Preprint
Article

This version is not peer-reviewed.

Thermal Performance Evaluation of Trombe Wall Systems Using Multimodal Data Analysis

Submitted:

29 December 2025

Posted:

29 December 2025

You are already at the latest version

Abstract
National economic growth drives rapid infrastructure development, with civil engineering technology shifting from manual to AI and computer-based approaches due to the mature development of the Internet. Against this backdrop, this study applies computer technologies—specifically multimodal data—to enhance project rigor and safety. Taking an intelligent Trombe wall in a specific temperature area as a case study, we use multimodal data analysis and a multi-view algorithm to establish a systematic analysis process. Experimental results show that the four temperature measurement points of the Trombe wall reach maximum temperatures of 25.7°C (point 1), 24.7°C (point 2), and 25.1°C (points 3 and 4). These findings indicate that multimodal data analysis can effectively improve the quality of civil construction.
Keywords: 
;  ;  ;  

1. Introduction

Civil engineering encompasses all technical activities and constructed assets within the engineering construction domain. Civil engineering projects maintain the most intimate connection with the daily lives of citizens. This study uses the construction of an intelligent Trombe wall in severe cold regions as a case study to analyze multimodal data associated with its implementation. Key features of this smart wall include efficient solar heat collection and thermal storage, making it prevalent in cold-climate construction. Compared to traditional floor heating systems, this wall-integrated solution offers superior thermal insulation while utilizing solar energy—a renewable, clean energy source. Thus, under national sustainable development frameworks, this thermal insulation wall has emerged as a strategically significant construction option. Early Trombe walls (conventional heat-collecting walls) relied on standardized construction with limited data optimization, leading to uniform designs across diverse cold regions. This resulted in suboptimal thermal performance, as walls failed to adapt to localized lighting and temperature conditions. This study addresses this gap by analyzing and processing multimodal data from multiple angles to tailor collector wall construction to regional environmental parameters.
Research on Trombe wall (heat-collecting wall) construction in civil engineering plays a critical role in improving residential environments in cold regions, with several scholars contributing to this field. Prior studies include: MT Chaichan optimized collector wall construction for civil projects, achieving promising results [1]; Y Zhou redesigned Trombe wall configurations using novel materials [2]; J Dong integrated solar absorption devices into Trombe wall interlayers and conducted qualitative/quantitative data analysis [3]; T Wuest linked Trombe wall design to seasonal temperature variations [4]; RB Slama addressed collector wall construction conditions and cost optimization strategies [5]. These studies have advanced Trombe wall construction and optimization, enhancing the alignment of collector wall processes and outcomes with local residential needs. However, a critical gap remains: none of these studies provide specific methodologies for analyzing and processing multimodal data from diverse angles during Trombe collector wall construction. This omission can limit the performance of final wall systems in civil engineering applications. This study addresses this gap by proposing a structured approach to process multimodal data for Trombe collector wall construction.
Multimodal data processing involves collecting and analyzing key parameters of Trombe collector walls, a topic explored by several researchers: W Threeanaew applied multimodal data analysis to identify construction parameters for Trombe collector walls [6]; XUE developed a data model for heat-collecting wall construction, proposing a new research direction [7]; Q Zhang determined collector wall parameters via a novel multimodal data analysis method [8]; L Exin analyzed heat-collecting wall parameters using neural pattern imaging [9]; X Yang processed heat-collecting wall parameters via a new software tool [10]. Trombe collector wall construction requires precise control of key parameters, as these directly impact thermal insulation and heat storage performance. Traditional construction methods often focus on retrofitting existing insulated spaces, neglecting multi-angle, multi-method optimization of Trombe wall design. This oversight limits the full potential of thermal insulation and heat storage post-construction. Research indicates that multimodal data analysis for Trombe wall construction stabilizes insulation performance and facilitates system problem diagnosis.
This study conducts multimodal analysis of key parameters in Trombe collector wall construction. For civil engineering applications, this data processing approach significantly ensures finished product quality and alignment with design expectations.
This study uses the Trombe heat-collecting wall as a case study in civil construction, focusing on multi-source data collection during construction in severe cold regions. Such data collection (covering structural parameters of each Trombe wall component) facilitates the realization of Trombe collector wall performance during construction, which is critical for wall functionality. Data for the Trombe heat-collecting wall was derived from field observations, with the goal of achieving superior thermal insulation and cold protection compared to traditional methods. Field experiments showed: solar radiation energy reached 1059 units with a corresponding heat exchange value of 69 in the Trombe wall; when insulation material thickness was 20mm, heat loss reduction was comparable to non-insulated Trombe walls; optimal performance was observed at 16 °C with a 6cm air gap, making this configuration ideal for cold regions. These results confirm that multi-angle, multi-method data collection in civil construction ensures and enhances the utility of finished products.

2. Multimodal Data Processing for the Construction of the Trumbu Wall

2.1. Multimodal Data of Trumble Walls

Trombe wall is also called heat collecting wall. The function of this kind of building is to improve the living environment of people in cold areas. Because the land area is very vast, some areas will be in the low temperature zone, and the living environment of the local residents is difficult for the human body to cope with alone, which makes the local people take precautions against the severe cold environment in which they are located [11]. Such a natural environment makes the demand for buildings such as the trombe wall always exist. Similar to this, traditional buildings built to improve the living environment have developed a lot, and some are still solving the living environment and climate problems for local people. In order to improve the traditional buildings constructed in the climatic environment, the following are listed in Figure 1:
Figure 1 contains five traditional climate-improving buildings. These buildings are the products of local residents’ long-term living experience and corresponding cultural connotations. Its practicality has also been confirmed by use and verification. Among them, Ayiwang in Xinjiang has very similar functions to the Trump Wall mentioned in this article. The former is used in hot areas all year round, and the temperature difference between day and night is huge. For people’s lives, it is extremely important for buildings to dissipate heat at high temperatures and keep warm at low temperatures. The difference is that the Trumbu collector wall in this article is mostly used in cold areas, and the principle is to make a reasonable transformation and use of solar energy. In this period, in addition to the consideration of improving the climate of houses, it is also necessary to combine the concept of modern development of environmental protection [12]. For some severe cold regions, the climate improvement is usually by burning coal for heating, the use of this method will destroy the harmonious development of the environment, and this also occupies a lot of available natural resources. The Trumbu wall mentioned in this article is a kind of improvement for cold climates by changing the ventilation inside the building with the help of solar energy. The architectural design of the solution to improve the climate in cold regions is similar to the Trumbu wall. There is also a sun room, which includes two structures as shown in Figure 2.
The structure of the two types of solar houses in Figure 2 belongs to the house type structure that passively absorbs sunlight, and the house type of this structure can help to collect and absorb the energy in sunlight [13]. The main principle is to rely on the internal structure of the house to transmit the absorbed heat, and the change of this structure can well solve the temperature regulation ability of the living environment in cold areas. The construction of the Trumbu wall in this paper is a heat-collecting wall with better temperature control effect after the improvement of the above two room types. The principle of the wall is through the rational use of the energy produced by the clean energy sun. This creates a better condition for gas flow in the room [14]. The characteristic of this type of house is that the energy consumption in temperature control can be adjusted in time through the original structure of the house[15], which can greatly reduce the use of unclean energy. The working process of the Trumbu collector wall in the cold state and the high temperature state can be represented by Figure 3:
Figure 3 illustrates the Trumbu collector wall’s state under high and low temperatures. In summer (high temperature), sunlight heats air in the airflow duct, generating natural wind to expel indoor heat; in winter (low temperature), the heated air flows inward to raise indoor temperature, achieving “warm in winter and cool in summer” via direction switches. Though applied in construction, its effect varies by region. Thus, this study conducts multi-modal data analysis on its construction for diversified adaptation. The analysis prioritizes building-oriented objectives, collecting key data (solar radiation energy, absorbed/released heat energy) via various monitoring instruments, which reflect heat characteristics during the wall’s operation.

2.2. Processing of Multi-Modal Data by Multi-View Measurement Algorithm

The premise of multi-modal analysis of the Trumbu collector wall is to construct the wall in different categories. This paper designed three different Trumbu collector walls according to the building climate environment in different places [18]. And in order to make more reasonable settings for the construction of the three types of Trumbu heat collection walls, first, it is necessary to determine the diameter of the air flow ducts in the structure, the specific heat capacity of the glass and temperature control wall materials used, and the monitoring of the amount of solar radiation. The structures of the corresponding three types of Trumbu collector walls are shown in Figure 4:
Figure 4 Trombe collector walls adjust room temperature via distinct ventilation modes: two-way (integrates solar-heated and room air, suitable for low temps [19]), external layer (circulates heated air for colder areas), internal circulation (drives natural wind). Air layer spacing affects thermal convection [20]; this study optimizes thickness by first calculating lower-end heat exchange. Formula follows:
Q q s ρ s η s Δ d 2 c σ D t s , 1 D t = k g , q s Δ d 2 c σ ' ( t 1,1 t s , 1 ) + k g , q s Δ d 2 k s ( t l , 1 t s , 1 ) + ρ s u Q q s ( t m t s , 1 )
The t s , m in the formula represents the distribution of the temperature from the lower part to the upper part of the air spacer. Q q s is the heat capacity value of air. ρ s represents the density of air. t m represents the air temperature in the room. u is the ventilation volume of the air spacer. k g , q s is the parameter value representing the heat convection exchange between the wall of the Trumbu collector wall and the air spacer [21]. The left side of the equal sign in the formula represents the amount of sunlight heat absorbed by the air spacer. The right side of the equal sign corresponds to the amount of heat exchange between the air spacer and the collector wall, the heat exchange value between the air spacer and the outermost wall, and the heat in the air spacer that increases the temperature. The next step is to define the magnitude of the natural wind passing through the air spacer. The corresponding mathematical expression is as follows:
u = r δ H 2 G l | t s , a t m | t m ,
In the formula, it represents the area that can be ventilated in the air spacer, and in the formula, it represents the coefficient of air flow calculation, and represents the distance between the upper and lower vents. This formula specifies the amount of air flow in the spaced ducts in the air layer. And this has a direct effect on the calculation of thermal convection by the air spacer in three different types of Trumbe collector walls [22]. The air heated by sunlight will generate the power of air flow due to the difference of internal and external air pressure, and the area of the spacer layer will directly affect the exchange of air at different temperatures inside and outside. The next step is to define the formula for the heat exchange at the middle and upper ends of the air spacer. Its mathematical expression is as follows:
Q q s ρ s η s Δ d c ω ¯ D t s , j D t = k g , q s Δ d c ω ¯ ( t 1 , i t s , j ) + k g , q s Δ d ω ¯ ( t g , j t s , j ) + ρ s u Q q s ( t s , j t s , j + 1 )
The t s , j in the formula represents the temperature in the air compartment at the position j, and the t s , j + 1 in the same formula represents the temperature in the air compartment at the position j +1. The meanings of the terms on the left and right sides of the formula are the same as those in Formula (1). The above process describes heat changes and temperature distribution in the air compartment, but some calculation parameters require diverse testing methods. Applying measured data via Formulas (1)(2)(3) constitutes multimodal data analysis for Trombe collector wall construction [23]. Key parameters (air heat capacity, temperature, density, ventilation volume) need diverse acquisition methods and are treated as feature views, which require optimization via linear/non-linear combination. First is linear direct correlation summation; formula follows:
T a x , a y = t = 1 r T t a x , a y ,  
The formula corresponding to the second linear correlation method is as follows:
T b x , b y = t = 1 r g t T t b x , b y ,
For the application of Formula (4) and Formula (5), the three Formulas (1), (2) and (3) can be optimized respectively for the calculation results of three types of Trombo heat collecting walls. In addition, for the application of a small number of characteristic parameters, the corresponding formula for processing optimization will be considered as follows:
T ( c x , c y ) = e x p ( t = 1 r g t c x h T t c y ) ,
T d x , d y = e x p g 0 + t = 1 r g t d x h T t d y ,
The Formula can exponentiate the corresponding results of Formulas (1) (2) and (3), so that the research subjects with fewer characteristic samples can obtain more accurate results. The calculation methods of Formula (4) to Formula (7) are mainly based on the combination of features for the samples of the feature view, so as to optimize the key parameters of each feature in the construction process of the Trumbu collector wall [24,25].

2.3. Experimental Design and Data of the Trumbu Thermal Wall

This study focuses on three Trombe collector wall configurations for cold-climate deployment. Air layer spacing optimization for each configuration is guided by local climatic conditions and post-irradiation energy consumption variations, requiring three prototype houses. Key structural parameters include: 3mm light-absorbing coating on the outermost glass, 200mm energy-storing brick wall, 95mm innermost insulation wall, and 200mm air gaps between both inner-outer walls and energy-storing-insulation walls (see Figure 4). Relevant parameters are summarized in Table 1.
The data in Table 1 is the statistical result of the key data in the stratification of the Trumbu wall structure, and these parameters are consistent with the structure of the three types of houses in Figure 4. However, these parameters are measured based on the complete as-built product. Some key parameters of the main construction materials such as concrete, steel plates, steel bars and thermal insulation boards also need to be collected for the cement and the adhesive mortar used for the wall construction, the red bricks used in the construction. The corresponding results are shown in Table 2:
Table 2 parameters are derived from testing materials for the structures in Table 1. These parameters enable calculation of air flow and heat convection in Trombe collector wall air gaps via Formulas (1)-(3). Beyond these, this study focuses on how air gap width affects energy consumption of three Trombe wall types post-solar irradiation. Thus, we present both structural property parameters and wall dimensions in Table 3:
The data in Table 3 is used to calculate the size of the Trumbu collector wall for a better comprehensive calculation of the energy consumption under sunlight radiation. The structure of the Trumbu collector wall is divided into three types in structure, and the characteristics of these three types are different according to their own property parameters and size, and the heat generated during work is different.

3. Results Analysis

3.1. Thermal Variation of Trumbu Wall Structures

The purpose of the construction of the Trumbu wall structure is to realize the change of the temperature in the house through the rational use of solar energy. And a building with a Trumbu wall is the most important part of the process of solar energy absorption. In this paper, three types of Trumbu walls are compared and studied, and the best way to study the working efficiency of these wall structures is by monitoring real-time temperature changes, as well as solar radiation. The first is the monitoring of temperature changes, and the results are shown in Figure 5:
Figure5 shows four temperature measurement points on the Trombe wall exhibit a rise-then-fall trend: peaks are 25.7 °C (point1),24.7 °C(point2),25.1 °C(points3&4), all at13:00 after rising from8-13. Position-dependent solar radiation causes varying temp changes. To analyze time-varying heat exchange on the wall, Figure6 presents the relationship between solar radiation and wall heat exchange:
The results in Figure 6 show that the radiant energy of the sun gradually increased to 1059, followed by a decrease, which is in line with the changes in radiant energy in daily life. At the same time, the corresponding trend of heat exchange in the Trumbe wall is also the same, reaching a maximum value of 69 which is consistent with the maximum value of radiation. For the calculation of heat exchange, the energy and intensity of different parts can be calculated with the help of Formula (1) and Formula (3). In addition to the discussion of the change between solar radiation and heat exchange, there is also the influence of the insulating material in the Trumbu wall structure on the heat storage of the temperature control wall. The corresponding results are shown in Figure 7:
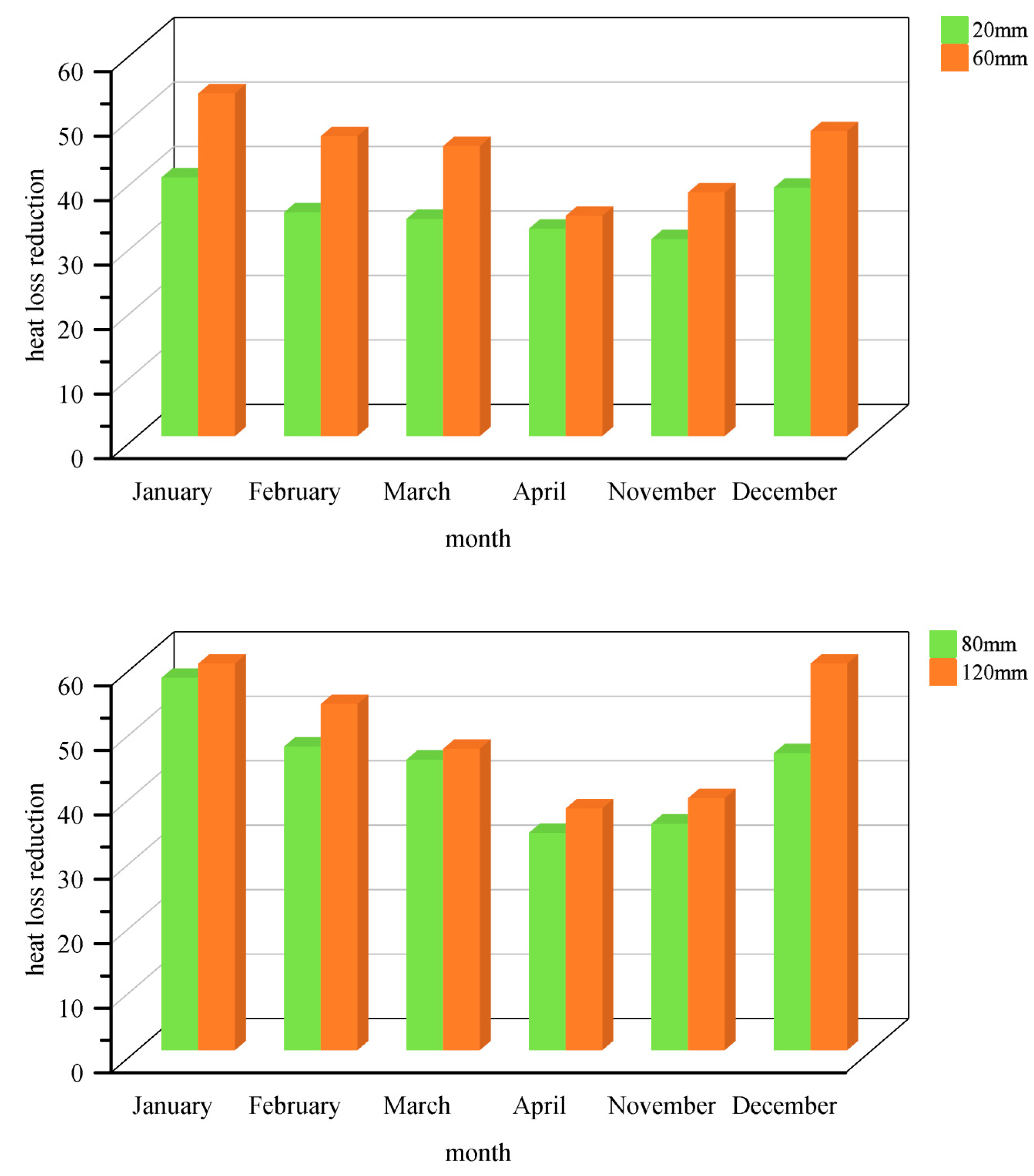
Figure7 illustrates the effect of insulation layer thickness on the thermal storage capacity of Trombe walls. We observe that the insulation layer significantly enhances thermal storage capacity, which increases with thickness—this is because thicker insulation reduces heat dissipation. At 20mm thickness, heat loss reduction stabilizes at 31.1% relative to uninsulated Trombe walls.

3.2. Influence of the Air Layer on the Heat of the Trumbu Wall

The main purpose of this paper is to investigate the effect of the air spacer in the Trumbu wall on the thermal storage capacity of the Trumbu wall. This effect is embodied in the effect of the width of the air spacer on the overall thermal storage capacity of the Trumbu wall. The first is the effect of the same width of the air spacer on the thermal storage capacity of the Trumbu wall. The purpose of this study is to compare the three types of Trumbu walls in this paper. The corresponding results are shown in Figure 8:
Figure 8 presents results on room temperature difference control for Trombe walls with identical internal configurations but varying ventilation modes. Among the tested rooms, the blank control (ordinary house) exhibits the largest temperature difference variation, reaching 5.17 °C at 8:00, while the other three Trombe wall-equipped rooms show similar variations. Specifically: double ventilation mode yields an indoor-outdoor temperature difference of -5.79 °C at 18:00, external passage -6.07 °C, and internal passage -6.17 °C. These results indicate that different Trombe wall types directly affect indoor-outdoor temperature differences, with external ventilation type achieving the best control. However, for the same Trombe wall type, varying air gap widths lead to different overall thermal storage effects; the relationship between indoor temperature and air gap width is shown in Figure9:
The results in Figure 9 are the type of results corresponding to the control effect of different sizes of air layer spacing in one type of Trumbu wall on the house temperature difference. It can be seen from the results of the figure that when the width of the air spacer layer is 6cm, the minimum temperature difference is 3.7. In the continuous temperature change, it can be seen that the Trumbu wall with a temperature of 16 °C and an air interval of 6cm is the most suitable for applications in cold areas. Summarizing the parameters in the above content, through the processing of Formula (5) and Formula (6), the processing of multimodal data in this paper can be realized.

3. Conclusion

  • This study explores multimodal data application in civil engineering, using multi-view algorithms to process Trombe wall structural data for optimized key parameter observation—its analysis method stabilizes heat loss reduction at 31.1% for 20mm insulation thickness.
  • Aligning with low-carbon demands, Trombe walls (solar-reliant without extra material consumption) show controlled indoor-outdoor temperature differences between -5.79 °C and -6.17 °C across different ventilation modes.
  • Comprehensive Trombe wall characteristic analysis provides a reference for multimodal data analysis of other constructions, enhancing thermal storage performance observation efficiency via structural data processing.

Acknowledgments

This work was supported by the Development of Science and Technology of Jilin Province (20250602042RC).

References

  1. Chaichan, M.; Abass, K.; Jawad, R.; MahdY, A. Thermal performance enhancement of simple Trombe wall. International Journal of Computation and Applied Sciences IJOCAAS 2017, 2, 33-40. [CrossRef]
  2. Zhou, Y.; Yu, C. The year-round thermal performance of a new ventilated Trombe wall integrated with phase change materials in the hot summer and cold winter region of China. Indoor Built Environ. 2018, 28, 195-216. [CrossRef]
  3. Dong, J.; Sun, S.; Chen, Z.; Jiang, Y. Experimental study on heating performance of anovel designed Trombe wall. Harbin Gongye Daxue Xuebao/Journal of Harbin Institute of Technology 2018, 50, 147-151. [CrossRef]
  4. Wüest, T.; Luible, A. Trombe Curtain Wall Façade. J. Facade Des. Eng. 2019, 7, 1-12. [CrossRef]
  5. ben slama, R.; Ellasoued, R. Conception of Two Wall-Solar Water Heater. Innovative Energy & Research 2018, 07, 1-8. [CrossRef]
  6. Threeanaew, W.; MacDonald, J.; Sinha, A.; Kaffashi, F.; Lhatoo, S.D.; Loparo, K.A. Collection and Analysis of Multimodal Data for SUDEP Biomarker Discovery. IEEE Sens Lett 2019, 3. [CrossRef]
  7. Xue, J.; Eguchi, K. Sequential Bayesian Nonparametric Multimodal Topic Models for Video Data Analysis. IEICE Trans. Inf. Syst. 2018, 101-D, 1079-1087.
  8. Zhang, Q.; Chu, T. Learning in multimodal and mixmodal data: locality preserving discriminant analysis with kernel and sparse representation techniques. Multimedia Tools and Applications 2017, 76, 15465-15489. [CrossRef]
  9. Li, L.; Kang, J.; Lockhart, S.N.; Adams, J.; Jagust, W.J. Spatially Adaptive Varying Correlation Analysis for Multimodal Neuroimaging Data. IEEE Transactions on Medical Imaging 2019, 38, 113-123. [CrossRef]
  10. Yang, X.; Luo, J. Tracking Illicit Drug Dealing and Abuse on Instagram Using Multimodal Analysis. ACM Trans. Intell. Syst. Technol. 2017, 8, Article 58. [CrossRef]
  11. Nougbléga, Y.; Koffi, S.; Samah, A.; Kpode, K. Numerical Study of Mixed Convection in a Photovoltaic Trombe Wall Channel Coupled with a Solar Chimney Integrated into a Building for Habitats Passive Cooling. Open Journal of Applied Sciences 2020, 10, 844-863. [CrossRef]
  12. Rabani, M.; Kalantar, V.; Rabani, M.; Rabani, R. Cooling Performance of a New Designed Trombe Wall Integrated with Solar Chimney, Water Spraying System, and Rectangular Thermal Fin Arrays: An Experimental Approach. Int. J. Des. Nat. Ecodyn. 2020, 15, 373-391. [CrossRef]
  13. Zanello, M.; Poulon, F.; Varlet, P.; Chretien, F.; Andreiuolo, F.; Pages, M.; Ibrahim, A.; Pallud, J.; Dezamis, E.; Abi-Lahoud, G.; et al. Multimodal optical analysis of meningioma and comparison with histopathology. J. Biophotonics 2017, 10, 253-263. [CrossRef]
  14. Sun, J.; Yin, H.; Tian, Y.; Wu, J.; Shen, L.; Chen, L. Two-Level Multimodal Fusion for Sentiment Analysis in Public Security. Secur. Commun. Networks 2021, 2021, 6662337:6662331-6662337:6662310.
  15. Puyol-Anton, E.; Ruijsink, B.; Gerber, B.; Amzulescu, M.S.; Langet, H.; De Craene, M.; Schnabel, J.A.; Piro, P.; King, A.P. Regional Multi-View Learning for Cardiac Motion Analysis: Application to Identification of Dilated Cardiomyopathy Patients. IEEE transactions on bio-medical engineering 2019, 66, 956-966. [CrossRef]
  16. Shamsan, A.; Dan, W.; Cheng, C. Multimodal Data Fusion Using Multivariate Empirical Mode Decomposition for Automatic Process Monitoring. IEEE Sens. Lett. 2019, 3, 1-4. [CrossRef]
  17. Dehghani, M.J.; McManamon, P.F.; Ataei, A. Toward Building Energy Reduction Through Solar Energy Systems Retrofit Options: An Equest Model. Journal of Applied Engineering Sciences 2018, 8, 53 - 60.
  18. Raghib Shakeel, M.; Al-Sadah, J.; Mokheimer, E.M.A. Analytical and Numerical Modeling of Solar Chimney. J. Energy Res. Technol. 2017, 139. [CrossRef]
  19. Vadhera, J.; Sura, A.; Nandan, G.; Dwivedi, G. Study of Phase Change materials and its domestic application. Materials Today: Proceedings 2018, 5, 3411-3417. [CrossRef]
  20. Agrawal, A.; Dill, J. To Be a Transportation Engineer or Not?: How Civil Engineering Students Choose a Specialization. Transp. Res. Rec. 2008, 2046, 76-84. [CrossRef]
  21. Lee, E.H.; Lee, H.M.; Yoo, D.G.; Kim, J.H. Application of a Meta-heuristic Optimization Algorithm Motivated by a Vision Correction Procedure for Civil Engineering Problems. KSCE J. Civ. Eng. 2018, 22, 2623-2636. [CrossRef]
  22. Poria, S.; Peng, H.; Hussain, A.; Howard, N.; Cambria, E. Ensemble application of convolutional neural networks and multiple kernel learning for multimodal sentiment analysis. Neurocomputing 2017, 261, 217-230. [CrossRef]
  23. Featherman, C. Book review: Sigrid Norris, Systematically Working With Multimodal Data: Research Methods in Multimodal Discourse Analysis. Discourse & Society 2022, 22, 241-243. [CrossRef]
  24. Xu, J.; Kim, H.K. A service system study on the effects of the influencers’ characteristics on purchase intention. Journal of Logistics, Informatics and Service Science 2022, 9, 136-155.
  25. Kim, J.A. A Case Study of Domain Engineering in Software Product Line Engineering. Journal of Logistics, Informatics and Service Science 2022, 9, 97-115.
Figure 1. Several traditional buildings to improve the living climate zone.
Figure 1. Several traditional buildings to improve the living climate zone.
Preprints 191855 g001
Figure 2. The main types of sunrooms.
Figure 2. The main types of sunrooms.
Preprints 191855 g002
Figure 3. Two types of working principles of Trumbu collector walls.
Figure 3. Two types of working principles of Trumbu collector walls.
Preprints 191855 g003
Figure 4. Three types of Trumbu collector walls.
Figure 4. Three types of Trumbu collector walls.
Preprints 191855 g004
Figure 5. The temperature of the temperature measuring point changes with time.
Figure 5. The temperature of the temperature measuring point changes with time.
Preprints 191855 g005
Figure 6. Relationship between solar radiation and heat exchange.
Figure 6. Relationship between solar radiation and heat exchange.
Preprints 191855 g006
Figure 7. Influence of thermal insulation material layer on thermal storage of Trumbu wall.
Figure 7. Influence of thermal insulation material layer on thermal storage of Trumbu wall.
Preprints 191855 g007
Figure 8. Different types of Trumbe walls and temperature differences.
Figure 8. Different types of Trumbe walls and temperature differences.
Preprints 191855 g008
Figure 9. Relationship between air spacer width and temperature difference.
Figure 9. Relationship between air spacer width and temperature difference.
Preprints 191855 g009
Table 1. Structural Parameters of Trumbu Collector Walls.
Table 1. Structural Parameters of Trumbu Collector Walls.
Construct name Thickness(m) Thermal Conductivity(W/m) Density(kg/m3) specific heat capacity(J/kg)
glass wall 0.003 0.78 2540 770
Outer air spacer 0.02
thermal storage wall 0.02 0.14 1050 500
Inside air spacer 0.02
temperature control wall 0.01 0.14 1050 500
Table 2. Structural parameters of construction materials.
Table 2. Structural parameters of construction materials.
Material name Thickness(m) Thermal Conductivity(W/m) Density(kg/m3) specific heat capacity(J/kg)
cement mortar 0.02 0.87 1700 1050
red brick 0.23 0.81 1800 1050
200 thick concrete block 0.02 0.81 1800 1050
60 thick benzene board 0.06 0.032 35 1380
80 thick benzene board 0.08 0.032 35 1380
100 thick benzene board 0.10 0.032 35 1380
Double-layer sandwich color steel roof 0.12 0.22 700 870
Table 3. Trumbu collector wall dimensions.
Table 3. Trumbu collector wall dimensions.
Size part Unit Numerical value
Length m 1.2
Radiation area m2 0.9
Upper vent size m2 0.038
Lower vent size m2 0.038
Disclaimer/Publisher’s Note: The statements, opinions and data contained in all publications are solely those of the individual author(s) and contributor(s) and not of MDPI and/or the editor(s). MDPI and/or the editor(s) disclaim responsibility for any injury to people or property resulting from any ideas, methods, instructions or products referred to in the content.
Copyright: This open access article is published under a Creative Commons CC BY 4.0 license, which permit the free download, distribution, and reuse, provided that the author and preprint are cited in any reuse.
Prerpints.org logo

Preprints.org is a free preprint server supported by MDPI in Basel, Switzerland.

Subscribe

Disclaimer

Terms of Use

Privacy Policy

Privacy Settings

© 2026 MDPI (Basel, Switzerland) unless otherwise stated