Submitted:
10 January 2026
Posted:
12 January 2026
You are already at the latest version
Abstract
Keywords:
1. Introduction
1.1. Background and Motivations
1.2. Brief Review of Related Studies
1.3. Objectives
- I.
- In calculating the limit curve of an RC MRF with SDCs based on the ICPMIA, how should the range of the number of pulsive inputs be determined?
- II.
- How does the limit curve obtained from ICPMIA relate to the results of NTHA using ground motion records?
- III.
- How applicable is the limit curve of an RC MRF with SDCs to sequential earthquake ground motions? Does it perform comparably to the case of a single earthquake ground motion?
2. Building Models and Criteria
2.1. Building Models
2.2. Criteria
2.3. Input Energy Parameters
3. Incremental Critical PMI Analysis
3.1. Analysis Methods
3.2. Analysis Results
3.2.1. Time Histories Obtained from the Critical PMI Analysis
- The peak equivalent displacement of the first modal response () occurs at the end of the half cycle associated with
- The occurrence times of and are close to that of the peak equivalent displacement of the first modal response ().
- The normalized cumulative strain energy increases almost monotonically.
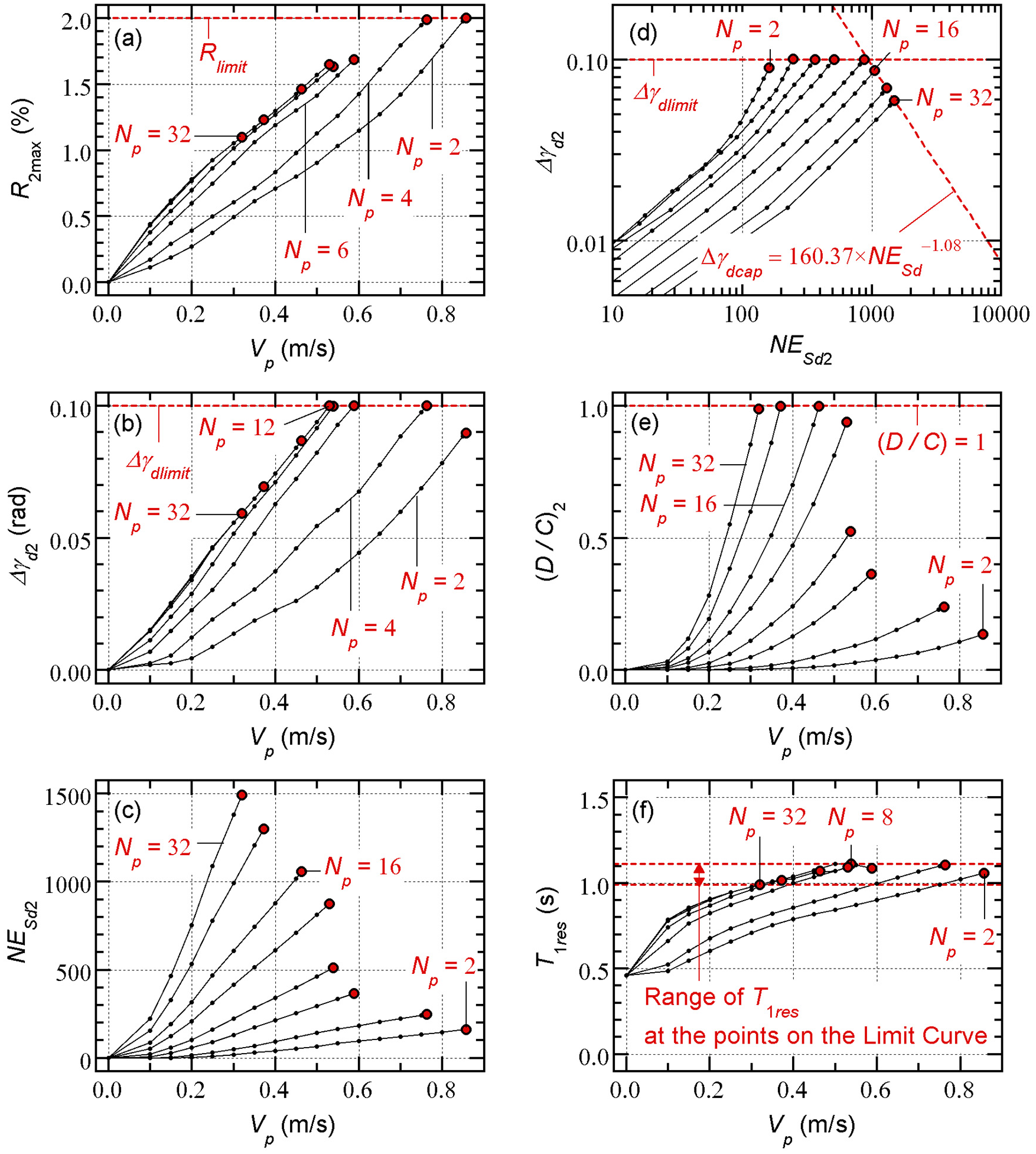
3.2.2. Determination of the Limit Curve
- The peak story drift () reaches the limit value (= 2%) only in the case of = 2. For = 4, reaches 1.99%, which is almost equal to the limit value. However, for = 6 and larger, the value of at the performance limit decreases as increases. Consequently, the largest value of occurs in the case of = 2.
- The shear strain amplitude of the damper panel () reaches the limit value (= 0.10 rad) for = 4–12. For = 2, reaches 0.089 rad, which is smaller than the limit value. However, for = 16 and larger, the value of at the performance limit decreases as increases.
- The normalized cumulative strain energy () at the performance limit increases as increases. For = 2, reaches 161, which is the smallest value. In contrast, for = 32, reaches 1492, which is the largest value. For ≥ 16, exceeds 1000.
- In the relationship between the shear strain amplitude of the damper panel and the normalized cumulative strain energy (the relationship), the performance limit points (red dots) reach the recommended design curve for ≥ 16. In contrast, for = 4–12, the red dots lie below the recommended design curve; in these cases, reaches the limit value (= 0.10 rad). For = 2, the red dot is located below both the recommended design curve and the dotted horizontal line, which indicates the limit value of the shear strain amplitude (= 0.10 rad).
- The demand-to-capacity ratio of the shear strain amplitude () reaches unity for ≥ 16. The value of decreases as decreases.
- The response period of the first modal response () at the performance limit varies within the range of 0.99–1.11 s. For = 2, is 1.06 s. The largest value of occurs for = 8, whereas the smallest value occurs for = 32.
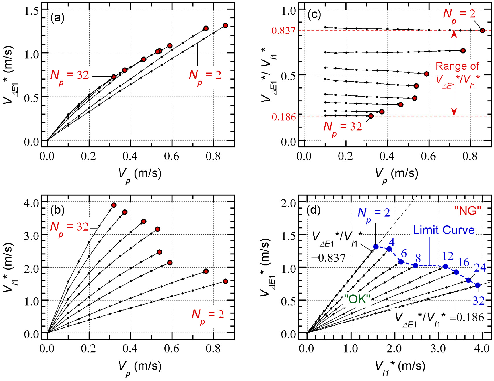
- The equivalent velocity of the maximum momentary input energy of the first modal response () at the performance limit decreases as increases. For = 2, reaches 1.313 m/s. In contrast, for = 32, decreases to 0.722 m/s.
- The equivalent velocity of the cumulative input energy of the first modal response () at the performance limit increases as increases. For = 2, reaches 1.567 m/s. In contrast, for = 32, increases to 3.890 m/s.
- The ratio of the two equivalent velocities () at the performance limit decreases as increases. For = 2, is 0.837. In contrast, for = 32, decreases to 0.186. In addition, the value of is relatively stable with respect to changes in the pulse velocity ().
- As expected, the area of the “Zone OK” for Dp100 is the largest, whereas that for Dp033 is the smallest.
- The slopes of the upper bound lines for the three limit curves are almost identical; the slope values () are 0.845, 0.843, and 0.837 for models Dp033, Dp050, and Dp100, respectively. Similarly, the slopes of the lower bound lines are almost identical, with values of 0.193, 0.189, and 0.186 for models Dp033, Dp050, and Dp100, respectively.
- The three limit curves are close to each other in the regions near the upper bound lines, whereas they are separated in the region near the lower bound lines.
3.3. Summary of Incremental Critical PMI Analysis Results
- For = 2, the performance limit point of model Dp100 is determined as the point at which the peak story drift reaches its limit value. For = 4–12, the performance limit point is determined by the shear strain amplitude of the damper panel reaching its limit value. In contrast, for ≥ 16, the performance limit point is determined as the point at which the demand-to-capacity ratio of the shear strain amplitude reaches unity.
- The range of the equivalent velocity ratio () at the performance limit is similar among the three models: 0.193–0.845 for Dp033, 0.189–0.843 for Dp050, and 0.186–0.837 for Dp100.
- The area of the “Zone OK” for Dp100 is the largest, whereas that for Dp033 is the smallest. The difference between Dp100 and Dp033 is most pronounced near the lower bound lines of the limit curves.
4. Comparisons with the Limit Curve and Earthquake Response
4.1. Input Ground Motion Records
4.2. Analysis Method
4.3. Analysis Results
4.3.1. Response Profiles of Models
- For model Dp033, and do not exceed their limit values in any case. reaches 2000 at the second story in cases M, MA, and AM. In these cases, exceeds unity at the first and second stories.
- For model Dp050, and do not exceed their limit values in any case, as in Dp033. reaches 1500 at the second story in cases M, MA, and AM. In these cases, exceeds unity at the second story.
- For model Dp100, and do not exceed their limit values in any case, as in models Dp033 and Dp050. reaches 1000 at the second story in cases M, MA, and AM. does not exceed unity in any cases.
- For model Dp033, and exceed their limit values in cases M, FM, and MF. In these cases, exceeds 1200 at the second story. The exceeds unity at the first to fourth stories in these cases.
- For model Dp050, does not exceed its limit value in any case. However, exceeds its limit value at the first and second stories in cases M, FM, and MF. In these cases, exceeds 1200 at the second story. The ratio exceeds unity from the first to fourth stories in cases M and MF, and from the first to third stories in case FM.
- For model Dp100, and do not exceed their limit values in any case. reaches 500 at the second story in cases FM and MF. The ratio does not exceed unity in any case.
4.3.2. Comparisons with the Limit Curve and Earthquake Responses
- In the results of the single-input analysis, 16 green circles and 16 red inverted triangles are plotted. Of the green circles, 15 are located in the “OK” zone, whereas one is located in the “NG” zone. Of the red inverted triangles, three are located in the “OK” zone, whereas 13 are located in the “NG” zone.
- In the results of the sequential-input analysis, 5 green circles and 27 red inverted triangles are plotted. Of the green circles, four are located in the “OK” zone, whereas one is located in the “NG” zone. Of the red inverted triangles, two are located in the “OK” zone, whereas 25 are located in the “NG” zone.
- All green circles and red inverted triangles are plotted above the lower bound line (= 0.193) and below the upper bound line (= 0.845) in both the single-input and sequential-input analyses, indicating that no data points fall outside the range in which judgment based on the limit curve is applicable. The range of is 0.241–0.793 in the single-input analysis, whereas it is 0.232–0.553 in the sequential-input analysis.
- In the results of the single-input analysis, 21 green circles and 11 red inverted triangles are plotted. Of the green circles, 19 are located in the “OK” zone, whereas two are located in the “NG” zone. Of the red inverted triangles, one is located in the “OK” zone, whereas 10 are located in the “NG” zone.
- In the results of the sequential-input analysis, 8 green circles and 24 red inverted triangles are plotted. Of the green circles, five are located in the “OK” zone, whereas three are located in the “NG” zone. Of the red inverted triangles, two are located in the “OK” zone, whereas 22 are located in the “NG” zone.
- All green circles and red inverted triangles are plotted above the lower bound line (= 0.189) and below the upper bound line (= 0.843) in both the single-input and sequential-input analyses, indicating that no data points fall outside the range in which judgment based on the limit curve is applicable. The range of is 0.228–0.799 in the single-input analysis, whereas it is 0.220–0.542 in the sequential-input analysis.
- In the results of the single-input analysis, 26 green circles and six red inverted triangles are plotted. Of the green circles, 22 are located in the “OK” zone, whereas four are located in the “NG” zone. Of the red inverted triangles, all are located in the “NG” zone.
- In the results of the sequential-input analysis, 17 green circles and 15 red inverted triangles are plotted. Of the green circles, 14 are located in the “OK” zone, whereas three are located in the “NG” zone. Of the red inverted triangles, two are located in the “OK” zone, whereas 13 are located in the “NG” zone.
- All green circles and red inverted triangles are plotted above the lower bound line (= 0.186) and below the upper bound line (= 0.837) in both the single-input and sequential-input analyses, indicating that no data points fall outside the range in which judgment based on the limit curve is applicable. The range of is 0.229–0.693 in the single-input analysis, whereas it is 0.211–0.635 in the sequential-input analysis.
- In single-input cases, the agreement ratios for Dp033, Dp050, Dp100 are 87.5%, 90.6%, and 87.5%, respectively.
- In sequential-input cases, the agreement ratios for Dp033, Dp050, and Dp100 are 90.6%, 84.4%, and 84.4%, respectively.
4.4. Summary of the Analysis Results
- All data points fall between the lower and upper bound lines in both the single-input and sequential-input analyses, indicating that the proposed limit curve provides an applicable judgment range for a wide variety of ground-motion characteristics, including near-fault and long-duration records.
- The proposed limit curve shows a high level of consistency with the NTHA results for RC MRF models with different numbers of SDCs and across various ground-motion records.
- Agreement ratios exceeding 80% are obtained for both single-input and sequential-input ground motions, supporting the overall validity of the proposed limit curve.
- Comparable agreement ratios are obtained for single-input and sequential-input ground motions, indicating that the applicability of the proposed limit curve is not significantly affected by the input sequence.
5. Conclusions
- I.
- The appropriate range of the number of pseudo-impulsive lateral forces () depends on the ratio of the equivalent velocity of the maximum momentary input energy of the first modal response and that of the cumulative input energy of the first modal response (). In this study, the limit curve for the three eight-story RC MRF with SDCs calculated considering the range of as 2 to 32 can cover the range of from 0.19 to 0.83.
- II.
- The proposed limit curves for the three eight-story RC MRFs with SDCs are consistent with NTHA results for models with different numbers of SDCs across various ground-motion records, including near-fault and long-duration records. Agreement ratios exceeding 80% are consistently obtained for models with different numbers of SDCs.
- III.
- The proposed limit curve is applicable to sequential-input ground motions as well as to single-input ground motions. Comparable agreement ratios are obtained for sequential-input and single-input cases, indicating that the applicability of the proposed limit curve is not significantly affected by the input sequence.
6. Transparency Statement
Supplementary Materials
Author Contributions
Funding
Data Availability Statement
Acknowledgments
Conflicts of Interest
Generative AI statement
Abbreviations
| DI | double impulse |
| ICPMIA | incremental critical pseudo-multi-impulse analysis |
| MDOF | multi-degree-of-freedom |
| MI | multi impulse |
| MRF | moment-resisting frame |
| NTHA | nonlinear time history analysis |
| PDI | pseudo-double impulse |
| PMI | pseudo-multi impulse |
| RC | reinforced concrete |
| SDC | steel damper column |
| SDOF | single-degree-of-freedom |
References
- Akehashi, H., Takewaki, I. (2021). Pseudo-double impulse for simulating critical response of elastic-plastic MDOF model under near-fault earthquake ground motion. Soil Dynamics and Earthquake Engineering. 150, 106887. [CrossRef]
- Akehashi, H., Takewaki, I. (2022). Pseudo-multi impulse for simulating critical response of elastic-plastic high-rise buildings under long-duration, long-period ground motion. The Structural Design of Tall and Special Buildings. 31(14), e1969. [CrossRef]
- Akiyama, H. (1985). Earthquake resistant limit-state design for buildings. Tokyo: University of Tokyo Press.
- Akiyama, H. (1999). Earthquake-resistant design method for buildings based on energy balance. Tokyo: Gihodo Shuppan. (in Japanese).
- Angelucci, G., Quaranta, G., Mollaioli, F., Kunnath, S.K. (2023a). Correlation Between Seismic Energy Demand and Damage Potential Under Pulse-Like Ground Motions. In: Varum, H., Benavent-Climent, A., Mollaioli, F. (eds) Energy-Based Seismic Engineering. IWEBSE 2023. Lecture Notes in Civil Engineering, vol 236. Springer, Cham. [CrossRef]
- Angelucci, G., Mollaioli, F., Quaranta, G. (2023b). Correlation between energy and displacement demands for infilled reinforced concrete frames. Frontiers in Built Environment. 9, 1198478. [CrossRef]
- Banon, H., Veneziano, D. (1982). Seismic safety of reinforced concrete members and structures, Earthquake Engineering and Structural Dynamics. 10, 179-193. [CrossRef]
- Benavent-Climent, A. (2011). An energy-based method for seismic retrofit of existing frames using hysteretic dampers. Soil Dynamics and Earthquake Engineering. 31, 1385–1396. [CrossRef]
- Benavent-Climent, A., Mollaioli, F. (eds) (2021). Energy-Based Seismic Engineering, Proceedings of IWEBSE 2021. Cham: Springer. [CrossRef]
- Chai, Y. H., Romstad, K. M., Bird, S. M. (1995). Energy-Based Linear Damage Model for High-Intensity Seismic Loading. Journal of Structural Engineering, 121(5), 857-864. [CrossRef]
- Cosenza, E., Manfredi, G., Ramasco, R. (1993). The use of damage functionals in earthquake engineering: A comparison between different methods. Earthquake Engineering and Structural Dynamics, 22(10), 855-868. [CrossRef]
- Decanini, L., Mollaioli, F., Saragoni, R. (2000). “Energy and displacement demands imposed by near-source ground motions,” in Proceedings of the 12th World Conference on Earthquake Engineering, Auckland, New Zealand.
- Dindar, A. A., Benavent-Climent, A., Mollaioli, F., Varum, H. (eds) (2025). Energy-Based Seismic Engineering, Proceedings of IWEBSE 2025. Cham: Springer. [CrossRef]
- El-Bahy, A., Kunnath, S. K., Stone, W. C., Taylor, A. W. (1999). Cumulative seismic damage of circular bridge columns: benchmark and low-cycle fatigue tests. ACI Structural Journal. 96(4), 633-641.
- Elwood, K. J., Sarrafzadeh, M., Pujol, S., Liel, A., Murray, P., Shah, P., et al. (2021). “Impact of prior shaking on earthquake response and repair requirements for structures—studies from ATC-145,” in Proceedings of the NZSEE 2021 annual conference (Christchurch, New Zealand).
- Fajfar, P. (1992). Equivalent ductility factors, taking into account low-cycle fatigue. Earthquake Engineering and Structural Dynamics. 21, 837-848. [CrossRef]
- Fujii, K. (2022). Peak and cumulative response of reinforced concrete frames with steel damper columns under seismic sequences. Buildings. 12, 275. [CrossRef]
- Fujii, K. (2024a), Critical pseudo-double impulse analysis evaluating seismic energy input to reinforced concrete buildings with steel damper columns. Frontiers in Built Environment. 10, 1369589. [CrossRef]
- Fujii, K. (2024b), Seismic capacity evaluation of reinforced concrete buildings with steel damper columns using incremental pseudo-multi impulse analysis. Frontiers in Built Environment. 10, 1431000. [CrossRef]
- Fujii, K. (2025a), Seismic response of reinforced concrete moment-resisting frame with steel damper columns under earthquake sequences: evaluation using extended critical pseudo-multi impulse analysis. Frontiers in Built Environment. 11, 1561534. [CrossRef]
- Fujii, K. (2025b), Critical response of reinforced concrete moment-resisting frames with steel damper columns subjected to sequences of two pulse-like ground motions. Frontiers in Built Environment. 11, 1689930. [CrossRef]
- Fujii, K., Kanno, H., Nishida, T. (2021). Formulation of the time-varying function of momentary energy input to a single-degree-of-freedom system using Fourier series (English Translated Article). Journal of Japan Association for Earthquake Engineering. 21(3), 28–47. [CrossRef]
- Fujii, K., Shioda, M. (2023). Energy-based prediction of the peak and cumulative response of a reinforced concrete building with steel damper columns. Buildings. 13, 401. [CrossRef]
- Hori, N., Iwasaki, T., Inoue, N. (2000). “Damaging properties of ground motions and response behaviour of structures based on momentary energy response,” in Proceedings of the 12th World Conference on Earthquake Engineering, Auckland, New Zealand.
- Hori, N., Inoue, N. (2002). Damaging properties of ground motion and prediction of maximum response of structures based on momentary energy input. Earthquake Engineering and Structural Dynamics. 31, 1657–1679. [CrossRef]
- Inoue, N., Wenliuhan, H., Kanno, H., Hori, N., Ogawa, J. (2000). “Shaking table tests of reinforced concrete columns subjected to simulated input motions with different time durations,” in Proceedings of the 12th World Conference on Earthquake Engineering, Auckland, New Zealand.
- JFE Civil Engineering, and Construction Corp. (JFE Civil). (2025). “JFE no Seishin-mabashira, JFE no Seishin-panel (Vibration control column and wall product by JFE).” Available online. https://www.jfe-civil.com/pdf/catalog/vibration_control_column.pdf, (last accessed on 26th December 2025, in Japanese).
- Kalkan, E., Kunnath, S. K. (2006). Effects of fling step and forward directivity on seismic response of buildings. Earthquake Spectra. 22(2), 367-390. [CrossRef]
- Kalkan, E., Kunnath, S. K. (2007). Effective cyclic energy as a measure of seismic demand. Journal of Earthquake Engineering. 11, 725-751. [CrossRef]
- Katayama, T., Ito, S., Kamura, H., Ueki, T., Okamoto, H. (2000a). “Experimental study on hysteretic damper with low yield strength steel under dynamic loading,” in Proceedings of the 12th World Conference on Earthquake Engineering, Auckland, New Zealand.
- Katayama, T., Ueki, T., Ito, S., Kamura, H., Nakamura, N, Hirota, M. (2000b). “Study on shear wall damper panel using low yield strength steel -part 2 modeling of hysteresis loop and evaluation of fatigue damage,” in Summaries of Technical Papers of Annual Meeting, Architectural Institute of Japan, Koriyama, Japan (in Japanese).
- Kojima, K., Takewaki, I. (2015a). Critical earthquake response of elastic–plastic structures under near-fault ground motions (Part 1: Fling-step input). Frontiers in Built Environment. 1, 12. [CrossRef]
- Kojima, K., Takewaki, I. (2015b). Critical earthquake response of elastic–plastic structures under near-fault ground motions (Part 2: Forward-directivity input). Frontiers in Built Environment. 1, 13. [CrossRef]
- Kojima, K., Takewaki, I. (2015c). Critical input and response of elastic–plastic structures under long-duration earthquake ground motions. Frontiers in Built Environment. 1, 15. [CrossRef]
- Manfredi, G., Polese, M., Cosenza, E. (2003). Cumulative demand of the earthquake ground motions in the near source. Earthquake Engineering and Structural Dynamics. 32, 1853–1865. [CrossRef]
- Mota-Páez, S., Escolano-Margarit, D., Benavent-Climent, A. (2021). Seismic response of RC frames with a soft first story retrofitted with hysteretic dampers under near-fault earthquakes. Applied Science. 11, 1290. [CrossRef]
- Mukoyama, R., Fujii, K., Irie, C., Tobari, R., Yoshinaga, M., and Miyagawa, K. (2021). “Displacement-controlled seismic design method of reinforced concrete frame with steel damper column,” in Proceedings of the 17th World Conference on Earthquake Engineering, Sendai, Japan.
- National Research Institute for Earth Science and Disaster Resilience (NIED). (2019). NIED K-NET, KiK-net, National Research Institute for Earth Science and Disaster Resilience. [CrossRef]
- Otani S. (1981). Hysteresis models of reinforced concrete for earthquake response analysis. Journal of the Faculty of Engineering, the University of Tokyo. 36(2), 125-156.
- Ono, Y.; Kaneko, H. (2001). “Constitutive rules of the steel damper and source code for the analysis program,” in Proceedings of the Passive Control Symposium 2001, Yokohama, Japan (In Japanese).
- Ordaz, M., Huerta, B., Reinoso, E. (2003). Exact computation of input-energy spectra from Fourier amplitude spectra. Earthquake Engineering and Structural Dynamics. 32, 597–605. [CrossRef]
- Park, YJ., Ang, AHS. (1985). Mechanistic Seismic Damage Model for Reinforced Concrete, Journal of Structural Engineering. 111(4). 722-739. [CrossRef]
- Park, YJ., Ang, AHS, Wen, YK. (1985). Seismic Damage Analysis of Reinforced Concrete Buildings, Journal of Structural Engineering. 111(4). 740-757. [CrossRef]
- Poljanšek K., Fajfar, P. (2008). “A new damage model for the seismic damage assessment of reinforced concrete frame structures,” in Proceedings of the 14th World Conference on Earthquake Engineering, Beijing, China.
- Rodrigues, H., Arêde, A., Varum, H., Costa, A. (2013). Damage evolution in reinforced concrete columns subjected to biaxial loading. Bulletin of Earthquake Engineering. 11. 1517–1540. [CrossRef]
- Takewaki, I. (2025). Review: Critical Excitation Problems for Elastic–Plastic Structures Under Simple Impulse Sequences. Japan Architectural Review. 8, e70037. [CrossRef]
- Takewaki, I., Kojima, K. (2021). An Impulse and Earthquake Energy Balance Approach in Nonlinear Structural Dynamics. Boca Raton, FL: CRC Press.
- Teran-Gilmore, A., Jirsa, J. O. (2005). A damage model for practical seismic design that accounts for low cycle fatigue. Earthquake Spectra. 21(3), 803-832. [CrossRef]
- Tropea, G.A., Angelucci, G., Bernardini, D., Quaranta, G., Mollaioli, F. (2023). New energy based metrics to evaluate building seismic capacity. In: Varum, H., Benavent-Climent, A., Mollaioli, F. (eds) Energy-Based Seismic Engineering. IWEBSE 2023. Lecture Notes in Civil Engineering, vol 236. Springer, Cham. [CrossRef]
- Tropea, G. A., Angelucci, G., Bernardini, D., Quaranta, G., Mollaioli, F. (2025a). New energy-based methodology to characterize nonlinear seismic response. Engineering Structures. 325, 119488. [CrossRef]
- Tropea , G. A., Angelucci, G., Bernardini, D., Quaranta, G., Mollaioli, F. (2025b). An energy based method to evaluate reinforced concrete column seismic capacity. Structures. 78, 109276. [CrossRef]
- Ueki, T., Katayama, T., Kamura, H., Ito, S., Hirota, M., Okamoto, H. (2000). “Study on shear wall damper panel using low yield strength steel -part 1 evaluation of hysteresis characteristics for difference of steel grade, ratio of width to thickness and speed of loading,” in Summaries of Technical Papers of Annual Meeting, Architectural Institute of Japan, Koriyama, Japan (in Japanese).
- Varum, H., Benavent-Climent, A., Mollaioli, F. (eds) (2023). Energy-Based Seismic Engineering, Proceedings of IWEBSE 2023. Cham: Springer. [CrossRef]
- Wada, A., Huang, Y., Iwata, M. (2000). Passive damping technology for buildings in Japan. Progress in Structural Engineering and Materials. 2(3), 335–350. [CrossRef]
- Xing, G., E. Ozbulut, O. E., Lei, T., Liu, B. (2017). Cumulative seismic damage assessment of reinforced concrete columns through cyclic and pseudo-dynamic tests. The Structural Design of Tall and Special Buildings. 26, e1308. [CrossRef]












| Station Name | Event Date | Distance (km) | Ground Motion ID | PGA (m/s2) |
|---|---|---|---|---|
| K-NET Tsukidate (MYG004) |
11 March 2011 | 175 | TSK-EW(M) | 12.69 |
| TSK-NS(M) | 27.00 | |||
| 07 April 2011 | 98 | TSK-EW(A) | 8.86 | |
| TSK-NS(A) | 12.42 | |||
| K-NET Furukawa (MYG006) |
11 March 2011 | 174 | FRK-EW(M) | 5.72 |
| FRK-NS(M) | 4.44 | |||
| 07 April 2011 | 93 | FRK-EW(A) | 4.79 | |
| FRK-NS(A) | 4.16 | |||
| K-NET Shiogama (MYG012) |
11 March 2011 | 163 | SGM-EW(M) | 19.69 |
| SGM-NS(M) | 7.58 | |||
| 07 April 2011 | 80 | SGM-EW(A) | 14.47 | |
| SGM-NS(A) | 5.56 | |||
| K-NET Sendai (MYG013) |
11 March 2011 | 170 | SND-EW(M) | 9.82 |
| SND-NS(M) | 15.17 | |||
| 07 April 2011 | 87 | SND-EW(A) | 10.02 | |
| SND-NS(A) | 5.89 | |||
| K-NET Iwanuma (MYG015) |
11 March 2011 | 174 | IWN-EW(M) | 3.53 |
| IWN-NS(M) | 4.11 | |||
| 07 April 2011 | 93 | IWN-EW(A) | 3.94 | |
| IWN-NS(A) | 3.43 | |||
| K-NET Kumamoto (KMM006) |
14 April 2016 | 6 | KMM-EW(F) | 3.81 |
| KMM-NS(F) | 5.74 | |||
| 16 April 2016 | 5 | KMM-EW(M) | 6.16 | |
| KMM-NS(M) | 8.27 | |||
| K-NET Uto (KMM008) |
14 April 2016 | 15 | UTO-EW(F) | 3.04 |
| UTO-NS(F) | 2.64 | |||
| 16 April 2016 | 12 | UTO-EW(M) | 7.71 | |
| UTO-NS(M) | 6.52 | |||
| KIK-NET Mashiki (KMMH16) |
14 April 2016 | 6 | MAS-EW(F) | 9.25 |
| MAS-NS(F) | 7.60 | |||
| 16 April 2016 | 7 | MAS-EW(M) | 11.57 | |
| MAS-NS(M) | 6.53 |
| Model | Input type | Total cases | Agreements | Agreement ratio |
|---|---|---|---|---|
| Dp033 | Single | 32 | 28 | 87.5% |
| Dp050 | 29 | 90.6% | ||
| Dp100 | 28 | 87.5% | ||
| Dp033 | Sequential | 29 | 90.6% | |
| Dp050 | 27 | 84.4% | ||
| Dp100 | 27 | 84.4% |
Disclaimer/Publisher’s Note: The statements, opinions and data contained in all publications are solely those of the individual author(s) and contributor(s) and not of MDPI and/or the editor(s). MDPI and/or the editor(s) disclaim responsibility for any injury to people or property resulting from any ideas, methods, instructions or products referred to in the content. |
© 2026 by the authors. Licensee MDPI, Basel, Switzerland. This article is an open access article distributed under the terms and conditions of the Creative Commons Attribution (CC BY) license (http://creativecommons.org/licenses/by/4.0/).
