Preprint
Article

This version is not peer-reviewed.

A Correction for the Cylinder Wall Adsorption in Forensic Ethanol Gas Standards

Submitted:

05 January 2026

Posted:

05 January 2026

You are already at the latest version

Abstract
Forensic ethanol gas standards are used for, among other, the calibration and metrological verification of evidential breath analysers as described in OIML-R126. A correction for the amount fraction ethanol in forensic gas standards due to cylinder wall adsorption is described. The correction was developed for both the national primary measurement standards as well as for derived primary reference materials. A novel method based on the well-known decanting principle was developed and assessed using two suites of gas mixtures with ethanol amount fractions between 50 μmol mol−1 to 1000 μmol mol−1 in nitrogen. From the results, it is inferred that the initial adsorption loss is a function of the amount fraction and an interpolation formula was developed accordingly. To account for differences in adsorption between cylinders, a mixed effects model was used to describe the adsorption loss data with an excess standard deviation to account for between-cylinder effects.
Keywords: 
;  ;  ;  ;  ;  ;  

1. Introduction

Forensic ethanol standards play an important role in the legislation concerning the driving under the influence of alcohol. In many countries, the base document for the metrological requirements for evidential breath analysis is OIML-R126 [1]. Gaseous certified reference materials (CRMs) are required to calibrate equipment that is being used for surveillance. These CRMs are generally certified for the amount fraction ethanol in nitrogen or air. VSL, the national metrology institute of The Netherlands maintains primary measurement standards, primary standard gas mixtures (PSMs) in the range 50 μmol mol−1 to 1000 μmol mol−1. The preparation of such mixtures is usually done in accordance with ISO 6142 [2,3]. The previous edition of this standard (ISO 6142:2001) [4] was amended to include the use of syringes or other transfer vessels to prepare mixtures involving liquids [5].
Currently, ISO 6142-1 [6] is widely used for preparing PSMs and primary reference materials (PRMs) for forensic ethanol gas standards. The calculation of the amount fraction ethanol in the calibration gas mixture rests on the assumption that the composition of the constituents entered into the cylinder is identical with the composition of the (homogenised) gas mixture when sampling from the cylinder. For ethanol, this assumption is not entirely valid, as this component shows adsorption on the cylinder wall. As a result, the amount fraction ethanol in the gas withdrawn from the cylinder is lower than the amount fraction ethanol computed from the preparation data. As all gas molecules show some degree of adsorption on solid surfaces, this assumption is more appropriate for some types of calibration gas mixtures than for others. Ethanol, just as other polar molecules (e.g., water, ammonia) shows substantial adsorption on the cylinder wall. Whether such adsorption is problematic with respect to assigning a value and uncertainty to the amount fraction of the component of interest depends on the user requirements. For forensic ethanol standards, the adsorption is large enough to be taken into consideration given the typical uncertainty.
The PSMs of National Metrology Institutes (NMIs) are compared in key comparisons to assess their equivalence in key comparisons [7,8]. In the key comparison CCQM-K4 [2], the values and uncertainties assigned to the amount fraction ethanol were just those obtained from the prepatation process of ISO 6142 [4,5]. In the key comparison CCQM-K93 however, some NMIs applied an adsorption correction, whereas others did not. VSL was among the latter. The nominal value of the amount fraction ethanol in this key comparison was 120 μmol mol−1. The travelling standards submitted were used as calibration standard and the result of the amount fraction of a working standard was recorded [3]. A consensus value was used to evaluate the results of the key comparison. Considering this design of CCQM-K93, a positive difference in the degree of equivalence flags that the amount fraction ethanol in the travelling standard was assigned too high. That is consistent with an unaccounted loss of ethanol due to cylinder wall adsorption.
The aim of this work is to develop a method for measuring the adsorption loss when preparing a calibration gas mixture in a cylinder with a given type of passivation. Passivation of the interior of gas cylinder serves the purpose of reducing the reactivity and adsorption at the cylinder wall. It should be born in mind that the effects are usually reduced, rather than completely eliminated. Generally, it is believed that the adsorption of a component at a surface is a function of the temperature, pressure and composition of the gas mixture. It is not considered a function of the preparation process, or the order in which the materials are transferred into the cylinder. Depending on this order, it may take shorter or longer to equilibrate and homogenise the calibration gas mixture after preparation. This equilibration also involves the equilibrium between adsorbed molecules and molecules of the same entity in the gas or vapour phase.
The experimental details of the work are described in Section 2. The modelling of the adsorption loss is described in Section 3 and the data reduction in Section 4. The results are summarised in Section 5. Form these, an interpolation formula was developed, as described in Section 6.

2. Experimental

The method used decanting of a gravimetrically prepared ethanol standard into a nominally identical, evacuated gas cylinder [9,10,11]. As the two cylinders are having the same passivation, valve, etc., it is assumed that the loss that occurs during the gravimetric gas mixture preparation also occurs during decanting. The decanting was performed in a controlled way to reduce temperature changes during the process. The tubing used was heated to 40 °C to reduce losses due to the transfer of the gas from the parent mixture (the mixture being decanted).
The parent gas mixtures were prepared in accordance with ISO 6142-1 [6] using the syringe method. This process was described previously elsewhere [12]. For the weighing of the cylinder and the syringe, the substitution method was used [13]. The children were prepared using the same process as used for preparing calibration gas mixtures with adsorbing or reactive components. Features of this method are the use of a heated (70 °C), short transfer line and using a low flow rate of the gas transferred from the parent gas cylinder. This process mitigates losses during the transfer of the parent gas mixture to the cylinder for the child mixture.
Two sets of mixtures were prepared, see Table 1 and Table 2. The stated uncertainties are those from gravimetric preparation only, and do not account for, e.g., adsorption losses and the verification of the mixtures. The amount fractions for the second set were chosen to be slightly different, so that when the two data sets were combined in the regression, the relationship between the adsorption loss ( δ ) and the amount fraction (x) could be better established. It had been anticipated that between-cylinder effects would play a more important role at low amount fractions and the behaviour of the passivation would be more regular for amount fraction above 100 μmol mol−1.
The pairs of the parent and child mixtures were then analysed. For this purpose, an Xendos 2500 non-dispersive infrared spectroscopy (NDIR) analyser from Servomex was used that is normally used for verification measurements as described in ISO 6142-1 [6] and is used for calibrating gas mixtures using ISO 6143 [14]. The cylinders were connected using dedicated stainless steel regulators. The measurements were performed by connecting the suite of 16 gas mixtures to a 16-way multi-position valve which in turn was connected to the NDIR monitor. The mixtures were analysed from low to high amount fraction, and the child before the parent in the sequence. The flushing of the regulators and sampling lines was done as usual.
The NDIR analyser was operated in the same way as during such verification measurements and calibrations. For each mixture, a response was obtained by sampling the signal for 90 s , providing 90 indications. From these indications, a mean and standard deviation were computed which are used as the response and standard uncertainty of the response, respectively. The characterisation of this kind of analysers has revealed that the noise of the signal is not white noise, so the assumption that the 90 indications are independent and identically distributed (IID) and Gaussian is not appropriate here. The chosen approach provides a cautious value for the standard uncertainty, assuming a high degree of (auto)correlation [15] between the 90 indications.
During the analysis of the set of mixtures in Table 1, it was noted that the amount fraction assigned based on the gravimetric gas mixture preparation was off for the nominally 700 μmol mol−1 mixture. The same effect was visible in the data for the child. It was decided that instead of discarding the data to re-assign the amount fraction ethanol based on the first analysis. A straight line was used as calibration function and the data from the parent mixtures were processed in accordance with ISO 6143 [14]. The amount fraction used for VSL348894 was, based on the analysis, adjusted to 678.63 μmol mol−1 with a standard uncertainty of 0.03 μmol mol−1. The latter standard uncertainty does not include any adsorption aspects.

3. Adsorption Correction

The relationship between adsorption loss, amount fraction ethanol and the responses was developed using the model for a single point calibration [16,17]. In usual calibrations, a straight line is used as calibration function and as the instrument response is corrected for a zero offset, the straight line passes in good approximation through the origin, no non-linearity effect of the analyser had to be taken into account. Considering that the anticipated losses are in the order of 0.210 μmol mol−1, the departure from a straight line through the origin between parent and child is expected to be negligible in relation to other uncertainty components.
An important assumption underlying the modelling is that the adsorption of ethanol in two nominally identical cylinders with the same passivation and valves is the same. So, it is expected that the parent calibration gas mixtures are prone to a single adsorption loss, whereas the children are expected to have a double adsorption loss. The adsorption loss is modelled to the observed responses as follows. Let the response factor be defined as
r i = y i x i
where y i denotes the instrument response and x i the amount fraction ethanol. If there is adsorption from ethanol to the wall, then the corrected amount fraction x i will be smaller than x i by a difference δ i . When decanting the mixture into an evacuated cylinder, the amount fraction x i will be smaller than x i by 2 δ i [18]. If r i remains constant, then
y i = r i x i , y i = r i x i ,
where the corresponding responses y i and y i are observable. We now have a system of two equations with unknowns r i and δ i . x i is known from gravimetric gas mixture preparation. Considering that x i = x i δ i and x i = x i 2 δ i , the responses can be expressed as
y i = r i ( x i δ i )
, y i = r i ( x i 2 δ i ) .
Subtracting equation (3) from equation (2) yields
y i y i = r i δ i ,
and the response factor r i can be computed from
y i = r i x i ( y i y i ) ,
using equations (2) and (4). Finally,
r i = 2 y i y i x i .
δ i can now be computed as (see also equation (4))
δ i = y i y i 2 y i y i x i .
This correction can be related to the mass ethanol transferred into the cylinder by using the formulæ  of ISO 6142-1 [6,19], but can also applied directly to the amount fraction computed from gravimetric gas mixture preparation. It is worth noting that equation (6) expresses the drop in the amount fraction ethanol solely in the observable responses of the parent and child calibration gas mixtures and the amount fraction assigned on the basis of the gravimetric preparation.
For physical reasons, values for δ i can be restricted to be non-negative and not exceed x i . If all molecules would be adsorbed onto the surface, it is expected that the amount fraction in the gas phase is zero, so the adsorption loss equals the amount fraction as calculated from preparation. For ethanol, the constraint that values for δ i may not have too much influence, as for this molecule there is appreciable adsorption. For molecules with weaker interactions, such as carbon dioxide or methane, including this constraint in data models can be appropriate. For this study, the comnstraint that δ i is non-negative did not need to be enforced. The measured values and uncertainties were such that these results were all significantly greater than zero.
One of the traits of this method is that it is straightforward to combine results from different experiments. It is assumed that pairs of mixtures (parent/child) are always analysed under repeatability conditions. Working under repeatability conditions provides the smallest uncertainties for the adsorption losses δ i . Combining the results from different pairs does not rest on working under repeatability conditions though. So, it is straightforward to combine the results from different series of experiments.

4. Data Reduction

The data reduction was performed into two steps. In each of them a Bayesian hierarchical model was used. The hierarchical model was used to (1) obtain a mean adsorption loss for each of the measurements and (2) obtain a mean adsorption loss for each pair of gas mixtures. The amount fractions and adsorption losses ( x i , δ i ) for the pairs of gas mixtures i were then used to obtain an interpolation function (see Section 6).
The Bayesian hierarchical models for combining the three runs in a measurement and the five measurements into one set of results for δ i contained one level. The likelihood of reads as [20]
y i j , u 2 ( y i j ) | θ N ( θ i j , σ i ) ,
where i denotes the index of the pair of gas mixtures, j the index of the run ( j = 1 , 2 , 3 ) or measurement ( j = 1 , 5 ), y i j the calculated value for the adsorption loss δ i j and u ( y i j ) the associated standard uncertainty. θ i j denotes the fitted value for δ i j and σ i the pooled standard deviation. N denotes the normal distribution.
The θ i j are assumed to be drawn from a normal distribution with mean μ i and standard deviation τ i , where μ i denotes the mean from the runs and τ i the standard deviation of the between-run effects. Conditional on these parameters, the θ i j are normally distributed [20]
θ i j | μ i , τ i , y i N ( θ ^ i j , V i j ) ,
with mean θ ^ i j and variance V i j , where
θ ^ i j = 1 σ i j 2 y i j + 1 τ i 2 μ i 1 σ i j 2 + 1 τ i 2 ; V i j = 1 1 σ i j 2 + 1 τ i 2 .
For the data reduction, the interest is in the estimates of μ i . The τ i are of interest as they provide information about the between-run variability, which can be used to benchmark the observed responses during regular calibration. The formula for computing μ ^ i takes the form
μ ^ i = j = 1 N 1 σ i j 2 + τ i 2 y i j j = 1 N 1 σ i j 2 + τ i 2 ,
and its associated standard uncertainty can be obtained from
u 2 ( μ ^ i ) = j = 1 N 1 σ i j 2 + τ i 2 .
For the computation of τ , there is no simple formula. Its estimate can be obtained from the posterior probability distribution, which is obtained by fitting the Bayesian model [20].
The hierarchical model has three parameters ( μ i , τ i and σ i ). The priors for these parameters are as follows [21]
μ i N ( μ i , 0 , ( μ i , 0 ) 2 ) , τ i Cauchy ( 0 , τ i , 0 ) , σ i Cauchy ( 0 , σ i , 0 ) ,
where Cauchy denotes the Cauchy distribution [20,21,22]. None of these priors contains much information. They were chosen so that the Markov Chain Monte Carlo method (MCMC) samples from the regions with likely values for μ i , τ i and σ i [20,23]. The model was fitted using MCMC as implemented in R [24] using the RStan package [25]. Four (4) chains were used, the number of iterations 300000 of which 50000 were used as ’burn-in’. The data were thinned 1:5.
The parameters for the prior probability distribution functions for fitting the data from the runs for the first set of mixtures are shown in Table 3. The normal prior for the adsorption correction has been chosen with a mean to be close to the anticipated adsorption losses and a standard deviation that equals the mean, thereby obtaining a weakly informative prior. The purpose of the latter prior is to improve the performance of the MCMC.
The parameters for the prior probability distribution functions for the parameters in the hierarchical Bayesian model for fitting the data from second set of mixtures are shown in Table 4. The deliberations for the choice of these values were the same as for the first set of mixtures.
To obtain the estimate for the adsorption loss δ i from the five measurements, the same Bayesian hierarchical model was used. The parameters of the priors were elicited based on results from the maintenance work on the national PSMs which involves the same preparation and verification procedures [26]. The same probability density functions were used as priors, but now with parameters μ 0 = 5 μmol mol−1, τ 0 = 0.5 μmol mol−1 and σ 0 = 0.02 μmol mol−1.

5. Results

5.1. First Suite of Gas Mixtures

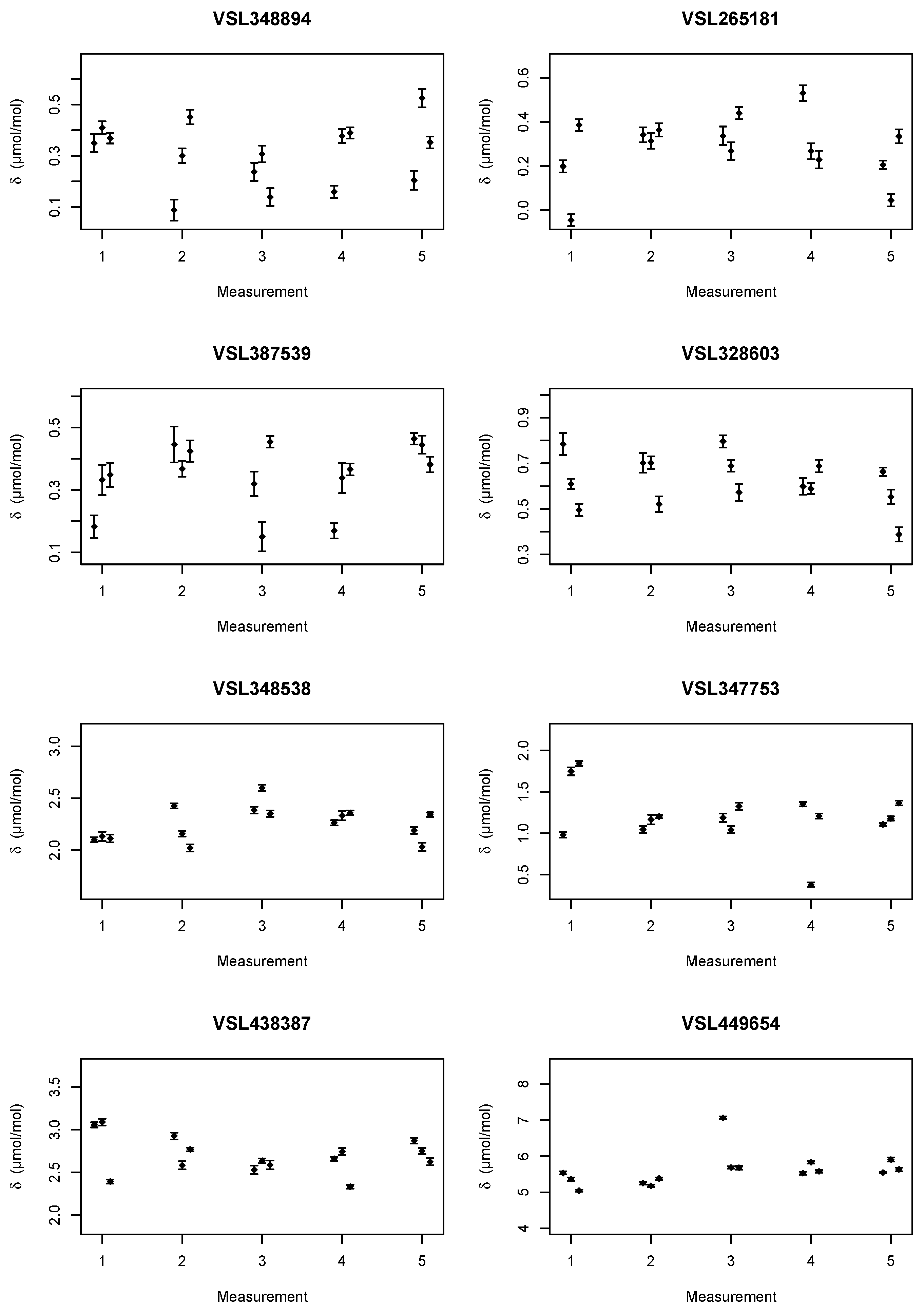
The results of measuring the adsorption losses of the first suite of pairs of gas mixtures are shown in Figure 1. The results of the three runs are displayed from left to right in the order they were taken for each of the five measurements. The uncertainty bars indicate expanded uncertainties ( k = 2 ). These uncertainties were calculated by propagating the uncertainties from the monitor response and that from the gravimetric preparation of the parent gas mixtures. The mixture codes at the top of the figures correspond to the parent gas mixtures listed in Table 1.
The results in Figure 1 show good consistency between runs and measurements. There is overdispersion in all data sets, hence the use of a hierarchical model with a variable to model the excess standard deviation ( τ ). Using the hierarchical model presented in Section 4 on first the runs and then the means of the five measurements ensures that the overdispersion is properly modelled and duly propagated to the standard uncertainty computed for the adsorption loss δ . This adsorption loss is the mean of all results in each of the panels in Figure 1.
The results of the five measurements were then fitted using the Bayesian hierarchical model as specified in Section 4. The results of the first suite of eight (8) gas mixtures are given in Table 5.
The measured adsorption losses are shown in Figure 2. The error bars indicate the standard uncertainties as obtained from fitting the second Bayesian hierarchical model, multiplied by a coverage factor k = 2 to obtain expanded uncertainties. Form the data, it is seen that the adsorption loss is a a function of the amount fraction ethanol. The relationship shows some curvature, but in rough approximation it can be described by a straight line. The results up to 125 μmol mol−1 indicate that there is some variability between the results that appears to exceed the experimental measurement uncertainty from determining the adsorption loss.
The pair of mixtures at 200 μmol mol−1 stand out; the adsorption was much stronger than for the other seven pairs, considering the nominal amount fractions. This issue was already known, for in previous experiments in 2016, also a pair of mixtures was set aside in the evaluation, for the adsorption loss measured was deemed to be unrepresentative [18]. This data set was however much smaller than the ones in this study, and also the range of amount fractions targeted did not match with the PSMs maintained. The results from this study, using the modelling described in Section 3, show agreement with the results presented.

5.2. Second Suite of Gas Mixtures

To supplement the data from the first suite of mixtures, a second suite of 8 mixtures were prepared. The nominal amount fractions ethanol were chosen slightly differently from the first suite, to provide in the end better support for an empirical relationship between the adsorption loss δ and the amount fraction x. The results of measuring the adsorption losses of the second suite of pairs of gas mixtures are shown in Figure 3. Five measurements were taken, each consisting of three runs. The results of the runs are displayed from left to right in the order they were taken. The uncertainty bars indicate expanded uncertainties ( k = 2 ). The mixture codes at the top of the figures correspond to the parent gas mixtures listed in Table 2.
The results in Figure 3 show good consistency between runs and measurements. There is overdispersion in all data sets. Using the hierarchical model presented in Section 4 like was done for the first dataset ensures that this overdispersion is properly modelled and duly propagated to the standard uncertainty computed for the adsorption loss δ . This adsorption loss is the mean of all results in each of the panels in Figure 3.
The measured adsorption losses are shown in Figure 4 and in Table 6. As in the case of Figure 2, the error bars indicate the standard uncertainties as obtained from fitting the second Bayesian hierarchical model, multiplied by a coverage factor k = 2 to obtain expanded uncertainties. The dependence of the adsorption loss on the amount fraction for the second set of mixtures resembles that of the first set (see Figure 2). The pair of mixtures at 200 μmol mol−1 of the second set fits much better in the overall trend of the adsorption losses.

6. Interpolation Formula

Rather than working with the measured adsorption losses themselves, for daily use it would be convenient having an interpolation formula that predicts the adsorption loss δ for given amount fraction ethanol. Looking at the adsorption loss data in Figure 2 and Figure 4, it is evident that a straight line will not do to describe the data. The shape of the relationship looks more like an exponential or a quadratic function. Considering that the departure from a straight-line relationship is not too large, a quadratic function can be probed, which is mathematically easier to handle in regression than an exponential function. Furthermore, when writing the exponential function as a Taylor series, it is a polynomial [27] and it can be shown for the adsorption loss data that the terms after the quadratic term are irrelevant to describe the data. So, the relationship between δ and x can be written as
δ i = α 1 + α 2 x i + α 3 x i 2 .
Fitting the data from set 1 using ordinary least-squares method (OLS) provided α ^ 1 = 0.3756 , α ^ 2 = 0 and α ^ 3 = 5.47 e 6 , where both δ i and x i are in μmol mol−1. Setting a tolerance interval of ± 0.2 % of the amount fraction ethanol, the relative differences using the coefficients from set 1 are as follows (Table 7). The relative difference, calculated as d rel = ( δ ^ δ ) / ( 0.002 x ) takes values ± 1 for all predicted adsorption losses within the tolerance interval. For the second set, the parameter values from fitting the data of the first set make predictions within the same tolerance interval (see Table 7). The poor prediction of the 200 μmol mol−1 pair from the first set (top half of Table 7) is due to the anomalous behaviour of this pair of mixtures; the prediction for the 200 μmol mol−1 pair from the second set is good.
For practical purposes, the uncertainty associated with the x i from gravimetry can be neglected; it is much smaller than the uncertainty associated with the δ i , so for fitting the data, the choice is between OLS or weighted least-squares method (WLS). With OLS, all data points get the same weight which presumes that the regression data are homoscedastic (i.e., have a constant variance). Looking at the data in Figure 2 and Figure 4 shows that the standard uncertainty associated with δ i increases with increasing x i , which makes WLS the preferred choice, as it weighs the residuals according to the standard uncertainty associated with the dependent variable (here δ i ). Apart from the heteroscedasticity in the adsorption loss data, there is also an overdispersion in the data, i.e., there is more dispersion in the data than accounted for by evaluating the standard uncertainty associated with the adsorption loss. Looking at the pair at 200 μmol mol−1 and 1000 μmol mol−1, this overdispersion is likely to be due to the fact that the adsorption loss is not identical for each cylinder. This is a form of between-bottle homogeneity [28,29] and a relevant component in the evaluation of the uncertainty. The regression method of choice should not only provide the values for the coefficients, but also a value for the standard deviation for overdispersion. Mixed-effects models as known from meta analysis [30] are capable of doing so. If it is assumed that the excess standard deviation is proportional to the amount fraction ethanol, the regression can be performed by fitting δ i / x i as a function of x i . The equation then becomes
δ i x i = α 1 1 x i + α 2 + α 3 x i .
This model can be fitted in R [24] using function rma from the metafor package [31]. The weights assigned are the inverses of the squared standard uncertainties associated with the measured adsorption losses. The coefficients of the model are given in Table 8. Considering the standard uncertainties, the coefficients α 2 (the linear term) and α 3 are insignificant. It would be tempting to describe the model with only the constant term ( α 1 ), but that would clearly contradict the results shown in Figure 2 and Figure 4. Hence, it is preferred for the interpolation to use The value of τ , the excess standard deviation is 0.105.
The performance of the interpolation function (8) is shown in Table 9. δ ^ denotes the predicted adsorption loss, τ the between-bottle effect, u ( δ ^ ) the combination of the standard uncertainty associated with δ and the excess standard deviation τ . The ultimate column in Table 9, labelled u rel ( δ ^ ) , shows the standard uncertainty u ( δ ^ ) relative to the amount fraction ethanol, x. The relative standard uncertainty associated with the correction is 0.11 for amount fractions in the range 100 μmol mol−1 to 1000 μmol mol−1 and increases to 0.15 for amount fractions down to 50 μmol mol−1 (Table 9). The residuals are shown in Figure 5. Most of these residuals are within ± τ . The 200 μmol mol−1 pair of mixtures from the first set is a notable exception. The two 1000 μmol mol−1 pairs of mixtures agree reasonably well with each other. The proposed standard uncertainty associated with the adsorption correction is given in the final column. This standard uncertainty is slightly larger than the value of τ , for it includes the measurement uncertainty from the measured adsorption loss.
The residuals in Figure 5 show largely opposite signs across the range of amount fractions. For instance, for the data in the range from 50 μmol mol−1 to 125 μmol mol−1, the relative differences are positive in the first data set and negative in the second; also the relative differences at 1000 μmol mol−1 carry opposite signs. These patterns flag that the interpolation formula does not induce a particular bias in a specific part of the amount fraction range from 50 μmol mol−1 to 1000μmol mol−1 and represents the empirical data well.

7. Discussion and Conclusions

The method used for measuring adsorption losses enables determining these losses under repeatability conditions. The link with the amount fraction ethanol is established using the amount fraction computed from the static gravimetric preparation according to ISO 6142-1. In this case, no further calibration of the analyser was deemed necessary as the performance characteristics of the analyser were known. From the calibration function established for the first suite of gas mixtures prepared for this study, it was inferred that the amount fraction of the 700 μmol mol−1 mixture was off, which propagated to the amount fraction ethanol in the decanted (child) mixture. Parent and child were assigned a new amount fraction based on analysis using the multipoint calibration method of ISO 6143 [14]. In all other cases, the analyser was effectively calibrated using a single point approach according to ISO 12963 [16,17]. The method for determining the adsorption losses uses three observable quantities, i.e., the amount fraction ethanol as computed from ISO 6142-1 [6,19], the response of the parent mixture and the response of the chlid mixture, to compute the adsorption loss. From the input quantities, further desired output quantities can be computed such as the amount fractions ethanol in the parent and child mixtures adjusted for the adsorption loss. The adsorption losses are a function of the amount fraction ethanol. From the results, a quadratic interpolation function was established. A mixed-effects model with excess variance was needed to account for the between-bottle homogeneity effects. These effects are due to the apparent differences in adsorption between gas cylinders with nominally identical passivation and cylinder values. Including the between-bottle homogeneity effect, the interpolation formula predicts adsorption losses for the amount fraction ethanol from 50 μmol mol−1 to 1000 μmol mol−1 with a relative standard uncertainty from 0.150.11. Cylinders that show anomalous adsoprtion behaviour will be found during the verification of gravimetrically prepared ethanol standards by result that does not agree with the result obtained from preparation, including an adjustment for the ethanol adsorption. The work underlines that between-bottle effects in reference material production can be relevant even in cases when reference materials (RMs) are characterised and provided one at a time. This is a notion that is missed in ISO 10734 [32] and ISO 33405 [33]. For most RMs, interactions between the material and the inner surface of the packaging material (e.g., sample container) are minimal, but in gas analysis this is for high-end applications not necessarily the case. The phenomenon is for instance also relevant for RMs for nitrogen dioxide analysis and other reactive components. When extreme precision between RMs is required, as with RMs for monitoring greenhouse gases, between-bottle effects are also relevant to consider in the uncertainty budget(s) of the property value(s).

Author Contributions

Conceptualization, AvdV and GN; methodology, AvdV, MN; software, AvdV; validation, GN, NM and JL.; formal analysis, AvdV; resources, GN; data curation, AvdV; writing—original draft preparation, AvdV; writing—review and editing, AvdV, NM, GN and JL; visualization, AvdV; funding acquisition, GN. All authors have read and agreed to the published version of the manuscript..

Funding

This research was funded by Ministry of Economic Affairs of the Netherlands. “The APC was kindly funded by MDPI.

Institutional Review Board Statement

Not applicable.

Data Availability Statement

The original data presented in the study are openly available in [repository name, e.g., FigShare] at [DOI/URL] or [reference/accession number].

Conflicts of Interest

The authors declare no conflicts of interest.

References

  1. OIML R 126 Evidential breath analysers; OIML, International Organization for Legal Metrology: Paris, France, 2021.
  2. Milton, M.; Brookes, C.; Marschal, A.; Guenther, F.; Leer, E.; Zhen, W.L.; Takahashi, C.; Deak, E.; Kustikov, Y. Final Report of Key Comparison CCQM-K4 (ethanol in air). Technical report NPL, Teddington, UK, 2001. [Google Scholar]
  3. Brown, A.S.; Milton, M.J.T.; Brookes, C.; Vargha, G.M.; Downey, M.L.; Uehara, S.; Augusto, C.R.; de Lima Fioravante, A.; Sobrinho, D.G.; Dias, F.; et al. Final report on CCQM-K93: Preparative comparison of ethanol in nitrogen. Metrologia 2013, 50, 08025–08025. [Google Scholar] [CrossRef]
  4. ISO 6142 Gas analysis — Preparation of calibration gas mixtures — Gravimetric method, Second edition; ISO, International Organization for Standardization: Geneva, Switzerland, 2001.
  5. ISO 6142:2001/Amd 1:2009 Liquid introduction; ISO, International Organization for Standardization. Geneva, Switzerland, 2009.
  6. ISO 6142–1Gas analysis — Preparation of calibration gas mixtures — Gravimetric method for Class I mixtures, First edition; ISO, International Organization for Standardization: Geneva, Switzerland, 2015.
  7. CIPM. Mutual recognition of national measurement standards and of calibration and measurement certificates issued by national metrology institutes. 1999. [Google Scholar]
  8. CIPM MRA-G-11 Measurement comparisons in the CIPM MRA. Guidelines for organizing, participating and reporting. CIPM MRA, Bureau International des Poids et Mesures, BIPM, Pavillon de Breteuil, F-92312 Sèvres Cedex, 2021. Version 1.1.
  9. Brewer, P.J.; Kim, J.S.; Lee, S.; Tarasova, O.A.; Viallon, J.; Flores, E.; Wielgosz, R.I.; Shimosaka, T.; Assonov, S.; Allison, C.E.; et al. Advances in reference materials and measurement techniques for greenhouse gas atmospheric observations. Metrologia 2019, 56, 034006. [Google Scholar] [CrossRef]
  10. Brewer, P.J.; Brown, R.J.C.; Webber, E.B.M.; van Aswegen, S.; Ward, M.K.M.; Hill-Pearce, R.E.; Worton, D.R. Breakthrough in Negating the Impact of Adsorption in Gas Reference Materials. Analytical Chemistry 2019, 91, 5310–5315. [Google Scholar] [CrossRef] [PubMed]
  11. Leuenberger, M.C.; Schibig, M.F.; Nyfeler, P. Gas adsorption and desorption effects on cylinders and their importance for long-term gas records. Atmospheric Measurement Techniques 2015, 8, 5289–5299. [Google Scholar] [CrossRef]
  12. van Andel, I.; van der Veen, A.M.H.; Zalewska, E.T. A robot for weighing syringes used in reference gas mixture preparation. Metrologia 2012, 49, 446. [Google Scholar] [CrossRef]
  13. Alink, A.; van der Veen, A.M.H. Uncertainty calculations for the preparation of primary gas mixtures. Part 1: Gravimetry. Metrologia 2000, 37, 641–650. [Google Scholar] [CrossRef]
  14. ISO 6143 Gas analysis — Comparison methods for determining and checking the composition of calibration gas mixtures, Third edition; ISO, International Organization for Standardization: Geneva, Switzerland, 2025.
  15. Shumway, R.H.; Stoffer, D.S. Time Series Analysis and Its Applications: With R Examples; Springer International Publishing, 2017. [Google Scholar] [CrossRef]
  16. ISO 12963 Gas analysis — Comparison methods for the determination of the composition of gas mixtures based on one- and two-point calibrationISO, International Organization for Standardization, First edition; Geneva, Switzerland, 2017.
  17. ISO 12963:2017/Amd 1:2020 Gas analysis — Comparison methods for the determination of the composition of gas mixtures based on one- and two-point calibrationAmendment 1: Correction to Formula 5, First edition; ISO, International Organization for Standardization: Geneva, Switzerland, 2020.
  18. Nieuwenkamp, G. Quantification of the ethanol adsorption at the cylinder surface. Technical Report S-CH.16.01, VSL, Chemistry Laboratory. Delft, the Netherlands, 2016. [Google Scholar]
  19. ISO 6142-1:2015/Amd 1:2020 Amendment 1: Corrections to formulae in Annex E and Annex G; ISO, International Organization for Standardization. Geneva, Switzerland, 2020.
  20. Gelman, A.; Carlin, J.; Stern, H.; Dunson, D.; Vehtari, A.; Rubin, D. Bayesian Data Analysis, 3rd ed.; Chapman and Hall/CRC: Boca Raton, Florida, USA, 2013. [Google Scholar]
  21. Gelman, A. Prior distributions for variance parameters in hierarchical models (Comment on Article by Browne and Draper). Bayesian Analysis 2006, 1, 515–534. [Google Scholar] [CrossRef]
  22. Wikipedia contributors. Cauchy distribution — Wikipedia, The Free Encyclopedia, 2024. [Online; accessed 29-October-2024].
  23. van der Veen, A.M. Bayesian methods for type A evaluation of standard uncertainty. Metrologia 2018, 55, 670–684. [Google Scholar] [CrossRef]
  24. R Core Team. R: A Language and Environment for Statistical Computing; R Foundation for Statistical Computing: Vienna, Austria, 2025. [Google Scholar]
  25. Stan Development Team. RStan: the R interface to Stan, 2025. R package version 2.35.0.9000.
  26. van der Veen, A.M.; van Wijk, J.I.T. Calibration and Measurement Capabilities for mixtures of ethanol in nitrogen/synthetic air. Technical report Report S-CH.21.18. 2021. [Google Scholar]
  27. Boas, M.L. Mathematical Methods in the Physical Sciences; John Wiley & Sons Inc, 2005. [Google Scholar]
  28. van der Veen, A.M.H.; Linsinger, T.P.; Pauwels, J. Uncertainty calculations in the certification of reference materials. 2. Homogeneity study. Accreditation and Quality Assurance 2001, 6, 26–30. [Google Scholar] [CrossRef]
  29. Linsinger, T.P.J.; Pauwels, J.; van der Veen, A.M.H.; Schimmel, H.; Lamberty, A. Homogeneity and stability of reference materials. Accreditation and Quality Assurance 2001, 6, 20–25. [Google Scholar] [CrossRef]
  30. Schwarzer, G.; Carpenter, J.R.; Rücker, G. Meta-Analysis with R (Use R!); Springer, 2015. [Google Scholar]
  31. Viechtbauer, W. Conducting meta-analyses in R with the metafor package. Journal of Statistical Software 2010, 36, 1–48. [Google Scholar]
  32. ISO 17034 General requirements for the competence of reference material producersISO, International Organization for Standardization, First edition; Geneva, Switzerland, 2016.
  33. ISO 33405Reference materials — Approaches for characterization and assessment of homogeneity and stability, First edition; ISO, International Organization for Standardization: Geneva, Switzerland, 2024.
Figure 1. Adsorption losses for the first suite of eight mixtures. The uncertainty bars indicate expanded uncertainties.
Figure 1. Adsorption losses for the first suite of eight mixtures. The uncertainty bars indicate expanded uncertainties.
Preprints 192965 g001
Figure 2. Adsorption losses and expanded uncertainties for the first set of mixtures. The shaded area indicates the 95 coverage interval of the interpolation formula.
Figure 2. Adsorption losses and expanded uncertainties for the first set of mixtures. The shaded area indicates the 95 coverage interval of the interpolation formula.
Preprints 192965 g002
Figure 3. Adsorption losses for the second suite of eight mixtures. The uncertainty bars indicate expanded uncertainties.
Figure 3. Adsorption losses for the second suite of eight mixtures. The uncertainty bars indicate expanded uncertainties.
Preprints 192965 g003
Figure 4. Adsorption losses and expanded uncertainties for the second set of mixtures. The shaded area indicates the 95 coverage interval of the interpolation formula.
Figure 4. Adsorption losses and expanded uncertainties for the second set of mixtures. The shaded area indicates the 95 coverage interval of the interpolation formula.
Preprints 192965 g004
Figure 5. Residuals from fitting the adsorption loss δ as a function of the amount fraction ethanol x (μmol mol−1). In black diamonds the residuals from the first set of mixtures are displayed, in red balls those from the second set of mixtures.
Figure 5. Residuals from fitting the adsorption loss δ as a function of the amount fraction ethanol x (μmol mol−1). In black diamonds the residuals from the first set of mixtures are displayed, in red balls those from the second set of mixtures.
Preprints 192965 g005
Table 1. Mixtures set #1 with the amount fractions ethanol (x) and standard uncertainties ( u ( x ) ) in μmol mol−1) calculation from gravimetric gas mixture preparation.
Table 1. Mixtures set #1 with the amount fractions ethanol (x) and standard uncertainties ( u ( x ) ) in μmol mol−1) calculation from gravimetric gas mixture preparation.
Parent Child x u ( x )
VSL348581 VSL348894 49.815 0.014
VSL447826 VSL265181 79.784 0.013
VSL348513 VSL387539 99.849 0.021
VSL247340 VSL328603 125.062 0.021
VSL249697 VSL348538 200.111 0.014
VSL323534 VSL347753 398.434 0.022
VSL338372 VSL438387 699.284 0.269
VSL409605 VSL449654 999.420 0.038
Table 2. Mixtures set #2 with the amount fractions ethanol (x) and standard uncertainties ( u ( x ) ) in μmol mol−1) calculation from gravimetric gas mixture preparation.
Table 2. Mixtures set #2 with the amount fractions ethanol (x) and standard uncertainties ( u ( x ) ) in μmol mol−1) calculation from gravimetric gas mixture preparation.
Parent Child x u ( x )
VSL291407 VSL244124 49.620 0.013
VSL338580 VSL244178 100.062 0.012
VSL265081 VSL444218 125.264 0.014
VSL600684 VSL244189 199.650 0.018
VSL349709 VSL243523 399.299 0.018
VSL386097 VSL244707 599.395 0.022
VSL243696 VSL344181 796.617 0.029
VSL448231 VSL244471 999.138 0.037
Table 3. Parameters of the prior distributions for the first set of mixtures.
Table 3. Parameters of the prior distributions for the first set of mixtures.
Level μ 0 τ 0 σ 0
1 0.50 0.05 0.20
2 0.50 0.20 0.20
3 0.50 0.10 0.20
4 0.50 0.20 0.20
5 2.00 0.10 0.20
6 2.00 0.50 0.20
7 3.00 0.50 0.20
8 5.00 0.30 0.20
Table 4. Parameters of the prior distributions for the second set of mixtures.
Table 4. Parameters of the prior distributions for the second set of mixtures.
Level μ 0 τ 0 σ 0
1 0.50 0.10 0.02
2 0.50 0.20 0.02
3 0.50 0.20 0.02
4 0.80 0.20 0.02
5 1.00 0.10 0.02
6 2.00 0.30 0.02
7 3.00 0.30 0.02
8 8.00 0.20 0.02
Table 5. Adsorption losses of the first set of mixtures (μmol mol−1).
Table 5. Adsorption losses of the first set of mixtures (μmol mol−1).
x δ s ( δ ) τ s ( τ ) σ u ( σ )
49.815 0.318 0.044 0.060 0.056 0.056 0.009
79.784 0.295 0.060 0.075 0.076 0.081 0.013
99.849 0.352 0.049 0.067 0.061 0.062 0.010
125.062 0.618 0.059 0.065 0.065 0.095 0.016
200.111 2.253 0.090 0.170 0.097 0.050 0.008
398.434 1.228 0.129 0.164 0.141 0.192 0.030
699.284 2.703 0.103 0.118 0.110 0.165 0.027
999.420 5.608 0.197 0.340 0.207 0.191 0.031
Table 6. Adsorption losses of the second set of mixtures μmol mol−1).
Table 6. Adsorption losses of the second set of mixtures μmol mol−1).
x δ s ( δ ) τ s ( τ ) σ u ( σ )
49.620 0.379 0.051 0.058 0.058 0.078 0.013
100.062 0.535 0.065 0.069 0.069 0.106 0.018
125.264 0.617 0.058 0.067 0.066 0.089 0.015
199.650 0.685 0.062 0.069 0.070 0.097 0.016
339.804 0.883 0.109 0.197 0.118 0.080 0.013
599.395 1.615 0.154 0.289 0.157 0.106 0.017
796.617 3.237 0.097 0.108 0.102 0.156 0.026
999.138 7.862 0.142 0.263 0.147 0.098 0.016
Table 7. Measured ( δ ) and predicted adsorption losses ( δ ^ ) and differences relative to 0.2 % x .
Table 7. Measured ( δ ) and predicted adsorption losses ( δ ^ ) and differences relative to 0.2 % x .
x
μmol mol−1
δ
μmol mol−1
δ ^
μmol mol−1
d rel
49.815 0.318 0.389 0.71
79.784 0.296 0.410 0.72
99.849 0.352 0.430 0.39
125.062 0.619 0.461 -0.63
200.111 1.126 0.594 -1.33
398.434 1.228 1.243 0.02
678.630 2.707 3.049 0.24
999.420 5.608 5.836 0.11
49.620 0.380 0.389 0.09
100.062 0.535 0.430 -0.52
125.264 0.617 0.461 -0.62
199.650 0.686 0.593 -0.23
339.804 0.883 1.007 0.18
599.395 1.616 2.340 0.60
796.617 3.237 3.845 0.38
999.138 7.862 5.833 -1.02
Table 8. Values and standard uncertainties of the coefficients of the quadratic polynomial in equation (8) describing the adsorption loss as a function of the amount fraction ethanol.
Table 8. Values and standard uncertainties of the coefficients of the quadratic polynomial in equation (8) describing the adsorption loss as a function of the amount fraction ethanol.
i α i u ( α i )
1 0.329 0.082
2 0.00041 0.00105
3 0.0000051 0.0000014
Table 9. Measured and predicted adsorption losses in the presence of a between-bottle homogeneity effect.
Table 9. Measured and predicted adsorption losses in the presence of a between-bottle homogeneity effect.
x
μmol mol−1
δ
μmol mol−1
u ( δ )
μmol mol−1
δ ^
μmol mol−1
τ
μmol mol−1
u ( δ ^ )
μmol mol−1
} 49.815 0.318 0.044 0.362 0.052 0.068
79.784 0.296 0.056 0.393 0.084 0.101
99.849 0.352 0.052 0.419 0.105 0.117
125.062 0.619 0.058 0.458 0.131 0.144
200.111 2.253 0.090 0.611 0.210 0.229
398.434 1.228 0.131 1.285 0.419 0.439
678.630 2.707 0.105 2.907 0.713 0.721
999.420 5.608 0.196 5.729 1.050 1.069
49.620 0.380 0.051 0.362 0.052 0.073
100.062 0.535 0.064 0.420 0.105 0.123
125.264 0.617 0.058 0.458 0.132 0.144
199.650 0.686 0.061 0.609 0.210 0.219
339.804 0.883 0.108 1.044 0.357 0.373
599.395 1.616 0.155 2.369 0.630 0.649
796.617 3.237 0.098 3.825 0.837 0.843
999.138 7.862 0.141 5.726 1.050 1.060
Disclaimer/Publisher’s Note: The statements, opinions and data contained in all publications are solely those of the individual author(s) and contributor(s) and not of MDPI and/or the editor(s). MDPI and/or the editor(s) disclaim responsibility for any injury to people or property resulting from any ideas, methods, instructions or products referred to in the content.
Copyright: This open access article is published under a Creative Commons CC BY 4.0 license, which permit the free download, distribution, and reuse, provided that the author and preprint are cited in any reuse.
Prerpints.org logo

Preprints.org is a free preprint server supported by MDPI in Basel, Switzerland.

Subscribe

Disclaimer

Terms of Use

Privacy Policy

Privacy Settings

© 2026 MDPI (Basel, Switzerland) unless otherwise stated