Submitted:
21 December 2025
Posted:
22 December 2025
You are already at the latest version
Abstract
Keywords:
1. Introduction
- Novel Model Architecture: We propose a novel attention-based deep learning model that demonstrably outperforms traditional forecasting frameworks, including standalone LSTM and GRU networks, achieving superior accuracy and lower Mean Squared Error (MSE) on real-world data.
- Dynamic Feature Weighting: By integrating an attention mechanism, the model provides a significant advancement in interpretability and performance. It dynamically identifies and prioritizes the most influential features (e.g., temporal signals, weather conditions, station metadata) for each forecast, leading to a more nuanced and effective capture of complex patterns and long-term dependencies.
- Practical Impact for Grid Management: This study advances the theoretical field of energy forecasting by demonstrating the practical efficacy of attention-based frameworks. The findings offer tangible insights for utilities and infrastructure operators to optimize charging station deployment, manage peak loads, enhance grid stability, and integrate renewable energy sources more effectively.
2. Data Preprocessing
2.1. The Amount of Missing Parameters
2.2. Data Preprocessing
2.2.1. Missing Value Imputation
- Done Charging Time: This attribute exhibited a very low percentage of missing data (<2%). Given its small scale and the temporal nature of the data, these missing values were imputed using the mode (the most frequently occurring value) of the column. This approach preserves the overall distribution of charging end times without introducing significant bias.
- User ID and user Inputs: These fields contained a substantial majority of null values (approximately 78%). Removing rows with such extensive missingness would have resulted in an unacceptable loss of data volume and potential introduction of selection bias. According to the data dictionary, these fields are only populated for users who authenticated a session via the mobile application. Consequently, these columns were not imputed but were instead strategically segregated. A separate data frame was created to analyze sessions with user claims, while the core forecasting models were trained on features available for all sessions, excluding these high-null columns to ensure a complete-case dataset.
2.2.2. Outlier Detection and Treatment
2.2.3. Feature Engineering
- Temporal Features: hour of day, day of week, is weekend, month, and season extracted from the connection Time timestamp.
- Session-based Features: charging duration (calculated as done Charging Time – connection Time).
2.2.4. Data Normalization
2.3. Exploratory Data Analysis (EDA)
- Temporal Trends: Session volume was significantly higher in 2018 compared to the two months of data available for 2019 (Figure 2a). Within 2018, the months of August, September, and November showed the highest activity, with a notable decline from December onward (Figure 2b). This decline correlates with the winter season, suggesting a potential impact of weather or holiday periods on charging behavior.
- Weekly Patterns: As shown in Figure 2c, session counts were markedly higher on weekdays (represented by days 0-4, Monday-Friday) compared to weekends (days 5-6, Saturday-Sunday), strongly reflecting the nature of the dataset captured at workplace and campus locations.
- Daily Peak Hours: The analysis of hourly session distribution (Figure 2d) identified the afternoon period, specifically between 3:00 PM and 5:00 PM, as the peak time for charging activity. This likely corresponds to users plugging in their vehicles before leaving work.
- Seasonal Impact on Energy: Figure 2e demonstrates a clear seasonal trend in the total energy delivered, with higher values in the warmer months and a sharp decrease during winter. This could be attributed to reduced battery efficiency in colder temperatures or changes in driving patterns.
3. Proposed Framework
3.1. Modeling Description
3.1.1. Long Short-Term Memory (LSTM)
- σ represents the sigmoid activation function
- ⊙ denotes the Hadamard (element-wise) product
- Wᵢ, Wf, Wo, Wg are weight matrices
- εᵢ, εf, εo, εg are bias vectors
- [Hₜ₋₁, Xₜ] denotes the concatenation of vectors Ht-1 and Xₜ.
3.1.2. Gated Recurrent Units (GRUs)
3.1.3. Attention Algorithm
3.1.4. Evaluation Metrics
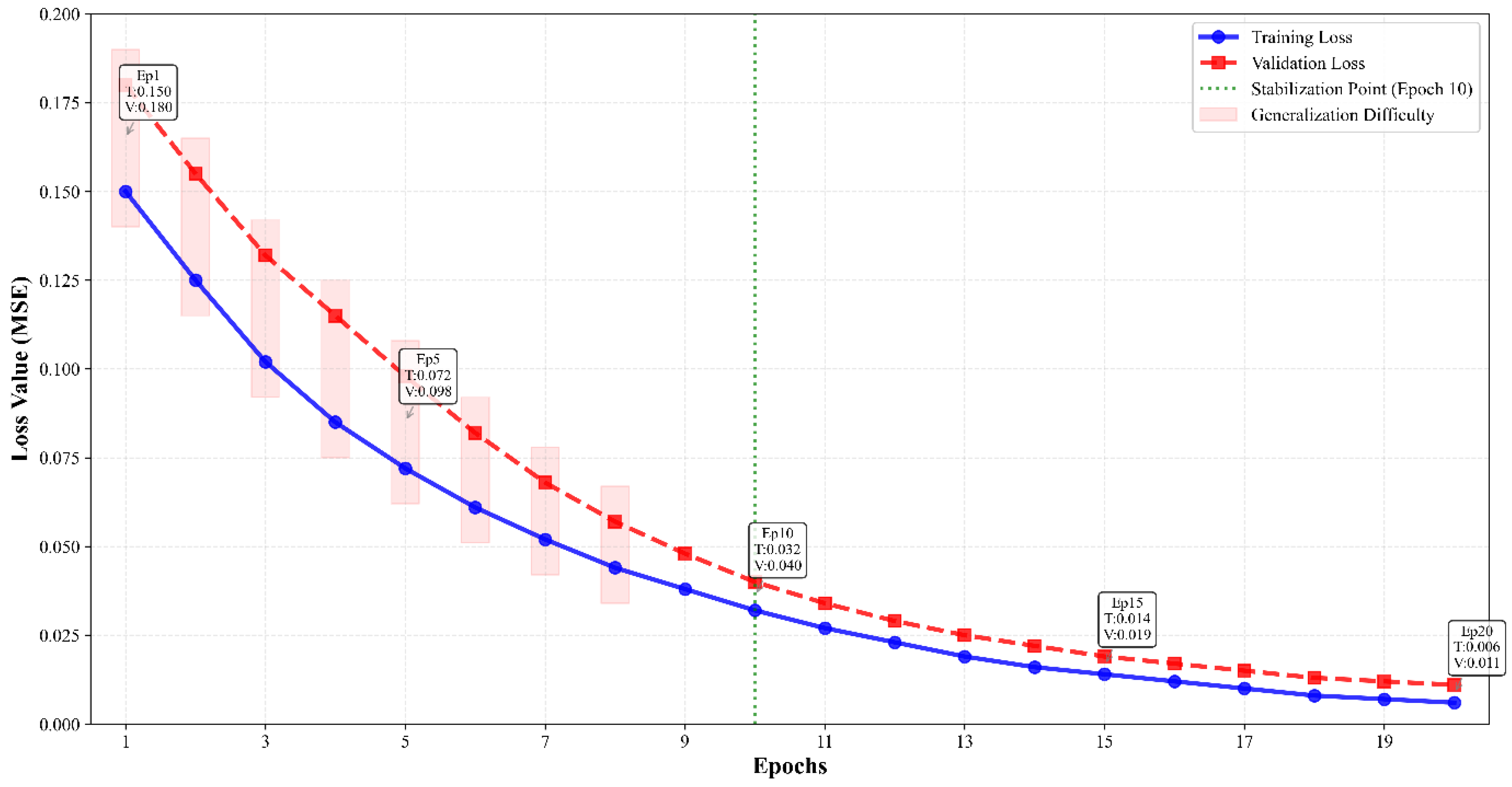
4. Results and Discussion
5. Results
References
- Arash Mousaei, Y. Naderi, and I. Safak Bayram, “Advancing State of Charge Management in Electric Vehicles with Machine Learning: A Technological Review,” IEEE access, pp. 1–1, Jan. 2024. [CrossRef]
- Y. B. Koca, “Adaptive energy management with machine learning in hybrid PV-wind systems for electric vehicle charging stations,” Electrical Engineering, Oct. 2024. [CrossRef]
- R. Sundaramoorthi and S. Chitraselvi, “Integration of Renewable Resources in Electric Vehicle Charging Management Systems Using Deep Learning for Monitoring and Optimization,” Iranian Journal of Science and Technology Transactions of Electrical Engineering, Nov. 2024. [CrossRef]
- Y. O. Ali, J. E. Haini, M. Errachidi, and O. Kabouri, “Enhancing Charging Station Power Profiles: A Deep Learning Approach to Predicting Electric Vehicle Charging Demand,” Smart Grids and Sustainable Energy, vol. 10, no. 1, Apr. 2025. [CrossRef]
- A. J. P. and S. S. Sivaraju, “Enhancing electric vehicle charging safety and efficiency through hybrid charging systems and intelligent management strategies,” Journal of Energy Storage, vol. 118, p. 116073, May 2025. [CrossRef]
- J. Zhou, Y. Xiang, X. Zhang, Z. Sun, X. Liu, and J. Liu, “Optimal self-consumption scheduling of highway electric vehicle charging station based on multi-agent deep reinforcement learning,” Renewable Energy, vol. 238, p. 121982, Jan. 2025. [CrossRef]
- K. Chen, J. Liu, W. Lyu, T. Wang, and J. Wen, “A deep neural network approach for optimizing charging behavior for electric vehicle ride-hailing fleet,” Scientific Reports, vol. 15, no. 1, Jul. 2025. [CrossRef]
- M. I. El-Afifi, A. A. Eladl, B. E. Sedhom, and M. A. Hassan, “Enhancing EV Charging Station Integration: A Hybrid ARIMA-LSTM Forecasting and Optimization Framework,” IEEE Transactions on Industry Applications, pp. 1–12, Jan. 2025. [CrossRef]
- M. S. Hossen, M. T. Sarker, M. Al Qwaid, G. Ramasamy, and N. Eng Eng, “AI-Driven Framework for Secure and Efficient Load Management in Multi-Station EV Charging Networks,” World Electric Vehicle Journal, vol. 16, no. 7, p. 370, Jul. 2025. [CrossRef]
- B. Huang, W. Yu, M. Ma, X. Wei, and G. Wang, “Artificial-Intelligence-Based Energy Management Strategies for Hybrid Electric Vehicles: A Comprehensive Review,” Energies, vol. 18, no. 14, p. 3600, Jul. 2025. [CrossRef]
- D. C. Li, “A hybrid Bayesian network-based deep learning approach combining climatic and reliability factors to forecast electric vehicle charging capacity,” Heliyon, vol. 11, no. 4, p. e42483, Feb. 2025. [CrossRef]
- Sugunakar Mamidala, V. Pavan, and Rammohan Mallipeddi, “Revolutionizing Electric Vehicle Charging Stations with Efficient Deep Q Networks Powered by Multimodal Bioinspired Analysis for Improved Performance,” Energies, vol. 18, no. 7, pp. 1750–1750, Mar. 2025. [CrossRef]
- J. Siddiqui et al., “Electric Vehicle charging station load forecasting with an integrated DeepBoost approach,” Alexandria Engineering Journal, vol. 116, pp. 331–341, Mar. 2025. [CrossRef]
- M. Adnane, B.-H. Nguyễn, A. Khoumsi, and J. P. F. Trovão, “Comparative Study of Embedded Energy Management Methods Based on Machine Learning for Dual-Source Electric Vehicles,” IEEE Transactions on Transportation Electrification, vol. 11, no. 4, pp. 10225–10238, Aug. 2025. [CrossRef]
- M. Cavus, H. Ayan, M. Bell, O. K. Oyebamiji, and D. Dissanayake, “Deep charge-fusion model: Advanced hybrid modelling for predicting electric vehicle charging patterns with socio-demographic considerations,” International Journal of Transportation Science and Technology, Mar. 2025. [CrossRef]
- R. S. Bajpai, S. Prakash, A. Srivastava, and A. Singh, “ANN-Based Fast Charging Control Strategy for Electric Vehicles with Intelligent Battery Thermal Management using Renewable Energy Resources,” IEEE Transactions on Transportation Electrification, pp. 1–1, Jan. 2025. [CrossRef]
- R Nagha Akshayaa, S. S. A, and Radha R, “Session And Energy Forecasting For Electric Vehicle Charging Station Using Custom Weighted Ensemble Machine Learning,” Results in Engineering, pp. 105104–105104, Apr. 2025. [CrossRef]
- M. Çeçen, “Optimal integration of electric vehicle charging stations into a renewable-supported multi-energy system,” Electric Power Systems Research, vol. 247, p. 111832, Oct. 2025. [CrossRef]
- K. Sujit, K. C. Ramaswamy, S. R. Mathiyalagan, J. Giri, and M. Kanan, “An efficient battery management system for electric vehicles using IoT & Blockchain,” Results in Engineering, vol. 27, p. 106284, Jul. 2025. [CrossRef]
- L. Douaidi, Sidi-Mohammed Senouci, I. E. Korbi, Fouzi Harrou, and Ahmet Yazıcı, “Federated deep learning for enhanced prediction of electric vehicle charging station availability,” Cluster Computing, vol. 28, no. 6, Jun. 2025. [CrossRef]
- I. Hussain, K. B. Ching, Chessda Uttraphan, K. G. Tay, and A. Noor, “Evaluating machine learning algorithms for energy consumption prediction in electric vehicles: A comparative study,” Scientific Reports, vol. 15, no. 1, May 2025. [CrossRef]
- A. Kermansaravi, S. S. Refaat, M. Trabelsi, and H. Vahedi, “AI-based energy management strategies for electric vehicles: Challenges and future directions,” Energy Reports, vol. 13, pp. 5535–5550, Jun. 2025. [CrossRef]
- Zuriani Mustaffa, M. H. Sulaiman, and J. Isuwa, “State of Charge Estimation of Lithium-ion Batteries in an Electric Vehicle using Hybrid Metaheuristic - Deep Neural Networks Models,” Energy Storage and Saving, Feb. 2025. [CrossRef]
- C. Vennila, Venkata Prasad Papana, K. Reddy, and U. A. Kumar, “An efficient hybrid GEO-MFDNN approach for energy management using photovoltaic electric vehicle charging station,” Environment Development and Sustainability, May 2025. [CrossRef]
- T. Senthilkumar, S. S. Sivaraju, T. Anuradha, and C. Vimalarani, “An Intelligent Electric Vehicle Charging System in a Smart Grid Using Artificial Intelligence,” Optimal Control Applications and Methods, Jan. 2025. [CrossRef]
- Mutaz A. B. Al-Tarawneh, O. Alirr, and H. Kanj, “Performance Evaluation of Machine Learning-Based Cyber Attack Detection in Electric Vehicles Charging Stations,” International Journal of Advanced Computer Science and Applications, vol. 16, no. 3, Jan. 2025. [CrossRef]
- J. Chen, M. Aurangzeb, S. Iqbal, M. Shafiullah, and A. Harrison, “Advancing EV fast charging: Addressing power mismatches through P2P optimization and grid-EV impact analysis using dragonfly algorithm and reinforcement learning,” Applied Energy, vol. 394, p. 126157, Sep. 2025. [CrossRef]
- Y. Li, Z. Zhang, and Q. Xing, “Real-time online charging control of electric vehicle charging station based on a multi-agent deep reinforcement learning,” Energy, vol. 319, p. 135095, Mar. 2025. [CrossRef]
- Mousaei, A., Naderi, Y., Arif, S.M. and Bayram, I.S. (2025). Voltage Stability Enhancement in IEEE 14-Bus System Using Deep Deterministic Policy Gradient for EV Charging Management. 2025 10th IEEE Workshop on the Electronic Grid (eGRID), pp.1–6. [CrossRef]
- Arash Mousaei, “Analyzing Locational Inequalities in the Placement of Electric Vehicle Charging Stations Using Machine Learning: A Case Study in Glasgow,” Next research., pp. 100123–100123, Dec. 2024. [CrossRef]
- J. P. Sahoo, S. Sivasubramani, and P. S. S. Srikar, “Optimized framework for strategic electric vehicle charging station placement and scheduling in distribution systems with renewable energy integration,” Swarm and Evolutionary Computation, vol. 95, p. 101943, Jun. 2025. [CrossRef]
- Arun Mozhi Subbukalai, C. Raja, V. Kumar, E. Xavier, S. Muthusamy, and Surya Kavitha Tirugatla, “A novel method for energy management with optimization in plug-in electric vehicle integration into the grids : An experimental study,” Electrical Engineering, Jul. 2025. [CrossRef]
- M. Sithambaram, P. Rajesh, F. H. Shajin, and I. Raja Rajeswari, “Grid connected photovoltaic system powered electric vehicle charging station for energy management using hybrid method,” Journal of Energy Storage, vol. 108, p. 114828, Feb. 2025. [CrossRef]
- G. Ramkumar, S. Kannan, V. Mohanavel, S. Karthikeyan, and A. Titus, “The Future of Green Mobility: A Review Exploring Renewable Energy Systems Integration in Electric Vehicles,” Results in Engineering, p. 105647, Jun. 2025. [CrossRef]
- Ayşe Tuğba Yapıcı, N. Abut, and Tarık Erfidan, “Comparing the Effectiveness of Deep Learning Approaches for Charging Time Prediction in Electric Vehicles: Kocaeli Example,” Energies, vol. 18, no. 8, pp. 1961–1961, Apr. 2025. [CrossRef]
- A. R. Ramul, A. S. Shahraki, N. K. Bachache, and R. Sadeghi, “Cyberspace enhancement of electric vehicle charging stations in smart grids based on detection and resilience measures against hybrid cyberattacks: A multi-agent deep reinforcement learning approach,” Energy, vol. 325, p. 136038, Jun. 2025. [CrossRef]
- S. P. Richard and S. Titus, “Efficient energy management using Red Tailed Hawk optimized ANN for PV, battery & super capacitor driven electric vehicle,” Journal of Energy Storage, vol. 117, pp. 116126–116126, Mar. 2025. [CrossRef]










| Missing value columns | Missing values (in %) |
|---|---|
| Done Charging Time | 0.0479071% |
| User ID | 77.7292% |
| User Inputs | 77.7292% |
Disclaimer/Publisher’s Note: The statements, opinions and data contained in all publications are solely those of the individual author(s) and contributor(s) and not of MDPI and/or the editor(s). MDPI and/or the editor(s) disclaim responsibility for any injury to people or property resulting from any ideas, methods, instructions or products referred to in the content. |
© 2025 by the authors. Licensee MDPI, Basel, Switzerland. This article is an open access article distributed under the terms and conditions of the Creative Commons Attribution (CC BY) license (http://creativecommons.org/licenses/by/4.0/).