Sang, L.; Chan, W.; Wang, L.; Pu, X.; Ling, F.; Qi, M.; Wei, Z. New advance in biorenewable FDCA-based polyesters: Multiple scale-up from lab bench to pilot plant. Chemical Engineering Journal 2023, 474, 145911. [Google Scholar] [CrossRef]
- Gomes, M.; Gandini, A.; Silvestre, A.J.D.; Reis, B. Synthesis and characterization of poly(2,5-furan dicarboxylate)s based on a variety of diols. Journal of Polymer Science Part A: Polymer Chemistry 2011, 49, 3759–3768. [Google Scholar] [CrossRef]
- Gandini, A.; Coelho, D.; Gomes, M.; Reis, B.; Silvestre, A. Materials from renewable resources based on furan monomers and furan chemistry: work in progress. Journal of Materials Chemistry 2009, 19, 8656. [Google Scholar] [CrossRef]
- Atta, S.; Cohen, J.; Kohn, J.; Gormley, A.J. Ring opening polymerization of ε-caprolactone through water. Polymer Chemistry 2021, 12, 159–164. [Google Scholar] [CrossRef]
- Guy, N.; Giani, O.; Blanquer, S.; Pinaud, J.; Robin, J.-J. Photoinduced ring-opening polymerizations. Progress in Organic Coatings 2021, 153, 106159. [Google Scholar] [CrossRef]
- Liu, Y.; Ou, S.; Wu, J.; Zhao, R.; Hou, R.; Li, X.; Sun, Y.; Li, Y.; Hu, X.; Zhu, N.; et al. Continuous flow ring-opening polymerization and ring-opening metathesis polymerization. European Polymer Journal 2024, 216, 113288. [Google Scholar] [CrossRef]
- Li, J.; Tu, Y.; Lu, H.; Li, X.; Yang, X.; Tu, Y. Rapid synthesis of sustainable poly(ethylene 2,5-furandicarboxylate)-block-poly(tetramethylene oxide) multiblock copolymers with tailor-made properties via a cascade polymerization route. Polymer 2021, 237, 124313. [Google Scholar] [CrossRef]
- Carlos Morales-Huerta, J.; Martínez De Ilarduya, A.; Muñoz-Guerra, S. Poly(alkylene 2,5-furandicarboxylate)s (PEF and PBF) by ring opening polymerization. Polymer 2016, 87, 148–158. [Google Scholar] [CrossRef]
- Samant, K.D.; Ng, K.M. Synthesis of prepolymerization stage in polycondensation processes. AIChE Journal 1999, 45, 1808–1829. [Google Scholar] [CrossRef]
- Terzopoulou, Z.; Karakatsianopoulou, E.; Kasmi, N.; Tsanaktsis, V.; Nikolaidis, N.; Kostoglou, M.; Papageorgiou, G.Z.; Lambropoulou, D.A.; Bikiaris, D.N. Effect of catalyst type on molecular weight increase and coloration of poly(ethylene furanoate) biobased polyester during melt polycondensation. Polymer Chemistry 2017, 8, 6895–6908. [Google Scholar] [CrossRef]
- Cai, Q.; Li, X.; Zhu, W. High Molecular Weight Biodegradable Poly(ethylene glycol) via Carboxyl-Ester Transesterification. Macromolecules 2020, 53, 2177–2186. [Google Scholar] [CrossRef]
- Vogelzang, W.; J. I. Knoop, R.; Van Es, D.S.; Blaauw, R.; Maaskant, E. Biobased high-performance polyesters: Synthesis and thermal properties of poly(isoidide furanoate) and co-polyesters. European Polymer Journal 2023, 200, 112516. [Google Scholar] [CrossRef]
- Wang, J.; Liu, X.; Zhu, J.; Jiang, Y. Copolyesters Based on 2,5-Furandicarboxylic Acid (FDCA): Effect of 2,2,4,4-Tetramethyl-1,3-Cyclobutanediol Units on Their Properties. Polymers 2017, 9, 305. [Google Scholar] [CrossRef]
- Knoop, R.J.I.; Vogelzang, W.; Van Haveren, J.; Van Es, D.S. High molecular weight poly(ethylene-2,5-furanoate); critical aspects in synthesis and mechanical property determination. Journal of Polymer Science Part A: Polymer Chemistry 2013, 51, 4191–4199. [Google Scholar] [CrossRef]
- Papageorgiou, G.Z.; Tsanaktsis, V.; Bikiaris, D.N. Synthesis of poly(ethylene furandicarboxylate) polyester using monomers derived from renewable resources: thermal behavior comparison with PET and PEN. Phys. Chem. Chem. Phys. 2014, 16, 7946–7958. [Google Scholar] [CrossRef] [PubMed]
- Benyathiar, P.; Kumar, P.; Carpenter, G.; Brace, J.; Mishra, D.K. Polyethylene Terephthalate (PET) Bottle-to-Bottle Recycling for the Beverage Industry: A Review. Polymers 2022, 14, 2366. [Google Scholar] [CrossRef]
- Khouri, N.G.; Bahú, J.O.; Blanco-Llamero, C.; Severino, P.; Concha, V.O.C.; Souto, E.B. Polylactic acid (PLA): Properties, synthesis, and biomedical applications – A review of the literature. Journal of Molecular Structure 2024, 1309, 138243. [Google Scholar] [CrossRef]
- Momeni, S.; Craplewe, K.; Safder, M.; Luz, S.; Sauvageau, D.; Elias, A. Accelerating the Biodegradation of Poly(lactic acid) through the Inclusion of Plant Fibers: A Review of Recent Advances. ACS Sustainable Chemistry & Engineering 2023, 11, 15146–15170. [Google Scholar] [CrossRef]
- Lee, K.W.A.; Chan, L.K.W.; Lee, A.W.K.; Lee, C.H.; Wong, S.T.H.; Yi, K.-H. Poly-d,l-lactic Acid (PDLLA) Application in Dermatology: A Literature Review. Polymers 2024, 16, 2583. [Google Scholar] [CrossRef]
- Srisuwan, Y.; Baimark, Y. Mechanical properties and heat resistance of stereocomplex polylactide/copolyester blend films prepared by in situ melt blending followed with compression molding. Heliyon 2018, 4, e01082. [Google Scholar] [CrossRef] [PubMed]
- Senila, L.; Kovacs, E.; Senila, M. A Review of Polylactic Acid (PLA) and Poly(3-hydroxybutyrate) (PHB) as Bio-Sourced Polymers for Membrane Production Applications. Membranes 2025, 15, 210. [Google Scholar] [CrossRef]
- Yu, J.; Xu, S.; Liu, B.; Wang, H.; Qiao, F.; Ren, X.; Wei, Q. PLA bioplastic production: From monomer to the polymer. European Polymer Journal 2023, 193, 112076. [Google Scholar] [CrossRef]
- Pang, K.; Kotek, R.; Tonelli, A. Review of conventional and novel polymerization processes for polyesters. Progress in Polymer Science 2006, 31, 1009–1037. [Google Scholar] [CrossRef]
- Mathew, A.P.; Oksman, K.; Sain, M. Mechanical properties of biodegradable composites from poly lactic acid (PLA) and microcrystalline cellulose (MCC). Journal of Applied Polymer Science 2005, 97, 2014–2025. [Google Scholar] [CrossRef]
- Senila, L.; Gál, E.; Kovacs, E.; Cadar, O.; Dan, M.; Senila, M.; Roman, C. Poly(3-hydroxybutyrate) Production from Lignocellulosic Wastes Using Bacillus megaterium ATCC 14581. Polymers 2023, 15, 4488. [Google Scholar] [CrossRef]
- De França, J.O.C.; Da Silva Valadares, D.; Paiva, M.F.; Dias, S.C.L.; Dias, J.A. Polymers Based on PLA from Synthesis Using D,L-Lactic Acid (or Racemic Lactide) and Some Biomedical Applications: A Short Review. Polymers 2022, 14, 2317. [Google Scholar] [CrossRef]
- Chen, C.-C.; Chueh, J.-Y.; Tseng, H.; Huang, H.-M.; Lee, S.-Y. Preparation and characterization of biodegradable PLA polymeric blends. Biomaterials 2003, 24, 1167–1173. [Google Scholar] [CrossRef]
- Inkinen, S.; Hakkarainen, M.; Albertsson, A.-C.; Södergård, A. From Lactic Acid to Poly(lactic acid) (PLA): Characterization and Analysis of PLA and Its Precursors. Biomacromolecules 2011, 12, 523–532. [Google Scholar] [CrossRef] [PubMed]
- Vink, E.T.H.; Rábago, K.R.; Glassner, D.A.; Gruber, P.R. Applications of life cycle assessment to NatureWorks™ polylactide (PLA) production. Polymer Degradation and Stability 2003, 80, 403–419. [Google Scholar] [CrossRef]
- Kim, K.W.; Woo, S.I. Synthesis of High-Molecular-Weight Poly(L-lactic acid) by Direct Polycondensation. Macromolecular Chemistry and Physics 2002, 203, 2245–2250. [Google Scholar] [CrossRef]
- Shaikh, T.; Kaur, H. Synthesis and characterization of nanosized polylactic acid/TiO2 particle brushes by azeotropic dehydration polycondensation of lactic acid. Journal of Polymer Research 2018, 25. [Google Scholar] [CrossRef]
- Hu, Y.; Daoud, W.; Cheuk, K.; Lin, C. Newly Developed Techniques on Polycondensation, Ring-Opening Polymerization and Polymer Modification: Focus on Poly(Lactic Acid). Materials 2016, 9, 133. [Google Scholar] [CrossRef]
- Gkountela, C.I.; Vouyiouka, S.N. Enzymatic Polymerization as a Green Approach to Synthesizing Bio-Based Polyesters. Macromol 2022, 2, 30–57. [Google Scholar] [CrossRef]
- Gurunathan, T.; Mohanty, S.; Nayak, S.K. A review of the recent developments in biocomposites based on natural fibres and their application perspectives. Composites Part A: Applied Science and Manufacturing 2015, 77, 1–25. [Google Scholar] [CrossRef]
- Zahra, N.; Wardhono, E.Y.; Ni'Mah, H.; Widjaja, T. Impact of Ultrasound-Assisted Dehydration on the Properties of Poly Lactic Acid Produced by Ring-Opening Polymerization. International Journal of Technology 2025, 16, 458. [Google Scholar] [CrossRef]
- Matsumoto, K.I.; Taguchi, S. Enzymatic and whole-cell synthesis of lactate-containing polyesters: toward the complete biological production of polylactate. Applied Microbiology and Biotechnology 2010, 85, 921–932. [Google Scholar] [CrossRef]
- Singhvi, M.S.; Zinjarde, S.S.; Gokhale, D.V. Polylactic acid: synthesis and biomedical applications. Journal of Applied Microbiology 2019, 127, 1612–1626. [Google Scholar] [CrossRef]
- Chanfreau, S.; Mena, M.; Porras-Domínguez, J.R.; Ramírez-Gilly, M.; Gimeno, M.; Roquero, P.; Tecante, A.; Bárzana, E. Enzymatic synthesis of poly-l-lactide and poly-l-lactide-co-glycolide in an ionic liquid. Bioprocess and Biosystems Engineering 2010, 33, 629–638. [Google Scholar] [CrossRef] [PubMed]
- Kumar, R.; Lalnundiki, V.; Shelare, S.D.; Abhishek, G.J.; Sharma, S.; Sharma, D.; Kumar, A.; Abbas, M. An investigation of the environmental implications of bioplastics: Recent advancements on the development of environmentally friendly bioplastics solutions. Environmental research 2024, 244, 117707. [Google Scholar] [CrossRef] [PubMed]
- Blanc, S.; Massaglia, S.; Brun, F.; Peano, C.; Mosso, A.; Giuggioli, N.R. Use of bio-based plastics in the fruit supply chain: An integrated approach to assess environmental, economic, and social sustainability. Sustainability 2019, 11, 2475. [Google Scholar] [CrossRef]
- Atiwesh, G.; Mikhael, A.; Parrish, C.C.; Banoub, J.; Le, T.-A.T. Environmental impact of bioplastic use: A review. Heliyon 2021, 7. [Google Scholar] [CrossRef] [PubMed]
- Khatami, K.; Perez-Zabaleta, M.; Owusu-Agyeman, I.; Cetecioglu, Z. Waste to bioplastics: How close are we to sustainable polyhydroxyalkanoates production? Waste Management 2021, 119, 374–388. [Google Scholar] [CrossRef]
- Kakadellis, S.; Lee, P.-H.; Harris, Z.M. Two birds with one stone: bioplastics and food waste anaerobic co-digestion. Environments 2022, 9, 9. [Google Scholar] [CrossRef]
- Liu, H.; Han, P. Renewable energy development and carbon emissions: The role of electricity exchange. Journal of Cleaner Production 2024, 439, 140807. [Google Scholar] [CrossRef]
- Yadav, K.; Nikalje, G.C. Comprehensive analysis of bioplastics: life cycle assessment, waste management, biodiversity impact, and sustainable mitigation strategies. PeerJ 2024, 12, e18013. [Google Scholar] [CrossRef]
- Benavides, P.T.; Lee, U.; Zarè-Mehrjerdi, O. Life cycle greenhouse gas emissions and energy use of polylactic acid, bio-derived polyethylene, and fossil-derived polyethylene. Journal of Cleaner Production 2020, 277, 124010. [Google Scholar] [CrossRef]
- Van Roijen, E.C.; Miller, S.A. A review of bioplastics at end-of-life: Linking experimental biodegradation studies and life cycle impact assessments. Resources, Conservation and Recycling 2022, 181, 106236. [Google Scholar] [CrossRef]
- Moshood, T.D.; Nawanir, G.; Mahmud, F. Sustainability of biodegradable plastics: a review on social, economic, and environmental factors. Critical Reviews in Biotechnology 2022, 42, 892–912. [Google Scholar] [CrossRef] [PubMed]
- Spierling, S.; Knüpffer, E.; Behnsen, H.; Mudersbach, M.; Krieg, H.; Springer, S.; Albrecht, S.; Herrmann, C.; Endres, H.-J. Bio-based plastics-A review of environmental, social and economic impact assessments. Journal of Cleaner Production 2018, 185, 476–491. [Google Scholar] [CrossRef]
- Symons, J. ENVIRONMENTAL & ECONOMIC IMPLICATIONS OF BIOBASED PACKAGING 2022.
- Moodley, P.; Trois, C. Circular closed-loop waste biorefineries: Organic waste as an innovative feedstock for the production of bioplastic in South Africa. South African Journal of Science 2022, 118. [Google Scholar] [CrossRef]
- Keith, M.; Koller, M.; Lackner, M. Carbon recycling of high value bioplastics: a route to a zero-waste future. Polymers 2024, 16, 1621. [Google Scholar] [CrossRef]























| Pretreatment Methods | Advantages | Disadvantages | Ref. |
|---|---|---|---|
| Acidic | Hydrolyzed hemicellulose sugars alter lignin structure | Corrosion of equipment, formation of degradation products, High cost, neutralization required |
[67] |
| Alkaline | Cause cellulose swelling, disrupt lignin structure, increase surface area, remove lignin and hemicellulose | A long time and a high concentration of base are required for salt formation, which is not easily removed |
[68] |
| Oxidative | Oxidize lignin, low inhibitors formation, decrease cellulose crystallinity | Soluble aromatic compounds formation due to the oxidation of lignin |
[69] |
| Ozonolysis | Eco-friendly, no waste generation, mild operating conditions | Expensive, a large amount of ozone is required |
[69] |
| Organosolv | Sulfur-free lignin yield, easily recovered by distillation | An extremely controlled environment is required. Solvent acts as an inhibitor |
[70] |
| Ionic Liquid | High efficiency, disrupts cellulose structure, environmentally friendly | High cost, lignin condensation, recovery challenge |
[71] |
| Steam Explosion | Low chemical usage, effectively hydrolyzed hemicellulose, and cost-effective | Inhibitor formation at high temperature, no lignin removal |
[72] |
| Liquid Hot Water | Environment-friendly, high pentose recovery, minimal corrosion | Inhibitor formation at high temperature |
[73] |
| AFEX | Increase accessible area, avoid inhibitor production | Not efficient with high lignin biomass, High cost of ammonia |
[74] |
| Ultrasound | Disrupt lignin-cellulose-hemicellulose matrix, reduced reaction time, and no inhibitor production | High Energy consumption, scalability challenge |
[75] |
| Mechanical | Decrease cellulose crystallinity | High power consumption, Difficult to scaling up. | [76] |
| Biological | Low energy required, degrade hemicellulose and lignin | Hydrolysis rate is slow |
[67] |
| Catalyst | Reaction Condition | Base | FDCA Yield % | HMF Con. % |
Ref. |
|---|---|---|---|---|---|
| α-MnO2-H+ | 20 bar O2, 120°C, 8 h | NaHCO3 | 98.5 d | 99.9 | [88] |
| nanorods (MnO2-R) | 5 bar O2, 110°C, 12 h | NaHCO3 | 96.7 d | 100 | [84] |
| 2 D Mn2O3 nanoflakes | 14 bar O2, 110°C, 24 h | NaHCO3 | 99.5 d | 100 | [86] |
| La-MnO2 | 5 bar O2, 140°C, 4 h | NH4OH | 95.4 d | 100 | [89] |
| Mn6Ce1Ox | 10 bar O2, 120°C, 8 h | KHCO3 | 97.2 d | 99.4 | [90] |
| Co@NC-a | 2 bar O2, 65°C, 16 h | Na2CO3 | 73.1 f | 100 | [91] |
| Co-NC | 6 bar O2, 130°C, 20 h | K2CO3 | 98 a d | 99.9 | [92] |
| Co(II)–meso-tetra(4-pyridyl)-porphyrin | t-BuOOH, 100°C, 24 h | Free | 60.3 e | 95.6 | [93] |
| Co@KIT-6 | 1 bar Air, 130°C, 20 h | Free | 99 d | 100 | [94] |
| hexagon MnCo2O4 | 10 bar O2, 130°C, 20 h | KHCO3 | 70.9 d | 99.5 | [95] |
| CoMn-NC | t-BuOOH, 80°C, 12 h | Free MeCN b |
95 e | 99 | [96] |
| Mn-Co | 20 bar Air, 130°C, 8 h | NaHCO3 | 98.7 d | 100 | [97] |
| Co-Mn-0.25 | 10 bar O2, 120°C, 5 h | NaHCO3 | 95 d | 99 | [98] |
| Co/Mn/Br | 30 bar (molar CO2/O2 = 1), 100°C, 24 h |
Free CH3COOH c |
90 e | 99 |
[99] |
| Li2CoMn3O8 | 55 bar O2, 130°C, 8 h | Free CH3COOH c | 80 d | 100 | [100] |
| C-Fe3O4-Pd | 30 mL/min O2, 80°C, 4 h |
K2CO3 | 91.8 d | 98.2 | [101] |
| Pt@Fe1.7Cr0.3O3 | 1 bar O2, 120°C, 12 h | Free | 78.7 d | 100 | [102] |
| FeP-Co_0.2/NC | 10 bar O2, 150°C, 24 h | Na2CO3 | 91.6 d | 100 | [103] |
| CoxFey@NC | 5 bar O2, 100°C, 7 h | NaHCO3 | 91.1 d | 100 | [104] |
| MIL-100(Fe) | BuOOH, 100°C, 24 h | Free TEMPO d |
74 e | 100 | [105] |
| Fe0.6Zr0.4O2 | 20 bar O2, 160°C, 24 h | Free [Bmim]Cl b | 60.6 d | 99.7 | [106] |
| SBA-NH2-VO2+ | O2 rate of 20 mL/min, 110°C, 12 h |
Free 4-chlorotoluene b |
62.7 d | 98.8 | [107] |
| K-10 clay-Mo | O2 rate of 20 mL/min, 110°C, 12 h |
Free Toluene b |
100 d | 86.9 | [108] |
| γ-Fe2O3@HAP-Mo | O2 rate of 20 mL/min, 110°C, 12 h |
Free Trifluorotoluene b |
30.8 d | 67.5 | [109] |
| Mo8O26 | H2O2, 100°C, 2 h | NaOH | 100 a d | 99.5 | [110] |
| Ni foam modified (NixB) | 30 min | KOH | 98.5 f | 100 | [111] |
| Ni₃S₂-MoS₂/NF | 2 h | KOH | 97 f | 100 | [112] |
| Au/TiO2 | VIS-LED, 40°C, 2h | NaOH | 97 g | 100 | [113] |
| CoPz–g-C₃N₄ | UV, RT. air flow at 20 mL, 14 h | pH = 9.18 | 96.1 g | 99.6 | [114] |
| Polymer | Diol | Properties | Usage | Ref |
|---|---|---|---|---|
| PEF | Ethylene glycol | - Superior gas (O₂, CO₂, H₂O) barrier properties vs. PET, - Higher glass transition temperature (Tg), good mechanical strength, fully recyclable, 100% bio-based when using bio-MEG. |
Food and beverage packaging (soft drinks, water bottles, beer, juices), films for fiber-based textiles, and flexible packaging. | [164] |
| PPF | Propylene glycol (1,3-propanediol) | Higher polarity and lower Tg than PEF, good gas barrier properties, can be amorphous, can be blended or cross-linked to form degradable networks. | This material shows strong potential for use in bio-based packaging. When cross-linked with suitable agents, it can also be adapted for biological applications, including as tissue-engineering scaffolds and drug-delivery devices. | [165] |
| PTF | 2,2,4,4-tetramethyl-1,3-cyclobutanediol (CBDO) | Amorphous, high transparency, high Tg (up to ~120°C in some blends), good heat resistance, and high impact resistance. | High-performance engineering plastics, potentially as a BPA-free alternative to polycarbonate in durable household items and baby bottles. | [166] |
| PBF | 1,4-butanediol (BDO) | It exhibits good crystallization behavior, a relatively high melting temperature, excellent gas barrier performance, and can be readily electrospun into fibrous mats. | Packaging materials, as a blend component to improve foam morphology in bead foams, and in biomedical applications like drug delivery mats, due to biocompatibility. | [167] |
| PCHDMF | 1,4-cyclohexanedimethanol (CHDM) | Higher Tg and enhanced barrier properties when used as a comonomer in FDCA-based polyesters (e.g., in PBCF-68, which has a Tg of 69°C), improved stiffness | Potential for use in high-performance, bio-based engineering plastics and improved packaging materials | [168] |
| PEIF | Ethylene glycol and Isosorbide | Inclusion of rigid diols like isosorbide leads to increased stiffness, higher Tg, and better barrier properties compared to linear diols, while maintaining bio-based content | Enhanced performance of bio-based packaging materials requiring higher thermal resistance and stiffness. | [169] |
| Aspect | 1- Direct Esterification (DE) [164,170] | 2-Transesterification (TE) [171,180] | 3-Solution Polymerization (SP) [172] | 4-Ring Opening Polymerization (ROP) [173] |
|---|---|---|---|---|
| Monomers | 2,5-Furandicarboxylic acid (FDCA) + Mono ethylene glycol (MEG) | Dimethyl 2,5-furandicarboxylate (DMFD) +Mono ethylene glycol (MEG) | FDCC + MEG (in solvent medium) | Cyclic oligomers of PEF (e.g., cyclic ester or cyclic oligomer of FDCA & MEG) |
| Reaction Type | Direct condensation between carboxylic acid and alcohol | Ester exchange (methanol replaced by ethylene glycol) | Polycondensation is carried out in a solvent | Polymerization of cyclic monomers via ring opening |
| Catalysts | Metal oxides (e.g., Sb₂O₃, Ti(OBu)₄, GeO₂, Zn(OAc)₂) | Metal acetates (Mn, Co, Zn) + Ti(OBu)₄ | Similar to DE/TE catalysts, may use organic catalysts | Tin octoate (Sn(Oct)₂), organometallic catalysts, or enzymes |
| Reaction Conditions | 165-240°C, under vacuum or inert gas | 180-220°C, stepwise removal of methanol | 100-200°C depending on solvent; moderate pressure | 150-200°C; often in bulk or solvent-free |
| By-products | Water (H₂O) | Methanol (CH₃OH) | Water or methanol (depends on monomer) | None (ideal step-growth ROP) |
| Advantages | - Direct use of bio-based FDCA - Environmentally friendly (no methanol) - High purity product possible |
- Easier control of reaction - High reactivity of DMFD - Lower risk of side reactions |
- Good molecular weight control - Easy to incorporate additives - Moderate temperature |
- Solvent-free and energy efficient - High molecular weight polymer - Narrow molecular weight distribution |
| Drawbacks | - Poor solubility of FDCA in MEG - High reaction temperature required - Difficult water removal |
- DMFD preparation adds cost - Methanol by product handling - Possible color formation (discoloration) |
- Solvent recovery needed - Lower productivity - Possible chain degradation in solvent |
- Requires cyclic monomer synthesis step - Expensive catalyst - Limited scalability |
| Molecular Weight | Moderate to high | Moderate to high | Moderate | High |
| Polymer Quality | High clarity, good color if well-controlled | Often slight yellowing, good mechanical properties | Good control, but may contain solvent residues | Excellent control, high molecular weight, narrow distribution |
| Method | Process Description | Catalyst(s) | Molecular Weight | Advantages | Disadvantages | Ref |
|---|---|---|---|---|---|---|
| Direct Polycondensation | Lactic acid monomers are condensed directly, releasing water as a byproduct. | SnO, ZnO, Ti(OBu)₄ | Low | Simple and low-cost process | Reaction equilibrium limits MW: water removal is difficult | [215] |
| Azeotropic Dehydration Polycondensation | Lactic acid polymerized under azeotropic conditions with continuous removal of water using solvents. | SnCl₂, Zn(Ac)₂, Ti-based catalysts |
Low to Medium | Efficient water removal; improved polymer quality over direct condensation | Solvent use increases cost and purification steps | [216] |
| Ring-Opening Polymerization (ROP) | High-MW PLA is produced by first converting lactic acid to lactide (cyclic dimer), which then goes through ring-opening polymerization. | Sn(Oct)₂, Al(O-iPr)₃, Zinc lactate | High | Produces high-MW, high-purity PLA; most common industrial method | Requires multi-step process and catalyst removal | [217] |
| Enzymatic Polymerization | Enzymes catalyze the polymerization of lactic acid or lactide under mild, eco-friendly conditions. | Lipases (e.g., Candida antarctica lipase B), Proteinase K | Medium | Green process; no toxic catalysts | Slow reaction rate; limited scalability | [218] |
Disclaimer/Publisher’s Note: The statements, opinions and data contained in all publications are solely those of the individual author(s) and contributor(s) and not of MDPI and/or the editor(s). MDPI and/or the editor(s) disclaim responsibility for any injury to people or property resulting from any ideas, methods, instructions or products referred to in the content. |
© 2026 by the authors. Licensee MDPI, Basel, Switzerland. This article is an open access article distributed under the terms and conditions of the Creative Commons Attribution (CC BY) license (http://creativecommons.org/licenses/by/4.0/).
