Submitted:
16 January 2026
Posted:
19 January 2026
You are already at the latest version
Abstract
Keywords:
1. Introduction
2. Botany
3. Traditional Uses
3.1. Medicinal Purpose
3.2. Culinary Uses
4. Phytochemistry
4.1. N-Alkylamides

| Compound | Formula | Part | Extraction | Identification | Remark | Ref. |
|---|---|---|---|---|---|---|
| Alkylamide | ||||||
| (2Z)-N-isobutyl-2-nonene-6,8-diynamide (1) | C13H17NO | F | MeOH ex. | HPLC, ESI-IT-TOF-MS, NMR | 20 mg | [48] |
| (2E)-N-isobutyl-2-decamonoenamide (2) | C14H27NO | AP, R | 80% EtOH ex., sonication | HPLC-DAD-ESI-MS | From in vitro seedlings | [41,49] |
| (2E,7Z)-N-isobutyl-2,7-decadienamide (3) | C14H25NO | AP | 80% EtOH ex., sonication | HPLC-DAD-ESI-MS | From in vitro seedlings | [35] |
| (2E,6Z)-N-isobutyl-8,9-dihydroxy-2,6-decadienamide (4) | C14H25NO3 | L | EtOH ex., CH2Cl2 fr. | NMR | 15 mg of mixture with 3 out of 0.8 kg raw material | [50] |
| (2E,7E)-N-isobutyl-6,9-dihydroxy-2,7-decadienamide (5) | C14H25NO3 | L | EtOH ex., CH2Cl2 fr. | NMR | 15 mg out of 0.8 kg raw material | [50] |
| (2E,6Z,8E)-N-isobutyl-2,6,8-decatrienamide (spilanthol) (6) | C14H23NO | F | n-Hexane ex. | GC-MS, NMR | 135 mg out of 1.5 kg raw material | [51] |
| F, L, S | SFE | GC-FID | 65.4%(flower), 19.7%(leave), 47.3%(stem) of dry weight | [44] | ||
| (2Z)-N-isobutyl-2-decene-6,8-diynamide (7) | C14H19NO | R | Petrol:Et2O(1:1) | HPLC, HR-MS, NMR | 1 mg out of 50 g of raw material | [52] |
| (2E,7Z,9E)-N-isobutyl-2,7,9-undecatrienamide (8) | C15H25NO | F | n-Hexane ex. | GC-MS, NMR | 135 mg out of 1.5 kg | [51] |
| (2E)-N-isobutyl-2-undecene-8,10-diynamide (9) | C15H21NO | F | n-Hexane ex. | NMR | 5 mg out of 1.5 kg | [51] |
| (2E,4Z,8Z,10E)-N-isobutyl-2,4,8,10-dodecatetraenamide (10) | C16H25NO | A | n-Hexane ex., soxhlet | GC-MS | 67% of relative abundance | [9] |
| (2E,4Z)-N-isobutyl-2,4-undecadiene-8,10-diynamide (11) | C15H19NO | L | EtOH ex. | HPLC-ESI-MS/MS | 15.8% of relative abundance | [46] |
| (2E,5Z)-N-isobutyl-2,5-undecadiene-8,10-diynamide (12) | C15H19NO | F | 95% EtOH ex., EtOAc fr. | NMR, HR-ESI-MS | 2.5 mg out of 4.5 kg of raw material | [53] |
| (2E,4E,8Z,10E)-N-isobutyl-2,4,8,10-dodecatetraenamide (13) | C16H25NO | AP | 95% EtOH ex. | NMR, Q-TOF-MS | 10 mg out of 1.5 kg of raw material | [54] |
| (2E,4E,8Z,10Z)-N-isobutyl-2,4,8,10-dodecatetraenamide (14) | C16H25NO | L | EtOH ex. | HPLC-ESI-MS/MS | 38.0% of relative abundance | [46] |
| (7Z)-N-isobutyl-7-tridecene-10,12-diynamide (15) | C17H25NO | F | n-Hexane ex. | HPLC, HR-MS | 5 mg out of 200 g of n-hex ex. | [55] |
| (2E,7Z)-N-isobutyl-2,7-tridecadiene-10,12-diynamide (16) | C17H23NO | F | n-Hexane ex. | HPLC, HR-MS | 5 mg out of 200 g of n-hex ex. | [55] |
| (2E,6Z,8E)-N-(2-methylbutyl)-2,6,8-decatrienamide (homospilanthol) (17) | C15H25NO | F, L | EtOH ex. | HPLC-ESI-MS/MS | 7.9%(flower) and 12.7%(leave) of relative abundance | [46] |
| (2E)-N-(2-methylbutyl)-2-undecene-8,10-diynamide (18) | C16H23NO | F | n-Hexane ex. | HPLC, HR-MS | 10 mg out of 200 g of n-hex ex. | [55] |
| N-phenethyl-2,3-epoxy-6,8-nonadiynamide (19) | C17H17NO2 | AP | Propanediol/water | UHPLC-DAD-ESI-MS/MS | [47] | |
| N-phenethyl-2,3-dihydroxy-6,8-nonadiynamide (20) | C17H19NO3 | L | EtOH ex., CH2Cl2 fr. | NMR | 10 mg out of 0.8 kg raw material | [50] |
| (2Z)-N-phenethyl-2-nonene-6,8-diynamide (21) | C17H17NO | L | EtOH ex. | HPLC-ESI-MS/MS | 15.5% of relative abundance | [46] |
| (2Z)-N-phenethyl-2-decene-6,8-diyamide (22) | C18H19NO | L | EtOH ex., n-hexane fr. | NMR | [50] | |
| Monoterpenes | ||||||
| Myrcene (23) | C10H16 | F | Hydrodistillation | GC-MS | >10% of total volatile oil | [32] |
| (Z)-β-Ocimene (24) | C10H16 | F | Steam distillation | GC-MS | 14.0% of total volatile oil | [56] |
| Limonene (25) | C10H16 | F | Steam distillation | GC-MS | 23.6% of total volatile oil | [56] |
| β-Phellandrene (26) | C10H16 | F | Hydrodistillation | GC-MS | >9% of total volatile oil | [32] |
| Thymol (27) | C10H14O | L, S | Steam distillation | GC-MS | 18.3% of total volatile oil | [57] |
| β-pinene (28) | C10H16 | F | Hydrodistillation | GC-MS | >10% of total volatile oil | [32] |
| Sesquiterpenes | ||||||
| β-elemene (29) | C15H24 | L | Hydrodistillation | GC-MS | 4.53% of total volatile oil | [58] |
| Germacrene D (30) | C15H24 | F, L | Hydrodistillation, Steam distillation | GC-MS | >10% of total volatile oil | [32,59] |
| α-Cadinol (31) | C15H26O | F, L | Hydrodistillation | GC-MS | 2.2% of total detected area in GC-MS | [59] |
| γ-Cadinene (32) | C15H24 | L, S | Steam distillation | GC-MS | 13.3% of total volatile oil | [57] |
| Bicyclogermacrene (33) | C15H24 | L | Hydrodistillation | GC-MS | 2.15% of total volatile oil | [58] |
| Guaiol (34) | C15H26O | F | Steam distillation | GC-MS | >10% of total volatile oil | [32] |
| α-humulene (35) | C15H24 | F, L, S | MAE(n-hexane) | GC-MS | 10.4% of total volatile oil | [33] |
| (E)-Caryophyllene (36) | C15H24 | F, AP | Hydrodistillation, Steam distillation | GC-MS | >20% of total volatile oil | [32,59] |
| Caryophyllene oxide (37) | C15H24O | F, L | Steam distillation | GC-MS | >20% of total volatile oil | [32] |
| Diterpene | ||||||
| (E)-Phytol (38) | C20H40O | F, L | Hydrodistillation | GC-MS | 2.2% of total detected area in GC-MS | [59] |
| Triterpene | ||||||
| α-Amyrin (39) | C30H50O | WP | Light petrol, 90% EtOH | Crystallization, St: mp, [α]D, IR | [60] | |
| β-Amyrin (40) | C30H50O | WP | Light petrol, 90% EtOH | Crystallization, St: mp, [α]D, IR | [60] | |
| 3-Acetylaleuritolic acid (41) | C32H50O4 | AP | EtOAc et. | NMR, MS | 23.7 mg out of 1 kg plants | [34] |
| Lupeol (42) | C30H50O | AP | n-Hexane ex. | GC-MS | Detected in moderate amount | [9] |
| 3-O-acetyl lupeol (43) | C32H52O2 | AP | n-Hexane ex. | GC-MS | Detected in moderate amount | [9] |
| Phenolic acid | ||||||
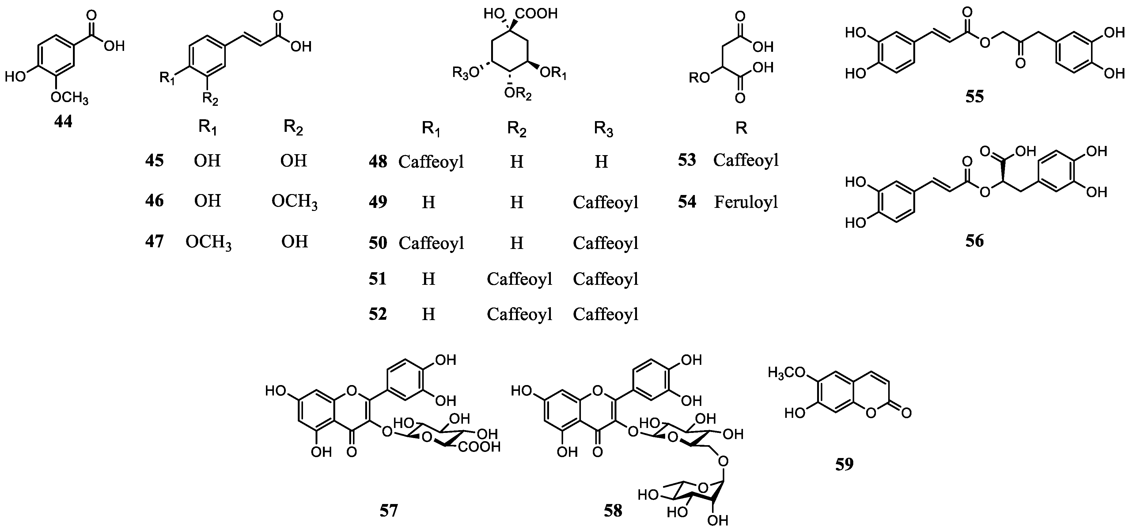
| Vanillic acid (44) | C8H8O4 | AP | EtOAc ex. | Recrystallization, NMR, MS | 3.8 mg out of 1 kg plants | [34] |
| Caffeic acid (45) | C9H8O4 | R | 80% EtOH, sonication | HPLC-DAD-ESI-MS | From in vitro seedlings | [35] |
| Ferulic acid (46) | C10H10O4 | AP | MeOH ex. | Recrystallization, NMR, MS | 5.1 mg out of 1 kg plants | [34] |
| Isoferulic acid (47) | C10H10O4 | AP | MeOH ex. | Recrystallization, NMR, MS | 12.0 mg out of 1 kg plants | [34] |
| 3-O-caffeoylquinic acid (48) | C16H18O9 | R | 80% EtOH, sonication | HPLC-DAD-ESI-MS | From in vitro seedlings | [35] |
| 5-O-caffeoylquinic acid (49) | C16H18O9 | R | 80% EtOH, sonication | HPLC-DAD-ESI-MS | From in vitro seedlings | [35] |
| 3,4-di-O-caffeoylquinic acid (50) | ||||||
| 3,5-di-O-caffeoylquinic acid (51) | C25H24O12 | R | 80% EtOH, sonication | HPLC-DAD-ESI-MS | From in vitro seedlings | [35] |
| 4,5-di-O-caffeoylquinic acid (52) | C25H24O12 | R | 80% EtOH, sonication | HPLC-DAD-ESI-MS | From in vitro seedlings | [35] |
| Caffeoylmalic acid (53) | C13H12O8 | AP | 80% EtOH, sonication | HPLC-DAD-ESI-MS | From in vitro seedlings | [35] |
| Feruloylmalic acid (54) | C14H14O8 | AP | 80% EtOH, sonication | HPLC-DAD-ESI-MS | From in vitro seedlings | [49] |
| Petasiphenol (55) | C18H16O7 | R | 80% EtOH, sonication | HPLC-DAD-ESI-MS | From in vitro seedlings | [35] |
| Rosmarinic acid (56) | C18H16O8 | R | 80% EtOH ex., sonication | HPLC-ESI-MS, NMR | From in vitro seedlings | [49] |
| Flavonoid | ||||||
| Miquelianin (57) | C21H18O13 | L | 80% EtOH ex., sonication | HPLC-DAD-ESI-MS | Peak was observed in UV chromatogram | [35,61] |
| Rutin (58) | C27H30O16 | L | 80% EtOH ex., sonication | HPLC-DAD-ESI-MS | Peak was observed in UV chromatogram | [35,61] |
| Scopoletin (59) | C10H8O4 | AP | MeOH ex. | Recrystallization, mp, NMR | 4.0 mg out of 1 kg plants | [34] |
| Steroid | ||||||
| Stigmasterol (60) | C29H48O | AP | n-Hexane ex. | Recrystallization, mp | 68.9 mg out of 1 kg plants | [34] |
| Stigmasteryl-3-O-β-d-glucopyranoside (61) | C35H58O6 | AP | CHCl3 ex. | Recrystallization, mp | 15.4 mg out of 1 kg plants | [34] |
| β-sitosterol (62) | C29H50O | WP | Light petrol, 90% EtOH | St: mp, IR, co-TLC, NMR | [60] | |
| β-sitostenone (63) | C29H48O | AP | EtOAc ex. | NMR, MS | 4 mg out of 1 kg plants | [34] |
| Others | ||||||
| 1-pentadecene (64 | C15H30 | F, L | Hydrodistillation | GC-MS | 3.4% of total volatile oil | [32] [59] |
| (Z)-3-pentadecene (65) | C16H32 | WP | Hydrodistillation | GC-MS | 4.5% of total volatile oil | [62] |
| (E)-2-hexenol (66 | C6H12O | WP | Hydrodistillation | GC-MS | 11.0% of total volatile oil | [62] |
| (Z)-9-hexadecen-1-ol (67 | C16H32O | AP | n-Hexane ex., soxhlet | GC-MS | 80.4% of relative abundance | [9] |
| 2-tridecanone (68) | C13H26O | WP | Hydrodistillation | GC-MS | 13.1% of total volatile oil | [62] |
| (7Z,9E)-2-oxoundeca-7,9-dien-1-yl senecioate, Acmellonate (69) | C16H24O3 | F, L | Hydrodistillation | GC-MS | 4.7% of total detected area in GC-MS | [59] |
| Palmitic acid (C16:0) (70) | C16H32O2 | AP | 95% EtOH ex., maceration | GC | 25.8% of fixed oil, raw material from Thailand | [54] |
| Oleic acid (C18:1 n-9) (71) | C18H34O2 | AP | 95% EtOH ex., maceration | GC | 8.7% of fixed oil, raw material from Thailand | [54] |
| Linoleic acid (C18:2 n-6) (72) | C18H32O2 | AP | 95% EtOH ex., maceration | GC | 56.4% of fixed oil, raw material from Thailand | [54] |
| No. | Part (origin) | Solvent | Extraction | Analysis | Contents | Remarks | Ref. |
|---|---|---|---|---|---|---|---|
| 1 | AP, R (in vitro seedling) | 80% EtOH (1:20, w:v, 60 °C) | Sonication | HPLC-DAD-MS | Absolute amount of 6 and total NAAs (mg/g DE) - AP: 2.20, 2,77 - R: 0.22, 0.49 |
- Samples were obtained from in vitro seedlings - Samples were prepared after defatting by Hx |
[49] |
| 2 | F, L, S | MeOH (1:10, w:v, 100 °C) | ASE | HPLC-HRMS, NMR | Amount of 6 (mg/g DW) and amphiphilics (% DW) - F: 16.50, 7.69 - L: 0.34, 8.42 - S: 0.24, 3.09 |
- Comparison of 6 and amphiphilic compounds in different parts of A. oleracea | [45] |
| F, L, S | CO2 (1:100, w:v, 323 K, 25 MPa)-CO2 with hydroethanolic enhancer | SFE-ESE | GC-FID | Yield of 6 (%, DB) - F: 65.4 - L: 19.7 - S: 47.3 |
- Development of optimized process for selective isolation of 6 | [44] | |
| 3 | F, L (Brazil) | EtOH (1:5, w:v, RT) | Maceration | HPLC-ESI-MS/MS | Order of relative abundance (%) -F: 6 (89.2), 17 (7.9), 3, 9, 16 -L: 14 (38.0), 11 (15.8), 22 (15.5), 17 (12.7), 6* (7.6), 15 (3.8), 16 (3.2), 18, 20 |
- Identification and comparison of major NAAs between ethanolic extraction of flower and leave | [46] |
| 4 | AP w/ F (Italy) | n-Hexane (1:10, w:v, 40 °C) | Sonication | HPLC-MS, NMR | Proportion of contents in HE (%) - total NAAs (50.9), 6 (42.67), 17 (6.10), 3 (0.89), 9 (0.43), 16 (0.43) |
[33] | |
| 5 | AP w/ F (Italy) | MeOH (1:10, w:v, RT) | Soxhlet | HPLC-DAD-IT-MS | Absolute amount (g/100 g DB) - 6 (1.9), 1 (<0.1), 3 (<0.1), 9 (<0.1), 17 (<0.1), 18 (<0.1) |
- Optimization of extraction solvent and method for 6 - Contents comparison of 6 and major NAAs in different conditions - Concentration of 6 and NAAs (Hx ex. > MeOH ex.) - Extraction yield and absolute amount (Hx ex. < MeOH ex.) |
[42] |
| 6 | AP w/ F (Italy) | H2O | MAE, HD | GC-FID | Absolute amount of 6 in EO (g/100 g) - MAE: 13.31 - HD: 2.24 |
- Development of method maximizing the content of 6 in EO | [33] |
| F (Brazil) | 95% EtOH (1:4) | Maceration | HPLC-ESI-MS | Absolute amount of 6 in ex. (mg/g) - crude ex: 28.33 - activated charcoal treated ex: 117.96 |
- Increased the content of 6 and removed pigments by treatment of activated charcoal | [32] | |
| 7 | Whole plant | 65% EtOH (1:10, w:v) | - | HPLC-ESI- MS | Proportion among the total amount of NAA (%) - 6 (88.8), 17 (9.0) |
- Extract (A. Vogel Spilanthes) was purchased from Biohorma (Belgium) - Permeability for 6 in the 65% ethanolic extract is two times lower compared to 10 and 30% PG based extracts in transmucosal behavior |
[40] |
| 8 | AP | Propane/H2O | - | UHPLC-DAD-ESI-MS/MS | - 6, 17 were the most stable NAA - Photostability of NAA in various solutions: MeOH>EtOH>saline>H2O |
- extract was obtained from GATTEFOSSÉ (France) - Evaluation of photostability of NAAs in various solutions |
[47] |
4.2. Terpenoids

4.3. Phenolic Compounds

5. Biological Activities
5.1. Anti-Inflammatory Activities
5.2. Antioxidant Activities
5.3. Analgesic Activity
5.4. Anesthetic Activity
5.5. Antimicrobial Activity
5.6. Vasorelaxant Activity
5.7. Others
| Activity | Cpd, ex., fr. (part) | Assay/Cell type/Model | Concentration | Result or mechanism | Ref. |
|---|---|---|---|---|---|
| Anti-inflammatory | MeOH ex. (WP) | In vivo (C57BL/6 mice)- histology, RT-PCR, MPO assay | 1, 10 mg/kg | (↓) Expression of IL-1 , IL-6, TNF-α (↓) MPO activity (↓) Neutrophilic lung inflammation in histology |
[82] |
| MeOH ex. (WP) | In vitro (RAW264.7 cell lines) | 10, 30 and 50 ug/mL |
(↓) Nuclear localization of NF-κB (↓) Expression of NF-κB dependent cytokine genes (↓) Ubiquitination of Nrf2 (↑) Level of Nrf2 in the nucleus (↑) Expression of Nrf2-dependent genes |
[82] | |
| Water ex. (AP) | In vivo (Albino Wistar rat)-paw edema test | 100, 200 and 400 mg/kg |
(↓) Paw edema at three doses (inhibition %: 52.6, 54.4, 56.1) |
[23] | |
| Hx fr., CHCl3 fr., EA fr., Bu fr. from 85%EtOH ex. (F) | In vitro (RAW264.7 cell lines) | 80 ug/mL | CHCl3 fr. and Hx fr. (↓) NO production significantly |
[83] | |
| 6 | In vitro (RAW264.7 cell lines)-LPS induced inflammation | 45, 90, 180 uM |
(↓) LPS-induced iNOS and COX-2 mRNA and protein expression (↓) Proinflammatory cytokines (IL-1β, IL-6, TNF-α) (↓) LPS-induced p-IκB, NF-κB DNA binding activity |
[83] | |
| 6 | In vivo (BALB/c mice)- DNCB induced AD-like skin lesions | 5, 10 mg/kg |
(↓) IgE, IgG2a, COX-2, iNOS expression via blocking MAPK pathway (↓) Epidermal thickness, collagen accumulation, mast cell, eosinophil infiltration |
[84] | |
| Antioxidant | Hx ex., CHCl3 ex., EA ex., MeOH ex. (AP) | In vitro-DPPH radical scavenging assay, SOD activity assay | 200 ug/mL | Radical scavenging activity (%) : 4.90, 29.82, 47.90 and 47.76 (Hx ex., CHCl3 ex., EA ex., MeOH ex.) NBT inhibition (%) : 0.41, 57.92, 33.05 and 47.02 (Hx ex., CHCl3 ex., EA ex., MeOH ex.) |
[85] |
| Hx ex., CHCl3 ex., EA ex., MeOH ex. (AP) | In vitro-DPPH radical scavenging assay, SOD activity assay | 300 ug/mL | Radical scavenging activity : EA ex. and MeOH ex. showed the most potent activity NBT inhibition : CHCl3 ex. exhibited the most potent SOD activity Activity guided isolation : Phenolic compounds (44, 46, 47, and 59) and a terpenoid (41) and steroids (60, 61, and 63) from active fr. |
[34] | |
| Hx fr., CHCl3 fr., EA fr., Bu fr. from 85% EtOH ex. (F) | In vitro-DPPH, ABTS radical scavenging assay | EC50 | DPPH, ABTS radical scavenging assay : EA fr. showed strongest antioxidant activity (1.38, 3.32 umol) |
[83] | |
| Ace ex., MeOH ex., Water ex. (F, S, L) | In vitro-DPPH radical scavenging assay | EC50 | Radical scavenging activity : MeOH ex. showed strongest activity, followed by acetone ex. and water ex. in all parts : ex. of F showed strongest activity, followed by ex. of S and L in MeOH ex. |
[86] | |
| MeOH ex. (L) | In vitro (BALB/c peritoneal macrophages)- Evaluation of ROS level, DPPH, NO scavenging assay, MDA assay | Evaluation of ROS level : 18.75–300 ug/mL NO scavenging assay and DPPH radical scavenging assay : IC50 MDA assay : 7.5–30 ug/mL |
Reduction of production of ROS (%) : 69.0 (300 ug/mL) IC50 (ug/mL) : 44.5 (DPPH) and 127.6 (NO) MDA assay : 63.69% |
[87] | |
| 44 and 46 | In vitro (SH-SY5Y cells)- Cell viability, Carboxy-DCFDA assay | 1, 5 uM |
(↓) H2O2 induced toxicity, ROS level (↑) Expression of SIRT1 and FoxO 3a (↑) Levels of SOD2 and CAT, Bcl-2 proteins |
[88] | |
| Analgesic | Water ex. (AP) | In vivo (Swiss albino mice and Wistar albino rats)-Writhing test, tail flick test |
100, 200 and 400 mg/kg | Protection from writhing (%) : 46.9, 51.0 and 65.6 Tail flick test : Increased the pain threshold significantly |
[23] |
| Hx fr. from EtOH ex. (F) | In vivo (male Swiss mice)-Chemical and sensorial test | 5 ug/mL (antinociceptive) 1.5 mg/mL (pronociceptive) |
: Exhibited dual effects depending on doses : Antinociceptive effect at low dose was not inhibited by opioid blocker, but by TRPV1 modulation : Pronociceptive effect at high dose was inhibited by opioid agonist, TRPA1 antagonist and TRP nociceptive fiber desensitization |
[89] | |
| MeOH ex. (F and AP) | In vivo (both sexes Swiss mice)-Formalin test, open field test, and catalepsy test | 100 mg/kg | Antinociceptive activity (neurologenic phase) : AP ex. > F ex. Antinociceptive activity (inflammatory phase) : F ex. > AP ex. Open field and catalepsy test (F ex.) : no difference compared to control |
[90] | |
| Anesthetic | Water ex. (AP) | In vivo (guinea pigs and frogs)-Intracutaneous wheal test and plexus anesthesia in frogs | 10, 20% | Anesthesia effect (%) in intracutaneous wheal method : 70.36, 87.02 (10, 20% conc.) Mean onset of anesthesia (min) in Plexus Anesthesia Method -samples (20% conc.): 5.33 |
[91] |
| SFE ex. (F) | In vivo (fishes)-Determination of time of anesthetic induction and recovery | 5–25 mg/L | Deep anesthesia at all conc. 20 mg/L is recommended for rapid induction (<3 min) and uneventful recovery (<5 min) Most of blood parameters were returned within 48 h post-anesthesia |
[92] | |
| Antiplasmodial | MeOH ex. (F) | In vitro (chloroquine sensitive strain (D10) of P. falciparum) | IC50 |
IC50 (ug/mL) : 14.91, 22.04, 26.17 and 12.21 (active fraction 2–5) : 54.03, 26.43, 29.34 and 33.73 (cpd 1, 6, 9, 17): |
[48] |
| Antibacterial | MeOH ex. (L) | In vitro (E. coli, S. epidermis, MRSA, P. aeruginosa, C. albicans) - MIC, MBC, MFC - Bacterial killing assay - Evaluation of biofilms adhesion inhibition |
MIC: 1000 – 125 ug/mL Adhesion of biofilm (%) : 44.71, 95.5 and 51.83 (S. aureus, P. aeruginosa and mixed) Growth inhibition (%) 77.17, 62.36 (S. aureus, P. aeruginosa) |
[87] | |
| Hx ex., CHCl3 ex., EA ex., MeOH ex. (AP) | In vitro (C. diphtheriae, S. cerevisiae, S. pyogenes, B. cereus, B. subtilis, M. lutens, S. epidermis, P. shigelloides) - MIC |
Fr. from CHCl3 and MeOH ext. (↓) Growth of many tested organisms (e.g. C. diphtheriae MIC of 64-256 μg/mL and B. subtilis with MIC of 128-256 μg/mL) |
[34] | ||
| Vasorelaxant | Hx ex., CHCl3 ex., EA ex., MeOH ex. (AP) | In vivo (male Sprague-Dawley rats) -Isometric tension measurement |
ED50 |
Relaxation max (%) : 65.67, 96.64, 81.64 and 65.09 (Hx ex.. CHCl3 ex., EA ex., MeOH ex.) ED50 (ng/mL) : 0.361, 0.428, 0.076 and 0.955 (Hx ex.. CHCl3 ex., EA ex., MeOH ex.) |
[85] |
| 6 | In vivo (male Wistar rats) -Isometric tension measurement |
Vasorelaxation was partly dependent on the presence of endothelium (↓) Vasorelaxation in the presence of inhibitors of NO, H2S, and CO synthesis (↑) Vasodilation by mechanisms that involve gasotransmitters and prostacyclin signaling pathways |
[93] | ||
| Wound healing | MeOH ex. (L) | In vitro (L929 fibroblast) -Scratch wound healing assay with |
18.75, 37.50 ug/mL | (↑) migration (97.86%) | [87] |
| Antipyretic | Water ex. (AP) | In vivo (albino rats)-yeast-induced pyrexia model | 100, 200, 400 mg/kg | Antipyretic effect (↓) temperature of pyretic rats significantly from 1 h to 3 h |
[91] |
| Antiarrhythmic | 6 rich fr. obtained by SFE | In vivo (male Wistar rats) - Assessment of cardiac electrophysiology - Epinephrine-induced arrhythmia |
10, 15, 20 mg/kg |
Maintained sinus rhythm and preserved cardiac intervals (↓) Reduction in heart rate and R-R interval significantly |
[94] |
| Gastroprotective | Polysaccharide (L) |
In vivo (female Wistar rats) - EtOH-induced gastric ulcers model |
1, 3, 10, and 30 mg/kg ED50 |
(↓) EtOH-induced gastric lesion ED50 (mg/kg) : 1.5 |
[95] |
4. Conclusions
Author Contributions
Institutional Review Board Statement
Informed Consent Statement
Data Availability Statement
Acknowledgments
Conflicts of Interest
References
- Lim, T.K. Edible medicinal and non-medicinal plants: Flowers. In Springer; Springer Science+Business Media Dordrecht: Dordrecht, Netherland, 2014; Volume 7, pp. 163–174. [Google Scholar]
- Paulraj, J.; Govindarajan, R.; Palpu, P. The Genus Spilanthes Ethnopharmacology, Phytochemistry, and Pharmacological Properties: A Review. Adv. Pharmacol. Sci. 2013, 2013, 510298. [Google Scholar] [CrossRef] [PubMed]
- Panyadee, P.; Inta, A. Taxonomy and ethnobotany of Acmella (Asteraceae) in Thailand. Biodiversitas 2022, 23, 2177–2186. [Google Scholar] [CrossRef]
- Silveira, N.; Sandjo, L.P.; Bavatti, M.W. Spilanthol-containing products: A patent review (1996–2016). Trends Food Sci. Technol. 2018, 74, 107–111. [Google Scholar] [CrossRef]
- Jansen, R.K. The Systematics of Acmella (Asteraceae-Heliantheae). Syst. Bot. Monogr. 1985, 8, 1–115. [Google Scholar] [CrossRef]
- Chung, K.; Kono, Y.; Wang, C.; Peng, C. Notes on Acmella (Asteraceae: Heliantheae) in Taiwan. Bot. Stud. 2008, 49, 73–82. [Google Scholar]
- Benelli, G.; Pavela, R.; Drenaggi, E.; Maggi, F. Insecticidal efficacy of the essential oil of jambú (Acmella oleracea (L.) R.K. Jansen) cultivated in central Italy against filariasis mosquito vectors, houseflies and moth pests. J. Ethnopharmacol. 2019, 229, 272–279. [Google Scholar] [CrossRef]
- Abeysiri, G.R.P.I.; Dharmadasa, R.M.; Abeysinghe, D.C.; Samarasinghe, K. Screening of phytochemical, physico-chemical and bioactivity of different parts of Acmella oleraceae Murr. (Asteraceae), a natural remedy for toothache. Ind. Crops Prod. 2013, 50, 852–856. [Google Scholar] [CrossRef]
- Lalthanpuii, P.B.; Lalchhandama, K. Chemical composition and broad-spectrum anthelmintic activity of a cultivar of toothache plant, Acmella oleracea, from Mizoram, India. Pharm. Biol. 2020, 58, 393–399. [Google Scholar] [CrossRef]
- Sharma, U.K.; Pegu, S. Ethnobotany of religious and supernatural beliefs of the Mising tribes of Assam with special reference to the ‘Dobur Uie’. J. Ethnobiol. Ethnomed. 2011, 7, 16. [Google Scholar] [CrossRef]
- Hind, N.; Bigg, N. Plate 460. Acmella oleracea Compositae’. Curtis’s Bot. Mag. 2003, 20, 31–39. [Google Scholar] [CrossRef]
- Revathi, P.; Parimelazhagan, T. Traditional knowledge on medicinal plants used by the Irula tribe of Hasanur hills, Erode district, Tamil Nadu, India. Ethnobotanical Leaflets 2010, 14, 136–160. [Google Scholar]
- Álvarez-Vásquez, J.L.; Parra-Solano, N.F.; Saavedra-Cornejo, G.E.; Espinosa-Vásquez, X.E. Global use of Ethnomedicinal Plants to Treat Toothache. Biomed. Pharmacol. J. 2022, 15, 847–881. [Google Scholar] [CrossRef]
- Rahim, R.A.; Jayusman, P.A.; Muhammad, N.; Mohamed, N.; Lim, V.; Ahmad, N.H.; Mohamad, S.; Hamid, Z.A.A.; Ahmad, F.; Mokhtar, N.; Shuid, A.N.; Mohamed, N. Potential Antioxidant and Anti-Inflammatory Effects of Spilanthes acmella and Its Health Beneficial Effects: A Review. Int. J. Environ. Res. Public Health 2021, 18, 3532. [Google Scholar] [CrossRef] [PubMed]
- Vijendra, N.; Kumar, K.P. Traditional knowledge on ethno-medicinal uses prevailing in tribal pockets of Chhindwara and Betul Districts, Madhya Pradesh, India. Afr. J. Trop. Agric. 2017, 5, 1–9. [Google Scholar]
- Joseph, B.; George, J.; Jeevitha, M.V. THE ROLE OF ACEMELLA OLERACEA IN MEDICINE- A REVIEW. WJPR 2013, 2, 2781–2792. [Google Scholar]
- Dubey, S.; Maity, S.; Singh, M.; Saraf, S.A.; Saha, S. Phytochemistry, Pharmacology and Toxicology of Spilanthes acmella: A Review. Adv. Pharmacol. Sci. 2013, 2013, 423750. [Google Scholar] [CrossRef]
- Hossan, M.S.; Hanif, A.; Agarwala, B.; Sarwar, M.S.; Karim, M.; Taufiq-Ur-Rahman, M.; Jahan, R.; Rahmatullah, M. Traditional Use of Medicinal Plants in Bangladesh to Treat Urinary Tract Infections and Sexually Transmitted Diseases. Ethnobot. Res. Appl. 2010, 8, 61–74. [Google Scholar] [CrossRef]
- Biswas, A.; Bari, M.A.; Roy, M.; Bhadra, S.K. Inherited folk pharmaceutical knowledge of tribal people in the Chittagong Hill tracts, Bangladesh. Indian J. Tradit. Knowl. 2010, 9, 77–89. [Google Scholar]
- Santesson, C.G. Several drugs of the Cameroon District and their native uses. Archiv Fur die Botanik 1926, 20, 1–34. [Google Scholar]
- Burkill, I.H. A dictionary of the economic products of the malay peninsula. Second edition; Burkill, H.M., Ed.; Ministry of Agriculture and Co-operatives: Kuala Lumpur, Malaysia, 1966. [Google Scholar]
- Bailey, L.H. Manual of cultivated plants most commonly grown in the continental United States and Canada. In The Macmillan Co., revised edn; New York, U.S, 1949; p. 1116. [Google Scholar]
- Chakraborty, A.; Devi, R.K.B.; Rita, S.; Sharatchandra, K.; Singh, T.I. Preliminary studies on antiinflammatory and analgesic activities of Spilanthes acmella in experimental animal models. Indian J. Pharmacol. 2004, 36, 148–150. [Google Scholar]
- Benwick, B.S. Like a taste that tingles? Then this bud is for you. Washington Post. 2007. Available online: http://www.washingtonpost.com/wp-dyn/content/article/2007/10/02/AR2007100200464.html.
- Ochse, J.J.; Bakhuizen van den Brink, R.C. Vegetables of the Dutch Indies, 3rd edn; Ascher & Co: Amsterdam, Netherland, 1980; p. 1016. [Google Scholar]
- Wetwitayaklung, P.; Phaechamud, T.; Limmatvapirat, C.; Keokitichai, S. The study of antioxidant activities of edible flower extracts. Acta Hortic. 2008, 786, 185–192. [Google Scholar] [CrossRef]
- Burdock, G.A. Fenaroli’s handbook of flavor ingredients. In CRC Press, 5th edn; Boca Raton, U.S., 2010; p. 1864. [Google Scholar]
- Toothman, C. It’s shocking, but you eat it. NPR 2009. [Google Scholar]
- Oliver-Bever, B.E.P. Medicinal plants in tropical West Africa. In Cambridge University Press; Cambridge, UK, 1986. [Google Scholar]
- Anon. The Wealth of India, A dictionary of Indian raw materials & industrial products. In Publications & Information Directorate; Chadha, Y.R., Ed.; New Delhi, India; Vol. 10, pp. Sp–W.
- Storey, C.; Salem, J.I. Lay use of Amazonian plants for the treatment of tuberculosis. Acta Amazonica 1997, 27, 175–182. [Google Scholar] [CrossRef]
- Jerônimo, L.B.; Santos, P.V.L.; Pinto, L.C.; Costa, J.S.; Andrade, E.H.A.; Setzer, W.N.; Silva, J.K.R.; Araújo, J.A.C.; Figueiredo, P.L.B. Acmella oleracea (L.) R.K. Jansen essential oils: Chemical composition, antioxidant, and cytotoxic activities. Biochem. Syst. Ecol. 2024, 112, 104775. [Google Scholar] [CrossRef]
- Spinozzi, E.; Pavela, R.; Bonacucina, G.; Perinelli, D.R.; Cespi, M.; Petrelli, R.; Cappellacci, L.; Fiorini, D.; Scortichini, S.; Garzoli, S.; et al. Spilanthol-rich essential oil obtained by microwave-assisted extraction from Acmella oleracea (L.) R.K. Jansen and its nanoemulsion: Insecticidal, cytotoxic and anti-inflammatory activities. Ind. Crops Prod. 2021, 172, 114027. [Google Scholar] [CrossRef]
- Prachayasittikul, S.; Suphapong, S.; Worachartcheewan, A.; Lawung, R.; Ruchirawat, S.; Prachayasittikul, V. Bioactive Metabolites from Spilanthes acmella Murr. Molecules 2009, 14, 850–867. [Google Scholar] [CrossRef]
- Bellumori, M.; Zonfrillo, B.; Maggini, V.; Bogani, P.; Gallo, E.; Firenzuoli, F.; Mulinacci, N.; Innocenti, M. Acmella oleracea (L.) R.K. Jansen: Alkylamides and phenolic compounds in aerial parts and roots of in vitro seedlings. J. Pharm. Biomed. Anal. 2022, 220, 114991. [Google Scholar] [CrossRef]
- Sharma, R.; Arumugam, N. N-alkylamides of Spilanthes (syn: Acmella): Structure, purification, characterization, biological activities and applications –a review. Future Foods 2021, 3, 100022. [Google Scholar] [CrossRef]
- Greger, H. Alkamides: a critical reconsideration of a multifunctional class of unsaturated fatty acid amides. Phytochem. Rev. 2016, 15, 729–770. [Google Scholar] [CrossRef]
- Boonen, J.; Bronselaer, A.; Nielandt, J.; Veryser, L.; Tré, G.D.; Spiegeleer, B.D. Alkamid database:Chemistry,occurrence and functionality of plant N-alkylamides. J. Ethnopharmacol. 2012, 142, 563–590. [Google Scholar] [CrossRef]
- Rios, M.Y. Natural Alkamides: Pharmacology, Chemistry and Distribution; Drug Discovery Research in Pharmacognosy Edited by Prof. Omboon Vallisuta. InTech, Shangai, China; 2012. p.108–144.
- Boonen, J.; Baert, B.; Burvenich, C.; Blondeel, P.; Saeger, S.D.; Spiegeleer, B.D. LC–MS profiling of N-alkylamides in Spilanthes acmella extract and the transmucosal behaviour of its main bio-active spilanthol. J. Pharm. Biomed. Anal. 2010, 53, 243–249. [Google Scholar] [CrossRef] [PubMed]
- Sharma, V.; Boonen, J.; Chauhan, N.; Thakur, M.; Spiegeleer, B.D.; Dixit, V.K. Spilanthes acmella ethanolic flower extract: LC–MS alkylamide profiling and its effects on sexual behavior in male rats. Phytomedicine 2011, 18, 1161–1169. [Google Scholar] [CrossRef] [PubMed]
- Kavallieratos, N.G.; Spinozzi, E.; Filintas, C.S.; Nika, E.P.; Skourti, A.; Panariti, A.M.E.; Ferrati, M.; Petrelli, R.; Ricciutelli, M.; Angeloni, S.; et al. Acmella oleracea extracts as green pesticides against eight arthropods attacking stored products. Environ. Sci. Pollut. Res. Int. 2023, 30, 94904–94927. [Google Scholar] [CrossRef] [PubMed]
- Abeysinghe, D.C.; Wijerathne, S.M.N.K.; Dharmadasa, R.M. Secondary Metabolites Contents and Antioxidant Capacities of Acmella Oleraceae Grown under Different Growing Systems. World J. Agric. Res. 2014, 2, 163–167. [Google Scholar] [CrossRef]
- Dias, A.M.A.; Santos, P.; Seabra, I.J.; Júnior, R.N.C.; Braga, M.E.M.; Sousa, H.C. Spilanthol from Spilanthes acmella flowers, leaves and stems obtained by selective supercritical carbon dioxide extraction. J. Supercrit. Fluids 2012, 61, 62–70. [Google Scholar] [CrossRef]
- Monroe, D.; Luo, R.; Tran, K.; Richards, K.M.; Barbosa, A.F.; Carvalho, M.G.; Sabaa-Srur, A.U.O.; Smith, R.E. LC-HRMS and NMR Analysis of Lyophilized Acmella oleracea Capitula, Leaves and Stems. Nat. Prod. J. 2016, 6, 116–125. [Google Scholar] [CrossRef]
- Stein, R.; Berger, M.; Cecco, B.S.; Mallmann, L.P.; Terraciano, P.B.; Driemeier, D.; Rodrigues, E.; Beys-da-Silva, W.O.; Konrath, E.L. Chymase inhibition: A key factor in the anti-inflammatory activity of ethanolic extracts and spilanthol isolated from Acmella oleracea. J. Ethnopharmacol. 2021, 270, 113610. [Google Scholar] [CrossRef]
- Savic, S.; Petrovic, S.; Savic, S.; Cekic, N. Identification and photostability of N-alkylamides from Acmella oleracea extract. J. Pharm. Biomed. Anal. 2021, 195, 113819. [Google Scholar] [CrossRef]
- Mbeunkui, F.; Grace, M.H.; Lategan, C.; Smith, P.J.; Raskin, I.; Lila, M.A. Isolation and identification of antiplasmodial N-alkylamides from Spilanthes acmella flowers using centrifugal partition chromatography and ESI-IT-TOF-MS. J. Chromatogr. B 2011, 879, 1886–1892. [Google Scholar] [CrossRef]
- Ferrara, V.; Zonfrillo, B.; Bellumori, M.; Innocenti, M.; Micheli, L.; Maggini, V.; Venturi, D.; Gallo, E.; Bogani, P.; Mannelli, L.D.C.; et al. Neuroprotective Potential of Acmella oleracea Aerial Parts and Root Extracts: The Role of Phenols and Alkylamides Against Neuropathic Pain. Nutrients 2025, 17, 2588. [Google Scholar] [CrossRef]
- Simas, N.K.; Dellamora, E.C.L.; Schripsema, J.; Lage, C.L.S.; Filho, A.M.O.; Wessjohann, L.; Porzel, A.; Kuster, R.M. Acetylenic 2-phenylethylamides and new isobutylamides from Acmella oleracea (L.) R. K. Jansen, a Brazilian spice with larvicidal activity on Aedes aegypti. Phytochem. Lett. 2013, 6, 67–72. [Google Scholar] [CrossRef]
- Ramsewak, R.S.; Erickson, A.J.; Nair, M.G. Bioactive N-isobutylamides from the ¯ower buds of Spilanthes acmella. Phytochem. 1999, 51, 729–732. [Google Scholar] [CrossRef] [PubMed]
- Greger, H.; Hofer, O.; Werner, A. New Amides from Spilanthes oleracea. Monatshefte ftir Chemie 1985, 116, 273–277. [Google Scholar] [CrossRef]
- Cheng, Y.; Liu, R.H.; Ho, M.; Wu, T.; Chen, C.; Lo, I.; Hou, M.; Yuan, S.; Wu, Y.; Chang, F. Alkylamides of Acmella oleracea. Molecules 2015, 20, 6970–6877. [Google Scholar] [CrossRef] [PubMed]
- Phrutivorapongkul, A.; Chaiwon, A.; Vejabhikul, S.; Netisingha, W.; Chansakaow, S. AN ANESTHETIC ALKAMIDE AND FIXED OIL FROM ACMELLA OLERACEA. J. Health Res. 2008, 22, 97–99. [Google Scholar]
- Nakatani, N.; Nagashima, M. Pungent Alkamides from Spilanthes acmella L. var. oleracea Clarke. Biosci. Biotech. Biochem. 1992, 56, 759–762. [Google Scholar] [CrossRef]
- Baruah, R.N.; Leclercq, P.A. Characterization of the Essential Oil from Flower Heads of Spilanthes acmella. J. Essent. Oil Res. 1993, 5, 693–695. [Google Scholar] [CrossRef]
- Lemos, T.L.G.; Pessoa, O.D.L.; Matos, F.J.A.; Alencar, J.W.; Craveiro, A.A. The Essential Oil of Spilanthes acmella Murr. J. Essent. Oil Res. 1991, 3, 369–370. [Google Scholar] [CrossRef]
- Kawaree, R.; Okonogi, S.; Chowwanapoonpohn, S.; Phutdhawong, W. Chemical composition and antioxidant evaluation of volatile oils from Thai medicinal plants. Acta Hortic. 2008, 786, 209–216. [Google Scholar] [CrossRef]
- Radulović, N.S.; Mladenović, M.Z.; Lima, C.S.; Müller, E.C.A.; Cost, E.V.M.; Martins, R.V.; Boylan, F. Amazon Rainforest Hidden Volatiles—Part I: Unveiling New Compounds from Acmella oleracea (L.) R.K. Jansen Essential Oil. Plants 2024, 13, 1690. [Google Scholar] [CrossRef]
- Krishnaswamy, N.R.; Prasanna, S. α- and β-amyrin esters and sitosterol glucoside from Spilanthes acmella. Phytochem. 1975, 14, 1666–1667. [Google Scholar] [CrossRef]
- Nascimento, L.E.S.; Arriola, N.D.A.; Silva, L.A.L.; Faqueti, L.G.; Sandjo, L.P.; Araújo, C.E.S.; Biavatti, M.W.; Barcelos-Oliveira, J.L.; Amboni, R.D.M.C. Phytochemical profile of different anatomical parts of jambu (Acmella oleracea (L.) R.K. Jansen): A comparison between hydroponic and conventional cultivation using PCA and cluster analysis. Food Chem. 2020, 332, 127393. [Google Scholar] [CrossRef] [PubMed]
- Jirovetz, L.; Buchbauer, G.; Wobus, A. Essential Oil Analysis of Spilanthes acmella Murr. Fresh Plants from Southern India. J. Essent. Oil Res. 2005, 17, 429–431. [Google Scholar] [CrossRef]
- Satao, N.T.; Mahindrakar, K.V.; Rathod, V.K. Extraction of phenolics from Spilanthes Acmella plant: Kinetic studies using Peleg’s model. J. Indian Chem. Soc. 2025, 102, 101634. [Google Scholar] [CrossRef]
- Payum, T. PHYTOCONSTITUENTS OF SPILANTHES OLERACEA LINN. SHOOT: A MEDICINAL FOOD HERB USED AMONG TRIBAL PEOPLE OF ARUNCHAL PRADESH, INDIA. IJPSR 2017, 8, 4381–4387. [Google Scholar]
- Nabi, N.G.; Shrivastava, M. Estimation of Total Flavonoids and Antioxidant Activity of Spilanthes acmella Leaves. UK J. Pharm. Biosci. 2016, 4, 29–34. [Google Scholar]
- Perveen, S. Introductory Chapter: Terpenes and Terpenoids. IntechOpen 2018, 79683. [Google Scholar]
- Ludwiczuk, A.; Skalicka-Woźniak, K.; Georgiev, M.I. Terpenoids, Chapter 11; Elsevier Inc, 2017. [Google Scholar]
- Hussein, R.; El-Anssary, A. Plants Secondary Metabolites: The Key Drivers of the Pharmacological Actions of Medicinal Plants; IntechOpen., 2019. [Google Scholar]
- Dhifi, W.; Bellili, S.; Jazi, S.; Bahloul, N.; Mnif, W. Essential Oils’ Chemical Characterization and Investigation of Some Biological Activities: A Critical Review. Medicines 2016, 3, 25. [Google Scholar] [CrossRef]
- Pheko-Ofitlhile, T.; Makhzoum, A. Impact of hydrodistillation and steam distillation on the yield and chemical composition of essential oils and their comparison with modern isolation techniques. J. Essent. Oil Res. 2024, 36, 105–115. [Google Scholar] [CrossRef]
- Boutekedjiret, C.; Bentahar, F.; Belabbes, R.; Bessiere, J.M. Extraction of rosemary essential oil by steam distillation and hydrodistillation. Flavour Fragr. J. 2003, 18, 481–484. [Google Scholar] [CrossRef]
- Shiferaw, Y.; Kassahun, A.; Tedla, A.; Feleke, G.; Abebe, A.A. Investigation of Essential Oil Composition Variation with Age of Eucalyptus Globulus Growing in Ethiopia. NPCR 2019, 7, 360. [Google Scholar] [CrossRef]
- Tongnuanchan, P.; Benjakul, S. Essential Oils: Extraction, Bioactivities, and Their Uses for Food Preservation. J. Food Sci. 2014, 79, R1231–R1249. [Google Scholar] [CrossRef] [PubMed]
- Gani, M.A; Sharma, M.S. Introductory Chapter: Phenolic compounds; IntechOpen, 2021. [Google Scholar]
- Harborne, J.B. Secondary plant products: encyclopedia of plant physiology. Phytochem. 1980, 8, 2803–2804. [Google Scholar] [CrossRef]
- Scalbert, A.; Manach, C.; Morand, C.; Rémésy, C.; Jiménez, L. Dietary polyphenols and the prevention of diseases. Critical reviews in food science and nutrition. Crit. Rev. Food Sci. Nutr. 2005, 45, 287–306. [Google Scholar]
- Satao, N.T.; Mahindrakar, K.V.; Rathod, V.K. Extraction of phenolics from Spilanthes Acmella plant: Kinetic studies using Peleg’s model. J. Indian Chem. Soc. 2025, 102, 101634. [Google Scholar]
- Tsao, R. Chemistry and Biochemistry of Dietary Polyphenols. Nutrients 2010, 2, 1231–1246. [Google Scholar] [CrossRef]
- Orsavova, J.; Misurcova, L.; Ambrozova, J.V.; Vicha, R.; Mlcek, J. Fatty Acids Composition of Vegetable Oils and Its Contribution to Dietary Energy Intake and Dependence of Cardiovascular Mortality on Dietary Intake of Fatty Acids. Int. J. Mol. Sci. 2015, 16, 12871–12890. [Google Scholar] [CrossRef]
- Ojha, P.K.; Poudel, D.K.; Rokaya, A.; Maharjan, S.; Timsina, S.; Poudel, A.; Satyal, R.; Satyal, P.; Setzer, W.N. Chemical Compositions and Essential Fatty Acid Analysis of Selected Vegetable Oils and Fats. Compounds 2024, 4, 37–70. [Google Scholar] [CrossRef]
- Nathan, C.; Ding, A. Nonresolving Inflammation. Cell 2010, 140, 871–882. [Google Scholar] [CrossRef]
- Kim, K.H.; Kim, E.J.; Kwun, M.J.; Lee, J.Y.; Bach, T.T.; Eum, S.M.; Choi, J.Y.; Cho, S.; Kim, S.J.; Jeong, S.; Joo, M. Suppression of lung inflammation by the methanol extract of Spilanthes acmella Murray is related to differential regulation of NF-κB and Nrf2. J. Ethnopharmacol. 2018, 217, 89–97. [Google Scholar] [CrossRef]
- Wu, L.; Fan, N.; Lin, M.; Chu, I.; Huang, S.; Hu, C.; Han, S. Anti-inflammatory Effect of Spilanthol from Spilanthes acmella on Murine Macrophage by Down-Regulating LPS-Induced Inflammatory Mediators. J. Agric. Food Chem. 2008, 56, 2341–2349. [Google Scholar] [CrossRef] [PubMed]
- Huang, W.; Huang, C.; Hu, S.; Peng, H.; Wu, S. Topical Spilanthol Inhibits MAPK Signaling and Ameliorates Allergic Inflammation in DNCB-Induced Atopic Dermatitis in Mice. Int. J. Mol. Sci. 2019, 20, 2490. [Google Scholar] [CrossRef] [PubMed]
- Wongsawatkul, O.; Prachayasittikul, S.; Isarankura-Na-Ayudhya, C.; Satayavivad, J.; Ruchirawat, S.; Prachayasitticul, V. Vasorelaxant and Antioxidant Activities of Spilanthes acmella Murr. Int. J. Mol. Sci. 2008, 9, 2724–2744. [Google Scholar] [CrossRef] [PubMed]
- Thakur, S.; Sagar, A.; Prakash, V. STUDIES ON ANTIBACTERIAL AND ANTIOXIDANT ACTIVITY OF DIFFERENT EXTRACTS OF SPILANTHES ACMELLA L. Plant Arch. 2019, 19, 1711–1717. [Google Scholar]
- Fajardo, J.B.; Vianna, M.H.; Polo, A.B.; Comitre, M.R.C.; Oliveira, D.A.; Ferreira, T.G.; Lemos, A.S.O.; Souza, T.F.; Campos, L.M.; Paula, P.L.; et al. Insights into the bioactive potential of the Amazonian species Acmella oleracea leaves extract: A focus on wound healing applications. J. Ethnopharmacol. 2025, 337, 118866. [Google Scholar]
- Gay, N.H.; Phopin, K.; Suwanjang, W.; Songtawee, N.; Ruankham, W.; Wongchltrat, P.; Prachayasitticul, S.; Prachayasitticul, V. Neuroprotective Effects of Phenolic and Carboxylic Acids on Oxidative Stress-Induced Toxicity in Human Neuroblastoma SH-SY5Y Cells. Neurochem. Res. 2018, 43, 619–636. [Google Scholar]
- Dallazen, J.L.; Maria-Ferreira, D.; Luz, B.B.; Nascimento, A.M.; Cipriani, T.R.; Souza, L.M.; Glugoski, L.P.; Silva, B.J.G.; Geppetti, P.; Werner, M.F.P. Distinct mechanisms underlying local antinociceptive and pronociceptive effects of natural alkylamides from Acmella oleracea compared to synthetic isobutylalkyl amide. Fitoterapia 2018, 131, 225–235. [Google Scholar] [CrossRef]
- Yien, R.M.K.; Gomes, A.C.C.; Fiorot, R.G.; Miranda, A.L.P.; Neves, G.A.; Andrade, B.S.; Costa, F.N.; Tributino, J.L.M.; Simas, N.K. Alkylamides from Acmella oleracea: antinociceptive effect and molecular docking with cannabinoid and TRPV1 receptors. Nat. Prod. Res. 2023, 37, 3136–3144. [Google Scholar]
- Chakraborty, A.; Devi, B.R.K.; Sanjebam, R.; Khumbong, S.; Thokchom, I.S. Preliminary studies on local anesthetic and antipyretic activities of Spilanthes acmella Murr. in experimental animal models. Indian J. Pharmacol. 2010, 42, 277–279. [Google Scholar] [CrossRef]
- Barbas, L.A.; Stringhetta, G.R.; Garcia, L.O.; Figueiredo, M.R.C.; Sampaio, L.A. Jambu, Spilanthes acmella as a novel anaesthetic for juvenile tambaqui, Colossoma macropomum: Secondary stress responses during recovery. Aquaculture 2016, 456, 70–75. [Google Scholar] [CrossRef]
- Castro-Ruiz, J.E.; Rojas-Molina, A.; Luna-Vázquez, F.J.; Rivero-Cruz, F.; García-Gasca, T.; Ibarra-Alvarado, C. Affinin (Spilanthol), Isolated from Heliopsis longipes, Induces Vasodilation via Activation of Gasotransmitters and Prostacyclin Signaling Pathways. Int. J. Mol. Sci. 2017, 18, 218. [Google Scholar] [CrossRef]
- Silva, A.P.S.; Pires, F.C.S.; Ferreira, M.C.R.; Siqueira, L.M.M.; Menezes, E.G.O.; Carvalho, M.E.F.; Nascimento, L.A.S.; Santos, A.S.; Hamoy, A.O.; Hamoy, M.; Carvalho Junior, RN. Antiarrhythmic Effects of Supercritical Extract of Acmella oleracea in Rats: Electrophysiological Evidence and Cardioprotective Potential. Plants 2025, 14, 2848. [Google Scholar] [CrossRef]
- Nascimento, A.M; Souza, L.M.; Baggio, C.H.; Werner, M.F.P.; Maria-Ferreira, D.; Silva, L.M.; Sassaki, G.L.; Gorin, P.A.J.; Iacomini, M.; Ciprinai, T.R. Gastroprotective effect and structure of a rhamnogalacturonan from Acmella oleracea. Phytochem. 2013, 85, 137–142. [Google Scholar] [CrossRef]



| Taxa | Name |
|---|---|
| Kingdom | Plantae |
| Subkingdom | Tracheobiont |
| Phylum | Tracheophyta |
| Division | Magnoliophyta |
| Superdivision | Spermatophyte |
| Class | Magnoliopsida |
| Subclass | Asteridae |
| Order | Asterales |
| Family | Asteraceae |
| Subfamily | Mimosoideae |
| Genus | Acmella |
| Species | Oleracea |
| Part | Traditional uses (country) | Ref. |
|---|---|---|
| Medicinal | ||
| F | Toothache (Many countries in America, Asia and Africa such as Peru, Brazil, India, etc.), Bleeding, Stammering, Xerostomia (India) | [12,13,17,29,30] |
| F&L | Tuberculosis (Brazil), Leucorrhoea (Bangladesh) | [18,19,21,23,31] |
| WP | Poisonous sting (Bangladesh), Rheumatism (India, Cameroon), Snakebite (Cameroon), Stomatitis (Indonesia), Urolithiasis, Digestive problem, Scurvy, | |
| R | Throat problem (India), Constipation | [15,21] |
| Culinary | ||
| F | Used in curries (Taiwan), Spice (Japan), Additives in drinks, cocktails | [24,26,27,28] |
| L | Raw or vegetable (India, Brazil), Pungent flavoring for salads (U.S.), Served raw in ‘lalab’ with other vegetables and eaten with a sambal (chilli sauce) (Indonesia) | [22,23,24,25] |
| No. | Part (origin) | Solvent | Extraction | Analysis | Contents | Remarks | Ref. |
|---|---|---|---|---|---|---|---|
| 1 | F (India) | Various factors (solvent, solvent ratio, temperature) | Soxhlet | Colorimetric method | Order of total phenolic content (mg GAE/g DM) - Solvent: MeOH>Water>Acetone>EtOH>n-BuOH - Solvent ratio: 50>30>40>20>10 - Temperature: 50>60>40>30 - Agitation speed: 500>400>300>200>100 - pH: 5>4>6>7>8 |
- Comprehensive kinetic study of various factors influencing the extraction of total phenolic contents (solvent, solvent ratio, temperature, agitation speed, pH) | [62] |
| 2 | F, L, S (Sri lanka) | MeOH (1:3) | Soxhlet | Colorimetric method | Total phenolic content (mg GAE/g, DM) - 5.34 (F), 7.59 (L), 1.65 (S) |
- Comparison of active metabolites in different parts of the plant | [7] |
| 3 | F, L, S (India) | 80% EtOH (1:20, w:v, 60 °C) | Sonication | Colorimetric method | Total phenolic content (mg GAE/g, DW) - FG: 1.98 (F), 3.19 (L), 1.37 (S) - HG: 1.70 (F), 1.95 (L), 0.71 (S) Total flavonoid content (mg RE/g, DW) - FG: 5.91 (F), 11.45 (L), 3.80 (S) - HG: 7.98 (F), 9.10 (L), 3.38 (S) |
- Comprehensive comparison of active metabolites in different parts of the plant and different growing conditions |
[60] |
| 4 | L (Sri lanka) | 80% MeOH (1:50, w:v, 6 °C) | Maceration | Colorimetric method | Total phenolic content (mg GAE/g, DW) - 10.99 (FG), 11.45 (HG), 9.91 (CC) Total flavonoid content (mg RE/g, DW) - 11.33 (FG), 12.33 (HG), 7.38 (CC) |
- Comparison of active metabolites under different growing systems - Total antioxidant capacity was proportional to total phenolic and flavonoid content |
[42] |
| 5 | AP, R (in vitro seedling) | 80% EtOH (1:20, w:v, 60 °C) | Sonication | HPLC-DAD-MS | Amount of total phenols (mg/g DE) - AP: 8.68 - R: 14.15 Order of amount of major phenols - AP: 53, 51, 54, 49, 50, 55, 56 - R: 51(50% of total phenol), 50, 49, 56 |
- Samples were prepared after defatting by n-hexane | [48] |
Disclaimer/Publisher’s Note: The statements, opinions and data contained in all publications are solely those of the individual author(s) and contributor(s) and not of MDPI and/or the editor(s). MDPI and/or the editor(s) disclaim responsibility for any injury to people or property resulting from any ideas, methods, instructions or products referred to in the content. |
© 2026 by the authors. Licensee MDPI, Basel, Switzerland. This article is an open access article distributed under the terms and conditions of the Creative Commons Attribution (CC BY) license (http://creativecommons.org/licenses/by/4.0/).