Submitted:
22 December 2025
Posted:
24 December 2025
You are already at the latest version
Abstract
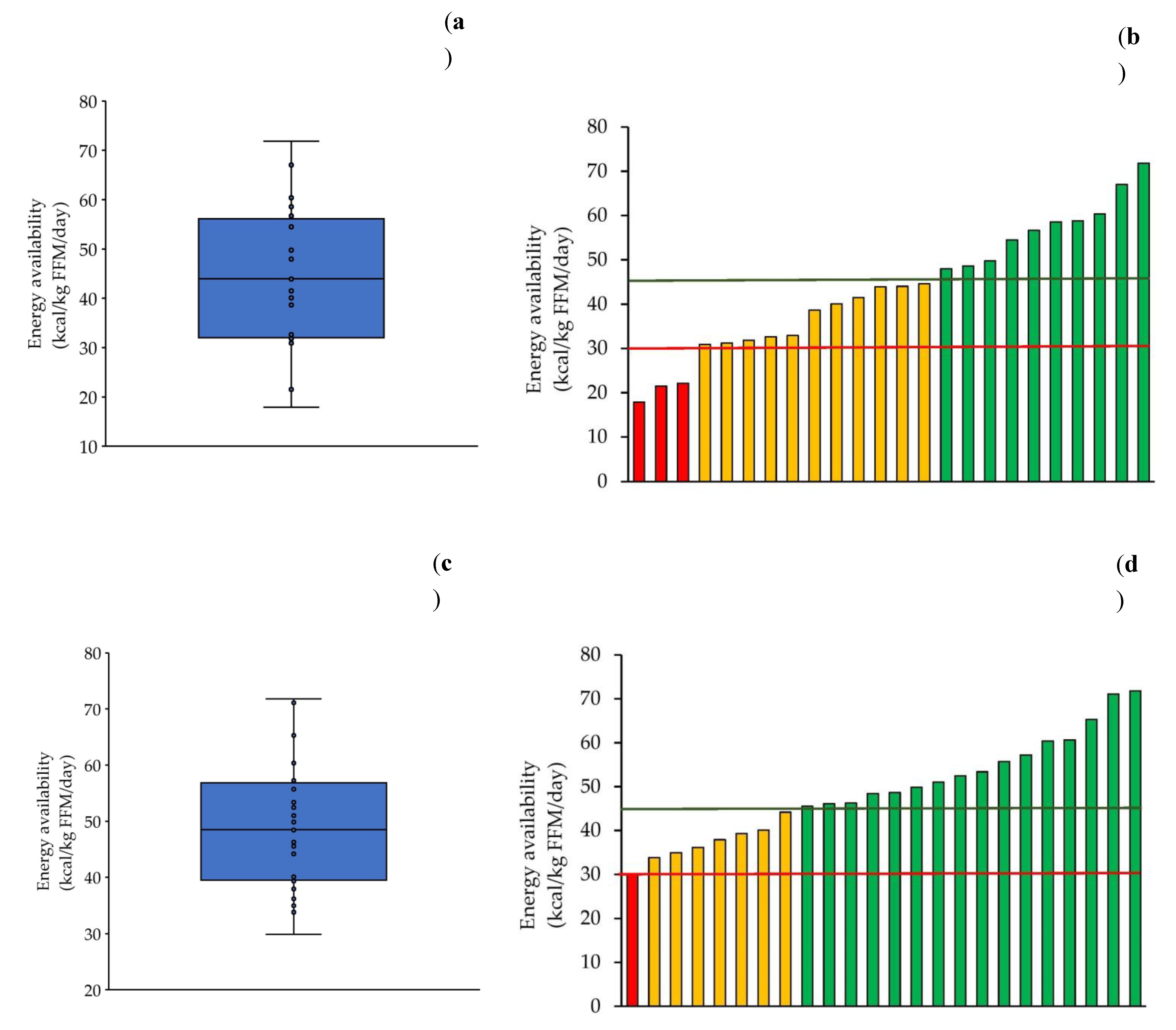
Background/Objectives: Energy availability (EA) is associated with Relative Energy Deficiency in Sport syndrome. This study assessed ΕΑ, body composition, and phase angle (φ) of adolescent artistic gymnasts during a competitive season. Methods: Thirty artistic gymnasts aged 11-14 years participated in the study. Anthropometric data were collected and body mass index (BMI) was assessed using the World Health Organization growth charts. Bioelectrical impedance analysis was performed and diet and physical activity were recorded for three days. Dietary and physical activity records were analyzed to estimate energy intake, total energy expenditure (TEE), and exercise energy expenditure, from which energy balance (EB) and EA were calculated. The 95% confidence ellipses of the impedance (Z) vectors were compared with a reference population using the two-sample Hotelling’s T2 test. Correlations between conceptually relevant study variables were examined by Pearson’s or Spearman’s correlation analysis. Statistical significance was set at α = 0.05. Results: All participants were classified within the normal BMI category, except for one classified as overweight. Mean (± SD) fat mass, fat-free mass (FFM), and φ were 16.1 ± 3.4%, 83.9 ± 3.4%, and 6.0 ± 0.6°, respectively. The 95% confidence ellipses of Z vectors differed significantly from the reference population. Energy balance was 32 ± 223 kcal/day and EA was 49.2 ± 11.4 kcal/kg FFM/day. Energy availability was significantly correlated with EB, TEE, and body composition variables. Phase angle was significantly correlated with anthropometric and body composition variables. Conclusions: Adolescent non-elite artistic gymnasts exhibited normal body composition and EA during the competitive season.

Keywords:
1. Introduction
2. Materials and Methods
2.1. Participants and Ethics
2.2. Study Design
2.3. Demographic Characteristics
2.4. Anthropometrics and Body Composition
2.5. Analysis of Energy Intake
2.6. Analysis of Energy Expenditure
2.7. Energy Balance and Energy Availability
2.8. Assessment of Dietary Underreporting
2.9. Statistical Analysis
3. Results
3.1. Demographic Characteristics
3.2. Anthropometrics and Body Composition
3.3. Energy Balance and Energy Availability
3.4. Correlations
4. Discussion
5. Conclusions
Author Contributions
Funding
Institutional Review Board Statement
Informed Consent Statement
Data Availability Statement
Acknowledgments
Conflicts of Interest
Abbreviations
| BCM | Body cell mass |
| BIA | Bioelectrical impedance analysis |
| BIVA | Bioelectrical Impedance Vector Analysis |
| BMI | Body mass index |
| EA | Energy availability |
| EB | Energy balance |
| ECW | Extracellular water |
| EEE | Exercise energy expenditure |
| EI | Energy intake |
| FFM | Fat-free mass |
| FM | Fat mass |
| LEA | Low energy availability |
| PAL | Physical Activity Level |
| R | Resistance |
| REDs | Relative Energy Deficiency in Sport |
| REE | Resting Energy Expenditure |
| SD | Standard deviation |
| TBW | Total body water |
| TEE | Total energy expenditure |
| WHO | World Health Organization |
| Xc | Reactance |
| Ζ | Impedance |
| φ | Phase angle |
References
- Mountjoy, M.; Ackerman, K.E.; Bailey, D.M.; Burke, L.M.; Constantini, N.; Hackney, A.C.; Heikura, I.A.; Melin, A.; Pensgaard, A.M.; Stellingwerff, T.; et al. 2023 International Olympic Committee’s (IOC) Consensus Statement on Relative Energy Deficiency in Sport (REDs). Br J Sports Med 2023, 57, 1073–1097. [Google Scholar] [CrossRef]
- Melin, A.K.; Heikura, I.A.; Tenforde, A.; Mountjoy, M. Energy Availability in Athletics: Health, Performance, and Physique. Int J Sport Nutr Exerc Metab 2019, 29, 152–164. [Google Scholar] [CrossRef]
- Dipla, K.; Kraemer, R.R.; Constantini, N.W.; Hackney, A.C. Relative Energy Deficiency in Sports (RED-S): Elucidation of Endocrine Changes Affecting the Health of Males and Females. Hormones 2021, 20, 35–47. [Google Scholar] [CrossRef]
- Kyle, U.G.; Bosaeus, I.; De Lorenzo, A.D.; Deurenberg, P.; Elia, M.; Gómez, J.M.; Heitmann, B.L.; Kent-Smith, L.; Melchior, J.C.; Pirlich, M.; et al. Bioelectrical Impedance Analysis - Part I: Review of Principles and Methods. Clinical Nutrition 2004, 23, 1226–1243. [Google Scholar] [CrossRef] [PubMed]
- da Silva, B.R.; Gonzalez, M.C.; Cereda, E.; Prado, C.M. Exploring the Potential Role of Phase Angle as a Marker of Oxidative Stress: A Narrative Review. Nutrition 2022, 93. [Google Scholar] [CrossRef] [PubMed]
- Fernández-Jiménez, R.; Dalla-Rovere, L.; García-Olivares, M.; Abuín-Fernández, J.; Sánchez-Torralvo, F.J.; Doulatram-Gamgaram, V.K.; Hernández-Sanchez, A.M.; García-Almeida, J.M. Phase Angle and Handgrip Strength as a Predictor of Disease-Related Malnutrition in Admitted Patients: 12-Month Mortality. Nutrients 2022, 14. [Google Scholar] [CrossRef]
- Silva, A.A.; de Melo, G.F.; de Almeida Filho, E.J.B.; Silvino, V.O.; de Albuquerque Neto, S.L.; Ribeiro, S.L.G.; Silva, A.S.; dos Santos, M.A.P. Correlation between Phase Angle and Muscle Mass, Muscle Function, and Health Perception in Community-Dwelling Older Women. Sport Sci Health 2023, 19, 713–721. [Google Scholar] [CrossRef]
- Samadinian, F.; Eshaghian, N.; Tarrahi, M.J.; Amani, R.; Akbari, M.; Shirani, F. Phase Angle as an Indicator of Nutritional Status: A Cross-Sectional Study on the Iranian Population. J Health Popul Nutr 2025, 44. [Google Scholar] [CrossRef] [PubMed]
- Popiolek-Kalisz, J.; Kalisz, G. Malnutrition Assessed with Phase Angle and Mortality Risk in Heart Failure – a Meta-Analysis. Nutrition, Metabolism and Cardiovascular Diseases 2025. [Google Scholar] [CrossRef]
- Langer, R.D.; Ward, L.C.; Larsen, S.C.; Heitmann, B.L. Can Change in Phase Angle Predict the Risk of Morbidity and Mortality during an 18-Year Follow-up Period? A Cohort Study among Adults. Front Nutr 2023, 10. [Google Scholar] [CrossRef]
- Chen, Y.Q.; Chen, H.F.; Han, Y.; Shen, Y.H.; Zhang, Y.D.; Fu, L.Z.; Tang, F.; Liu, X.S.; Wu, Y.F. Lower Phase Angle as a Marker for Poor Prognosis in Patients with Chronic Kidney Disease: A Cohort Study. Front Nutr 2025, 12. [Google Scholar] [CrossRef]
- Cirillo, E.; Pompeo, A.; Cirillo, F.T.; Vilaça-Alves, J.; Costa, P.; Ramirez-Campillo, R.; Dourado, A.C.; Afonso, J.; Casanova, F. Relationship between Bioelectrical Impedance Phase Angle and Upper and Lower Limb Muscle Strength in Athletes from Several Sports: A Systematic Review with Meta-Analysis. Sports 2023, 11. [Google Scholar] [CrossRef]
- Moeskops, S.; Oliver, J.L.; Read, P.J.; Cronin, J.B.; Myer, G.D.; Lloyd, R.S. The Physiological Demands of Youth Artistic Gymnastics: Applications to Strength and Conditioning. Strength Cond J 2019, 41, 1–13. [Google Scholar] [CrossRef]
- Sundgot-Borgen, J.; Garthe, I.; Meyer, N. Energy Needs and Weight Management for Gymnasts. In Gymnastics; wiley, 2013; pp. 51–59. ISBN 9781118357538. [Google Scholar]
- Georgopoulos, N.A.; Markou, K.B.; Theodoropoulou, A.; Benardot, D.; Leglise, M.; Vagenakis, A.G. Growth Retardation in Artistic Compared with Rhythmic Elite Female Gymnasts 2002.
- Markou, K.B.; Mylonas, P.; Theodoropoulou, A.; Kontogiannis, A.; Leglise, M.; Vagenakis, A.G.; Georgopoulos, N.A. The Influence of Intensive Physical Exercise on Bone Acquisition in Adolescent Elite Female and Male Artistic Gymnasts. Journal of Clinical Endocrinology and Metabolism 2004, 89, 4383–4387. [Google Scholar] [CrossRef] [PubMed]
- Theodoropoulou, A.; Markou, K.B.; Vagenakis, G.A.; Benardot, D.; Leglise, M.; Kourounis, G.; Vagenakis, A.G.; Georgopoulos, N.A. Delayed but Normally Progressed Puberty Is More Pronounced in Artistic Compared with Rhythmic Elite Gymnasts Due to the Intensity of Training. Journal of Clinical Endocrinology and Metabolism 2005, 90, 6022–6027. [Google Scholar] [CrossRef] [PubMed]
- Jakše, B.; Jakše, B.; Čuk, I.; Šajber, D. Body Composition, Training Volume/Pattern and Injury Status of Slovenian Adolescent Female High-performance Gymnasts. Int J Environ Res Public Health 2021, 18, 1–12. [Google Scholar] [CrossRef]
- de Oliveira Goulart, K.N.; Vieira, M.M.; Aleixo, I.M.S.; Wilke, C.F.; Wanner, S.P. Estimated Energy Expenditure and Training Intensity in Young Female Artistic Gymnasts. Motriz. Revista de Educacao Fisica 2022, 28. [Google Scholar] [CrossRef]
- Carvajal Veitia, W.; Campos, Y.D. Body Composition Analysis Using Bioelectrical Parameters in the Cuban Sporting Population. Archivos de Medicina del Deporte 2017, 34, 207–215. [Google Scholar]
- Aguilo, A.; Lozano, L.; Tauler, P.; Nafría, M.; Colom, M.; Martínez, S. Nutritional Status and Implementation of a Nutritional Education Program in Young Female Artistic Gymnasts. Nutrients 2021, 13. [Google Scholar] [CrossRef]
- Silva, M.R.G.; Silva, H.H.; Paiva, T. Sleep Duration, Body Composition, Dietary Profile and Eating Behaviours among Children and Adolescents: A Comparison between Portuguese Acrobatic Gymnasts. Eur J Pediatr 2018, 177, 815–825. [Google Scholar] [CrossRef]
- Silva, M.R.G.; Paiva, T. Low Energy Availability and Low Body Fat of Female Gymnasts before an International Competition. Eur J Sport Sci 2015, 15, 591–599. [Google Scholar] [CrossRef]
- Villa, M.; Villa-Vicente, J.G.; Seco-Calvo, J.; Mielgo-Ayuso, J.; Collado, P.S. Body Composition, Dietary Intake and the Risk of Low Energy Availability in Elite-Level Competitive Rhythmic Gymnasts. Nutrients 2021, 13. [Google Scholar] [CrossRef]
- Besor, O.; Redlich, N.; Constantini, N.; Weiler-Sagie, M.; Monsonego Ornan, E.; Lieberman, S.; Bentur, L.; Bar-Yoseph, R. Assessment of Relative Energy Deficiency in Sport (REDs) Risk among Adolescent Acrobatic Gymnasts. J Pers Med 2024, 14. [Google Scholar] [CrossRef]
- Purenović-Ivanović, T.; Popović, R.; Bubanj, S.; Stanković, R. Body Composition in High-Level Female Rhythmic Gymnasts of Different Age Categories. Sci Sports 2019, 34, 141–148. [Google Scholar] [CrossRef]
- Piccoli, A.; Rossi, B.; Pillon, L.; Bucciante, G. A New Method for Monitoring Body Fluid Variation by Bioimpedance Analysis: The RXc Graph. 1994, Vol. 46. [Google Scholar] [CrossRef] [PubMed]
- Schofield, W. Predicting Basal Metabolic Rate, New Standards and Review of Previous Work. Hum Nutr Clin Nutr 1985, 39, 5–41. [Google Scholar]
- Butte, N.F.; Watson, K.B.; Ridley, K.; Zakeri, I.F.; McMurray, R.G.; Pfeiffer, K.A.; Crouter, S.E.; Herrmann, S.D.; Bassett, D.R.; Long, A.; et al. A Youth Compendium of Physical Activities: Activity Codes and Metabolic Intensities. Med Sci Sports Exerc 2018, 50, 246–256. [Google Scholar] [CrossRef] [PubMed]
- Herrmann, S.D.; Willis, E.A.; Ainsworth, B.E. The 2024 Compendium of Physical Activities and Its Expansion. J Sport Health Sci 2024, 13, 1–2. [Google Scholar] [CrossRef]
- European Food Safety Authority (EFSA). Dietary Reference Values for Nutrients Summary Report. EFSA Supporting Publications 2017, 14, 98. [Google Scholar] [CrossRef]
- De Palo, T.; Messina, G.; Edefonti, A.; Perfumo, F.; Pisanello, L.; Peruzzi, L.; Di Iorio, B.; Mignozzi, M.; Vienna, A.; Conti, G.; et al. Normal Values of the Bioelectrical Impedance Vector in Childhood and Puberty. Nutrition 2000. [Google Scholar] [CrossRef] [PubMed]
- Piccoli, A.; Pillon, L.; Dumler, F. Applied Nutritional Investigation - Impedance Vector Distribution by Sex, Race, Body Mass Index, and Age in the United States: Standard Reference Intervals as Bivariate Z Scores. Nutrition 2002. [Google Scholar] [CrossRef] [PubMed]
- WHO (World Health Organization) Growth Reference Data for 5-19 Years. Available online: http://www.who.int/growthref/en/ (accessed on 12 May 2025).
- Alessandro, C.D.’; Morelli, E.; Evangelisti, I.; Galetta, F.; Franzoni, F.; Lazzeri, D.; Piazza, M.; Cupisti, A. Profiling the Diet and Body Composition of Subelite Adolescent Rhythmic Gymnasts 2007.
- Jürimäe, J.; Remmel, L.; Tamm, A.L.; Purge, P.; Maasalu, K.; Tillmann, V. Associations of Circulating Irisin and Fibroblast Growth Factor-21 Levels with Measures of Energy Homeostasis in Highly Trained Adolescent Rhythmic Gymnasts. J Clin Med 2022, 11. [Google Scholar] [CrossRef]
- Kolimechkov, S.; Yanev, I.; Kiuchukov, I.; Petrov, L.; Alexandrova, A.; Zaykova, D.; Stoimenov, E. Nutritional Status and Body Composition of Young Artistic Gymnasts from Bulgaria. Journal of Applied Sports Sciences 2019, 3, 39–52. [Google Scholar] [CrossRef]
- Kobylińska, M.; Antosik, K.; Decyk, A.; Kurowska, K.; Skiba, D. Body Composition and Anthropometric Indicators in Children and Adolescents 6–15 Years Old. Int J Environ Res Public Health 2022, 19. [Google Scholar] [CrossRef]
- Papadopoulou, S.K.; Feidantsis, K.G.; Hassapidou, M.N.; Methenitis, S. The Specific Impact of Nutrition and Physical Activity on Adolescents’ Body Composition and Energy Balance. Res Q Exerc Sport 2021, 92, 736–746. [Google Scholar] [CrossRef]
- Meleleo, D.; Bartolomeo, N.; Cassano, L.; Nitti, A.; Susca, G.; Mastrototaro, G.; Armenise, U.; Zito, A.; Devito, F.; Scicchitano, P.; et al. Evaluation of Body Composition with Bioimpedence. A Comparison between Athletic and Non-Athletic Children. Eur J Sport Sci 2017, 17, 710–719. [Google Scholar] [CrossRef]
- Carrasco-Marginet, M.; Castizo-Olier, J.; Rodríguez-Zamora, L.; Iglesias, X.; Rodríguez, F.A.; Chaverri, D.; Brotons, D.; Irurtia, A. Bioelectrical Impedance Vector Analysis (BIVA) for Measuring the Hydration Status in Young Elite Synchronized Swimmers. PLoS One 2017, 12. [Google Scholar] [CrossRef]
- Koury, J.C.; Trugo, N.M.F.; Torres, A.G. Phase Angle and Bioelectrical Impedance Vectors in Adolescent and Adult Male Athletes. Int J Sports Physiol Perform 2014, 9, 798–804. [Google Scholar] [CrossRef] [PubMed]
- de la Cruz Marcos, S.; Redondo Del Río, M.P.; de Mateo Silleras, B. Applications of Bioelectrical Impedance Vector Analysis (Biva) in the Study of Body Composition in Athletes. Applied Sciences (Switzerland) 2021, 11. [Google Scholar] [CrossRef]
- Kaczmarek, M.; Durda-Masny, M.; Hanć, T. Reference Data for Body Composition Parameters in Normal-Weight Polish Adolescents: Results from the Population-Based ADOPOLNOR Study. Eur J Pediatr 2024, 183, 5021–5031. [Google Scholar] [CrossRef]
- Lioret, S.; Touvier, M.; Balin, M.; Huybrechts, I.; Dubuisson, C.; Dufour, A.; Bertin, M.; Maire, B.; Lafay, L. Characteristics of Energy Under-Reporting in Children and Adolescents. British Journal of Nutrition 2011, 105, 1671–1680. [Google Scholar] [CrossRef] [PubMed]
- Burrows, T.L.; Ho, Y.Y.; Rollo, M.E.; Collins, C.E. Validity of Dietary Assessment Methods When Compared to the Method of Doubly Labeled Water: A Systematic Review in Adults. Front Endocrinol (Lausanne) 2019, 10. [Google Scholar] [CrossRef] [PubMed]
- Petridou, A.; Rodopaios, N.E.; Mougios, V.; Koulouri, A.A.; Vasara, E.; Papadopoulou, S.K.; Skepastianos, P.; Hassapidou, M.; Kafatos, A. Effects of Periodic Religious Fasting for Decades on Nutrient Intakes and the Blood Biochemical Profile. Nutrients 2021, 13. [Google Scholar] [CrossRef]
- Koehler, K.; Achtzehn, S.; Braun, H.; Mester, J.; Schaenzer, W. Comparison of Self-Reported Energy Availability and Metabolic Hormones to Assess Adequacy of Dietary Energy Intake in Young Elite Athletes. Applied Physiology, Nutrition and Metabolism 2013, 38, 725–733. [Google Scholar] [CrossRef] [PubMed]
- Kinoshita, N.; Uchiyama, E.; Ishikawa-Takata, K.; Yamada, Y.; Okuyama, K. Association of Energy Availability with Resting Metabolic Rates in Competitive Female Teenage Runners: A Cross-Sectional Study. J Int Soc Sports Nutr 2021, 18. [Google Scholar] [CrossRef]
- Ferreira, G.O.C.; Ferrari, G.; Langer, R.D.; Cossio-Bolaños, M.; Gomez-Campos, R.; Lázari, E.; Moraes, A.M. Phase Angle and Its Determinants among Adolescents: Influence of Body Composition and Physical Fitness Level. Sci Rep 2024, 14. [Google Scholar] [CrossRef]
- Gonzalez, M.C.; Barbosa-Silva, T.G.; Bielemann, R.M.; Gallagher, D.; Heymsfield, S.B. Phase Angle and Its Determinants in Healthy Subjects: Influence of Body Composition. American Journal of Clinical Nutrition 2016, 103, 712–716. [Google Scholar] [CrossRef]
- Jeukendrup, A.E.; Areta, J.L.; Van Genechten, L.; Langan-Evans, C.; Pedlar, C.R.; Rodas, G.; Sale, C.; Walsh, N.P. Does Relative Energy Deficiency in Sport (REDs) Syndrome Exist? Sports Medicine 2024, 54, 2793–2816. [Google Scholar] [CrossRef]





| Variable | n = 30 | n = 24 |
|---|---|---|
| Age (years) | 12.4 ± 1.1 | 12.4 ± 1.1 |
| Training age (years) | 7.6 ± 1.7 | 7.7 ± 1.7 |
| Training duration (h/week) | 17.1 ± 3.9 | 17.4 ± 3.9 |
| Variable | n = 30 | n = 24 |
|---|---|---|
| Weight (kg) | 42.5 ± 8.9 | 42.6 ± 9.3 |
| Height (m) | 1.50 ± 0.09 | 1.50 ± 0.09 |
| Body mass index (kg/m2) | 18.7 ± 2.2 | 18.8 ± 2.4 |
| Fat mass (kg) | 7.0 ± 2.5 | 6.9 ± 2.6 |
| Fat mass (%) | 16.1 ± 3.4 | 16.0 ± 3.7 |
| Fat-free mass (kg) | 35.5 ± 7.1 | 35.7 ± 7.4 |
| Fat-free mass (%) | 83.9 ± 3.4 | 84.0 ± 3.7 |
| Total body water (L) | 27.0 ± 5.2 | 27.1 ± 5.5 |
| Total body water (%) | 63.7 ± 2.7 | 63.8 ± 2.9 |
| Extracellular water (L) | 12.7 ± 1.8 | 12.7 ± 1.9 |
| Extracellular water (%) | 30.3 ± 2.4 | 30.3 ± 2.5 |
| Intracellular water (L) | 13.9 ± 2.8 | 13.9 ± 2.9 |
| Intracellular water (%) | 33.1 ± 3.6 | 32.8 ± 3.3 |
| Third-space water (L) | 0.3 ± 1.7 | 0.5 ± 1.6 |
| Body cell mass (kg) | 19.9 ± 3.9 | 19.9 ± 4.1 |
| Resistance (Ω) | 589 ± 59 | 586 ± 63 |
| Reactance (Ω) | 62.0 ± 5.6 | 61.9 ± 6.2 |
| Phase angle (°) | 6.0 ± 0.6 | 6.1 ± 0.6 |
| Impedance at 5 kHz (Ω) | 669 ± 62 | 666 ± 66 |
| Impedance at 50 kHz (Ω) | 593 ± 59 | 589 ± 63 |
| Impedance at 100 kHz (Ω) | 562 ± 57 | 559 ± 61 |
| Impedance at 200 kHz (Ω) | 535 ± 56 | 531 ± 59 |
| r or ρ | p | |
| Fat mass (kg) | − 0.365 a | 0.080 |
| Fat mass (%) | 0.002 | 0.993 |
| Body cell mass (kg) | − 0.576 | 0.003 |
| Resistance (Ω) | 0.643 | < 0.001 |
| Reactance (Ω) | 0.476 | 0.019 |
| Phase angle (°) | − 0.231 | 0.276 |
| Energy balance (kcal) | 0.912 | < 0.001 |
| Total energy expenditure (kcal) | − 0.490 | 0.015 |
| r or ρ | p | |
| Fat mass (kg) | − 0.418 a | 0.042 |
| Fat mass (%) | − 0.023 | 0.913 |
| Body cell mass (kg) | − 0.659 | < 0.001 |
| Resistance (Ω) | 0.770 | < 0.001 |
| Reactance (Ω) | 0.497 | 0.014 |
| Phase angle (°) | − 0.345 | 0.099 |
| Energy balance (kcal) | 0.836 | < 0.001 |
| Total energy expenditure (kcal) | − 0.571 | 0.004 |
| r or ρ | p | |
| Weight (kg) | 0.463 | 0.010 |
| Body mass index (kg/m2) | 0.588 a | < 0.001 |
| Fat mass (kg) | 0.428 a | 0.018 |
| Fat mass (%) | 0.351 | 0.057 |
| Fat-free mass (kg) | 0.400 | 0.029 |
| Fat-free mass (%) | − 0.351 | 0.057 |
| Total body water (L) | 0.395 | 0.031 |
| Total body water (%) | − 0.409 | 0.025 |
| Extracellular water (L) | 0.364 | 0.048 |
| Extracellular water (%) | − 0.497 | 0.005 |
| Intracellular water (L) | 0.341 | 0.065 |
| Intracellular water (%) | − 0.230 a | 0.221 |
| Body cell mass (kg) | 0.340 | 0.066 |
Disclaimer/Publisher’s Note: The statements, opinions and data contained in all publications are solely those of the individual author(s) and contributor(s) and not of MDPI and/or the editor(s). MDPI and/or the editor(s) disclaim responsibility for any injury to people or property resulting from any ideas, methods, instructions or products referred to in the content. |
© 2025 by the authors. Licensee MDPI, Basel, Switzerland. This article is an open access article distributed under the terms and conditions of the Creative Commons Attribution (CC BY) license (http://creativecommons.org/licenses/by/4.0/).
