Submitted:
18 December 2025
Posted:
19 December 2025
You are already at the latest version
Abstract
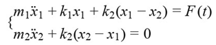
This paper presents a method for describing the differential equations of motion of mechanical systems using the Kuznetsov tensor. Traditional approaches to solving equations of motion rely on vector and matrix methods, but the proposed approach allows for significant simplification and generalization of problems by using a system state tensor. The paper discusses the main principles of working with the Kuznetsov tensor, which describes the evolution of the system in a unified context. Specifically, it outlines a method for integrating the equations of motion for various mechanical systems, such as oscillations in a two-mass spring system. Conditions for damping oscillations and controlling amplitude are also considered, expanding the applicability of the Kuznetsov tensor in engineering calculations. The advantages of the proposed approach include a more compact representation of the system of equations, ease of analyzing invariants and symmetries, and the ability to apply the method to multi-linked and multi-component systems. The use of the Kuznetsov tensor for modeling the dynamics of various systems represents a step toward a more universal approach in mechanics and engineering.

