Submitted:
16 January 2026
Posted:
19 January 2026
You are already at the latest version
Abstract
Keywords:
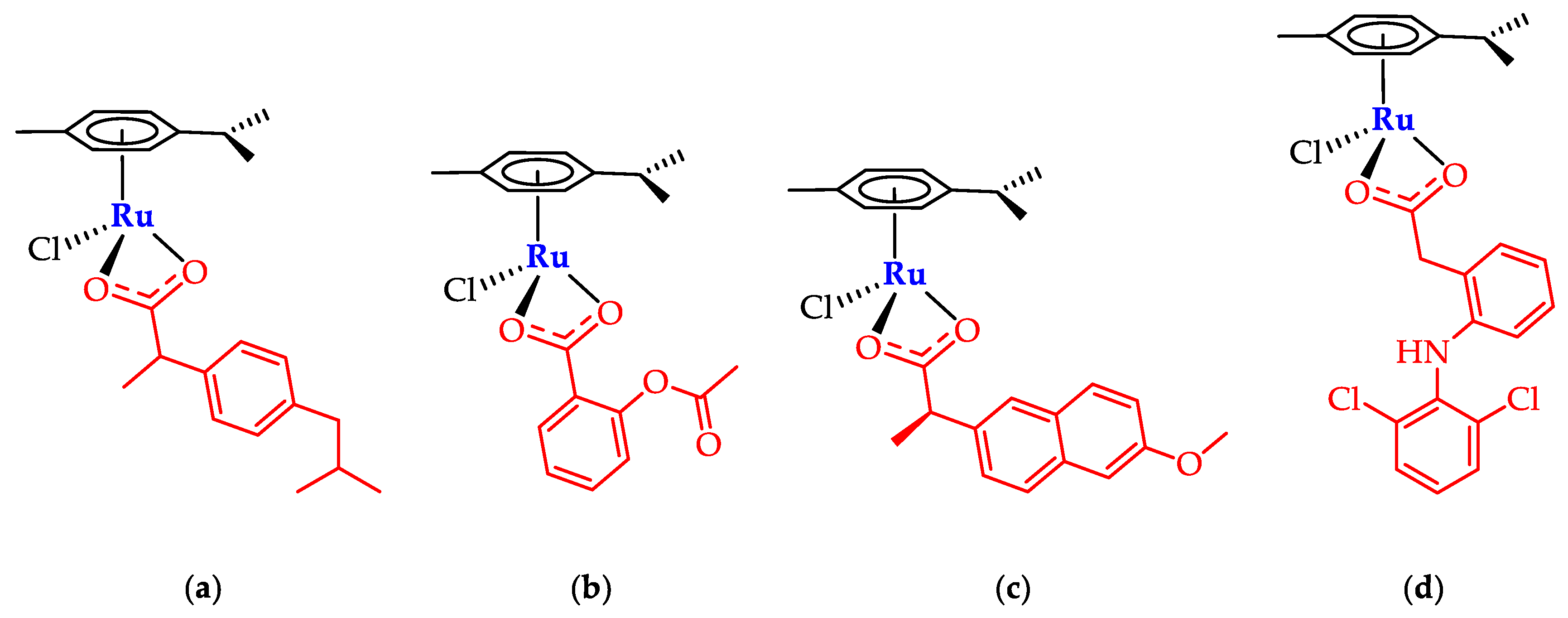
1. Introduction


2. Results and Discussion
2.1. Infrared Spectroscopy

2.2. NMR Spectra of the Prepared Complexes
2.3. ESI-MS and UV Spectra
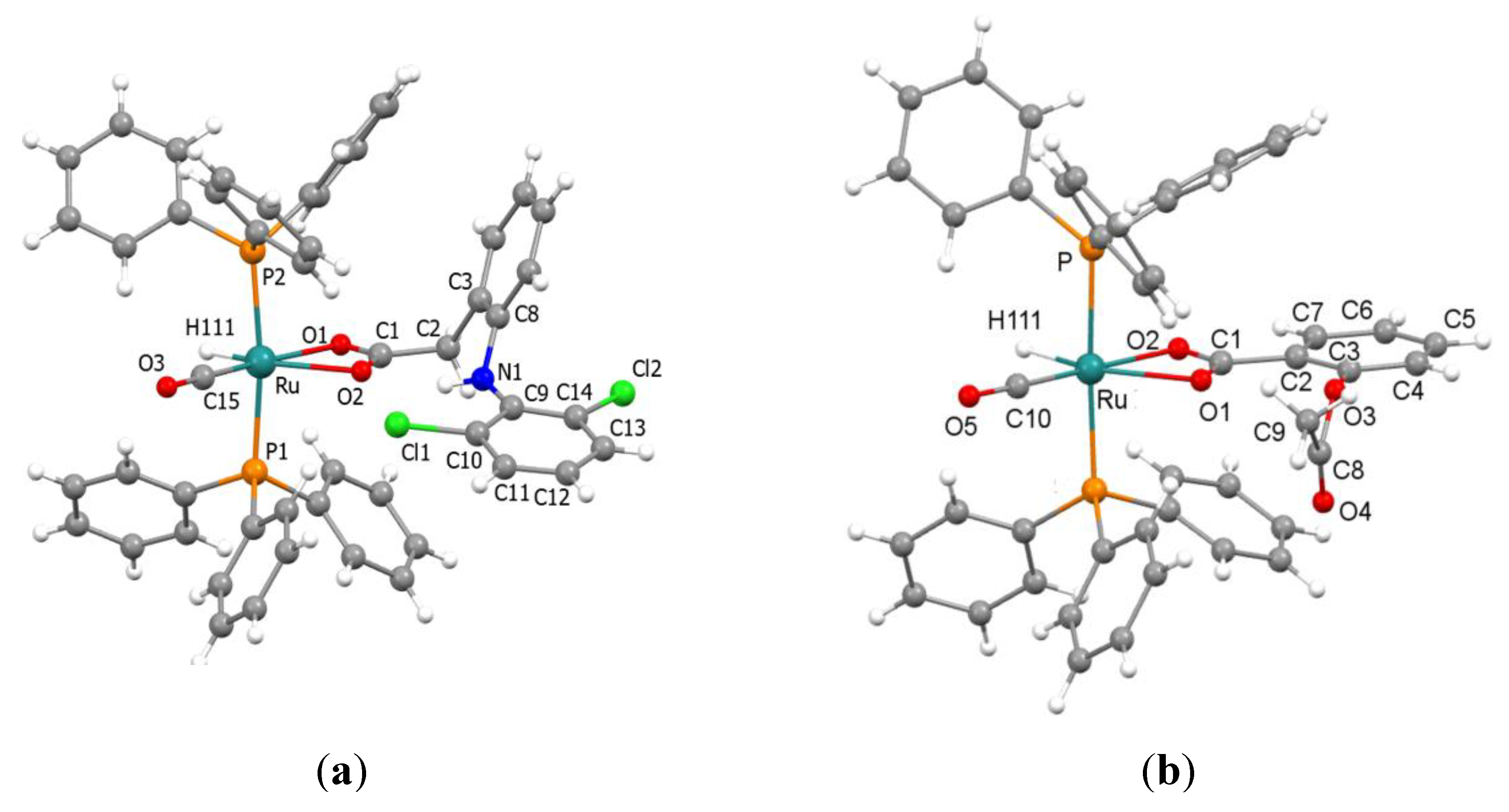
2.4. Description of the X-Ray Crystal Structures of 4 and 5

2.5. Stability in Aqueous Solution of 2
2.6. Antiproliferative Activity of 2 and 6
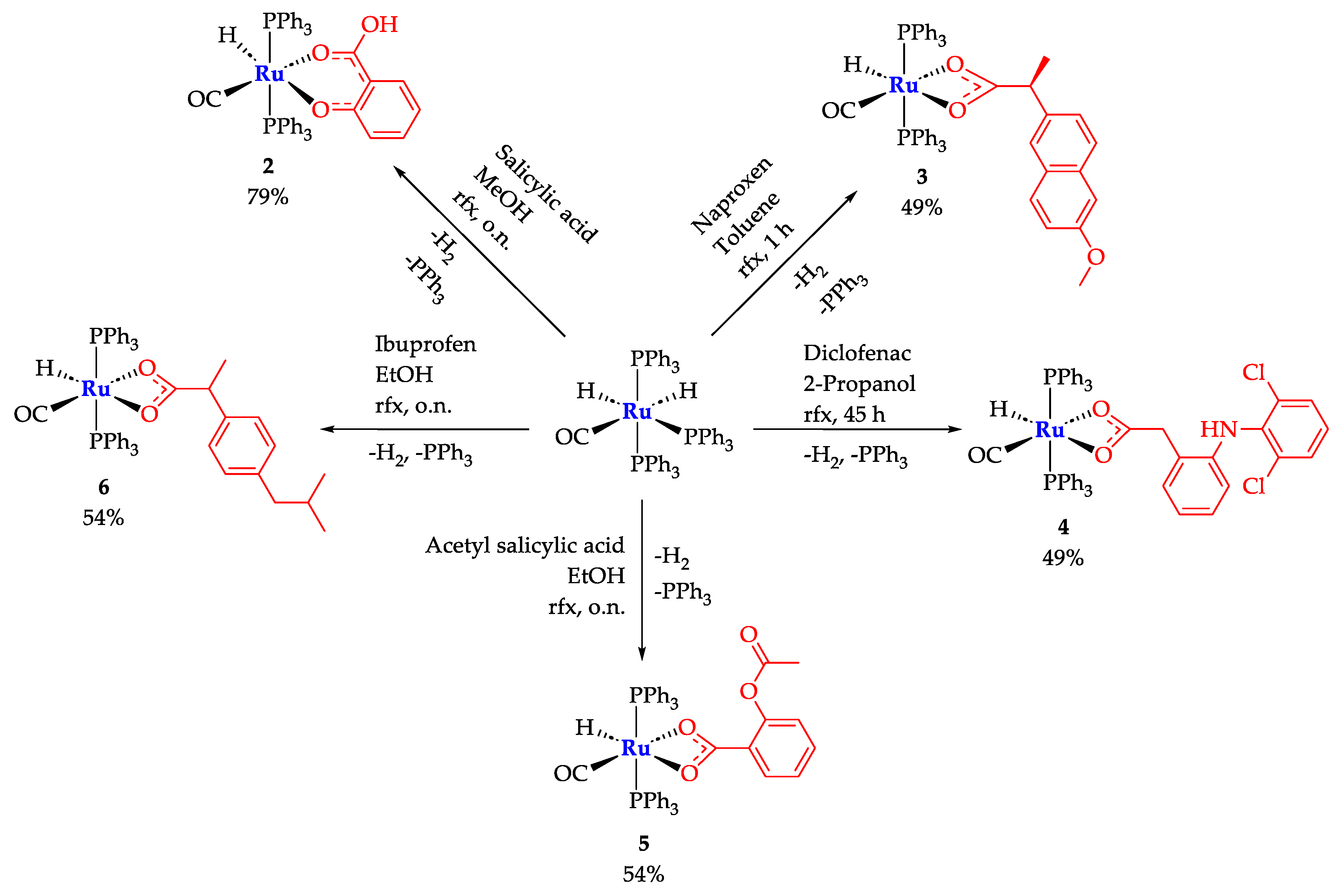
3. Materials and Methods
3.1. General
3.2. Synthesis of Ru-Salicylic Acid Complex 2
3.3. Synthesis of Ru-Naproxen Complex 3
3.4. Synthesis of Ru-Diclofenac Complex 4
3.5. Synthesis of Ru-Acetyl Salicylic Acid Complex 5
3.6. Synthesis of Ru-Ibuprofen Complex 6
3.7. X-Ray Crystallography
3.8. MTT Assay
4. Conclusions
Supplementary Materials
Author Contributions
Funding
Institutional Review Board Statement
Informed Consent Statement
Data Availability Statement
Acknowledgments
Conflicts of Interest
References
- Han Ang, W.; Dyson, P. J. Classical and Non-Classical Ruthenium-Based Anticancer Drugs: Towards Targeted Chemotherapy. European Journal of Inorganic Chemistry 2006, 2006(20), 4003–4018. [Google Scholar] [CrossRef]
- Bratsos, I.; Jedner, S.; Gianferrara, T.; Alessio, E. Ruthenium Anticancer Compounds: Challenges and Expectations. Chimia 2007, 61(11), 692. [Google Scholar] [CrossRef]
- Kavukcu, S. B.; Özverel, C. S.; Kıyak, N.; Vatansever, H. S.; Türkmen, H. Ruthenium Compounds: Are They the next-Era Anticancer Agents? Applied Organometallic Chemistry 2024, 38(3), e7363. [Google Scholar] [CrossRef]
- Lee, S. Y.; Kim, C. Y.; Nam, T.-G. Ruthenium Complexes as Anticancer Agents: A Brief History and Perspectives. DDDT 2020, 14, 5375–5392. [Google Scholar] [CrossRef]
- Coverdale, J. P. C.; Laroiya-McCarron, T.; Romero-Canelón, I. Designing Ruthenium Anticancer Drugs: What Have We Learnt from the Key Drug Candidates? Inorganics 2019, 7(3), 31. [Google Scholar] [CrossRef]
- Zeng, L.; Gupta, P.; Chen, Y.; Wang, E.; Ji, L.; Chao, H.; Chen, Z.-S. The Development of Anticancer Ruthenium(II) Complexes: From Single Molecule Compounds to Nanomaterials. Chem Soc Rev 2017, 46(19), 5771–5804. [Google Scholar] [CrossRef]
- Tang, X.; Liang, X. Metal-Mediated Targeting in the Body. Chemical Biology & Drug Design 2013, 81(3), 311–322. [Google Scholar] [CrossRef]
- Ali, N. W.; Gamal, M.; Abdelkawy, M. Simultaneous Determination of Hyoscine N-Butyl Bromide and Paracetamol in Their Binary Mixture by RP-HPLC Method. Arabian Journal of Chemistry 2017, 10, S1868–S1874. [Google Scholar] [CrossRef]
- Starek, M.; Krzek, J. A Review of Analytical Techniques for Determination of Oxicams, Nimesulide and Nabumetone. Talanta 2009, 77(3), 925–942. [Google Scholar] [CrossRef]
- Banti, C. N.; Hadjikakou, S. K. Non-Steroidal Anti-Inflammatory Drugs (NSAIDs) in Metal Complexes and Their Effect at the Cellular Level. European Journal of Inorganic Chemistry 2016, 2016(19), 3048–3071. [Google Scholar] [CrossRef]
- Cuzick, J.; Otto, F.; Baron, J. A.; Brown, P. H.; Burn, J.; Greenwald, P.; Jankowski, J.; Vecchia, C. L.; Meyskens, F.; Senn, H. J.; Thun, M. Aspirin and Non-Steroidal Anti-Inflammatory Drugs for Cancer Prevention: An International Consensus Statement. The Lancet Oncology 2009, 10(5), 501–507. [Google Scholar] [CrossRef]
- Czapski, G. A.; Czubowicz, K.; Strosznajder, J. B.; Strosznajder, R. P. The Lipoxygenases: Their Regulation and Implication in Alzheimer’s Disease. Neurochem Res 2016, 41(1), 243–257. [Google Scholar] [CrossRef] [PubMed]
- Kostova, I. Rational Design of Metal-Based Pharmacologically Active Compounds. Inorganics 2024, 12(12), 335. [Google Scholar] [CrossRef]
- Lucaciu Stan, R.; Hangan, A.; Sevastre, B.; Oprean, L. Metallo-Drugs in Cancer Therapy: Past, Present and Future. Molecules 2022, 27, 6485. [Google Scholar] [CrossRef]
- Martling, A.; Hed Myrberg, I.; Nilbert, M.; Grönberg, H.; Granath, F.; Eklund, M.; Öresland, T.; Iversen, L. H.; Haapamäki, C.; Janson, M.; Westberg, K.; Segelman, J.; Ersson, U.; Prytz, M.; Angenete, E.; Bergström, R.; Mayrhofer, M.; Glimelius, B.; Lindberg, J. Low-Dose Aspirin for PI3K-Altered Localized Colorectal Cancer. N Engl J Med 2025, 393(11), 1051–1064. [Google Scholar] [CrossRef]
- Oliveira, K. M.; Honorato, J.; Gonçalves, G. R.; Cominetti, M. R.; Batista, A. A.; Correa, R. S. Ru(II)/Diclofenac-Based Complexes: DNA, BSA Interaction and Their Anticancer Evaluation against Lung and Breast Tumor Cells. Dalton Trans. 2020, 49(36), 12643–12652. [Google Scholar] [CrossRef]
- Aman, F.; Hanif, M.; Siddiqui, W. A.; Ashraf, A.; Filak, L. K.; Reynisson, J.; Söhnel, T.; Jamieson, S. M. F.; Hartinger, C. G. Anticancer Ruthenium(η6 - p -Cymene) Complexes of Nonsteroidal Anti-Inflammatory Drug Derivatives. Organometallics 2014, 33(19), 5546–5553. [Google Scholar] [CrossRef]
- Ahmad Khan, R.; Al-Lohedan, H. A.; Abul Farah, M.; Sajid Ali, M.; Alsalme, A.; Mashay Al-Anazi, K.; Tabassum, S. Evaluation of (ɳ6 - p- Cymene) Ruthenium Diclofenac Complex as Anticancer Chemotherapeutic Agent: Interaction with Biomolecules, Cytotoxicity Assays. Journal of Biomolecular Structure and Dynamics 2019, 37(15), 3905–3913. [Google Scholar] [CrossRef] [PubMed]
- Srivastava, P.; Mishra, R.; Verma, M.; Sivakumar, S.; Patra, A. K. Cytotoxic Ruthenium(II) Polypyridyl Complexes with Naproxen as NSAID: Synthesis, Biological Interactions and Antioxidant Activity. Polyhedron 2019, 172, 132–140. [Google Scholar] [CrossRef]
- Mandal, P.; Kundu, B. K.; Vyas, K.; Sabu, V.; Helen, A.; Dhankhar, S. S.; Nagaraja, C. M.; Bhattacherjee, D.; Bhabak, K. P.; Mukhopadhyay, S. Ruthenium( II ) Arene NSAID Complexes: Inhibition of Cyclooxygenase and Antiproliferative Activity against Cancer Cell Lines. Dalton Trans. 2018, 47(2), 517–527. [Google Scholar] [CrossRef]
- Benadiba, M.; De M. Costa, I.; Santos, R. L. S. R.; Serachi, F. O.; De Oliveira Silva, D.; Colquhoun, A. Growth Inhibitory Effects of the Diruthenium-Ibuprofen Compound, [Ru2Cl(Ibp)4], in Human Glioma Cells in Vitro and in the Rat C6 Orthotopic Glioma in Vivo. J Biol Inorg Chem 2014, 19(6), 1025–1035. [Google Scholar] [CrossRef] [PubMed]
- Sumithaa, C.; Ganeshpandian, M. Half-Sandwich Ruthenium Arene Complexes Bearing Clinically Approved Drugs as Ligands: The Importance of Metal–Drug Synergism in Metallodrug Design. Mol. Pharmaceutics 2023, 20(3), 1453–1479. [Google Scholar] [CrossRef]
- Golbaghi, G.; Castonguay, A. Rationally Designed Ruthenium Complexes for Breast Cancer Therapy. Molecules 2020, 25(2), 265. [Google Scholar] [CrossRef]
- Graminha, A. E.; Popolin, C.; Honorato de Araujo-Neto, J.; Correa, R. S.; de Oliveira, K. M.; Godoy, L. R.; Vegas, L. C.; Ellena, J.; Batista, A. A.; Cominetti, M. R. New Ruthenium Complexes Containing Salicylic Acid and Derivatives Induce Triple-Negative Tumor Cell Death via the Intrinsic Apoptotic Pathway. European Journal of Medicinal Chemistry 2022, 243, 114772. [Google Scholar] [CrossRef] [PubMed]
- Campideli, V. C.; Montilla-Suárez, J. M.; Silva, T. A.; Sicupira, D. C.; Oliveira, K. M.; Correa, R. S. Exploring DNA-Interaction and Molecular Structure of Ruthenium/1,2-Bis-(Diphenylphosphino)Ethane)-Based Complex. European Journal of Chemistry 2023, 14(2), 193–201. [Google Scholar] [CrossRef]
- Teixeira, T.; Palmeira-Mello, M. V.; Machado, P. H.; Moraes, C. A. F.; Pinto, C.; Costa, R. C.; Badaró, W.; Gomes Neto, J. A.; Ellena, J.; Vieira Rocha, F.; Batista, A. A.; Correa, R. S. Ru(II)-Fenamic-Based Complexes as Promising Human Ovarian Antitumor Agents: DNA Interaction, Cellular Uptake, and Three-Dimensional Spheroid Models. Inorg. Chem. 2025, 64(8), 3707–3718. [Google Scholar] [CrossRef]
- Dong-Ling, K.; Ka-Kit, L.; Lai-Hon, C.; Jun, H.; Chun-Yuen, W. Overview of Some Second- and Third-Row Late Transition Metal Pincer-Type N-Heterocyclic Carbene Complexes: Synthesis, Optical Properties, and Applications . Available online: https://www.mdpi.com/1420-3049/30/12/2640 (accessed on 2025-12-05).
- Amaya-Flórez, A.; R.-Galindo, J.; Sanchez-Yocue, E.; Ruiz-Martinez, A.; Serrano-García, J. S.; Romo-Pérez, A.; Cano-Sanchez, P.; Reyes-Marquez, V.; Lagadec, R. L.; Morales-Morales, D. Cyclometalated Complexes: Promising Metallodrugs in the Battle against Cancer. RSC Med. Chem. 2025, 16(11), 5125–5195. [Google Scholar] [CrossRef]
- Tabrizi, L.; Olasunkanmi, L. O.; Fadare, O. A. Experimental and Theoretical Investigations of Cyclometalated Ruthenium( II ) Complex Containing CCC-Pincer and Anti-Inflammatory Drugs as Ligands: Synthesis, Characterization, Inhibition of Cyclooxygenase and in Vitro Cytotoxicity Activities in Various Cancer Cell Lines. Dalton Trans. 2019, 48(2), 728–740. [Google Scholar] [CrossRef]
- Correa, R. S.; De Oliveira, K. M.; Delolo, F. G.; Alvarez, A.; Mocelo, R.; Plutin, A. M.; Cominetti, M. R.; Castellano, E. E.; Batista, A. A. Ru(II)-Based Complexes with N-(Acyl)-N′,N′-(Disubstituted)Thiourea Ligands: Synthesis, Characterization, BSA- and DNA-Binding Studies of New Cytotoxic Agents against Lung and Prostate Tumour Cells. Journal of Inorganic Biochemistry 2015, 150, 63–71. [Google Scholar] [CrossRef]
- Hey, D. A.; Sauer, M. J.; Fischer, P. J.; Esslinger, E.-M. H. J.; Kühn, F. E.; Baratta, W. Acetate Acetylacetonate Ampy Ruthenium(II) Complexes as Efficient Catalysts for Ketone Transfer Hydrogenation. ChemCatChem 2020, 12(13), 3537–3544. [Google Scholar] [CrossRef]
- Pearson, R. G. Antisymbiosis and the. Inorg. Chem. 1973, 12(3), 712–713. [Google Scholar] [CrossRef]
- Tadić, A.; Poljarević, J.; Krstić, M.; Kajzerberger, M.; Aranđelović, S.; Radulović, S.; Kakoulidou, C.; Papadopoulos, A. N.; Psomas, G.; Grgurić-Šipka, S. Ruthenium–Arene Complexes with NSAIDs: Synthesis, Characterization and Bioactivity. New J. Chem. 2018, 42(4), 3001–3019. [Google Scholar] [CrossRef]
- Chen, J.; Zhang, Y.; Jie, X.; She, J.; Dongye, G.; Zhong, Y.; Deng, Y.; Wang, J.; Guo, B.; Chen, L. Ruthenium(II) Salicylate Complexes Inducing ROS-Mediated Apoptosis by Targeting Thioredoxin Reductase. Journal of Inorganic Biochemistry 2019, 193, 112–123. [Google Scholar] [CrossRef]
- APEX3 Software Package V2019. Bruker AXS Inc.: Madison, WI, 2019.
- Bruker SAINT, v8.40A: Part of the APEX3 Software Package V2019. Bruker AXS Inc.: Madison, WI, 2019.
- Bruker SADABS V2016/2: Part of the APEX3 Software Package V2019. Bruker AXS Inc.: Madison, WI, 2019.
- Sheldrick, G. SHELXT – Integrated Space-Group and Crystal-Structure Determination. Acta Crystallographica Section A 2015, 71, 3–8. [Google Scholar] [CrossRef]
- Sheldrick, G. M. Crystal Structure Refinement with SHELXL. Acta Cryst C 2015, 71(1), 3–8. [Google Scholar] [CrossRef] [PubMed]
- Macrae, C. F.; Sovago, I.; Cottrell, S. J.; Galek, P. T. A.; McCabe, P.; Pidcock, E.; Platings, M.; Shields, G. P.; Stevens, J. S.; Towler, M.; Wood, P. A. Mercury 4.0: From Visualization to Analysis, Design and Prediction. J Appl Cryst 2020, 53(1), 226–235. [Google Scholar] [CrossRef] [PubMed]
- Calonghi, N.; Farruggia, G.; Boga, C.; Micheletti, G.; Fini, E.; Romani, L.; Telese, D.; Faraci, E.; Bergamini, C.; Cerini, S.; Rizzardi, N. Root Extracts of Two Cultivars of Paeonia Species: Lipid Composition and Biological Effects on Different Cell Lines: Preliminary Results. Molecules 2021, 26(3), 655. [Google Scholar] [CrossRef]
- Wang, X.; Guo, C.; Shao, J.; Zou, X.; Xing, S.; Xu, C. L.; Zhao, Q.; Wu, Y.; Sun, C.; Chen, Y.; Sun, H. Small Molecule-Drug Conjugates: An Emerging Drug Design Strategy for Targeted Therapeutics. J. Med. Chem. 2025, 68(23), 24759–24784. [Google Scholar] [CrossRef] [PubMed]
- Lerchen, H.-G.; Stelte-Ludwig, B.; Kopitz, C.; Heroult, M.; Zubov, D.; Willuda, J.; Schlange, T.; Kahnert, A.; Wong, H.; Izumi, R.; Hamdy, A. A Small Molecule–Drug Conjugate (SMDC) Consisting of a Modified Camptothecin Payload Linked to an αVß3 Binder for the Treatment of Multiple Cancer Types. Cancers 2022, 14(2), 391. [Google Scholar] [CrossRef]
- Meng, F.; Qi, T.; Liu, X.; Wang, Y.; Yu, J.; Lu, Z.; Cai, X.; Li, A.; Duan, J. 20P The Essential Role of DNA Repair in the Pharmacological Activities of AST-3424. Annals of Oncology 2023, 34, S193. [Google Scholar] [CrossRef]

| Entry | Name | Formula | ν (CH)ar | ν (Ru-H) | ν (C≡O) | ν (COO) |
|---|---|---|---|---|---|---|
| 2 | Ru-Salicylic acid | [RuH(CO)(PPh3)2(Sal)] | 3053, vw | 2001, w | 1927, s | asym 1533, w; sym 1332, w |
| 3 | Ru-Naproxen | [RuH(CO)(PPh3)2(Nap)] | 3055, w | Overlapped | 1923, s | asym 1634, w; sym 1526, m |
| 4 | Ru-Diclofenac | [RuH(CO)(PPh3)2(Dicl)] | 3053, vw | 2078, w | 1915, s | asym 1557, m; sym 1455, m |
| 5 | Ru-Acetylsalicylic acid | [RuH(CO)(PPh3)2(MeOSal)] | 3056, vw | 2011, w | 1909, s | asym 1571, w; sym 1465, m |
| 6 | Ru-Ibuprofen | [RuH(CO)(PPh3)2(Ibu)] | 3056, w | 1995, w | 1924, s | asym 1521, m; sym 1458, m |
| Entry | Name | Color | Yield | NMR | UV-Vis | ||
|---|---|---|---|---|---|---|---|
| 1H - RuH | 31P{1H} – PPh3 | 13C{1H} – Ru(CO) | λmax | ||||
| 2 | Ru-Salicylic acid | Grey | 79 | -16.91 | 43.09 | 205.09 | 261 |
| 3 | Ru-Naproxen | Red | 49 | -16.45 | 43.29 | 205.54 | 260 |
| 4 | Ru-Diclofenac | Grey | 49 | -16.62 | 44.55 | 205.36 | 275 |
| 5 | Ru-Acetylsalicylic acid | Grey | 54 | -16.32 | 44.58 | 205.48 | 274 |
| 6 | Ru-Ibuprofen | White | 53 | -16.44 | 43.30 | 205.59 | 259 |
Disclaimer/Publisher’s Note: The statements, opinions and data contained in all publications are solely those of the individual author(s) and contributor(s) and not of MDPI and/or the editor(s). MDPI and/or the editor(s) disclaim responsibility for any injury to people or property resulting from any ideas, methods, instructions or products referred to in the content. |
© 2026 by the authors. Licensee MDPI, Basel, Switzerland. This article is an open access article distributed under the terms and conditions of the Creative Commons Attribution (CC BY) license (http://creativecommons.org/licenses/by/4.0/).
